In Silico Identification and Clinical Validation of a Novel Long Non-Coding RNA/mRNA/miRNA Molecular Network for Potential Biomarkers for Discriminating SARS CoV-2 Infection Severity
Abstract
:1. Introduction
2. Materials and Methods
2.1. Study Population
2.2. Total RNA Extraction and Quantitative Real-Time PCR (RT-qPCR)
2.3. IL11RA and Procalcitonin Protein Quantification
2.4. Statistical Analysis of Results
3. Results
3.1. Bioinformatics and Dataset Analysis
3.2. Clinical and Biochemical Indices
3.3. Differential Expression of the Severity Predictors in the Investigated Groups
3.4. Correlations among the IL11RA Molecular Network and Protein Predictors (Ferritin, Procalcitonin and IL11RA)
4. Discussion
5. Conclusions
Supplementary Materials
Author Contributions
Funding
Institutional Review Board Statement
Informed Consent Statement
Data Availability Statement
Acknowledgments
Conflicts of Interest
References
- Coronaviridae Study Group of the International Committee on Taxonomy of Viruses. The species severe acute respiratory syndrome-related coronavirus: Classifying 2019-Ncov and naming it SARS-CoV-2. Nat. Microbiol. 2020, 5, 536–544. [Google Scholar] [CrossRef] [PubMed] [Green Version]
- WHO. Severe Acute Respiratory Syndrome (SARS). Available online: https://www.who.int/health-topics/severe-acute-respiratory-syndrome#tab=tab_1 (accessed on 8 July 2021).
- CDC. Middle East Respiratory Syndrome (MERS). Available online: https://www.cdc.gov/coronavirus/mers/faq.html (accessed on 8 July 2021).
- Prompetchara, E.; Ketloy, C.; Palaga, T. Immune responses in COVID-19 and potential vaccines: Lessons learned from SARS and MERS epidemic. Asian Pac. J. Allergy Immunol. 2020, 38, 1–9. [Google Scholar] [CrossRef] [PubMed]
- World Health Organization. WHO Director-General’s Opening Remarks at the Media Briefing on COVID-19—11 March 2020. Available online: https://www.who.int/director-general/speeches/detail/who-director-general-s-opening-remarks-at-the-media-briefing-on-covid-19---11-march-2020 (accessed on 1 November 2021).
- World Health Organization. Report of the WHO-China Joint Mission on Coronavirus Disease 2019 (COVID-19); World Health Organization: Geneva, Switzerland, 2020; Available online: https://www.who.int/docs/default-source/coronaviruse/who-china-joint-mission-on-covid-19-final-report.pdf (accessed on 7 May 2020).
- Yuki, K.; Fujiogi, M.; Koutsogiannaki, S. COVID-19 pathophysiology: A review. Clin. Immunol. 2020, 215, 108427. [Google Scholar] [CrossRef] [PubMed]
- Zumla, A.; Hui, D.S.; Azhar, E.I.; Memish, Z.A.; Maeurer, M. Reducing mortality from 2019-nCoV: Host-directed therapies should be an option. Lancet 2020, 395, e35–e36. [Google Scholar] [CrossRef] [Green Version]
- Gao, Y.; Li, T.; Han, M.; Li, X.; Wu, D.; Xu, Y.; Zhu, Y.; Liu, Y.; Wang, X.; Wang, L. Diagnostic utility of clinical laboratory data determinations for patients with the severe COVID-19. J. Med. Virol. 2020, 92, 791–796. [Google Scholar] [CrossRef] [PubMed]
- Lokau, J.; Agthe, M.; Flynn, C.M.; Garbers, C. Proteolytic control of Interleukin-11 and Interleukin-6 biology. Biochim. Biophys. Acta (BBA)—Bioenerg. 2017, 1864, 2105–2117. [Google Scholar] [CrossRef] [PubMed]
- Garbers, C.; Scheller, J. Interleukin-6 and interleukin-11: Same same but different. Biol. Chem. 2013, 394, 1145–1161. [Google Scholar] [CrossRef]
- Lokau, J.; Agthe, M.; Garbers, C. Generation of Soluble Interleukin-11 and Interleukin-6 Receptors: A Crucial Function for Proteases during Inflammation. Mediat. Inflamm. 2016, 2016, 1–10. [Google Scholar] [CrossRef] [Green Version]
- Kadhim, A.; Abdullah, Y. Serum levels of interleukin-6, ferritin, C-reactive protein, lactate dehydrogenase, D-dimer, and count of lymphocytes and neutrophils in COVID-19 patients: Its correlation to the disease severity. Biomed. Biotechnol. Res. J. (BBRJ) 2021, 5, 69–73. [Google Scholar] [CrossRef]
- Ruscitti, P.; Berardicurti, O.; Barile, A.; Cipriani, P.; Shoenfeld, Y.; Iagnocco, A.; Giacomelli, R. Severe COVID-19 and related hyperferritinaemia: More than an innocent bystander? Ann. Rheum. Dis. 2020, 79, 1515–1516. [Google Scholar] [CrossRef]
- Ruscitti, P.; Berardicurti, O.; di Benedetto, P.; Cipriani, P.; Iagnocco, A.; Shoenfeld, Y.; Giacomelli, R. Severe COVID-19, Another Piece in the Puzzle of the Hyperferritinemic Syndrome. An Immunomodulatory Perspective to Alleviate the Storm. Front. Immunol. 2020, 11, 1130. [Google Scholar] [CrossRef]
- Maruna, P.; Nedelníková, K.; Gürlich, R. Physiology and genetics of procalcitonin. Physiol. Res. 2000, 49, 57–61. [Google Scholar]
- Li, G.; Fan, Y.; Lai, Y.; Han, T.; Li, Z.; Zhou, P.; Pan, P.; Wang, W.; Hu, D.; Liu, X.; et al. Coronavirus infections and immune responses. J. Med. Virol. 2020, 92, 424–432. [Google Scholar] [CrossRef]
- Chen, N.; Zhou, M.; Dong, X.; Qu, J.; Gong, F.; Han, Y.; Qiu, Y.; Wang, J.; Liu, Y.; Wei, Y.; et al. Epidemiological and clinical characteristics of 99 cases of 2019 novel coronavirus pneumonia in Wuhan, China: A descriptive study. Lancet 2020, 395, 507–513. [Google Scholar] [CrossRef] [Green Version]
- Demiray, A.; Sarı, T.; Çalışkan, A.; Nar, R.; Aksoy, L.; Akbubak, I.H. Serum microRNA signature is capable of predictive and prognostic factor for SARS-CoV-2 virulence. Turk. J. Biochem. 2021, 46, 245–253. [Google Scholar] [CrossRef]
- Maranon, D.G.; Anderson, J.R.; Maranon, A.G.; Wilusz, J. The interface between coronaviruses and host cell RNA biology: Novel potential insights for future therapeutic intervention. Wiley Interdiscip. Rev. RNA 2020, 11, e1614. [Google Scholar] [CrossRef] [PubMed]
- Yu, M.-Y.; Zhang, J.-X.; Wang, F. Long noncoding RNAs and viral infection: Promising molecular markers? J. Lab. Precis. Med. 2017, 2, 36. [Google Scholar] [CrossRef]
- Tribolet, L.; Kerr, E.; Cowled, C.; Bean, A.G.D.; Stewart, C.R.; Dearnley, M.; Farr, R.J. MicroRNA Biomarkers for Infectious Diseases: From Basic Research to Biosensing. Front. Microbiol. 2020, 11, 1197. [Google Scholar] [CrossRef]
- Liu, Q.; Du, J.; Yu, X.; Xu, J.; Huang, F.; Li, X.; Zhang, C.; Li, X.; Chang, J.; Shang, D.; et al. miRNA-200c-3p is crucial in acute respiratory distress syndrome. Cell Discov. 2017, 3, 17021. [Google Scholar] [CrossRef]
- Sheng, K.L.; Kang, L.; Pridham, K.J.; Dunkenberger, L.E.; Sheng, Z.; Varghese, R.T. An integrated approach to biomarker discovery reveals gene signatures highly predictive of cancer progression. Sci. Rep. 2020, 10, 1–15. [Google Scholar] [CrossRef]
- Farr, R.J.; Rootes, C.L.; Rowntree, L.C.; Nguyen, T.H.O.; Hensen, L.; Kedzierski, L.; Cheng, A.C.; Kedzierska, K.; Au, G.G.; Marsh, G.A.; et al. Altered microRNA expression in COVID-19 patients enables identification of SARS-CoV-2 infection. PLoS Pathog. 2021, 17, e1009759. [Google Scholar] [CrossRef]
- Li, H.; Shi, H.; Ma, N.; Zi, P.; Liu, Q.; Sun, R. BML-111 alleviates acute lung injury through regulating the expression of lncRNA MALAT1. Arch. Biochem. Biophys. 2018, 649, 15–21. [Google Scholar] [CrossRef] [PubMed]
- Hu, J.; Wu, H.; Wang, D.; Yang, Z.; Dong, J. LncRNA ANRIL promotes NLRP3 inflammasome activation in uric acid nephropathy through miR-122-5p/BRCC3 axis. Biochimie 2019, 157, 102–110. [Google Scholar] [CrossRef] [PubMed]
- Tay, M.Z.; Poh, C.M.; Rénia, L.; Macary, P.A.; Ng, L.F.P. The trinity of COVID-19: Immunity, inflammation and intervention. Nat. Rev. Immunol. 2020, 20, 363–374. [Google Scholar] [CrossRef]
- Morenikeji, O.B.; Bernard, K.; Strutton, E.; Wallace, M.; Thomas, B.N. Evolutionarily Conserved Long Non-coding RNA Regulates Gene Expression in Cytokine Storm during COVID-19. Front. Bioeng. Biotechnol. 2021, 8, 582953. [Google Scholar] [CrossRef] [PubMed]
- Masoud, H.H.; Ellasal, G.; Zaky, S.; Baki, A.A. Management protocol for COVID-19 patients Version 1.4. In Coronavirus Disease 2019 (COVID-19), SARS CoV-2 Management Guideline; Egyptian Ministry of Health and Population: Cairo, Egypt, 2020; Available online: https://www.researchgate.net/publication/344078546_Management_Protocol_for_COVID-19_Patients_Version_1430th_May_2020_Ministry_of_health_and_population_MOHP_Egypt (accessed on 8 July 2021).
- Livak, K.J.; Schmittgen, T.D. Analysis of relative gene expression data using real-time quantitative PCR and the 2(-Delta Delta C(T)) Method. Methods 2001, 25, 402–408. [Google Scholar] [CrossRef] [PubMed]
- V’Kovski, P.; Kratzel, A.; Steiner, S.; Stalder, H.; Thiel, V. Coronavirus biology and replication: Implications for SARS-CoV-2. Nat. Rev. Microbiol. 2020, 19, 155–170. [Google Scholar] [CrossRef]
- Perricone, C.; Bartoloni, E.; Bursi, R.; Cafaro, G.; Guidelli, G.M.; Shoenfeld, Y.; Gerli, R. COVID-19 as part of the hyperferritinemic syndromes: The role of iron depletion therapy. Immunol. Res. 2020, 68, 213–224. [Google Scholar] [CrossRef] [PubMed]
- Yesupatham, S.T.; Rathnasabapathy, P.; Sujatha, M.; Mohiyuddin, S.A.; Suryanarayana, R. Quantitative Assessment of Interleukin-6 and Ferritin Levels and its Clinical Correlation among COVID-19 Patients. J. Clin. Diagn. Res. 2021, 15, 1. [Google Scholar] [CrossRef]
- Diboun, I.; Wernisch, L.; Orengo, C.A.; Koltzenburg, M. Microarray analysis after RNA amplification can detect pronounced differences in gene expression using limma. BMC Genom. 2006, 7, 252. [Google Scholar] [CrossRef]
- Chen, E.Y.; Tan, C.M.; Kou, Y.; Duan, Q.; Wang, Z.; Meirelles, G.V.; Clark, N.R.; Ma’ayan, A. Enrichr: Interactive and collaborative HTML5 gene list enrichment analysis tool. BMC Bioinform. 2013, 14, 128. [Google Scholar] [CrossRef] [Green Version]
- Agarwal, V.; Bell, G.W.; Nam, J.-W.; Bartel, D.P. Predicting effective microRNA target sites in mammalian mRNAs. eLife 2015, 4, e05005. [Google Scholar] [CrossRef]
- Wong, N.; Wang, X. miRDB: An online resource for microRNA target prediction and functional annotations. Nucleic Acids Res. 2015, 43, D146–D152. [Google Scholar] [CrossRef] [PubMed]
- Hu, R.; Han, C.; Pei, S.; Yin, M.; Chen, X. Procalcitonin levels in COVID-19 patients. Int. J. Antimicrob. Agents 2020, 56, 106051. [Google Scholar] [CrossRef] [PubMed]
- Hoodbhoy, Z.; Siddiqui, I.; Jafri, L.; Ahmed, S. Prognostic Value of Serum Procalcitonin in COVID-19 Patients: A Systematic Review. Indian J. Crit. Care Med. 2021, 25, 77–84. [Google Scholar] [CrossRef] [PubMed]
- Carubbi, F.; Salvati, L.; Alunno, A.; Maggi, F.; Borghi, E.; Mariani, R.; Mai, F.; Paoloni, M.; Ferri, C.; Desideri, G.; et al. Ferritin is associated with the severity of lung involvement but not with worse prognosis in patients with COVID-19: Data from two Italian COVID-19 units. Sci. Rep. 2021, 11, 1–11. [Google Scholar] [CrossRef]
- Harvey, W.T.; Carabelli, A.M.; Jackson, B.; Gupta, R.K.; Thomson, E.C.; Harrison, E.M.; Ludden, C.; Reeve, R.; Rambaut, A.; Peacock, S.J.; et al. SARS-CoV-2 variants, spike mutations and immune escape. Nat. Rev. Genet. 2021, 19, 409–424. [Google Scholar] [CrossRef] [PubMed]
- Shen, L.; Cui, S.; Zhang, D.; Lin, C.; Chen, L.; Wang, Q. Comparison of four commercial RT-PCR diagnostic kits for COVID-19 in China. J. Clin. Lab. Anal. 2021, 35, e23605. [Google Scholar] [CrossRef]
- Garg, A.; Ghoshal, U.; Patel, S.S.; Singh, D.V.; Arya, A.K.; Vasanth, S.; Pandey, A.; Srivastava, N. Evaluation of seven commercial RT-PCR kits for COVID-19 testing in pooled clinical specimens. J. Med. Virol. 2021, 93, 2281–2286. [Google Scholar] [CrossRef]
- Munster, V.; Koopmans, M.; van Doremalen, N.; van Riel, D.; de Wit, E. A Novel Coronavirus Emerging in China—Key Questions for Impact Assessment. N. Engl. J. Med. 2020, 382, 692–694. [Google Scholar] [CrossRef]
- Zeng, F.; Dai, C.; Cai, P.; Wang, J.; Xu, L.; Li, J.; Hu, G.; Wang, Z.; Zheng, F.; Wang, L. A comparison study of SARS-CoV-2 IgG antibody between male and female COVID-19 patients: A possible reason underlying different outcome between sex. J. Med. Virol. 2020, 92, 2050–2054. [Google Scholar] [CrossRef]
- Shen, C.; Wang, Z.; Zhao, F.; Yang, Y.; Li, J.; Yuan, J.; Wang, F.; Li, D.; Yang, M.; Xing, L.; et al. Treatment of 5 Critically Ill Patients with COVID-19 with Convalescent Plasma. JAMA 2020, 323, 1582. [Google Scholar] [CrossRef] [PubMed]
- Amaral, P.P.; Dinger, M.E.; Mercer, T.R.; Mattick, J.S. The Eukaryotic Genome as an RNA Machine. Science 2008, 319, 1787–1789. [Google Scholar] [CrossRef] [PubMed]
- Diamantopoulos, M.A.; Tsiakanikas, P.; Scorilas, A. Non-coding RNAs: The riddle of the transcriptome and their perspectives in cancer. Ann. Transl. Med. 2018, 6, 241. [Google Scholar] [CrossRef]
- Boland, C.R. Non-coding RNA: It’s Not Junk. Dig. Dis. Sci. 2017, 62, 1107–1109. [Google Scholar] [CrossRef] [PubMed]
- Qiu, L.; Wang, T.; Tang, Q.; Li, G.; Wu, P.; Chen, K. Long Non-coding RNAs: Regulators of Viral Infection and the Interferon Antiviral Response. Front. Microbiol. 2018, 9, 1621. [Google Scholar] [CrossRef]
- Yi, K.; Zhang, Y.; Wang, Y.; Wang, Z.; Xie, M.; Jin, Z.; Zhao, T. Long noncoding RNA and its role in virus infection and pathogenesis. Front. Biosci. 2019, 24, 777–789. [Google Scholar]
- Modai, S.; Farberov, L.; Herzig, E.; Isakov, O.; Hizi, A.; Shomron, N. HIV-1 infection increases microRNAs that inhibit Dicer1, HRB and HIV-EP2, thereby reducing viral replication. PLoS ONE 2019, 14, e0211111. [Google Scholar] [CrossRef] [Green Version]
- Swaminathan, G.; Navas-Martín, S.; Martín-García, J. MicroRNAs and HIV-1 Infection: Antiviral Activities and Beyond. J. Mol. Biol. 2014, 426, 1178–1197. [Google Scholar] [CrossRef] [Green Version]
- Qi, Y.; Hu, H.; Guo, H.; Xu, P.; Shi, Z.; Huan, X.; Zhu, Z.; Zhou, M.; Cui, L. MicroRNA profiling in plasma of HIV-1 infected patients: Potential markers of infection and immune status. J. Publ. Health Emerg. 2017, 1, 65. [Google Scholar] [CrossRef]
- Kim, J.H.; Lee, S.-W. The Role of MicroRNA in Pathogenesis and as Markers of HCV Chronic Infection. Curr. Drug Targets 2017, 18, 756–765. [Google Scholar] [CrossRef]
- Gupta, P.; Cairns, M.J.; Saksena, N.K. Regulation of gene expression by microRNA in HCV infection and HCV–mediated hepatocellular carcinoma. Virol. J. 2014, 11, 64. [Google Scholar] [CrossRef] [PubMed] [Green Version]
- Bhela, S.; Rouse, B.T. Are miRNAs critical determinants in herpes simplex virus pathogenesis? Microbes Infect. 2018, 20, 461–465. [Google Scholar] [CrossRef]
- Naqvi, A.R.; Shango, J.; Seal, A.; Shukla, D.; Nares, S. Herpesviruses and MicroRNAs: New Pathogenesis Factors in Oral Infection and Disease? Front. Immunol. 2018, 9, 2099. [Google Scholar] [CrossRef] [PubMed]
- Sadegh Ehdaei, B.; Pirouzmand, A.; Shabani, M.; Mirzaei, A.; Moghim, S. Cellular miR-101-1 Reduces Efficiently the Replica-tion of HSV-1 in HeLa Cells. Intervirology 2021, 64, 88–95. [Google Scholar] [CrossRef]
- Janssen, H.L.A.; Reesink, H.W.; Lawitz, E.J.; Zeuzem, S.; Rodriguez-Torres, M.; Patel, K.; van der Meer, A.J.; Patick, A.K.; Chen, A.; Zhou, Y.; et al. Treatment of HCV Infection by Targeting MicroRNA. N. Engl. J. Med. 2013, 368, 1685–1694. [Google Scholar] [CrossRef] [Green Version]
- Li, Y.; Xu, J.; Chen, H.; Bai, J.; Li, S.; Zhao, Z.; Shao, T.; Jiang, T.; Ren, H.; Kang, C.; et al. Comprehensive analysis of the functional microRNA-mRNA regulatory network identifies miRNA signatures associated with glioma malignant progression. Nucleic Acids Res. 2013, 41, e203. [Google Scholar] [CrossRef]
- Chauhan, N.; Jaggi, M.; Chauhan, S.C.; Yallapu, M.M. COVID-19: Fighting the invisible enemy with microRNAs. Expert Rev. Antiinfect. Ther. 2021, 19, 137–145. [Google Scholar] [CrossRef]
- Yousefi, H.; Maheronnaghsh, M.; Molaei, F.; Mashouri, L.; Aref, A.R.; Momeny, M.; Alahari, S.K. Long noncoding RNAs and exosomal lncRNAs: Classification, and mechanisms in breast cancer metastasis and drug resistance. Oncogene 2020, 39, 953–974. [Google Scholar] [CrossRef]
- Damas, N.D.; Fossat, N.; Scheel, T.K.H. Functional Interplay between RNA Viruses and Non-Coding RNA in Mammals. Non-Coding RNA 2019, 5, 7. [Google Scholar] [CrossRef] [Green Version]
- Cheng, J.; Zhou, X.; Feng, W.; Jia, M.; Zhang, X.; An, T.; Luan, M.; Pan, Y.; Zhang, S.; Zhou, Z.; et al. Risk stratification by long non-coding RNAs profiling in COVID-19 patients. J. Cell. Mol. Med. 2021, 25, 4753–4764. [Google Scholar] [CrossRef]
- Ng, B.; Cook, S.A.; Schafer, S. Interleukin-11 signaling underlies fibrosis, parenchymal dysfunction, and chronic inflammation of the airway. Exp. Mol. Med. 2020, 52, 1871–1878. [Google Scholar] [CrossRef] [PubMed]
- Balakrishnan, L.; Soman, S.; Patil, Y.B.; Advani, J.; Thomas, J.K.; Desai, D.V.; Kulkarni-Kale, U.; Harsha, H.C.; Prasad, T.S.K.; Raju, R.; et al. IL-11/IL11RA receptor mediated signaling: A web accessible knowledgebase. Cell Commun. Adhes. 2013, 20, 81–86. [Google Scholar] [CrossRef] [PubMed] [Green Version]
- Corden, B.; Adami, E.; Sweeney, M.; Schafer, S.; Cook, S.A. IL-11 in cardiac and renal fibrosis: Late to the party but a central player. Br. J. Pharmacol. 2020, 177, 1695–1708. [Google Scholar] [CrossRef] [PubMed]
- Paul, S.R.; Bennett, F.; Calvetti, J.A.; Kelleher, K.; Wood, C.R.; O’Hara, R.M.; Leary, A.C.; Sibley, B.; Clark, S.C.; Williams, D.A. Molecular cloning of a cDNA encoding interleukin 11, a stromal cell-derived lymphopoietic and hematopoietic cytokine. Proc. Natl. Acad. Sci. USA 1990, 87, 7512–7516. [Google Scholar] [CrossRef] [Green Version]
- Davis, S.; Aldrich, T.H.; Stahl, N.; Pan, L.; Taga, T.; Kishimoto, T.; Ip, N.Y.; Yancopoulos, G.D. LIFRβ and gp130 as Heterodimerizing Signal Transducers of the Tripartite CNTF Receptor. Science 1993, 260, 1805–1808. [Google Scholar] [CrossRef]
- Nandurkar, H.; Hilton, D.; Nathan, P.; Willson, T.; Nicola, N.; Begley, C.G. The human IL-11 receptor requires gp130 for signalling: Demonstration by molecular cloning of the receptor. Oncogene 1996, 12, 585–593. [Google Scholar]
- Li, T.; Wu, C.; Huang, H.; Chou, P.; Fong, Y.; Tang, C. Interleukin-11 Increases Cell Motility and Up-Regulates Intercellular Adhesion Molecule-1 Expression in Human Chondrosarcoma Cells. J. Cell. Biochem. 2012, 113, 3353–3362. [Google Scholar] [CrossRef] [PubMed]
- Zhang, C.; Wu, Z.; Li, J.-W.; Zhao, H.; Wang, G.-Q. Cytokine release syndrome in severe COVID-19: Interleukin-6 receptor antagonist tocilizumab may be the key to reduce mortality. Int. J. Antimicrob. Agents 2020, 55, 105954. [Google Scholar] [CrossRef]
- Chérel, M.; Sorel, M.; Lebeau, B.; Dubois, S.; Moreau, J.F.; Bataille, R.; Minvielle, S.; Jacques, Y. Molecular cloning of two isoforms of a receptor for the human hematopoietic cytokine interleukin-11. Blood 1995, 86, 2534–2540. [Google Scholar] [CrossRef] [Green Version]
- Nakayama, T.; Yoshizaki, A.; Izumida, S.; Suehiro, T.; Miura, S.; Uemura, T.; Yakata, Y.; Shichijo, K.; Yamashita, S.; Sekin, I.S.I.; et al. Expression of interleukin-11 (IL-11) and IL-11 receptor α in human gastric carcinoma and IL-11 upregulates the invasive ac-tivity of human gastric carcinoma cells. Int. J. Oncol. 2007, 30, 8. [Google Scholar] [CrossRef] [Green Version]
- Lay, V.; Yap, J.; Sonderegger, S.; Dimitriadis, E. Interleukin 11 regulates endometrial cancer cell adhesion and migration via STAT3. Int. J. Oncol. 2012, 41, 759–764. [Google Scholar] [CrossRef] [PubMed] [Green Version]
- Xu, D.; Zhu, Z.; Wakefield, M.; Xiao, H.; Bai, Q.; Fang, Y. The role of IL-11 in immunity and cancer. Cancer Lett. 2016, 373, 156–163. [Google Scholar] [CrossRef] [PubMed]
- Sims, A.N.; Jenkins, B.J.; Nakamura, A.; Quinn, J.M.; Li, R.; Gillespie, M.T.; Ernst, M.; Robb, L.; Martin, T.J. Interleukin-11 Receptor Signaling Is Required for Normal Bone Remodeling. J. Bone Miner. Res. 2005, 20, 1093–1102. [Google Scholar] [CrossRef] [PubMed]
- Gulhar, R.; Ashraf, M.A.; Jialal, I. Physiology, Acute Phase Reactants; Stat Pearls: Treasure Island, FL, USA, 2018. [Google Scholar]





| Cases N = 100 | Control N = 100 | Test of Significance | |||||
|---|---|---|---|---|---|---|---|
| Sex Male: n = 108 (54%) Female: n = 92(46%) | 56 (56%) 44 (44%) | 52 (52%) 48 (48%) | X2 = 0.322 p = 0.57 | ||||
| Chest CT finding Ground glass opacity Single lung infiltrate Bilateral lung infiltrate | 42(42%) 34(34%) 24(24%) | NA | NA | ||||
| Co-morbidities +ve: n = 74(37%) −ve: n = 126 (63%) | 56 (56%) 44 (44%) | 18 (18%) 82 (82%) | X2 = 30.9 p = 0.000 * | ||||
| Severity Mild Severe | 59 (59%) 41(41%) | NA | NA | ||||
| Ventilation +ve −ve | 64 (64%) 36 (36%) | NA | NA | ||||
| Outcome Recovery Recurrence Death | 49 (49%) 19 (19%) 32 (32%) | NA | NA | ||||
| Mean | ±SD | Standard error | Mean | ±SD | Standard error | Test of Sig. | |
| Age/years | 32.795 | 19.9122 | 1.9912 | 34.275 | 21.6260 | 2.1626 | F = 0.623 p = 0.43 |
| TLC (thousands/cmm3) | 16.7375 | 28.29100 | 2.82910 | 9.3620 | 11.59069 | 1.15907 | F = 6.7 p = 0.002 * |
| Lymphocytes (×109/L) | 1.1871 | 0.53824 | 0.05382 | 3.2460 | 0.86672 | 0.08667 | F = 19.17 p = 0.000 * |
| Hemoglobin (g/dL) | 11.9730 | 2.18696 | 0.21870 | 12.2080 | 2.46518 | 0.24652 | F = 0.017 p = 0.897 |
| Platelets (thousands/cmm) | 262.7300 | 84.96331 | 8.49633 | 244.5200 | 99.78001 | 9.97800 | F = 7.6 p = 0.006 * |
| C-reactive protein (mg/L) | 66.5030 | 75.35360 | 7.53536 | 0.8818 | 1.34212 | 0.13421 | F = 129.74 p = 0.000 * |
| Lactate dehydrogenase (LDH)(U/L) | 357.24500 | 244.410944 | 24.441094 | 166.52000 | 50.399311 | 5.039931 | F = 160.056 p = 0.000 * |
| D-dimer (mg/L) | 137.20964 | 442.970546 | 44.297055 | 0.12720 | 0.108172 | 0.010817 | F = 31.058 p = 0.000 * |
| Median | Mean Rank | Chi-Square | p | ||
|---|---|---|---|---|---|
| LncRNA RP11-773H22.4 | Healthy control | 1.1000 | 67.60 | a 78.9 | a 0.000 |
| Mild | 6.2000 | 115.19 | 22.050 b | b 0.978 | |
| Severe | 448.0000 | 159.62 | c 0.001 | ||
| HSA-MIR-4257 | Healthy control | 10.5050 | 141.61 | a 106.8 | a 0.001 |
| Mild | 0.3000 | 70.58 | b 9.416 | b 0.002 | |
| Severe | 0.1000 | 43.29 | c 0.012 | ||
| IL11RA mRNA | Healthy control | 0.1000 | 51.9 | a 148.07 | a 0.000 |
| Mild | 10.7000 | 135.5 | b 26.4 | b 0.578 | |
| Severe | 91.3910 | 176.7 | c 0.000 | ||
| IL11RA protein (pg/mL) | Healthy control | 8.9000 | 52.37 | a 146 | a 0.000 |
| Mild | 321.0000 | 135.30 | b 26.4 | b 0.00 | |
| Severe | 667.0000 | 167.83 | c 0.000 | ||
| Procalcitonin protein (pg/mL) | Healthy control | 60.0000 | 69.78 | a 65.5 | a 0.000 |
| Mild | 550.0000 | 133.09 | b 0.118 | b 0.00 | |
| Severe | 600.0000 | 128.54 | c 0.731 | ||
| Ferritin (ng/mL) | Healthy control | 31.5000 | 63.58 | a 83.16 | a 0.000 |
| Mild | 162.3000 | 131.09 | b 4.429 | b 0.00 | |
| Severe | 203.0000 | 146.52 | c 0.035 | ||
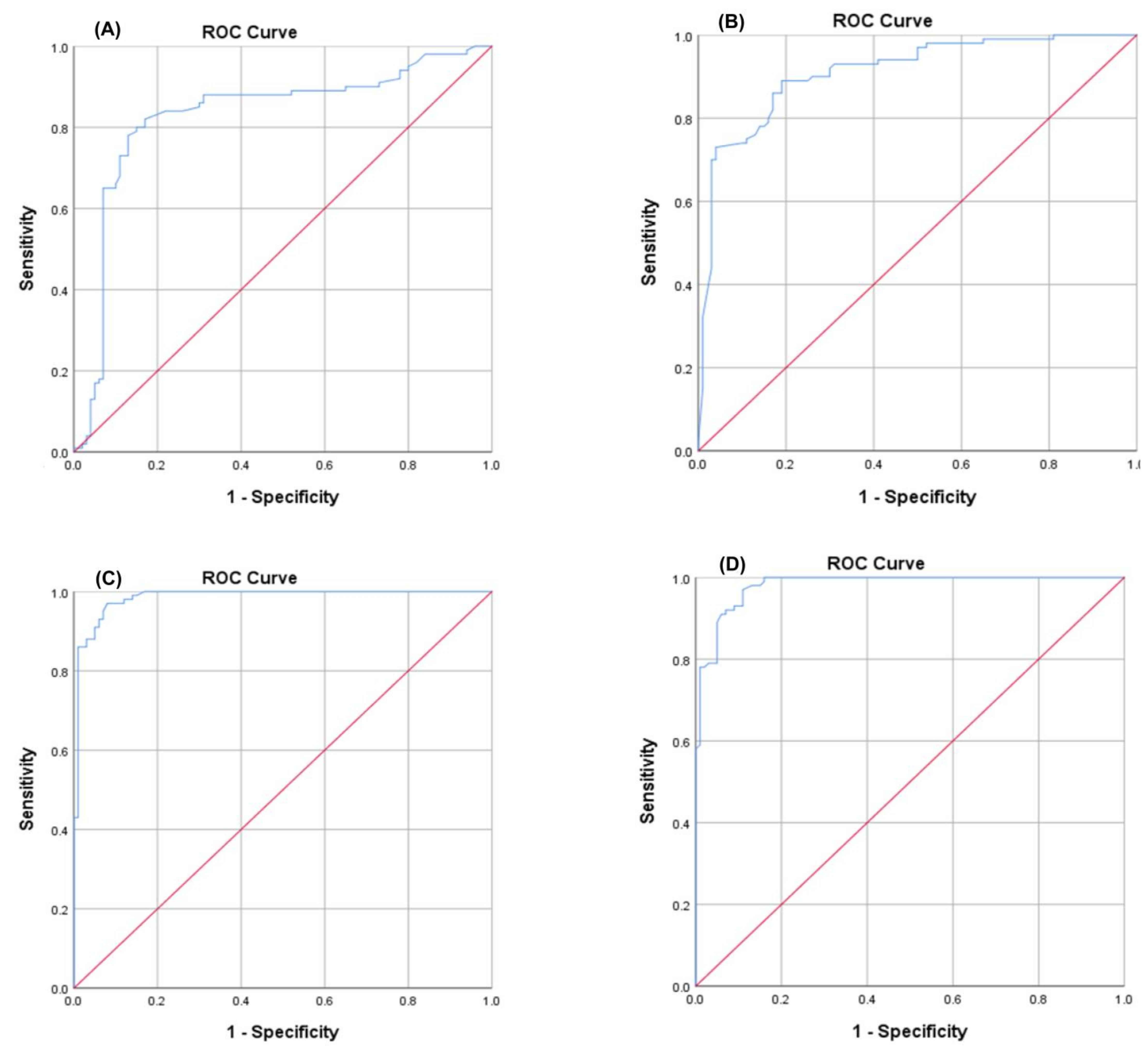
| Performance Characteristics in SARS-CoV-2 Patients Versus Healthy Control | ||||||||
| Test Result Variables | Area under Curve | Std. Error | p | Asymptotic 95% Confidence Interval | Cutoff | Sensitivity | Specificity | |
| Lower Bound | Upper Bound | |||||||
| Procalcitonin protein (pg/mL) | 0.807 | 0.032 | 0.000 | 0.744 | 0.871 | 174 | 70% | 80% |
| Ferritin (ng/mL) | 0.869 | 0.027 | 0.000 | 0.817 | 0.922 | 77 | 74% | 80% |
| IL11RA mRNA | 0.985 | 0.007 | 0.000 | 0.972 | 0.999 | 1.15 | 100% | 83% |
| IL11RA protein (pg/mL) | 0.981 | 0.007 | 0.000 | 0.967 | 0.995 | 42 | 100% | 84% |
| HSA-MIR-4257 | 0.911 | 0.021 | 0.000 | 0.871 | 0.951 | 2.07 | 88% | 81% |
| LncRNA RP11-773H22.4 | 0.829 | 0.032 | 0.000 | 0.766 | 0.892 | 2.25 | 86.2% | 84% |
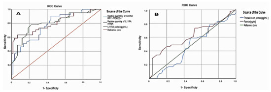
| Performance Characteristics in Mild Versus Severe SARS-CoV-2 Patients | ||||||||
| Procalcitonin protein (pg/mL) | 0.480 | 0.059 | 0.731 | 0.365 | 0.594 | 447 | 61% | 41% |
| Ferritin (ng/mL) | 0.624 | 0.060 | 0.036 | 0.507 | 0.741 | 146 | 61% | 50% |
| LncRNA RP11-773H22.4 | 0.777 | 0.046 | 0.000 | 0.687 | 0.867 | 40.5 | 78% | 71% |
| IL11RA mRNA | 0.803 | 0.047 | 0.000 | 0.710 | 0.895 | 15.95 | 73.2% | 76% |
| IL11RA protein (pg/mL) | 0.803 | 0.046 | 0.000 | 0.712 | 0.894 | 425 | 80.5% | 76% |
| Recovery N = 49 | Recurrence N = 19 | Death N = 32 | Test of Significance | ||||
|---|---|---|---|---|---|---|---|
| Age/years | Mean 25.235 | SD 18.7053 | Mean 38.053 | SD 16.6616 | Mean 41.250 | SD 19.5498 | KWχ2 = 809 p = 0.001 * |
| Sex Male: n = 56 (56%) Female: n = 44 (44%) | 28 (51.7%) 21 (42.9%) | 12 (63.2%) 7 (36.8%) | 16 (50%) 16 (50%) | X2 = 0.889 p = 0.641 | |||
| Co-morbidities +ve 44 (44%) −ve 56 (56%) | 26 (53.1%) 23 (46.9.7%) | 10 (52.6%) 9 (47.4%) | 8 (25%) 24 (75%) | X2 = 6.896 p = 0.032 * | |||
| Ventilation +ve 36 (36%) −ve 64 (64%) | 2 (4.1%) 47 (95.9%) | 4 (21.1%) 15 (78.9%) | 30 (93.7%) 2 (6.3%) | X2 = 69.9 p = 0.000 * | |||
| Severity Mild (n = 59) Severe (n = 41) | 46 (93.3%) 3 (6.1%) | 13 (68.4%) 6 (31.6%) | 0 (0%) 32 (100%) | X2 = 71.378 p = 0.000 * | |||
| Chest CT finding Ground glass opacity Single lung infiltrate Bilateral lung infiltrate | 29 (59.2%) 18 (36.7%) 2 (4.1%) | 13 (68.4%) 1 (5.3%) 5 (26.3%) | 0 (0%) 15 (46.9%) 17 (53.1%) | X2 = 45.778 p = 0.000 * | |||
| Mean | SD | Mean | SD | Mean | SD | ||
| Hemoglobin (gm/dL) | 12.2510 | 2.36556 | 12.2158 | 1.75159 | 11.4031 | 2.08195 | KWχ2 = 1.6 p = 0.223 |
| Total leukocyte count (TLC) (thousands/cmm) | 18.6347 | 31.86161 | 10.4316 | 4.04352 | 17.5766 | 30.72309 | KWχ2 = 591 p = 0.556 |
| Platelets (thousands/cmm) | 253.6327 | 96.43169 | 260.8421 | 59.18076 | 277.7813 | 79.08498 | KWχ2 = 0.784 p = 0.459 |
| Lymphocytes (×109/L) | 1.2435 | 0.50182 | 1.1395 | 0.50617 | 1.1291 | 0.61368 | KWχ2 = 0.542 p = 0.594 |
| C-reactive protein (mg/L) | 63.6531 | 77.46586 | 84.2947 | 88.52500 | 60.3031 | 63.59897 | KWχ2 = 0.668 p = 0.515 |
| Serum LDH (U/L) | 344.74490 | 275.867800 | 310.73684 | 216.314288 | 300.00000 | 231.899867 | KWχ2 = 0.337 p = 0.715 |
| D-dimer (mg/L) | 53.03259 | 267.717708 | 31.48211 | 64.400389 | 328.88147 | 676.230333 | KWχ2 = 4.7 p = 0.01 * |
| Ferritin (ng/mL) | 275.4490 | 363.82781 | 354.3684 | 424.74139 | 413.9188 | 412.48398 | KWχ2 = 0.308 p = 0.735 |
| Procalcitonin | 1152.4694 | 1628.97473 | 1031.9474 | 2225.97301 | 865.5313 | 1050.06679 | KWχ2 = 1.24 p = 0.294 |
| IL11RA mRNA Positive (100%) Negative (0%) | 49 (100%) 0 (0%) | 19 (100%) 0 (0%) | 32 (100%) 0 (0%) | NA | |||
| IL11RA protein (pg/mL) Positive (100%) Negative (0%) | 49 (100%) 0 (0%) | 19 (100%) 0 (0%) | 32 (100%) 0 (0%) | NA | |||
| HAS-MIR-4257 Positive (88%) Negative (12%) | 43 (87.8%) 6 (12.2%) | 15 (78.9%) 4 (21.1%) | 30 (93.8%) 2 (6.3%) | X2 = 2.479 p = 0.29 | |||
| LncRNA RP11-773H22.4 Positive (81%) Negative (19%) | 35 (71.4%) 14 (28.6.2%) | 16 (84.2%) 3 (15.8%) | 30 (93.8%) 2 (6.3%) | X2 = 6.424 p = 0.04 * | |||
| Variable | Score | Degree of Freedom | Significance | B | S.E. | Exp(B) |
|---|---|---|---|---|---|---|
| CRP | 0.512 | 1 | 0.474 | 0.088 | 34.487 | 1.092 |
| Hb | 8.936 | 1 | 0.003 * | 1.862 | 522.178 | 6.440 |
| TLC | 0.001 | 1 | 0.976 | −0.171 | 138.882 | 0.843 |
| Lymphocytes | 3.825 | 1 | 0.051 | −3.762 | 2063.186 | 0.023 |
| LDH | 0.588 | 1 | 0.443 | −0.091 | 10.364 | 0.913 |
| PLT | 0.725 | 1 | 0.394 | 0.041 | 11.637 | 1.042 |
| Co-morbidities | 16.604 | 1 | 0.000 * | 2.245 | 1006.505 | 9.441 |
| Relative quantity of LncRNA RP11-773H22.4 | 11.286 | 1 | 0.001 * | −0.006 | 1.071 | 0.994 |
| Relative quantity of HSA-MIR-4257 | 5.178 | 1 | 0.023 * | 5.602 | 3992.203 | 271.090 |
| Relative quantity of IL11RA mRNA | 23.629 | 1 | 0.000 * | 0.733 | 52.176 | 2.081 |
| IL11RA protein (pg/mL) | 26.835 | 1 | 0.000 * | 0.073 | 6.966 | 1.076 |
| Procalcitonin protein (pg/mL) | 1.503 | 1 | 0.220 | −0.032 | 4.628 | 0.968 |
| CT finding | 64.862 | 1 | 0.000 * | 139.118 | 8519.213 | 2.620 × 106 |
| Ferritin (ng/mL) | 5.528 | 1 | 0.019 * | 0.095 | 7.335 | 1.100 |
Publisher’s Note: MDPI stays neutral with regard to jurisdictional claims in published maps and institutional affiliations. |
© 2021 by the authors. Licensee MDPI, Basel, Switzerland. This article is an open access article distributed under the terms and conditions of the Creative Commons Attribution (CC BY) license (https://creativecommons.org/licenses/by/4.0/).
Share and Cite
Agwa, S.H.A.; Elghazaly, H.; Meteini, M.S.E.; Shawky, S.M.; Ali, M.; Abd Elsamee, A.M.; Sayed, S.M.; Sherif, N.; Sharaf, H.M.; Alhadidy, M.A.; et al. In Silico Identification and Clinical Validation of a Novel Long Non-Coding RNA/mRNA/miRNA Molecular Network for Potential Biomarkers for Discriminating SARS CoV-2 Infection Severity. Cells 2021, 10, 3098. https://doi.org/10.3390/cells10113098
Agwa SHA, Elghazaly H, Meteini MSE, Shawky SM, Ali M, Abd Elsamee AM, Sayed SM, Sherif N, Sharaf HM, Alhadidy MA, et al. In Silico Identification and Clinical Validation of a Novel Long Non-Coding RNA/mRNA/miRNA Molecular Network for Potential Biomarkers for Discriminating SARS CoV-2 Infection Severity. Cells. 2021; 10(11):3098. https://doi.org/10.3390/cells10113098
Chicago/Turabian StyleAgwa, Sara H. A., Hesham Elghazaly, Mahmoud Shawky El Meteini, Sherif M. Shawky, Marwa Ali, Aya M. Abd Elsamee, Safa Matbouly Sayed, Nadine Sherif, Howida M. Sharaf, Mohamed A. Alhadidy, and et al. 2021. "In Silico Identification and Clinical Validation of a Novel Long Non-Coding RNA/mRNA/miRNA Molecular Network for Potential Biomarkers for Discriminating SARS CoV-2 Infection Severity" Cells 10, no. 11: 3098. https://doi.org/10.3390/cells10113098
APA StyleAgwa, S. H. A., Elghazaly, H., Meteini, M. S. E., Shawky, S. M., Ali, M., Abd Elsamee, A. M., Sayed, S. M., Sherif, N., Sharaf, H. M., Alhadidy, M. A., & Matboli, M. (2021). In Silico Identification and Clinical Validation of a Novel Long Non-Coding RNA/mRNA/miRNA Molecular Network for Potential Biomarkers for Discriminating SARS CoV-2 Infection Severity. Cells, 10(11), 3098. https://doi.org/10.3390/cells10113098

