Serum miRNAs Support the Indication for MRI-Ultrasound Fusion-Guided Biopsy of the Prostate in Patients with Low-PI-RADS Lesions
Abstract
1. Introduction
2. Materials and Methods
2.1. Study Population
2.2. Blood Sampling and RNA Isolation
2.3. Quantitative PCR
2.4. Statistical Methods
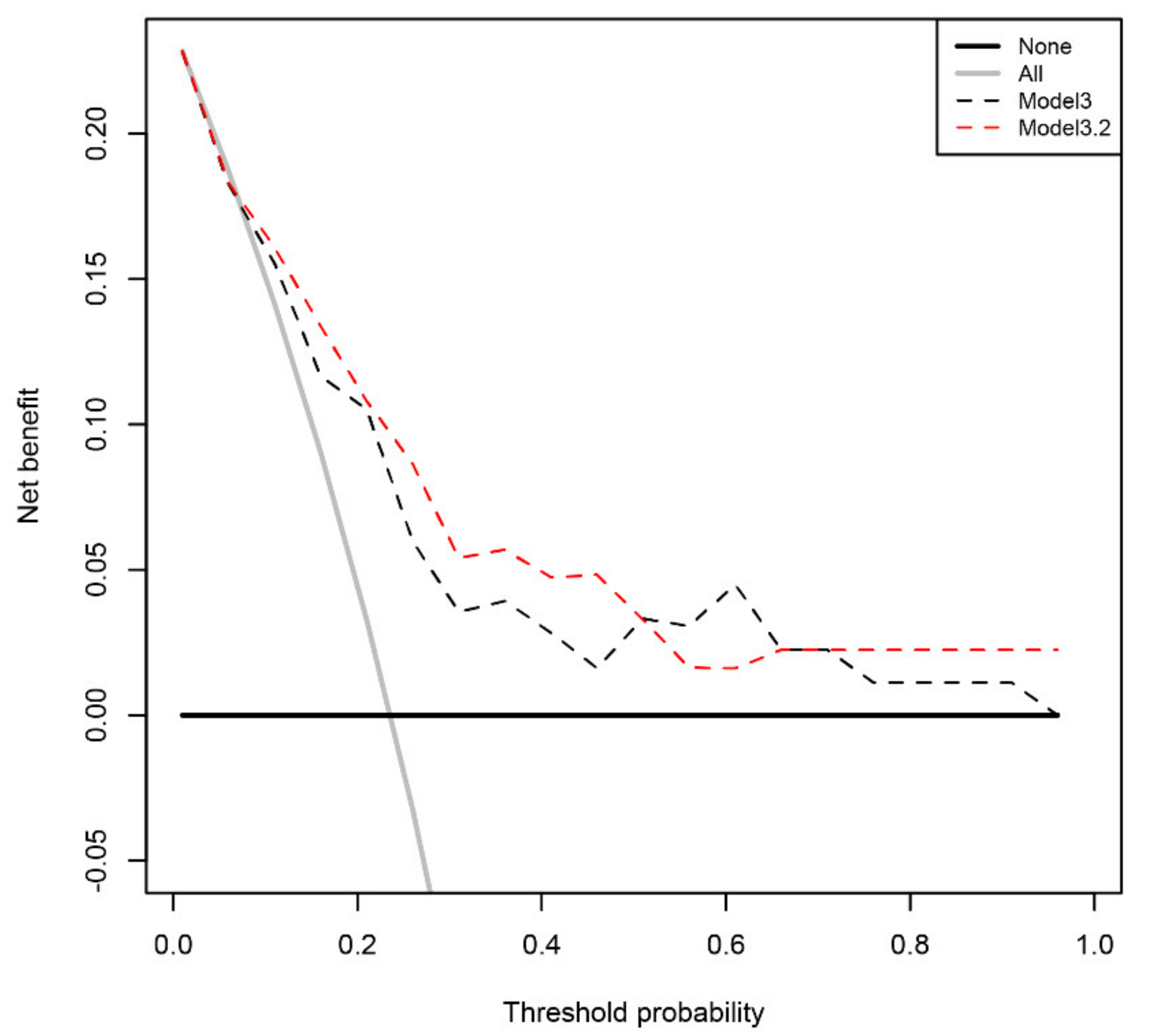
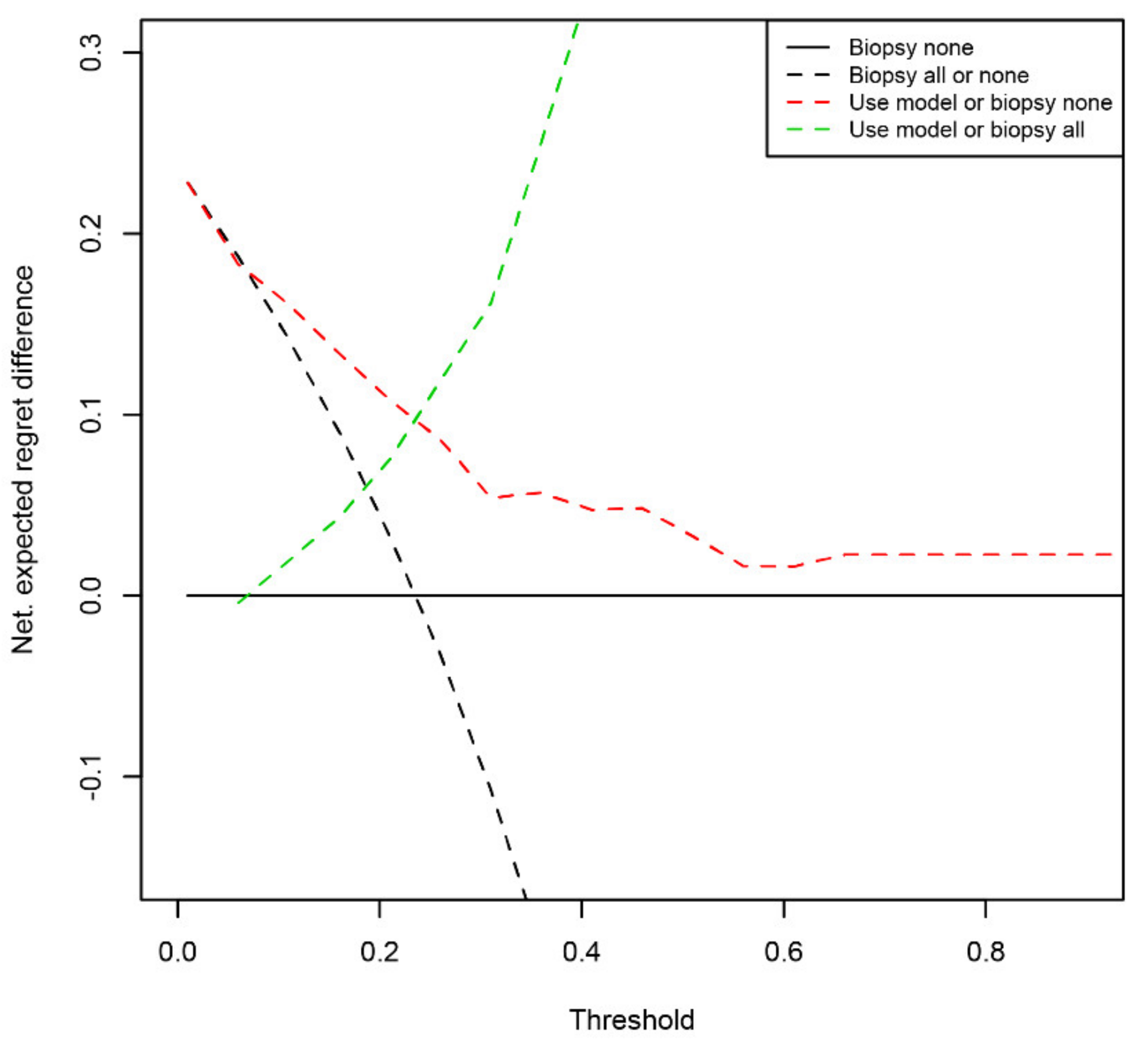
3. Results
4. Discussion
5. Conclusions
Supplementary Materials
Author Contributions
Funding
Institutional Review Board Statement
Informed Consent Statement
Data Availability Statement
Acknowledgments
Conflicts of Interest
References
- Mottet, N.; Bellmunt, J.; Bolla, M.; Briers, E.; Cumberbatch, M.G.; De Santis, M.; Fossati, N.; Gross, T.; Henry, A.M.; Joniau, S.; et al. EAU-ESTRO-SIOG Guidelines on Prostate Cancer. Part 1: Screening, Diagnosis, and Local Treatment with Curative Intent. Eur. Urol. 2017, 71, 618–629. [Google Scholar] [CrossRef] [PubMed]
- Sinnott, M.; Falzarano, S.M.; Hernandez, A.V.; Jones, J.S.; Klein, E.A.; Zhou, M.; Magi-Galluzzi, C. Discrepancy in prostate cancer localization between biopsy and prostatectomy specimens in patients with unilateral positive biopsy: Implications for focal therapy. Prostate 2012, 72, 1179–1186. [Google Scholar] [CrossRef]
- Jones, J.S.; Patel, A.; Schoenfield, L.; Rabets, J.C.; Zippe, C.D.; Magi-Galluzzi, C. Saturation technique does not improve cancer detection as an initial prostate biopsy strategy. J. Urol. 2006, 175, 485–488. [Google Scholar] [CrossRef]
- Siddiqui, M.M.; Rais-Bahrami, S.; Turkbey, B.; George, A.K.; Rothwax, J.; Shakir, N.; Okoro, C.; Raskolnikov, D.; Parnes, H.L.; Linehan, W.M.; et al. Comparison of MR/ultrasound fusion-guided biopsy with ultrasound-guided biopsy for the diagnosis of prostate cancer. JAMA 2015, 313, 390–397. [Google Scholar] [CrossRef]
- Saar, M.; Linxweiler, J.; Borkowetz, A.; Fussek, S.; Urbanova, K.; Bellut, L.; Kristiansen, G.; Wullich, B.; German Prostate Cancer, C. Current Role of Multiparametric MRI and MRI Targeted Biopsies for Prostate Cancer Diagnosis in Germany: A Nationwide Survey. Urol. Int. 2020, 104, 731–740. [Google Scholar] [CrossRef]
- Cash, H.; Maxeiner, A.; Stephan, C.; Fischer, T.; Durmus, T.; Holzmann, J.; Asbach, P.; Haas, M.; Hinz, S.; Neymeyer, J.; et al. The detection of significant prostate cancer is correlated with the Prostate Imaging Reporting and Data System (PI-RADS) in MRI/transrectal ultrasound fusion biopsy. World J. Urol. 2016, 34, 525–532. [Google Scholar] [CrossRef] [PubMed]
- Junker, D.; Quentin, M.; Nagele, U.; Edlinger, M.; Richenberg, J.; Schaefer, G.; Ladurner, M.; Jaschke, W.; Horninger, W.; Aigner, F. Evaluation of the PI-RADS scoring system for mpMRI of the prostate: A whole-mount step-section analysis. World J. Urol. 2015, 33, 1023–1030. [Google Scholar] [CrossRef]
- Szczyrba, J.; Loprich, E.; Wach, S.; Jung, V.; Unteregger, G.; Barth, S.; Grobholz, R.; Wieland, W.; Stohr, R.; Hartmann, A.; et al. The microRNA profile of prostate carcinoma obtained by deep sequencing. Mol. Cancer Res. 2010, 8, 529–538. [Google Scholar] [CrossRef] [PubMed]
- Wach, S.; Nolte, E.; Szczyrba, J.; Stohr, R.; Hartmann, A.; Orntoft, T.; Dyrskjot, L.; Eltze, E.; Wieland, W.; Keck, B.; et al. MicroRNA profiles of prostate carcinoma detected by multiplatform microRNA screening. Int. J. Cancer 2012, 130, 611–621. [Google Scholar] [CrossRef] [PubMed]
- Leidinger, P.; Hart, M.; Backes, C.; Rheinheimer, S.; Keck, B.; Wullich, B.; Keller, A.; Meese, E. Differential blood-based diagnosis between benign prostatic hyperplasia and prostate cancer: miRNA as source for biomarkers independent of PSA level, Gleason score, or TNM status. Tumour Biol. 2016, 37, 10177–10185. [Google Scholar] [CrossRef]
- Wach, S.; Al-Janabi, O.; Weigelt, K.; Fischer, K.; Greither, T.; Marcou, M.; Theil, G.; Nolte, E.; Holzhausen, H.J.; Stohr, R.; et al. The combined serum levels of miR-375 and urokinase plasminogen activator receptor are suggested as diagnostic and prognostic biomarkers in prostate cancer. Int. J. Cancer 2015, 137, 1406–1416. [Google Scholar] [CrossRef] [PubMed]
- Haldrup, C.; Kosaka, N.; Ochiya, T.; Borre, M.; Hoyer, S.; Orntoft, T.F.; Sorensen, K.D. Profiling of circulating microRNAs for prostate cancer biomarker discovery. Drug Deliv. Transl. Res. 2014, 4, 19–30. [Google Scholar] [CrossRef]
- Song, C.; Chen, H.; Wang, T.; Zhang, W.; Ru, G.; Lang, J. Expression profile analysis of microRNAs in prostate cancer by next-generation sequencing. Prostate 2015, 75, 500–516. [Google Scholar] [CrossRef]
- Lieb, V.; Weigelt, K.; Scheinost, L.; Fischer, K.; Greither, T.; Marcou, M.; Theil, G.; Klocker, H.; Holzhausen, H.J.; Lai, X.; et al. Serum levels of miR-320 family members are associated with clinical parameters and diagnosis in prostate cancer patients. Oncotarget 2017, 9, 10402–10416. [Google Scholar] [CrossRef]
- Mahn, R.; Heukamp, L.C.; Rogenhofer, S.; von Ruecker, A.; Müller, S.C.; Ellinger, J. Circulating microRNAs (miRNA) in serum of patients with prostate cancer. Urology 2011, 77, 1265.e9–1265.e16. [Google Scholar] [CrossRef]
- Borkowetz, A.; Platzek, I.; Toma, M.; Laniado, M.; Baretton, G.; Froehner, M.; Koch, R.; Wirth, M.; Zastrow, S. Comparison of systematic transrectal biopsy to transperineal magnetic resonance imaging/ultrasound-fusion biopsy for the diagnosis of prostate cancer. BJU Int. 2015, 116, 873–879. [Google Scholar] [CrossRef]
- Mottet, N.; Bellmunt, J.; Briers, E.; Bolla, M.; Bourke, L.; Cornford, P.; De Santis, M.; Henry, A.; Joniau, S.; Lam, T.; et al. EAU–ESTRO–ESUR–SIOG Guidelines on Prostate Cancer. In Proceedings of the at the EAU Annual Congress, Milan, Italy, 9–12 July 2021; EAU Guidelines Office: Arnhem, The Netherlands, 2021; ISBN 978-94-92671-13-4. [Google Scholar]
- Schmittgen, T.D.; Livak, K.J. Analyzing real-time PCR data by the comparative C(T) method. Nat. Protoc. 2008, 3, 1101–1108. [Google Scholar] [CrossRef] [PubMed]
- Vickers, A.J.; Elkin, E.B. Decision curve analysis: A novel method for evaluating prediction models. Med. Decis. Making 2006, 26, 565–574. [Google Scholar] [CrossRef] [PubMed]
- Tsalatsanis, A.; Hozo, I.; Vickers, A.; Djulbegovic, B. A regret theory approach to decision curve analysis: A novel method for eliciting decision makers’ preferences and decision-making. BMC Med. Inform. Decis. Mak. 2010, 10, 51. [Google Scholar] [CrossRef]
- Andersen, C.L.; Jensen, J.L.; Ørntoft, T.F. Normalization of real-time quantitative reverse transcription-PCR data: A model-based variance estimation approach to identify genes suited for normalization, applied to bladder and colon cancer data sets. Cancer Res. 2004, 64, 5245–5250. [Google Scholar] [CrossRef]
- Radtke, J.P.; Wiesenfarth, M.; Kesch, C.; Freitag, M.T.; Alt, C.D.; Celik, K.; Distler, F.; Roth, W.; Wieczorek, K.; Stock, C.; et al. Combined Clinical Parameters and Multiparametric Magnetic Resonance Imaging for Advanced Risk Modeling of Prostate Cancer-Patient-tailored Risk Stratification Can Reduce Unnecessary Biopsies. Eur. Urol. 2017, 72, 888–896. [Google Scholar] [CrossRef] [PubMed]
- Luzzago, S.; Musi, G.; Catellani, M.; Russo, A.; Di Trapani, E.; Mistretta, F.A.; Bianchi, R.; Cozzi, G.; Conti, A.; Pricolo, P.; et al. Multiparametric Magnetic-Resonance to Confirm Eligibility to an Active Surveillance Program for Low-Risk Prostate Cancer: Intermediate Time Results of a Third Referral High Volume Centre Active Surveillance Protocol. Urol. Int. 2018, 101, 56–64. [Google Scholar] [CrossRef] [PubMed]
- Borkowetz, A.; Platzek, I.; Toma, M.; Renner, T.; Herout, R.; Baunacke, M.; Laniado, M.; Baretton, G.B.; Froehner, M.; Zastrow, S.; et al. Evaluation of Prostate Imaging Reporting and Data System Classification in the Prediction of Tumor Aggressiveness in Targeted Magnetic Resonance Imaging/Ultrasound-Fusion Biopsy. Urol. Int. 2017, 99, 177–185. [Google Scholar] [CrossRef]
- Venderink, W.; van Luijtelaar, A.; Bomers, J.G.; van der Leest, M.; Hulsbergen-van de Kaa, C.; Barentsz, J.O.; Sedelaar, J.P.; Futterer, J.J. Results of Targeted Biopsy in Men with Magnetic Resonance Imaging Lesions Classified Equivocal, Likely or Highly Likely to Be Clinically Significant Prostate Cancer. Eur. Urol. 2017, 73, 353–360. [Google Scholar] [CrossRef]
- Liddell, H.; Jyoti, R.; Haxhimolla, H.Z. mp-MRI Prostate Characterised PIRADS 3 Lesions are Associated with a Low Risk of Clinically Significant Prostate Cancer—A Retrospective Review of 92 Biopsied PIRADS 3 Lesions. Curr. Urol. 2015, 8, 96–100. [Google Scholar] [CrossRef]
- Yang, S.; Zhao, W.; Tan, S.; Zhang, Y.; Wei, C.; Chen, T.; Shen, J. Combining clinical and MRI data to manage PI-RADS 3 lesions and reduce excessive biopsy. Transl. Androl. Urol. 2020, 9, 1252–1261. [Google Scholar] [CrossRef]
- Sato, S.; Katsushima, K.; Shinjo, K.; Hatanaka, A.; Ohka, F.; Suzuki, S.; Naiki-Ito, A.; Soga, N.; Takahashi, S.; Kondo, Y. Histone Deacetylase Inhibition in Prostate Cancer Triggers miR-320-Mediated Suppression of the Androgen Receptor. Cancer Res. 2016, 76, 4192–4204. [Google Scholar] [CrossRef]
- Yang, Y.; Ji, C.; Guo, S.; Su, X.; Zhao, X.; Zhang, S.; Liu, G.; Qiu, X.; Zhang, Q.; Guo, H.; et al. The miR-486-5p plays a causative role in prostate cancer through negative regulation of multiple tumor suppressor pathways. Oncotarget 2017, 8, 72835–72846. [Google Scholar] [CrossRef] [PubMed]
- Kachakova, D.; Mitkova, A.; Popov, E.; Popov, I.; Vlahova, A.; Dikov, T.; Christova, S.; Mitev, V.; Slavov, C.; Kaneva, R. Combinations of serum prostate-specific antigen and plasma expression levels of let-7c, miR-30c, miR-141, and miR-375 as potential better diagnostic biomarkers for prostate cancer. DNA Cell Biol. 2015, 34, 189–200. [Google Scholar] [CrossRef]
- Schubert, M.; Spahn, M.; Kneitz, S.; Scholz, C.J.; Joniau, S.; Stroebel, P.; Riedmiller, H.; Kneitz, B. Distinct microRNA expression profile in prostate cancer patients with early clinical failure and the impact of let-7 as prognostic marker in high-risk prostate cancer. PLoS ONE 2013, 8, e65064. [Google Scholar] [CrossRef] [PubMed]
- Fenstermaker, M.; Mendhiratta, N.; Bjurlin, M.A.; Meng, X.; Rosenkrantz, A.B.; Huang, R.; Deng, F.M.; Zhou, M.; Huang, W.C.; Lepor, H.; et al. Risk Stratification by Urinary Prostate Cancer Gene 3 Testing Before Magnetic Resonance Imaging-Ultrasound Fusion-targeted Prostate Biopsy Among Men With No History of Biopsy. Urology 2017, 99, 174–179. [Google Scholar] [CrossRef] [PubMed]
- Fuchsova, R.; Topolcan, O.; Windrichova, J.; Hora, M.; Dolejsova, O.; Pecen, L.; Kasik, P.; Novak, J.; Casova, M.; Smejkal, J. PHI in the Early Detection of Prostate Cancer. Anticancer Res. 2015, 35, 4855–4857. [Google Scholar] [PubMed]
- Ferro, M.; Bruzzese, D.; Perdona, S.; Mazzarella, C.; Marino, A.; Sorrentino, A.; Di Carlo, A.; Autorino, R.; Di Lorenzo, G.; Buonerba, C.; et al. Predicting prostate biopsy outcome: Prostate health index (phi) and prostate cancer antigen 3 (PCA3) are useful biomarkers. Clin. Chim. Acta 2012, 413, 1274–1278. [Google Scholar] [CrossRef]
- Gronberg, H.; Adolfsson, J.; Aly, M.; Nordstrom, T.; Wiklund, P.; Brandberg, Y.; Thompson, J.; Wiklund, F.; Lindberg, J.; Clements, M.; et al. Prostate cancer screening in men aged 50–69 years (STHLM3): A prospective population-based diagnostic study. Lancet Oncol. 2015, 16, 1667–1676. [Google Scholar] [CrossRef]


| Parameter | Discovery Cohort (n = 80) | Validation Cohort (n = 209) | Complete Cohort (n = 289) | Clinical end Point: PCa P; Relative Risk (95%CI) | Clinical end Point: Significant PCa P; Relative Risk (95%CI) | |
|---|---|---|---|---|---|---|
| Patient age; median (IQR) | 66 (59.5–72.25) | 65 (60–71) | 66 (60–72) | <0.01 1.08 (1.05–1.21) | <0.01 1.08 (1.05–1.12) | |
| Pre-biopsy PSA level (ng/mL; median, IQR) | 8.2 (6.8–12.5) | 8.2 (6.0–13.2) | 8.19 (6.1–13.1) | <0.01 1.06 (1.03–1.07) | <0.01 1.08 (1.04–1.13) | |
| Previous biopsy; N (%) | 0.35 1.28 (0.76–2.17) | 0.22 1.39 (0.82–2.35) | ||||
| No | 34 (42.5) | 44 (21.0) | 78 (27.0) | |||
| Yes | 46 (57.5) | 165 (79.0) | 211 (73.0) | |||
| Highest PI-RADS score; N (%) | <0.01 2.07 (1.55–2.79) | <0.01 2.39 (1.76–3.33) | ||||
| 1 | 1 (1.3) | 0 (0) | 1 (0.4) | |||
| 2 | 0 (0) | 24 (11.5) | 24 (8.3) | |||
| 3 | 8 (10.0) | 57 (27.3) | 65 (22.5) | |||
| 4 | 49 (61.2) | 84 (40.2) | 133 (46.0) | |||
| 5 | 22 (27.5) | 44 (21.0) | 66 (22.8) | |||
| Biopsy Gleason score (GS); N (%) | n.c. | n.c. | ||||
| Tumor free | 38 (47.5) | 103 (49.3) | 141 (48.8) | |||
| 6 | 9 (11.2) | 17 (8.1) | 26 (9.0) | |||
| 7a (GS3+4) | 16 (20.0) | 49 (23.4) | 65 (22.5) | |||
| 7b (GS4+3) | 9 (11.2) | 9 (4.3) | 18 (6.2) | |||
| 8 | 2 (2.5) | 11 (5.3) | 13 (4.5) | |||
| 9 | 5 (6.3) | 20 (9.6) | 25 (8.7) | |||
| 10 | 1 (1.3) | 0 (0) | 1 (0.3) | |||
| Targeted biopsy cores; median (IQR) | 3 (2–4) | 6 (4–7) | 5 (3–6) | 0.12 0.93 (0.85–1.03) | 0.98 0.98 (0.89–1.08) | |
| Systematic biopsy cores; median (IQR) | 9 (8–11) | 12 (12–12) | 12 (11–12) | 0.49 0.99 (0.91–1.08) | 0.80 0.99 (0.91–1.08) | |
| Tumor status; N (%) | n.c. | n.c. | ||||
| No tumor | 36 (45.0) | 103 (49.3) | 139 (48.1) | |||
| Tumor | 44 1 (55.0) | 106 (50.7) | 150 1 (51.9) | |||
| ΔCt miR-141-3p; median (IQR) | 18.4 (15.2–18.4) | 16.7 (15.0–19.6) | 16.9 (15.1–20.3) | 0.46 1.03 (0.96–1.10) | 0.97 1.00 (0.93–1.08) | |
| ΔCt miR-375-5p; median (IQR) | 16.5 (14.4–19.1) | 14.7 (13.4–19.2) | 15.3 (13.6–19.2) | 0.31 1.04 (0.97–1.11) | 0.92 0.99 (0.93–1.06) | |
| ΔCt miR-21-5p; median (IQR) | 9.2 (8.8–9.8) | 7.4 (7.0–8.0) | 7.9 (7.2–8.8) | 0.74 1.03 (0.87–1.21) | 0.61 0.96 (0.80–1.13) | |
| ΔCt miR-320b; median (IQR) | 9.8 (8.6–10.7) | 10.2 (9.8–10.7) | 10.2 (9.8–10.7) | 0.18 0.89 (0.74–1.05) | 0.18 0.88 (0.74–1.05) | |
| ΔCt miR-210-3p; median (IQR) | 12.8 (12.3–14.8) | 12.7 (11.9–13.7) | 12.7 (12.1–13.8) | 0.36 0.97 (0.89–1.04) | 0.22 0.95 (0.88–1.03) | |
| ΔCt let-7c-5p; median (IQR) | 11.1 (10.7–11.5) | 11.7 (11.1–12.5) | 11.5 (11.0–12.2) | 0.14 1.12 (0.97–1.32) | 0.39 1.07 (0.92–1.23) | |
| ΔCt miR-486-5p; median (IQR) | 3.2 (2.8–3.5) | 3.1 (2.8–3.4) | 3.1 (2.8–3.5) | 0.482 1.15 (0.78–1.79) | 0.70 0.92 (0.60–1.37) | |
| Model Establishment: Discovery Cohort | ||||||
|---|---|---|---|---|---|---|
| Parameters of the Model | ||||||
| Clinical parameters | miRNA | PPV (%) | NPV (%) | Sensitivity (%) | Specificity (%) | AUC |
| Age, PSA, Prev. biopsy, PI-RADS | 66.0 | 66.7 | 79.5 | 50.0 | 0.684 | |
| Age, PSA, Prev. biopsy, PI-RADS | miR-141-3p | 64.8 | 65.3 | 79.5 | 52.7 | 0.684 |
| Age, PSA, Prev. biopsy, PI-RADS | miR-375-3p | 64.8 | 65.3 | 79.5 | 52.8 | 0.689 |
| Age, PSA, Prev. biopsy, PI-RADS | miR-21-5p | 68.0 | 66.7 | 77.3 | 55.5 | 0.718 |
| Age, PSA, Prev. biopsy, PI-RADS | miR-320b | 64.1 | 62.9 | 77.3 | 52.8 | 0.681 |
| Age, PSA, Prev. biopsy, PI-RADS | miR-210-3p | 67.3 | 67.8 | 79.5 | 52.8 | 0.689 |
| Age, PSA, Prev. biopsy, PI-RADS | let-7c-5p | 86.0 | 68.7 | 77.3 | 61.1 | 0.707 |
| Age, PSA, Prev. biopsy, PI-RADS | miR-486-5p | 70.8 | 66.7 | 77.3 | 55.5 | 0.697 |
| Model Validation: Validation Cohort | ||||||
| Parameters of the Model | ||||||
| Clinical parameters | miRNA | PPV (%) | NPV (%) | Sensitivity (%) | Specificity (%) | AUC |
| Age, PSA, Prev. biopsy, PI-RADS | 65.4 | 65.6 | 67.9 | 63.1 | 0.732 | |
| Age, PSA, Prev. biopsy, PI-RADS | miR-141-3p | 66.7 | 60.3 | 67.9 | 65.0 | 0.734 |
| Age, PSA, Prev. biopsy, PI-RADS | miR-375-3p | 68.1 | 68.7 | 70.8 | 66.0 | 0.736 |
| Age, PSA, Prev. biopsy, PI-RADS | miR-21-5p | 75.6 | 54.6 | 26.4 | 91.3 | 0.702 |
| Age, PSA, Prev. biopsy, PI-RADS | miR-320b | 69.3 | 66.7 | 66.0 | 66.7 | 0.737 |
| Age, PSA, Prev. biopsy, PI-RADS | miR-210-3p | 65.1 | 65.9 | 68.9 | 62.1 | 0.733 |
| Age, PSA, Prev. biopsy, PI-RADS | let-7c-5p | 63.8 | 66.7 | 71.7 | 58.3 | 0.734 |
| Age, PSA, Prev. biopsy, PI-RADS | miR-486-5p | 65.7 | 58.7 | 65.1 | 65.0 | 0.719 |
| Predicted Disease Status | ||||
|---|---|---|---|---|
| Tumor-free/Gleason 6 | Gleason 7a–10 | |||
| Pathological disease status | Tumor-free/Gleason 6 * | 33 | 35 | Specificity 48.5% |
| Gleason 7a–10 * | 1 | 20 | Sensitivity 95.2% | |
| NPV 97.1% | PPV 36.4% | |||
| Covariate | Model coefficient | |||
| Intercept | −6.47144586 | |||
| Patient age | 0.06001647 | |||
| Pre-biopsy PSA level | 0.09607283 | |||
| Previous biopsy procedure | −1.36328590 | |||
| miR-486-5p | −0.52307176 | |||
| let-7c-5p | 0.30509631 | |||
Publisher’s Note: MDPI stays neutral with regard to jurisdictional claims in published maps and institutional affiliations. |
© 2021 by the authors. Licensee MDPI, Basel, Switzerland. This article is an open access article distributed under the terms and conditions of the Creative Commons Attribution (CC BY) license (https://creativecommons.org/licenses/by/4.0/).
Share and Cite
Keck, B.; Borkowetz, A.; Poellmann, J.; Jansen, T.; Fischer, M.; Fuessel, S.; Kahlmeyer, A.; Wirth, M.; Huber, J.; Cavallaro, A.; et al. Serum miRNAs Support the Indication for MRI-Ultrasound Fusion-Guided Biopsy of the Prostate in Patients with Low-PI-RADS Lesions. Cells 2021, 10, 1315. https://doi.org/10.3390/cells10061315
Keck B, Borkowetz A, Poellmann J, Jansen T, Fischer M, Fuessel S, Kahlmeyer A, Wirth M, Huber J, Cavallaro A, et al. Serum miRNAs Support the Indication for MRI-Ultrasound Fusion-Guided Biopsy of the Prostate in Patients with Low-PI-RADS Lesions. Cells. 2021; 10(6):1315. https://doi.org/10.3390/cells10061315
Chicago/Turabian StyleKeck, Bastian, Angelika Borkowetz, Julia Poellmann, Thilo Jansen, Moritz Fischer, Susanne Fuessel, Andreas Kahlmeyer, Manfred Wirth, Johannes Huber, Alexander Cavallaro, and et al. 2021. "Serum miRNAs Support the Indication for MRI-Ultrasound Fusion-Guided Biopsy of the Prostate in Patients with Low-PI-RADS Lesions" Cells 10, no. 6: 1315. https://doi.org/10.3390/cells10061315
APA StyleKeck, B., Borkowetz, A., Poellmann, J., Jansen, T., Fischer, M., Fuessel, S., Kahlmeyer, A., Wirth, M., Huber, J., Cavallaro, A., Hammon, M., Platzek, I., Hartmann, A., Baretton, G., Kunath, F., Sikic, D., Taubert, H., Wullich, B., Erdmann, K., & Wach, S. (2021). Serum miRNAs Support the Indication for MRI-Ultrasound Fusion-Guided Biopsy of the Prostate in Patients with Low-PI-RADS Lesions. Cells, 10(6), 1315. https://doi.org/10.3390/cells10061315

