Nutrient Status and Root Density of Huanglongbing-Affected Trees: Consequences of Irrigation Water Bicarbonate and Soil pH Mitigation with Acidification
Abstract
:1. Introduction
2. Materials and Methods
2.1. Survey I
2.2. Survey II
2.3. Acidification Field Trials
3. Results and Discussion
3.1. Survey I
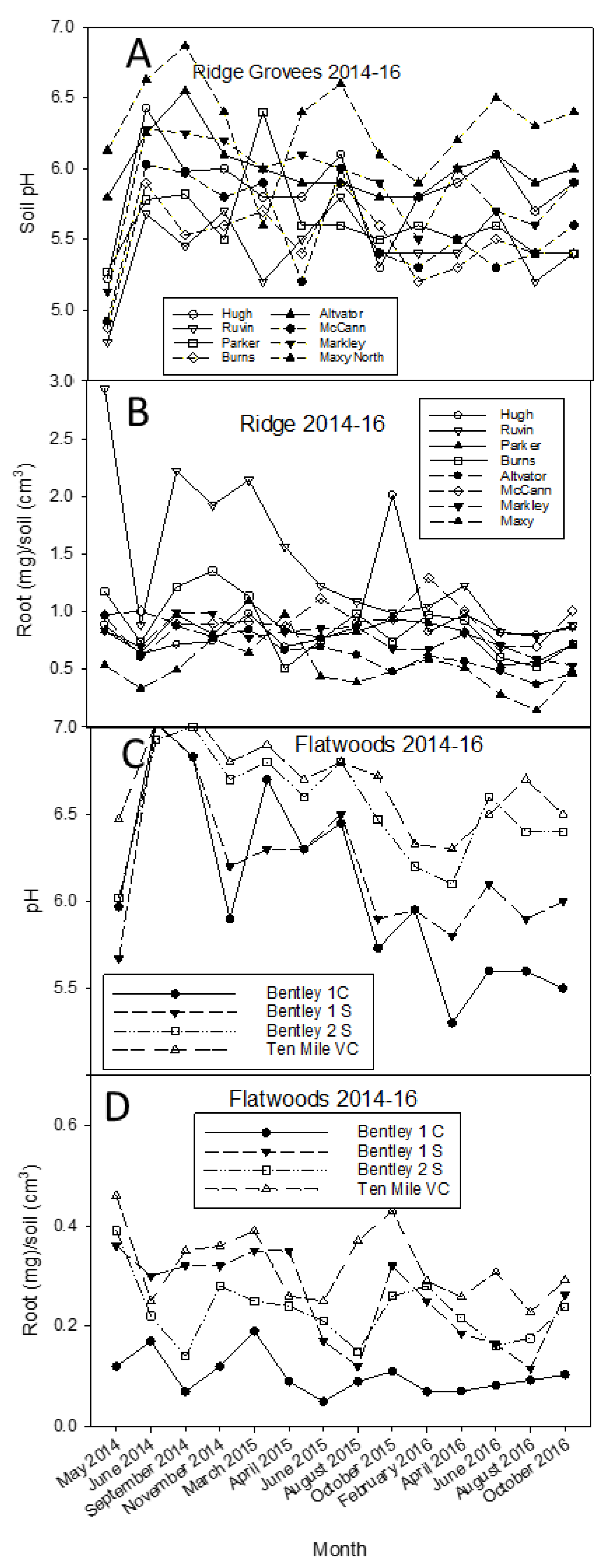
3.2. Survey II
3.3. Acidification Field Trials
4. Conclusions
Author Contributions
Funding
Acknowledgments
Conflicts of Interest
References
- Gottwald, T.R.; Graham, J.H. Citrus diseases with global ramifications including citrus canker and huanglongbing. CAB Rev. 2014, 9, 1–11. [Google Scholar] [CrossRef]
- Graham, J.H.; Johnson, E.G.; Gottwald, T.R.; Irey, M. Pre-symptomatic fibrous root decline in citrus trees caused by Huanglongbing and potential synergistic interaction with Phytophthora spp. Plant Dis. 2013, 97, 1195–1199. [Google Scholar] [CrossRef] [PubMed]
- Kadyampakeni, D.; Morgan, K.; Villalobos, J.; Ebel, R. Water and nutrient use efficiency and root distribution of selected horticultural crops. In Advances in Environmental Research; Daniels, J.A., Ed.; Nova Scientific Publishing: Hauppauge, NY, USA, 2014; Volume 37, pp. 1–16. [Google Scholar]
- Morgan, K.T.; Obreza, T.A.; Scholberg, J.M.S. Characterizing orange tree root distribution in space and time. J. Am. Soc. Hort. Sci. 2007, 132, 262–269. [Google Scholar] [CrossRef]
- Bassanezi, R.B.; Montesino, L.H.; Stuchi, E.S. Effects of huanglongbing on fruit quality of sweet orange cultivars in Brazil. Eur. J. Plant Pathol. 2009, 125, 565–572. [Google Scholar] [CrossRef]
- Bassanezi, R.B.; Montesino, L.H.; Gasparoto, M.C.G.; Bergamin, A.; Amorim, L. Yield loss caused by huanglongbing in different sweet orange cultivars in Sao Paulo, Brazil. Eur. J. Plant Pathol. 2011, 130, 577–586. [Google Scholar] [CrossRef]
- Hamido, S.A.; Morgan, K.T.; Ebel, R.C.; Kadyampakeni, D.M. Improved Irrigation Management of Sweet Orange with Huanglongbing. HortScience 2017, 52, 916–921. [Google Scholar] [CrossRef]
- Hamido, S.A.; Morgan, K.T.; Kadyampakeni, D.M. The Effect of Haunglongbing on Young Citrus Tree Water Use. HortTechnology 2017, 27, 659–665. [Google Scholar] [CrossRef]
- Graham, J.; Johnson, E.; Gottwald, T.R.; Irey, M. Integrated management of root health on HLB-affected trees. Citrus Ind. 2013, 94, 12–14. [Google Scholar]
- Johnson, E.G.; Wu, J.; Bright, D.B.; Graham, J.H. Association of ‘Candidatus Liberibacter asiaticus’ root infection, but not phloem plugging with root loss on huanglongbing-affected trees prior to appearance of foliar symptoms. Plant Pathol. 2013, 63, 290–298. [Google Scholar] [CrossRef]
- Obreza, T.A.; Morgan, K.T. Nutrition of FL Citrus Trees; Cooperative Extension Service; University of Florida Institute of Food and Agricultural Sciences: Gainesville, FL, USA, 2008. [Google Scholar]
- Morgan, K.T.; Wheaton, T.A.; Parsons, L.R.; Castle, W.S. Effects of reclaimed municipal waste water on horticultural ratings, fruit quality, and soil and leaf mineral content of citrus grown in central FL. HortScience 2008, 43, 459–464. [Google Scholar] [CrossRef]
- Ghasemi, A.; Nassiri, J.; Yahyaabadi, M. Study of the relative tolerance of quince (Cydonia oblonga Mill.) rootstocks to different bicarbonate concentrations. Seed Plant Prod. 2010, 26, 137–151. [Google Scholar]
- Sabir, A.; Ekbic, H.; Erdem, H.; Tangolar, S. Response of four grapevine (Vitis spp.) genotypes to direct or bicarbonate-induced iron deficiency. Span. J. Agric. Res. 2010, 8, 823–829. [Google Scholar] [CrossRef]
- Hanlon, E.A.; Gonzalez, J.S.; Bartos, J.M. IFAS Extension Soil Testing Laboratory (ESTL) and Analytical Research Laboratory (ARL) Chemical Procedures and Training Manual; Cir. 812, UF/IFAS Ext. Serv.; University of Florida: Gainesville, FL, USA, 1997. [Google Scholar]
- Plank, C.O. Plant Analysis Reference Procedures for the Southern Region of the United States; Southern Coop. Ser. Bull. 368; Univ. Ga., Crop Soil Sci. Dep.: Athens, GA, USA, 1992; Available online: http://www.cropsoil.uga.edu/~oplank/sera368.pdf (accessed on 31 October 2019).
- Anderson, D.; Henderson, L. Comparing sealed chamber digestion with other digestion methods used for plant-tissue analysis. Agron. J. 1988, 80, 549–552. [Google Scholar] [CrossRef]
- Morgan, K.T.; Obreza, T.A.; Scholberg, J.M.S.; Parsons, L.R.; Wheaton, T.A. Citrus water uptake dynamics on a sandy FL Entisol. Soil Sci. Soc. Am. J. 2006, 70, 90–97. [Google Scholar] [CrossRef]
- Munter, R.C.; Halverson, T.L.; Anderson, R.D. Quality assurance for plant-tissue analysis by ICP-AES. Commun. Soil Sci. Plant Anal. 1984, 15, 1285–1322. [Google Scholar] [CrossRef]
- Obreza, T.A.; Zekri, M.; Hanlon, E.A.; Morgan, K.; Schumann, A.; Rouse, R. Soil and Leaf Tissue Testing for Commercial Citrus Production; SL253.04 Fla.; Cooperative Extension Service, University of Florida Institute of Food and Agricultural Sciences: Gainesville, FL, USA, 2010. [Google Scholar]
- Mehlich, A. Determination of P, K, Ca, Mg, and NH4. Soil Test Div; Mimeo, N.C. Dep. Agric.: Raleigh, NC, USA, 1953; Available online: www.ncagr.com/agron./pdffiles/mehlich53.pdf (accessed on 31 October 2019).
- Munter, R.C.; Grande, R.A. Plant tissue and soil extract analysis by ICP-AES. In Developments in Atomic Plasma Spectrochemical Analysis; Barnes, R.M., Ed.; John Wiley and Sons: Hoboken, NJ, USA, 1981; pp. 653–673. [Google Scholar]
- Fassel, V.; Kniseley, R. Inductively coupled plasma—Optical emission-spectroscopy. Ann. Chem. 1974, 46, 1110–1120. [Google Scholar] [CrossRef]
- Mattos, D., Jr.; Quaggio, J.A.; Cantarella, H.; Alva, A.K.; Graetz, D.A. Response Young Citrus Trees Sel. Rootstocks Nitrogen Phosphorus Potassium Fertil. J. Plant Nutr. 2003, 29, 1371–1385. [Google Scholar] [CrossRef]
- Obreza, T.A.; Rouse, R.E. Fertilizer effects on early growth and yield of ‘Hamlin’ orange trees. HortScience 1993, 28, 111–114. [Google Scholar] [CrossRef]
- Li, W.; Hartung, J.S.; Levy, L. Quantitative real-time PCR for detection and identification of Candidatus Liberibacter species associated with citrus huanglongbing. J. Microbiol. Meth. 2006, 66, 104–115. [Google Scholar] [CrossRef] [PubMed]
- Graham, J.H.; Kosola, K.R. Costs and benefits of citrus roots in relations to activity of root pathogens. Proc. Intl. Soc. Citricult. 2000, 9, 921–925. [Google Scholar]
- Morgan, K.T.; Rouse, R.E.; Ebel, R.C. Foliar applications of essential nutrients on growth and yield of ‘Valencia’ sweet orange with Huanglongbing. HortScience 2016, 51, 1482–1493. [Google Scholar] [CrossRef]






| Grove Status | No. of Blocks Surveyed | Root Mass Density (mg/cm3) | Change in Block Yield from 2011–2013 |
|---|---|---|---|
| Low pH stress Ridge | 14 | 0.64 | Increased 6% |
| High pH stress Ridge | 10 | 0.34 | Decreased 6% |
| High pH stress Flatwoods | 13 | 0.18 | Decreased 20% |
| Location | Irrigation Water Acidified | Grove Site | N | P | K | Mg | Ca | S | B | Zn | Mn | Fe | Cu |
|---|---|---|---|---|---|---|---|---|---|---|---|---|---|
| % | mg kg−1 | ||||||||||||
| Ridge | Without | Hugh | 2.5 | 0.18 | 1.1 | 0.39 | 3.8 | 0.37 | 85 | 66 | 63 | 58 | 10 |
| Ridge | Without | Ruvin | 2.4 | 0.17 | 1.0 | 0.40 | 3.7 | 0.41 | 79 | 55 | 55 | 51 | 19 |
| Ridge | Without | Parker | 2.5 | 0.16 | 1.0 | 0.31 | 3.8 | 0.35 | 78 | 39 | 43 | 53 | 13 |
| Ridge | Without | Burns | 2.4 | 0.16 | 1.1 | 0.30 | 3.9 | 0.38 | 86 | 68 | 76 | 54 | 15 |
| Ridge | With | Altvator | 2.4 | 0.16 | 0.9 | 0.31 | 3.8 | 0.35 | 72 | 47 | 48 | 47 | 14 |
| Ridge | With | McCann | 2.5 | 0.16 | 1.1 | 0.26 | 3.7 | 0.36 | 80 | 48 | 55 | 50 | 11 |
| Ridge | With | Markley | 2.5 | 0.16 | 1.2 | 0.27 | 3.9 | 0.37 | 85 | 81 | 81 | 60 | 15 |
| Ridge | With | Maxy | 2.6 | 0.16 | 1.2 | 0.27 | 3.5 | 0.36 | 92 | 88 | 84 | 62 | 13 |
| Flatwoods | With | Bentley 1C | 2.4 | 0.17 | 1.1 | 0.39 | 3.2 | 0.29 | 68 | 60 | 60 | 60 | 36 |
| Flatwoods | With | Bentley 1S | 2.5 | 0.18 | 1.1 | 0.40 | 3.2 | 0.31 | 82 | 83 | 77 | 59 | 21 |
| Flatwoods | With | Bentley 2S | 2.4 | 0.19 | 1.4 | 0.40 | 3.7 | 0.34 | 97 | 67 | 58 | 62 | 10 |
| Flatwoods | With | Ten Mile VC | 2.4 | 0.18 | 1.2 | 0.35 | 3.1 | 0.33 | 77 | 54 | 48 | 56 | 13 |
| Significance | NS | NS | NS | NS | NS | NS | NS | NS | NS | NS | NS | ||
| Target Irrigation Water pH and Soil S Application Treatments | Mature Trees | Young Trees | ||||||
|---|---|---|---|---|---|---|---|---|
| Irrigation Water | Soil | Irrigation Water | Soil | |||||
| pH | Bicarbonates (mg L−1) | pH (4/14 to 4/16) | pH (4/16 to 4/17) | pH | Bicarbonates (mg L−1) | pH (4/14 to 4/16) | pH (4/16 to 4/17) | |
| Control without S | 7.45 | 126.55 AB † | 7.53 | 7.43 | 7.52 A | 144.02 A | 7.59 | 7.65 A |
| Control with S | 7.52 | 136.55 A | 6.89 | 6.50 | 7.47 A | 157.00 A | 6.52 | 6.11 AB |
| 6.0 without S | 6.19 | 98.82 B | 6.90 | 6.25 | 6.17 AB | 113.60 AB | 6.59 | 6.09 AB |
| 6.0 with S | 6.14 | 88.71 BC | 6.41 | 6.22 | 6.15 AB | 101.63 B | 6.16 | 6.05 AB |
| 5.0 without S | 5.23 | 64.35 CD | 6.55 | 5.68 | 5.24 B | 74.32 C | 6.28 | 5.39 B |
| 5.0 with S | 5.39 | 68.70 C | 6.07 | 5.34 | 5.38 B | 80.00 BC | 5.86 | 5.04 BC |
| 4.0 without S | 4.17 | 55.63 D | 6.56 | 4.82 | 4.22 BC | 65.23 C | 5.72 | 4.49 C |
| 4.0 with S | 4.39 | 61.53 D | 6.00 | 4.97 | 4.43 C | 69.92 C | 5.75 | 4.67 C |
| Significance (p) | 0.098 | <0.0001 | 0.886 | 0.0462 | 0.0134 | <0.0001 | 0.2851 | 0.0298 |
| Target Irrigation Water pH and Soil S Application Treatments | Mature Trees | Young Trees | ||||||||
|---|---|---|---|---|---|---|---|---|---|---|
| Soil Nutrient Concentrations | ||||||||||
| Ca (mg kg−1) | Mg (mg kg−1) | Mn (mg kg−1) | Zn (mg kg−1) | B (mg kg−1) | Ca (mg kg−1) | Mg (mg kg−1) | Mn (mg kg−1) | Zn (mg kg−1) | B (mg kg−1) | |
| Control without S | 269.75 | 10.11 | 3.15 | 2.32 | 0.42 | 260.39 | 9.48 | 2.94 | 2.16 | 0.38 |
| Control with S | 317.76 | 8.07 | 4.01 | 2.80 | 0.40 | 301.24 | 7.36 | 3.60 | 2.70 | 0.37 |
| 6.0 without S | 316.91 | 8.39 | 2.99 | 2.27 | 0.34 | 302.02 | 7.91 | 2.77 | 2.11 | 0.33 |
| 6.0 with S | 304.83 | 9.14 | 3.81 | 2.81 | 0.37 | 291.32 | 8.60 | 3.59 | 2.62 | 0.35 |
| 5.0 without S | 326.43 | 8.10 | 3.23 | 2.18 | 0.48 | 317.55 | 7.81 | 3.03 | 2.12 | 0.46 |
| 5.0 with S | 345.68 | 8.57 | 3.57 | 2.59 | 0.47 | 322.24 | 7.95 | 3.37 | 2.51 | 0.45 |
| 4.0 without S | 371.94 | 9.79 | 3.68 | 2.28 | 0.38 | 357.89 | 9.46 | 3.52 | 2.18 | 0.35 |
| 4.0 with S | 399.63 | 10.35 | 3.30 | 3.10 | 0.38 | 380.37 | 10.00 | 3.09 | 2.93 | 0.37 |
| Target Irrigation Water pH and Soil Sulfur Application Treatments | April 2014 to April 2016 | April 2016 to April 2017 | ||||||||
|---|---|---|---|---|---|---|---|---|---|---|
| Leaf Nutrient Concentrations | ||||||||||
| Ca (%) | Mg (%) | Mn (mg kg−1) | Zn (mg kg−1) | B (mg kg−1) | Ca (%) | Mg (%) | Mn (mg kg−1) | Zn (mg kg−1) | B (mg kg−1) | |
| Control without S | 1.49 C † | 0.22 | 41.75 D | 26.23 D | 94.01 | 1.45 C | 0.19 D | 41.96 C | 22.33 C | 77.03 A |
| Control with S | 2.42 B | 0.35 | 69.35 BC | 39.03 D | 78.13 | 2.57 AB | 0.37 BC | 64.78 B | 48.64 B | 74.01 AB |
| 6.0 without S | 2.38 B | 0.34 | 66.03 C | 41.16 C | 74.12 | 2.31 B | 0.34 C | 66.90 B | 47.10 B | 63.16 B |
| 6.0 with S | 2.06 BC | 0.42 | 79.99 AB | 52.30 B | 73.33 | 2.36 B | 0.47 B | 77.50 AB | 55.83 A | 68.84 B |
| 5.0 without S | 2.37 B | 0.45 | 76.29 B | 80.87 A | 78.55 | 2.44 AB | 0.52 AB | 76.68 AB | 50.38 B | 76.61 A |
| 5.0 with S | 2.67 AB | 0.45 | 80.72 A | 52.02 B | 78.32 | 2.67 A | 0.52 AB | 80.32 A | 54.78 AB | 73.22 AB |
| 4.0 without S | 2.74 A | 0.46 | 73.48 B | 57.43 AB | 84.62 | 3.01 A | 0.51 AB | 79.23 A | 54.04 AB | 82.32 A |
| 4.0 with S | 2.53 AB | 0.51 | 80.35 A | 52.79 B | 79.00 | 2.45 AB | 0.58 A | 85.59 A | 55.28 A | 70.37 AB |
| Significance (p) | 0.0001 | 0.0118 | 0.0006 | 0.0144 | 0.2847 | 0.0491 | 0.0387 | 0.0188 | 0.0287 | 0.0388 |
| Target Irrigation Water pH and Soil Sulfur Application Treatments | April 2014 to April 2017 | April 2016 to April 2017 | ||||||||
|---|---|---|---|---|---|---|---|---|---|---|
| Leaf Nutrient Concentrations | ||||||||||
| Ca (%) | Mg (%) | Mn (mg kg−1) | Zn (mg kg−1) | B (mg kg−1) | Ca (%) | Mg (%) | Mn (mg kg−1) | Zn (mg kg−1) | B (mg kg−1) | |
| Control without S | 1.41 C † | 0.21 C | 39.22 C | 25.35 C | 87.01 | 1.19 C | 0.18 C | 34.16 D | 26.15 C | 48.28 C |
| Control with S | 2.30 A | 0.34 B | 63.86 B | 37.26 BC | 72.79 | 2.15 B | 0.38 BC | 47.64 C | 42.65 BC | 52.71 BC |
| 6.0 without S | 2.22 AB | 0.33 B | 63.79 B | 39.21 BC | 69.10 | 1.83 BC | 0.34 BC | 57.73 C | 45.09 BC | 47.77 C |
| 6.0 with S | 2.14 B | 0.41 AB | 76.81 A | 49.76B | 69.19 | 2.47 AB | 0.45 B | 67.11 BC | 48.03 B | 51.50 BC |
| 5.0 without S | 2.32 A | 0.45 A | 74.55 A | 58.29 A | 73.43 | 2.21 B | 0.46 B | 72.13 B | 51.51 B | 53.66 B |
| 5.0 with S | 2.54 A | 0.47 A | 79.60 A | 49.60 B | 74.39 | 2.54 AB | 0.50 AB | 74.07 B | 51.95 B | 53.65 B |
| 4.0 without S | 2.78 A | 0.45 A | 73.53 AB | 56.10 A | 82.62 | 2.96 A | 0.50 AB | 80.48 AB | 56.32 AB | 72.28 A |
| 4.0 with S | 2.57A | 0.52 A | 80.59 A | 52.22 AB | 78.34 | 2.65 A | 0.59 A | 81.66 A | 62.50 AB | 70.27 A |
| Significance (p) | <0.0001 | 0.0400 | 0.0006 | 0.0285 | 0.2362 | 0.0432 | 0.0451 | 0.0365 | 0.0165 | 0.0251 |
| Target Irrigation Water pH and Soil Sulfur Application Treatments | Mature Trees | Young Trees | ||||
|---|---|---|---|---|---|---|
| Mean Observed Root Length (cm) | ||||||
| 0–15 cm Depth | 15–30 cm Depth | 30–45 cm Depth | 0–15 Cm Depth | 15–30 cm Depth | 30–45 cm Depth | |
| Control without S | 7.80 C † | 5.97 C | 2.60 C | 8.34 C | 4.57 C | 3.74 D |
| Control with S | 8.74 BC | 6.07 B | 2.79 C | 8.71 C | 7.84 B | 4.36 C |
| 6.0 without S | 9.87 B | 9.34 A | 3.41 B | 14.60 B | 19.78 A | 9.04 B |
| 6.0 with S | 12.09 AB | 8.64 AB | 3.31 BC | 17.34 AB | 17.89 AB | 8.89 B |
| 5.0 without S | 18.08 A | 8.10 AB | 4.88 A | 13.48 B | 17.94 AB | 9.84 A |
| 5.0 with S | 15.80 AB | 8.98 A | 4.07 A | 18.97 A | 18.95 AB | 8.89 B |
| 4.0 without S | 17.89 A | 9.78 A | 3.89 AB | 18.07 A | 19.09 A | 8.23 BC |
| 4.0 with S | 18.79 A | 8.98 A | 4.23 A | 19.87 A | 19.89 A | 8.97 A |
| Significance (p) | 0.047 | 0.027 | 0.034 | 0.043 | 0.036 | 0.021 |
| Target Irrigation Water pH and Soil Sulfur Application Treatments | Total Fruit Number | Fruit Weight (40 Fruit, kg) | Fruit Yield (kg Per Tree) | Soluble Solids (g/kg) | Total Fruit Number | Fruit Weight (40 Fruit, kg) | Fruit Yield (kg Per Tree) | Soluble Solids (g/kg) | Total Fruit Number | Fruit Weight (40 Fruit, kg) | Fruit Yield (kg Per Tree) | Soluble Solids (g/kg) |
|---|---|---|---|---|---|---|---|---|---|---|---|---|
| 2014/2015 | 2015/2016 | 2016/2017 | ||||||||||
| Control without S | 151.2 | 7.04 C † | 26.53 | 60.3 A | 130.3 | 6.88 C | 22.45 C | 62.7 A | 208.5 | 7.29 C | 37.86 B | 58.1 B |
| Control with S | 161.7 | 7.07 C | 28.57 | 62.7 A | 150.8 | 7.23 B | 27.35 BC | 63.45 AB | 181.3 | 7.18 C | 31.43 C | 62.7 B |
| pH 6.0 without S | 191.3 | 7.42 B | 35.51 | 60.8 A | 212.5 | 7.87 AB | 41.64 AB | 59.8 B | 222.4 | 7.89 AB | 43.7 B | 59.3 B |
| pH 6.0 with S | 162.0 | 7.32 BC | 26.53 | 59.3 A | 190.6 | 7.69 AB | 36.74 B | 61.0 B | 184.3 | 7.72 BC | 35.5 BC | 60.8 AB |
| pH 5.0 without S | 199.8 | 7.42 B | 37.15 | 54.6 B | 209.3 | 7.72 AB | 40.41 B | 59.04 BC | 218.9 | 7.84 AB | 42.45 A | 56.1 C |
| pH 5.0 with S | 202.2 | 7.52 AB | 37.96 | 58.8 A | 223.1 | 7.99 A | 44.49A | 60.75 B | 209.8 | 8.08 A | 41.23 B | 57.1 BC |
| pH 4.0 without S | 178.7 | 7.42 B | 33.06 | 54.9 B | 196.9 | 7.87 AB | 38.78 AB | 57.3 C | 196.7 | 7.77 BC | 37.96 BC | 88.4 A |
| pH 4.0 with S | 179.4 | 7.65 A | 34.29 | 55.1 AB | 218.8 | 7.97 A | 43.68 A | 57.8 C | 218.7 | 7.51 BC | 41.23 B | 54.9 C |
| Significance (p) | 0.4910 | 0.003 | 0.217 | <0.001 | 0.441 | 0.001 | 0.012 | 0.001 | 0.4803 | 0.0003 | 0.011 | 0.0005 |
| Target Irrigation Water pH and Soil Sulfur Application Treatments | Total Fruit Number | Fruit Weight (40 Fruit, kg) | Fruit Yield (kg Per Tree) | Soluble Solids (g/kg) | Total Fruit Number | Fruit Weight (40 Fruit, kg) | Fruit Yield (kg Per Tree) | Soluble Solids (g/kg) | Total Fruit Number | Fruit Weight (40 Fruit, kg) | Fruit Yield (kg Per Tree) | Soluble Solids (g/kg) |
|---|---|---|---|---|---|---|---|---|---|---|---|---|
| 2014/2015 | 2015/2016 | 2016/2017 | ||||||||||
| Control without S | 289.0 | 8.62 C † | 64.09 | 58.1 BC | 258.0 | 8.82 C | 56.74C | 58.8 BC | 295.1 | 8.83 C | 65.32 C | 58.55 B |
| Control with S | 348.8 | 9.49 B | 82.86 | 56.1 BC | 366.3 | 9.51 B | 86.95 BC | 55.86 C | 362.9 | 9.83 A | 88.99 BC | 56.84 BC |
| pH 6.0 without S | 479.3 | 9.50 B | 113.89 | 51.2 C | 484.4 | 9.51 B | 115.11 A | 53.41 C | 428.4 | 9.43 B | 100.86 A | 55.12 C |
| pH 6.0 with S | 359.9 | 9.94 A | 89.40 | 57.09 BC | 381.2 | 9.97 A | 91.03 AB | 57.82 BC | 390.8 | 9.96 A | 97.29 AB | 58.07 B |
| pH 5.0 without S | 340.9 | 9.38 BC | 80.01 | 56.1 BC | 379.7 | 9.43 BC | 89.40 AB | 55.37 C | 424.2 | 9.47 B | 100.42 A | 57.82 B |
| pH 5.0 with S | 302.0 | 9.74 A | 73.48 | 59.3 AB | 364.1 | 9.73 AB | 88.58 AB | 60.76 B | 406.1 | 9.78 AB | 99.19 A | 59.78 AB |
| pH 4.0 without S | 323.2 | 9.79 A | 79.19 | 60.5 A | 389.4 | 9.72 AB | 94.70 A | 61.50 A | 429.2 | 9.65 B | 103.68 A | 63.21 A |
| pH 4.0 with S | 335.4 | 9.51 B | 79.74 | 61.5 A | 374.4 | 9.51 B | 89.03 AB | 62.23 A | 439.9 | 9.60 B | 105.58 A | 63.21 A |
| Significance (p) | 0.212 | <0.0001 | 0.3375 | <0.0001 | 0.244 | <0.0001 | 0.037 | 0.0001 | 0.2447 | 0.0001 | 0.043 | 0.0077 |
© 2019 by the authors. Licensee MDPI, Basel, Switzerland. This article is an open access article distributed under the terms and conditions of the Creative Commons Attribution (CC BY) license (http://creativecommons.org/licenses/by/4.0/).
Share and Cite
Morgan, K.T.; Graham, J.H. Nutrient Status and Root Density of Huanglongbing-Affected Trees: Consequences of Irrigation Water Bicarbonate and Soil pH Mitigation with Acidification. Agronomy 2019, 9, 746. https://doi.org/10.3390/agronomy9110746
Morgan KT, Graham JH. Nutrient Status and Root Density of Huanglongbing-Affected Trees: Consequences of Irrigation Water Bicarbonate and Soil pH Mitigation with Acidification. Agronomy. 2019; 9(11):746. https://doi.org/10.3390/agronomy9110746
Chicago/Turabian StyleMorgan, Kelly T., and James H. Graham. 2019. "Nutrient Status and Root Density of Huanglongbing-Affected Trees: Consequences of Irrigation Water Bicarbonate and Soil pH Mitigation with Acidification" Agronomy 9, no. 11: 746. https://doi.org/10.3390/agronomy9110746
APA StyleMorgan, K. T., & Graham, J. H. (2019). Nutrient Status and Root Density of Huanglongbing-Affected Trees: Consequences of Irrigation Water Bicarbonate and Soil pH Mitigation with Acidification. Agronomy, 9(11), 746. https://doi.org/10.3390/agronomy9110746

