Physiological Responses of Selected Vegetable Crop Species to Water Stress
Abstract
1. Introduction
2. Water Stress during Growth of Vegetable Crops
3. Drought Tolerance
4. Reduction of Water Loss
4.1. Regulation of Water Circulation in Plants under Drought
4.1.1. Stomatal Characteristics
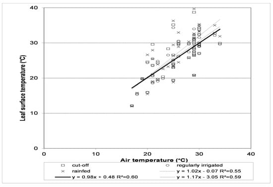
4.1.2. Canopy Temperature-Transpiration
4.1.3. Stomatal Conductance
4.2. Photosynthesis in Drought
4.2.1. Chlorophyll Fluorescence
4.2.2. Photosynthetic Pigments
5. Relationship between Drought Stress Markers and Yield
6. Use of Physiological Characteristics
Author Contributions
Funding
Conflicts of Interest
References
- Ray, P. Hi-Tech Horticulture and Climate Change. In Climate Dinamics in Horticultural Science, Principles and Applications; Choudhary, M.L., Patel, V.B., Siddiqui, M.W., Mahdi, S.S., Eds.; Apple Academic Press: Oakville, ON, Canada; CRC Press Taylor & Francis Group: Boca Raton, FL, USA, 2015; Volume 1, pp. 1–22. [Google Scholar]
- Nemeskéri, E.; Molnár, K.; Rácz, C.; Dobos, A.C.; Helyes, L. Effect of Water Supply on Spectral Traits and Their Relationship with the Productivity of Sweet Corns. Agronomy 2019, 9, 63. [Google Scholar] [CrossRef]
- Nemeskéri, E.; Neményi, A.; Bőcs, A.; Pék, Z.; Helyes, L. Physiological Factors and their Relationship with the Productivity of Processing Tomato under Different Water Supplies. Water 2019, 11, 586. [Google Scholar] [CrossRef]
- Aroca, R.; Porcel, R.; Ruiz-Lozano, J.M. Regulation of root water uptake under abiotic stress conditions. J. Exp. Bot. 2012, 63, 43–57. [Google Scholar] [CrossRef] [PubMed]
- Limami, A.; Diab, H.; Lothier, J. Nitrogen metabolism in plants under low oxygen stress. Planta 2014, 239, 531–541. [Google Scholar] [CrossRef] [PubMed]
- Zhu, M.; Li, F.H.; Shi, Z.S. Morphological and photosynthetic response of waxy corn inbred line to waterlogging. Photosynthetica 2016, 54, 636–640. [Google Scholar] [CrossRef]
- Tian, L.; Bi, W.; Liu, X.; Sun, L.; Li, J. Effects of waterlogging stress on the physiological response and grain-filling characteristics of spring maize (Zea mays L.) under field conditions. Acta Physiol. Plant. 2019, 41, 63. [Google Scholar] [CrossRef]
- Food and Agriculture Organization. FAOSTAT Crops Production. 2017. Available online: http://www.fao.org/faostat/en/#data/QC (accessed on 9 July 2018).
- Heszky, L. Szárazság és a növény kapcsolata. Agrofórum 2007, 18, 37–41. (In Hungarian) [Google Scholar]
- Patanè, C.; Tringali, S.; Sortino, O. Effects of deficit irrigation on biomass, yield, water productivity and fruit quality of processing tomato under semi-arid Mediterranean climate conditions. Sci. Hortic. 2011, 129, 590–596. [Google Scholar] [CrossRef]
- Mir, R.R.; Zaman-Allah, M.; Sreenivasulu, N.; Trethowan, R.; Varshney, R.K. Integrated genomics, physiology and breeding approaches for improving drought tolerance in crops. Theor. Appl. Genet. 2012, 125, 625–645. [Google Scholar] [CrossRef] [PubMed]
- Kang, S.; Shi, W.; Zhang, J. An improved water-use efficiency for maize grown under regulated deficit irrigation. Field Crop. Res. 2000, 67, 207–214. [Google Scholar] [CrossRef]
- Kirda, C. Deficit Irrigation Scheduling Based on Plant Growth Stages Showing Water Stress Tolerance; Deficit Irrigation Practice Water Report 22; FAO: Rome, Italy, 2002; pp. 3–10. [Google Scholar]
- Nemeskéri, E.; Molnár, K.; Vígh, R.; Nagy, J.; Dobos, A. Relationships between stomatal behaviour, spectral traits and water use and productivity of green peas (Pisum sativum L.) in dry seasons. Acta Physiol. Plant. 2015, 37, 1–16. [Google Scholar] [CrossRef]
- Nemeskéri, E.; Molnár, K.; Pék, Z.; Helyes, L. Effect of water supply on the water use-related physiological traits and yield of snap beans in dry seasons. Irrig. Sci. 2018, 36, 143–158. [Google Scholar] [CrossRef]
- Nemeskéri, E.; Molnár, K.; Helyes, L. Relationships of spectral traits with yield and nutritional quality of snap beans (Phaseolus vulgaris L.) in dry seasons. Arch. Agron. Soil Sci. 2018, 64, 1222–1239. [Google Scholar] [CrossRef]
- Fang, X.; Turner, N.C.; Yan, G.; Li, F.; Siddique, K.H.M. Flower numbers, pod production, pollen viability, and pistil function are reduced and flower and pod abortion increased in chickpea (Cicer arietinum L.) under terminal drought. J. Exp. Bot. 2010, 61, 335–345. [Google Scholar] [CrossRef] [PubMed]
- Behboudian, M.H.; Ma, Q.; Turner, N.C.; Palta, J.A. Reactions of chickpea to water stress: Yield and seed composition. J. Sci. Food Agric. 2001, 81, 1288–1291. [Google Scholar] [CrossRef]
- Boutraa, T.; Sanders, F.E. Influence of Water Stress on Grain Yield and Vegetative Growth of Two Cultivars of Bean (Phaseolus vulgaris L.). J. Agron. Crop. Sci. 2001, 187, 251–257. [Google Scholar] [CrossRef]
- Beshir, H.; Bueckert, R.; Tar’An, B. Effect of temporary drought at different growth stages on snap bean pod quality and yield. Afr. Crop. Sci. J. 2016, 24, 317–330. [Google Scholar] [CrossRef][Green Version]
- Durigon, A.; Evers, J.; Metselaar, K.; Lier, Q.D.J.V. Water Stress Permanently Alters Shoot Architecture in Common Bean Plants. Agronomy 2019, 9, 160. [Google Scholar] [CrossRef]
- Baigorri, H.; Antolín, M.C.; Sánchez-Díaz, M. Reproductive response of two morphologically different pea cultivars to drought. Eur. J. Agron. 1999, 10, 119–128. [Google Scholar] [CrossRef]
- Moser, S.B.; Feil, B.; Jampatong, S.; Stamp, P. Effects of pre-anthesis drought, nitrogen fertilizer rate, and variety on grain yield, yield components, and harvest index of tropical maize. Agric. Water Manag. 2006, 81, 41–58. [Google Scholar] [CrossRef]
- Öktem, A. Effect of water shortage on yield, and protein and mineral compositions of drip-irrigated sweet corn in sustainable agricultural systems. Agric. Water Manag. 2008, 95, 1003–1010. [Google Scholar] [CrossRef]
- Uçak, A.B.; Öktemb, A.; Sezerc, C.; Cengizc, R.; İnald, B. Determination of arid and temperature resistant sweet corn (Zea mays saccharata Sturt) lines. Int. J. Environ. Agric. Res. 2016, 2, 79–88. [Google Scholar]
- Helyes, L.; Varga, G. Irrigation demand of tomato according to the results of three decades. Acta Hortic. 1994, 376, 323–328. [Google Scholar] [CrossRef]
- Helyes, L.; Varga, G.; Dimény, J.; Pék, Z. The simultaneous effect of variety, irrigation and weather on tomato yield. Acta Hortic. 1999, 487, 499–506. [Google Scholar] [CrossRef]
- Patane, C.; Cosentino, S.; Cosentino, S. Effects of soil water deficit on yield and quality of processing tomato under a Mediterranean climate. Agric. Water Manag. 2010, 97, 131–138. [Google Scholar] [CrossRef]
- Pires, R.C.D.M.; Furlani, P.R.; Ribeiro, R.V.; Junior, D.B.; Sakai, E.; Lourenção, A.L.; Neto, A.T. Irrigation frequency and substrate volume effects in the growth and yield of tomato plants under greenhouse conditions. Sci. Agric. 2011, 68, 400–405. [Google Scholar] [CrossRef]
- Bahadur, A.; Chatterjee, A.; Kumar, R.; Singh, M.; Naik, P.S. Physiological and biochemical basis of drought tolerance in vegetables. Veg. Sci. 2011, 38, 1–16. [Google Scholar]
- Helyes, L.; Bőcs, A.; Pék, Z. Effect of water supply on canopy temperature, stomatal conductance and yield quantity of processing tomato (Lycopersicon esculentum Mill.). Int. J. Hortic. Sci. 2010, 16, 13–15. [Google Scholar] [CrossRef]
- Nankishore, A.; Farrell, A.D. The response of contrasting tomato genotypes to combined heat and drought stress. J. Plant Physiol. 2016, 202, 75–82. [Google Scholar] [CrossRef]
- Agbna, G.H.; Dongli, S.; Zhipeng, L.; Elshaikh, N.A.; Guangcheng, S.; Timm, L.C. Effects of deficit irrigation and biochar addition on the growth, yield, and quality of tomato. Sci. Hortic. 2017, 222, 90–101. [Google Scholar] [CrossRef]
- Rodriguez-Ortega, W.; Martinez, V.; Rivero, R.; Cámara-Zapata, J.-M.; Mestre, T.; Garcia-Sanchez, F. Use of a smart irrigation system to study the effects of irrigation management on the agronomic and physiological responses of tomato plants grown under different temperatures regimes. Agric. Water Manag. 2017, 183, 158–168. [Google Scholar] [CrossRef]
- Gurumurthy, S.; Sarkar, B.; Vanaja, M.; Lakshmi, J.; Yadav, S.K.; Maheswari, M. Morpho-physiological and biochemical changes in black gram (Vigna mungo L. Hepper) genotypes under drought stress at flowering stage. Acta Physiol. Plant. 2019, 41, 42. [Google Scholar] [CrossRef]
- Stone, P.J.; Wilson, D.R.; Jamieson, P.D.; Gillespie, R.N. Water deficit effects on sweet corn. Part II. Canopy development. Aust. J. Agric. Res. 2001, 54, 115–126. [Google Scholar] [CrossRef]
- Genc, L.; Inalpulat, M.; Kizil, U.; Mirik, M.; Smith, S.E.; Mendes, M. Determination of water stress with spectral reflectance on sweet corn (Zea mays L.) using classification tree (CT) analysis. Zemdirbyste-Agriculture 2013, 100, 81–90. [Google Scholar] [CrossRef]
- Spitkó, T.; Nagy, Z.; Zsubori, Z.T.; Szőke, C.; Berzy, T.; Pintér, J.; Márton, L. Connection between normalized difference vegetation index and yield in maize. Plant Soil Environ. 2016, 62, 293–298. [Google Scholar] [CrossRef]
- Zhou, J.; Khot, L.R.; Boydston, R.A.; Miklas, P.N.; Porter, L. Low altitude remote sensing technologies for crop stress monitoring: A case study on spatial and temporal monitoring of irrigated pinto bean. Precis. Agric. 2018, 19, 555–569. [Google Scholar] [CrossRef]
- Chatterjee, A.; Solankey, S. Functional Physiology in Drought Tolerance of Vegetable Crops: An Approach to Mitigate Climate Change Impact. In Climate Dynamics in Horticultural Science, Principles and Applications; Choudhary, M.L., Patel, V.B., Siddiqui, M.W., Mahdi, S.S., Eds.; Apple Academic Press: Oakville, ON, Canada; CRC Press Taylor & Francis Group: Boca Raton, FL, USA, 2015; Volume 1, pp. 149–171. [Google Scholar]
- Cattivelli, L.; Baldi, P.; Crosatti, C.; Di Fonzo, N.; Faccioli, P.; Grossi, M.; Mastrangelo, A.M.; Pecchioni, N.; Stanca, A.M. Chromosome regions and stress-related sequences involved in resistance to abiotic stress in Triticeae. Plant Mol. Biol. 2002, 48, 649–665. [Google Scholar] [CrossRef]
- Ramanjulu, S.; Bartels, D. Drought- and desiccation-induced modulation of gene expression in plants. Plant Cell Environ. 2002, 25, 141–151. [Google Scholar] [CrossRef]
- Zhang, J.; Zheng, H.G.; Aarti, A.; Pantuwan, G.; Nguyen, T.T.; Tripathy, J.N.; Sarial, A.K.; Robin, S.; Babu, R.C.; Nguyen, B.D.; et al. Locating genomic regions associated with components of drought resistance in rice: Comparative mapping within and across species. Theor. Appl. Genet. 2001, 103, 19–29. [Google Scholar] [CrossRef]
- Lanceras, J.C.; Pantuwan, G.; Jongdee, B.; Toojinda, T. Quantitative Trait Loci Associated with Drought Tolerance at Reproductive Stage in Rice. Plant Physiol. 2004, 135, 384–399. [Google Scholar] [CrossRef]
- Cattivelli, L.; Rizza, F.; Badeck, F.-W.; Mazzucotelli, E.; Mastrangelo, A.M.; Francia, E.; Maré, C.; Tondelli, A.; Stanca, A.M. Drought tolerance improvement in crop plants: An integrated view from breeding to genomics. Field Crop. Res. 2008, 105, 1–14. [Google Scholar] [CrossRef]
- De Leonardis, A.M.; Petrarulo, M.; Vita, P.D.; Mastrangelo, A.M. Genetic and Molecular Aspects of Plant Response to Drought in Annual Crop Species. In Advances in Selected Plant Physiology Aspects; Giuseppe, M., Dichio, B., Eds.; InTech Publisher: Rijeka, Croatia, 2012; pp. 45–74. [Google Scholar]
- Kumar, R.; Solankey, S.S.; Singh, M. Breeding for drought tolerance in vegetables. Veg. Sci. 2012, 39, 1–15. [Google Scholar]
- Augé, R.M.; Sylvia, D.M.; Park, S.; Buttery, B.R.; Saxton, A.M.; Moore, J.L.; Cho, K. Partitioning mycorrhizal influence on water relations of Phaseolus vulgaris into soil and plant components. Can. J. Bot. 2004, 82, 503–514. [Google Scholar] [CrossRef]
- Mnasri, B.; Aouani, M.E.; Mhamdi, R. Nodulation and growth of common bean (Phaseolus vulgaris) under water deficiency. Soil Biol. Biochem. 2007, 39, 1744–1750. [Google Scholar] [CrossRef]
- Dalton, D.A.; Moran, J.F.; Iturbe-Ormaetxe, I.; Matamoros, M.A.; Rubio, M.C.; Iturbe-Ormaetxe, I. Reactive oxygen species and antioxidants in legume nodules. Physiol. Plant. 2000, 109, 372–381. [Google Scholar]
- Collados, C.; Barea, J.M.; Ruiz-Lozano, J.M.; Azcón, R. Arbuscular mycorrhizal symbiosis can alleviate drought-induced nodule senescence in soybean plants. New Phytol. 2001, 151, 493–502. [Google Scholar]
- Esfahani, M.N.; Mostajeran, A. Rhizobial strain involvement in symbiosis efficiency of chickpea–rhizobia under drought stress: Plant growth, nitrogen fixation and antioxidant enzyme activities. Acta Physiol. Plant. 2011, 33, 1075–1083. [Google Scholar] [CrossRef]
- Nicholas, S. Plant resistance to environmental stress. Curr. Opin. Biotechnol. 1998, 9, 214–219. [Google Scholar]
- Nemeskéri, E. Water deficiency resistance study on soya and bean cultivars. Acta Agron. Hung. 2001, 49, 83–93. [Google Scholar] [CrossRef]
- Marouelli, W.A.; Silva, W.L.C. Water tension thresholds for processing tomatoes under drip irrigation in Central Brazil. Irrig. Sci. 2007, 25, 411–418. [Google Scholar] [CrossRef]
- Nemeskéri, E.; Horváth, K.; Pék, P.; Helyes, L. Effect of mycorrhizal and bacterial products on the traits related to photosynthesis and fruit quality of tomato under water deficiency conditions. Acta Hortic. 2019, 61–66. [Google Scholar] [CrossRef]
- Nilsen, E.T.; Forseth, E.N., Jr. The role of leaf movements for optimizing photosynthesis in relation to environmental variation. In Advance in Photosynthesis and Respiration, The Leaf: A Platform for Performing Photosynthesis; Adams, W.W., Terashima, I., Eds.; Springer: Basel, Switzerland, 2018; Volume 4, pp. 401–423. [Google Scholar]
- Fernandez, D.; Castrillo, M. Maize leaf rolling initiation. Photosynthetica 1999, 37, 493–497. [Google Scholar] [CrossRef]
- Sağlam, A.; Kadioglu, A.; Demiralay, M.; Terzi, R. Leaf Rolling Reduces Photosynthetic Loss in Maize Under Severe Drought. Acta Bot. Croat. 2014, 73, 315–332. [Google Scholar] [CrossRef]
- Pastenes, C.; Pimentel, P.; Lillo, J. Leaf movements and photoinhibition in relation to water stress in field-grown beans. J. Exp. Bot. 2005, 56, 425–433. [Google Scholar] [CrossRef]
- Gomes, A.M.M.; Lagoa, A.M.M.A.; Medina, C.L.; Machado, E.C.; Machado, M.A. Interactions between leaf water potential, stomatal conductance and abscisic acid content of orange trees submitted to drought stress. Braz. J. Plant Physiol. 2004, 16, 155–161. [Google Scholar] [CrossRef]
- Parry, A.D.; Horgan, R. Abscisic acid biosynthesis in roots. Planta 1992, 187, 185–191. [Google Scholar] [CrossRef]
- Reynolds-Henne, C.E.; Langenegger, A.; Mani, J.; Schenk, N.; Zumsteg, A.; Feller, U. Interactions between temperature, drought and stomatal opening in legumes. Environ. Exp. Bot. 2010, 68, 37–43. [Google Scholar] [CrossRef]
- De Carvalho, M.H.C.; Laffray, D.; Louguet, P. Comparison of the physiological responses of Phaseolus vulgaris and Vigna unguiculata cultivars when submitted to drought conditions. Environ. Exp. Bot. 1998, 40, 197–207. [Google Scholar] [CrossRef]
- Garcia, A.L.; Marcelis, L.; Garcia-Sanchez, F.; Nicolas, N.; Martinez, V. Moderate water stress affects tomato leaf water relations in dependence on the nitrogen supply. Biol. Plant. 2007, 51, 707–712. [Google Scholar] [CrossRef]
- Zhou, R.; Kong, L.; Wu, Z.; Rosenqvist, E.; Wang, Y.; Zhao, L.; Zhao, T.; Ottosen, C.O. Physiological response of tomatoes at drought, heat and their combination followed by recovery. Physiol. Plant. 2019, 165, 144–154. [Google Scholar] [CrossRef]
- Du, W.-J.; Yu, D.-Y.; Fu, S.-X. Analysis of QTLs for the trichome density on the upper and downer surface of leaf blade in soybean [Glycine max (L.) Merr.]. Agric. Sci. China 2009, 8, 529–537. [Google Scholar] [CrossRef]
- Nobel, P.S. Physicochemical and Environmental Plant Physiology; Academic Press: Cambridge, MA, USA, 1991; p. 635. [Google Scholar]
- Sam, O.; Jeréz, E.; Dell’Amico, J.; Ruiz-Sanchez, M.C. Water stress induced changes in anatomy of tomato leaf epidermis. Biol. Plant. 2000, 43, 275–277. [Google Scholar] [CrossRef]
- Sánchez, F.J.; Manzanares, M.; De Andres, E.F.; Tenorio, J.L.; Ayerbe, L. Residual transpiration rate, epicuticular wax load and leaf colour of pea plants in drought conditions. Influence on harvest index and canopy temperature. Eur. J. Agron. 2001, 15, 57–70. [Google Scholar] [CrossRef]
- Gomes, F.P.; Oliva, M.A.; Mielke, M.S.; Almeida, A.-A.F.; Aquino, L.A. Osmotic adjustment, proline accumulation and cell membrane stability in leaves of Cocos nucifera submitted to drought stress. Sci. Hortic. 2010, 126, 379–384. [Google Scholar] [CrossRef]
- Sánchez, F.J.; Manzanares, M.; De Andres, E.F.; Tenorio, J.L.; Ayerbe, L. Turgor maintenance, osmotic adjustment and soluble sugar and proline accumulation in 49 pea cultivars in response to water stress. Field Crop. Res. 1998, 59, 225–235. [Google Scholar] [CrossRef]
- Babita, M.; Maheswari, M.; Rao, L.; Shanker, A.K.; Rao, D.G. Osmotic adjustment, drought tolerance and yield in castor (Ricinus communis L.) hybrids. Environ. Exp. Bot. 2010, 69, 243–249. [Google Scholar] [CrossRef]
- Nemeskéri, E.; Sárdi, E.; Remenyik, J.; Kőszegi, B.; Nagy, P. Study of defensive mechanisms against drought of French bean (Phaseolus vulgaris L.) varieties. Acta Physiol. Plant. 2010, 32, 1125–1134. [Google Scholar] [CrossRef]
- Chen, Z.; Gallie, D.R. The Ascorbic Acid Redox State Controls Guard Cell Signaling and Stomatal Movement. Plant Cell 2004, 16, 1143–1162. [Google Scholar] [CrossRef]
- Galmés, J.; Ochogavía, J.M.; Gago, J.; Roldán, E.J.; Cifre, J.; Conesa, M.A. Leaf responses to drought stress in Mediterranean accessions of Solanum lycopersicum: Anatomical adaptations in relation to gas exchange parameters. Plant Cell Environ. 1913, 36, 920–935. [Google Scholar] [CrossRef]
- Muir, C.D.; Conesa, M.À.; Galmés, J. Independent evolution of ab- and adaxial stomatal density enables adaptation. bioRxiv 2015, 1–25. [Google Scholar] [CrossRef]
- Galmés, J.; Conesa, M.A.; Manuel Ochogavía, J.; Alejandro Perdomo, J.; Francis, D.M.; Ribas-Carbo, M.; Save, R.; Flexas, J.; Medrano, H.; Cifre, J. Physiological and morphological adaptations in relation to water use efficiency in Mediterranean accessions of Solanum lycopersicum. Plant Cell Environ. 2011, 34, 245–260. [Google Scholar] [CrossRef]
- Hardy, J.P.; Anderson, V.J.; Gardner, J.S. Stomatal characteristics, conductance ratios, and drought-induced leaf modifications of semiarid grassland species. Am. J. Bot. 1995, 82, 1–7. [Google Scholar] [CrossRef]
- Dejonge, K.C.; Taghvaeian, S.; Trout, T.J.; Comas, L.H. Comparison of canopy temperature-based water stress indices for maize. Agric. Water Manag. 2015, 156, 51–62. [Google Scholar] [CrossRef]
- Jones, H.G.; Jones, H. Use of thermography for quantitative studies of spatial and temporal variation of stomatal conductance over leaf surfaces. Plant Cell Environ. 1999, 22, 1043–1055. [Google Scholar] [CrossRef]
- Cornic, G.; Lawlor, D.W. Photosynthetic carbon assimilation and associated metabolism in relation to water deficits in higher plants. Plant Cell Environ. 2002, 25, 275–294. [Google Scholar]
- Flagella, Z.; Campanile, R.G.; Stoppelli, M.C.; De Caro, A.; Di Fonzo, N. Drought tolerance of photosynthetic electron transport under CO2-enriched and normal air in cereal species. Physiol. Plant. 1998, 104, 753–759. [Google Scholar] [CrossRef]
- Pol, M.; Gołębiowska, D.; Miklewska, J. Influence of enhanced concentration of carbon dioxide and moderate drought on fluorescence induction in white clover (Trifolium repens L.). Photosynthetica 1999, 37, 537–542. [Google Scholar] [CrossRef]
- Yordanov, I.; Velikova, V.; Tsonev, T. Plant Responses to Drought, Acclimation, and Stress Tolerance. Photosynthetica 2000, 38, 171–186. [Google Scholar] [CrossRef]
- Ghanbari, A.A.; Shakiba, M.R.; Toorchi, M.; Choukan, R. Morpho-physiological responses of common bean leaf to water deficit stress. Eur. J. Exp. Biol. 2013, 3, 487–492. [Google Scholar]
- Guida, G.; Sellami, M.H.; Mistretta, C.; Oliva, M.; Buonomo, R.; De Mascellis, R.; Patanè, C.; Rouphael, Y.; Albrizio, R.; Giorio, P. Agronomical, physiological and fruit quality responses of two Italian long-storage tomato landraces under rain-fed and full irrigation conditions. Agric. Water Manag. 2017, 180, 126–135. [Google Scholar] [CrossRef]
- Nemeskéri, E.; Molnár, K.; Dobos, A.C. Csemegekukorica (Zea mays L. convar. saccharata) sztóma működése, és hatása a növekedésre és terméskomponensekre eltérő vízellátás alatt (Stomatal behaviour and its influence on the growing and yield components of sweet corn (Zea mays L. convar. saccharata). Növénytermelés 2017, 66, 75–95. [Google Scholar]
- Yang, H.M.; Zhang, X.Y.; Wang, G.X. Relationships between stomatal character, photosynthetic character and seed chemical composition in grass pea at different water availabilities. J. Agric. Sci. 2004, 142, 675–681. [Google Scholar] [CrossRef]
- Gonzalez-Dugo, M.P.; Moran, M.S.; Mateos, L.; Bryant, R. Canopy temperature variability as an indicator of crop water stress severity. Irrig. Sci. 2006, 24, 233–240. [Google Scholar] [CrossRef]
- Bonanno, A.R.; Mack, H.J. Use of canopy—Air temperature differentials as a method for scheduling irrigation in snap beans. J. Am. Hortic. Sci. 1983, 108, 826–831. [Google Scholar]
- Helyes, L. Relations among the water supply, foliage temperature and the yield of tomato. Acta Hortic. 1990, 277, 115–122. [Google Scholar] [CrossRef]
- Helyes, L.; Dimény, J.; Varga, G. Az öntözés tervezése a lombfelszín-hőmérséklet alapján (Scheduling of irrigation with canopy temperature). Növénytermelés 2005, 54, 341–350. [Google Scholar]
- Dufková, R. Difference in canopy and air temperature as an indicator of grassland water stress. Soil Water Res. 2006, 1, 127–138. [Google Scholar]
- Taghvaeian, S.; Chávez, J.L.; Hansen, N.C. Infrared Thermometry to Estimate Crop Water Stress Index and Water Use of Irrigated Maize in Northeastern Colorado. Remote Sens. 2012, 4, 3619–3637. [Google Scholar] [CrossRef]
- Helyes, L. A zöldségnövények vízellátottságának és öntözési igényének meghatározása a lombhőmérséklettel. Ph.D. Thesis, Agricultural Unversity of Gödöllő, Gödöllő, Hungary, 1991; p. 123. (In Hungarian). [Google Scholar]
- Jones, H.G. Plants and Microclimate, 2nd ed.; Cambridge University Press: Cambridge, UK, 1992; p. 428. [Google Scholar]
- Lawson, T.; Terashima, I.; Fujita, T.; Wang, Y. Coordination between Photosynthesis and Stomatal Behavior. In The Leaf: A Platform for Performing Photosynthesis; Adams, W.W., Terashima, I., Eds.; Springer: Basel, Switzerland, 2018; pp. 142–156. [Google Scholar]
- Anjum, S.A.; Wang, L.C.; Farooq, M.; Hussain, M.; Xue, L.L.; Zou, C.M. Brassinolide Application Improves the Drought Tolerance in Maize through Modulation of Enzymatic Antioxidants and Leaf Gas Exchange. J. Agron. Crop. Sci. 2011, 197, 177–185. [Google Scholar] [CrossRef]
- Sabagh, A.E.; Barutçular, C.; Islam, M.S. Relationships between stomatal conductance and yield under deficit irrigation in maize (Zea mays L.). J. Exp. Biol. Agric. Sci. 2017, 5, 15–21. [Google Scholar] [CrossRef]
- Helyes, L.; Szuvandzsiev, P.; Neményi, A.; Pék, Z.; Lugasi, A. Different water supply and stomatal conductance correlates with yield quantity and quality parameters. Acta Hortic. 2013, 971, 119–125. [Google Scholar] [CrossRef]
- Tari, I.; Camen, D.; Coradini, G.; Csiszár, J.; Fediuc, E.; Gémes, K.; Lazar, A.; Madosa, E.; Mihacea, S.; Poór, P.; et al. Changes in chlorophyll fluorescence parameters and oxidative stress responses of bush bean genotypes for selecting contrasting acclimation strategies under water stress. Acta Biol. Hung. 2008, 59, 335–345. [Google Scholar] [CrossRef]
- Yan, H.; Wu, L.; Filardo, F.; Yang, X.; Zhao, X.; Fu, D. Chemical and hydraulic signals regulate stomatal behavior and photosynthetic activity in maize during progressive drought. Acta Physiol. Plant. 2017, 39, 125. [Google Scholar] [CrossRef]
- Sing, S.K.; Reddy, K.R. Regulation of photosynthesis, fluorescence, stomatal conductance and water-use efficiency of cowpea [Vigna unguiculata (L.) Walp.] under drought. J. Photochem. Photobiol. B 2011, 105, 40–50. [Google Scholar] [CrossRef]
- Lambrev, P.H.; Miloslavina, Y.; Jahns, P.; Holzwarth, A.R. On the relationship between non-photochemical quenching and photoprotection of Photosystem II. Biochim. Biophys. Acta 2012, 1817, 760–769. [Google Scholar] [CrossRef]
- Bauerle, W.L.; Weston, D.J.; Bowden, J.D.; Dudley, J.B.; Toler, J.E. Leaf absorptance of photosynthetically active radiation in relation to chlorophyll meter estimates among woody plant species. Sci. Hortic. 2004, 101, 169–178. [Google Scholar] [CrossRef]
- Flexas, J.; Bota, J.; Escalona, J.M.; Sampol, B.; Medrano, H. Effects of drought on photosynthesis in grapevines under field conditions: An evaluation of stomatal and mesophyll limitations. Funct. Plant Biol. 2002, 29, 461–471. [Google Scholar] [CrossRef]
- Filek, M.; Łabanowska, M.; Kościelniak, J.; Biesaga-Kościelniak, J.; Kurdziel, M.; Szarejko, I.; Hartikainen, H. Characterization of barley leaf tolerance to drought stress by chlorophyll fluorescence and electron paramagnetic resonance studies. J. Agron. Crop. Sci. 2015, 201, 228–240. [Google Scholar] [CrossRef]
- Guo, Y.; Tan, J. Recent advances in the application of chlorophyll a fluorescence from photosystem II. Photochem. Photobiol. 2015, 91, 1–14. [Google Scholar] [CrossRef]
- Nogués, S.; Allen, D.J.; Morison, J.I.L.; Baker, N.R. Ultraviolet-B radiation effects on water relations, leaf development, and photosynthesis in droughted pea plants. Plant Physiol. 1998, 117, 173–181. [Google Scholar] [CrossRef]
- Ismail, I.; Basahi, J.; Hassan, I. Gas exchange and chlorophyll fluorescence of pea (Pisum sativum L.) plants in response to ambient ozone at a rural site in Egypt. Sci. Total Environ. 2014, 497, 585–593. [Google Scholar] [CrossRef]
- Demmig, B.; Björkman, O. Photon yield of O2 evolution and chlorophyll fluorescence characteristics at 77 K among vascular plants of diverse origins. Planta 1987, 170, 489–504. [Google Scholar]
- Zulini, L.; Rubinigg, M.; Zorer, R.; Bertamini, M. Effects of drought stress on chlorophyll fluorescence and photosynthetic pigments in grapevine leaves (vitis vinifera cv. ’white riesling’). Acta Hortic. 2007, 754, 289–294. [Google Scholar] [CrossRef]
- Wang, B.; Liu, Y.; Wu, X.; Lu, Z.; Li, G. The relationship of chlorophyll fluorescence parameters and drought tolerance in asparagus bean seedlings under drought stress. Acta Agric. Zhejiang 2009, 21, 246–249. [Google Scholar]
- Razavi, F.; Pollet, B.; Steppe, K.; Van Labeke, M.C.; Labeke, M.C. Chlorophyll fluorescence as a tool for evaluation of drought stress in strawberry. Photosynthetica 2008, 46, 631–633. [Google Scholar] [CrossRef]
- Ohashi, Y.; Nakayama, N.; Saneoka, H.; Fujita, K. Effects of drought stress on photosynthetic gas exchange, chlorophyll fluorescence and stem diameter of soybean plants. Biol. Plant. 2006, 50, 138–141. [Google Scholar] [CrossRef]
- Srinivasa Rao, N.K.; Bhatt, R.M.; Mascarenhas, J.B.D.; Naren, A. Influence of moisture stress on leaf water status, osmotic potential, chlorophyll fluorescence and solute accumulation in field grown tomato cultivars. Veg. Sci. 1999, 26, 129–132. [Google Scholar]
- Bahadur, A.; Kumar, R.; Mishra, U.; Rai, A.; Singh, M. Physiological approaches for screening of tomato genotypes for moisture stress tolerance. In Proceedings of the National Conference of Plant Physiology (NCPP-2010) BHU, Varanasi, India, 25–27 November 2010; p. 142. [Google Scholar]
- Li, R.-H.; Guo, P.-G.; Michael, B.; Stefania, G.; Salvatore, C. Evaluation of Chlorophyll Content and Fluorescence Parameters as Indicators of Drought Tolerance in Barley. Agric. Sci. China 2006, 5, 751–757. [Google Scholar] [CrossRef]
- Woo, N.S.; Badger, M.R.; Pogson, B.J. A rapid, non-invasive procedure for quantitative assessment of drought survival using chlorophyll fluorescence. Plant Methods 2008, 4, 27. [Google Scholar] [CrossRef]
- Carter, G.A.; Knapp, A.K. Leaf optical properties in higher plants: Linking spectral characteristics to stress and chlorophyll concentration. Am. J. Bot. 2001, 88, 677–684. [Google Scholar] [CrossRef]
- Bowman, W.D. The relationship between leaf water status, gas exchange, and spectral reflectance in cotton leaves. Remote Sens. Environ. 1989, 30, 249–255. [Google Scholar] [CrossRef]
- Huntjr, E.; Rock, B. Detection of changes in leaf water content using Near- and Middle-Infrared reflectances. Remote Sens. Environ. 1989, 30, 43–54. [Google Scholar] [CrossRef]
- Yadava, U.L. A rapid and nondestructive method to determine chlorophyll in intact leaves. Hortic. Sci. 1986, 1, 1449–1450. [Google Scholar]
- Iturbe-Ormaetxe, I. Oxidative Damage in Pea Plants Exposed to Water Deficit or Paraquat. Plant Physiol. 1998, 116, 173–181. [Google Scholar] [CrossRef]
- Anderson, M.C.; Zolin, C.A.; Sentelhas, P.C.; Hain, C.R.; Semmens, K.; Yilmaz, M.T.; Gao, F.; Otkin, J.A.; Tetrault, R. The Evaporative Stress Index as an indicator of agricultural drought in Brazil: An assessment based on crop yield impacts. Remote Sens. Environ. 2016, 174, 82–99. [Google Scholar] [CrossRef]
- Xu, H.; Zhu, S.; Ying, Y.; Jiang, H. Application of multispectral reflectance for early detection of tomato disease. In Proceedings of the Optics for Natural Resources, Agriculture, and Foods, Boston, MA, USA, 1–4 October 2006; Volume 6381. [Google Scholar] [CrossRef]
- Zwart, S.J.; Leclert, L.M.C. A remote sensing-based irrigation performance assessment: A case study of the Office du Niger in Mali. Irrig. Sci. 2010, 28, 371–385. [Google Scholar] [CrossRef]
- Chawade, A.; Van Ham, J.; Blomquist, H.; Bagge, O.; Alexandersson, E.; Ortiz, R. High-Throughput Field-Phenotyping Tools for Plant Breeding and Precision Agriculture. Agronomy 2019, 9, 258. [Google Scholar] [CrossRef]
- Romano, G.; Zia, S.; Spreer, W.; Sanchez, C.; Cairns, J.; Araus, J.L.; Müller, J. Use of thermography for high throughtput phenotyping of tropical maize adaptation in water stress. Comput. Electron. Agric. 2011, 79, 67–74. [Google Scholar] [CrossRef]
- Thenkabail, P.S.; Smith, R.B.; De Pauw, E. Hyperspectral Vegetation Indices and Their Relationships with Agricultural Crop Characteristics. Remote Sens. Environ. 2000, 71, 158–182. [Google Scholar] [CrossRef]
- Li, G.; Zhang, H.; Wu, X.; Shi, C.; Huang, X.; Qin, P. Canopy reflectance in two castor bean varieties (Ricinus communis L.) for growth assessment and yield prediction on coastal saline land of Yancheng District, China. Ind. Crop. Prod. 2011, 33, 395–402. [Google Scholar] [CrossRef]
- Ma, B.L.; Dwyer, L.M.; Costa, C.; Cober, E.R.; Morrison, M.J. Early Prediction of Soybean Yield from Canopy Reflectance Measurements. Agron. J. 2001, 93, 1227–1234. [Google Scholar] [CrossRef]
- Gutiérrez-Rodríguez, M.; Escalante-Estrada, J.A.; Gonzalez, M.T.R.; Reynolds, M.P. Canopy reflectance indices and its relationship with yield in common bean plants (Phaseolus vulgaris L.) with phosphorous supply. Int. J. Agric. Biol. 2006, 8, 203–207. [Google Scholar]
- Scully, B.; Wallace, D.; Viands, D. Heritability and Correlation of Biomass, Growth Rates, Harvest Index, and Phenology to the Yield of Common Beans. J. Am. Soc. Hortic. Sci. 1991, 116, 127–130. [Google Scholar] [CrossRef]
- Köksal, E.S. Hyperspectral reflectance data processing through cluster and principal component analysis for estimating irrigation and yield related indicators. Agric. Water Manag. 2011, 98, 1317–1328. [Google Scholar] [CrossRef]




| Physiological Traits | Effect Relevant for Yield | Alteration under Stress | References |
|---|---|---|---|
| Size and density of stomata | relation to leaf water potential and water consumption | increase/decrease depending on species | Hardy et al. [79], Nemeskéri et al. [14,15] |
| Leaf temperature | relation to transpiration | increase | Helyes et al. [31], DeJonge et al. [80] |
| Stomatal conductance | correlation with water consumption, decrease in individual yield | decrease in diffusion of CO2, stomatal resistance increases | Jones [81], Nemeskéri et al. [14,15] |
| Photosynthetic capacity | modulation of activity enzymes of Calvin cycle | reduction under stress | Lawlor and Cornic [82] |
| Change in chlorophyll fluorescence | alteration of quantum yield of PSII photosystem | decrease in Fv/Fm under severe drought | Flagella et al. [83], Pol et al. [84], Yordanov et al. [85] |
| Chlorophyll content of leaf | decrease in photosynthesis | decrease under stress, relative chlorophyll content (SPAD value) can increase | Nankishore and Farrell [32], Nemeskéri et al. [16] |
| Reduced growth rate | leaf area reduces, biomass decreases | Ghanbari et al. [86], Guida et al. [87] |
| Species | Water Supply | Lower Epidermis | Upper Epidermis | ||
|---|---|---|---|---|---|
| Stomata mm−2 * | Size of Stomata µ | Stomata mm−2 | Size of Stomata µ | ||
| Snap bean | I0 | 387.79 | 23.72 | 104.81 | 30.51 |
| DI | 374.17 | - | 93.41 | - | |
| WI | 331.22 | 24.90 | 78.61 | 29.64 | |
| average | 364.39 | 24.31 | 92.28 | 30.08 | |
| Green pea | I0 | 214.29 | 25.82 | 165.70 | 25.79 |
| DI | 214.65 | 25.48 | 170.86 | 24.68 | |
| WI | 214.74 | 24.35 | 194.72 | 25.21 | |
| average | 214.56 | 25.22 | 177.10 | 25.23 | |
| Sweet corn | I0 | 145.61 | - | 95.23 | - |
| DI | 140.79 | - | 94.98 | - | |
| WI | 136.13 | - | 93.73 | - | |
| average | 140.84 | 50.04 | 94.65 | 53.22 | |
| Traits | Crops | Units | OW | WS | Difference % | References |
|---|---|---|---|---|---|---|
| Stomatal resistance | green pea | s cm−1 | 2.87 | 3.22 | 12.2 | Nemeskéri et al. [14] |
| snap bean | s cm−1 | 1.33 | 2.54 | 90.9 | Nemeskéri et al. [15] | |
| sweet corn | s cm−1 | 2.13 | 2.85 | 33.8 | Nemeskéri et al. [88] | |
| Stomatal conductance | green pea | mmol m−2 s−1 | 0.57 | 0.32 | −43.9 | Gurumurthy et al. [35] |
| tomato | mmol m−2 s−1 | 1200 | 125 | −89.6 | Nankishore and Farrell [32] | |
| µmol m−2 s−1 | 457.26 | 394.95 | −13.6 | Nemeskéri et al. [3] | ||
| mol m−2 s−1 | 20.2–37.9 | 6.3–10.2 | −68.8 −73.1 | Helyes et al. [101] | ||
| Chlorophyll fluorescence | snap bean | Fv/Fm | 0.80 | 0.78 | −2.5 | Tari et al. [102] |
| maize | Fv/Fm | 0.810 | 0.695 | −14.2 | Yan et al. [103] | |
| tomato | Fv/Fm | 0.785 | 0.745 | −5.1 | Nankishore and Farrell [32] | |
| Fv/Fm | 0.748 | 0.696 | −7.0 | Nemeskéri et al. [3] | ||
| Fq’/Fm’ | 0.4 | 0.25 | −37.5 | Zhou et al. [66] | ||
| Chlorophyll content | green pea | SPAD * | 48.16 | 49.02 | 1.8 | Nemeskéri et al. [14] |
| snap bean | SPAD | 34.57 | 38.94 | 12.6 | Nemeskéri et al. [16] | |
| sweet corn | SPAD | 47.48 | 44.67 | −5.9 | Nemeskéri et al. [2] | |
| tomato | SPAD | 50.97 | 52.63 | 3.3 | Nemeskéri et al. [3] | |
| Vegetation index | green pea | NDVI | 0.679 | 0.693 | 2.3 | Nemeskéri et al. [14] |
| snap bean | NDVI | 0.778 | 0.681 | −12.5 | Nemeskéri et al. [16] | |
| sweet corn | NDVI | 0.743 | 0.711 | −4.3 | Nemeskéri et al. [2] |
| Crops | Water Supply | NI | DI | ||
|---|---|---|---|---|---|
| Traits | Yield g plant−1 | Yield t ha−1 | Yield g plant−1 | Yield t ha−1 | |
| Green peas | SR | 0.3885 | 0.7648 | 0.3541 | 0.4371 |
| SPAD | 0.4685 | 0.7027 | 0.6378 | 0.5301 | |
| NDVI | 0.5550 | 0.7192 | 0.6200 | 0.2891 | |
| Snap beans | SR | 0.6075 | 0.4687 | 0.5249 | 0.7163 |
| SPAD | 0.4326 | 0.4671 | 0.6567 | 0.4385 | |
| NDVI | 0.4251 | 0.7300 | 0.3356 | 0.7665 | |
| Sweet corns * | SR | 0.6184 | 0.5756 | 0.6866 | 0.6214 |
| SPAD | 0.5346 | 0.4614 | 0.8221 | 0.6250 | |
| NDVI | 0.6804 | 0.4619 | 0.7648 | 0.4907 | |
| Tomato | gs | 0.6851 y | 0.7153 | 0.3026 y | 0.3018 |
| SPAD | 0.8655 y | 0.8405 | 0.9256 y | 0.8482 | |
| Fv/Fm | 0.4505 y | 0.3669 | 0.1103 y | 0.0961 |
© 2019 by the authors. Licensee MDPI, Basel, Switzerland. This article is an open access article distributed under the terms and conditions of the Creative Commons Attribution (CC BY) license (http://creativecommons.org/licenses/by/4.0/).
Share and Cite
Nemeskéri, E.; Helyes, L. Physiological Responses of Selected Vegetable Crop Species to Water Stress. Agronomy 2019, 9, 447. https://doi.org/10.3390/agronomy9080447
Nemeskéri E, Helyes L. Physiological Responses of Selected Vegetable Crop Species to Water Stress. Agronomy. 2019; 9(8):447. https://doi.org/10.3390/agronomy9080447
Chicago/Turabian StyleNemeskéri, Eszter, and Lajos Helyes. 2019. "Physiological Responses of Selected Vegetable Crop Species to Water Stress" Agronomy 9, no. 8: 447. https://doi.org/10.3390/agronomy9080447
APA StyleNemeskéri, E., & Helyes, L. (2019). Physiological Responses of Selected Vegetable Crop Species to Water Stress. Agronomy, 9(8), 447. https://doi.org/10.3390/agronomy9080447

