Next Article in Journal
Laboratory Device to Assess the Effect of Mechanical Thinning of Flower Buds, Flowers and Fruitlets Related to Fruitlet Developing Stage
Next Article in Special Issue
Biochar Type and Ratio as a Peat Additive/Partial Peat Replacement in Growing Media for Cabbage Seedling Production
Previous Article in Journal
Identification of New Hosts of Pseudocercospora fijiensis Suggests Innovative Pest Management Programs for Black Sigatoka Disease in Banana Plantations
Previous Article in Special Issue
Theoretical and Experimental Analysis of Nutrient Variations in Electrical Conductivity-Based Closed-Loop Soilless Culture Systems by Nutrient Replenishment Method
 
 
Font Type:
Arial Georgia Verdana
Font Size:
Aa Aa Aa
Line Spacing:
Column Width:
Background:
Article

Substrate Volumetric Water Content Controls Growth and Development of Containerized Culinary Herbs

by
Christopher J. Currey
*,
Nicholas J. Flax
,
Alexander G. Litvin
and
Vincent C. Metz
Department of Horticulture, Iowa State University, 2206 Osborn Drive, Ames, IA 50011, USA
*
Author to whom correspondence should be addressed.
Agronomy 2019, 9(11), 667; https://doi.org/10.3390/agronomy9110667
Submission received: 25 September 2019 / Revised: 17 October 2019 / Accepted: 21 October 2019 / Published: 23 October 2019
(This article belongs to the Special Issue Soilless Culture, Growing Media and Horticultural Plants)

Abstract

There are no chemical plant growth retardants that may be used on containerized culinary herbs intended for consumption. Our objective was to quantify the effect of substrate moisture content on the growth of four commonly produced culinary annual herbs grown in containers in the greenhouse. Seedlings of basil (Ocimum basilicum L.), dill (Anethum graveolens L.), parsley (Petroselinum crispum (Mill.) Fuss), and sage (Salvia officinalis L.) were transplanted into 11.4 cm diameter containers filled with commercial soilless substrate comprising (by vol.) 75% sphagnum peat moss and 25% coarse perlite and amended with 3.0 kg·m−3 of controlled-release fertilizer. After the containers were thoroughly irrigated to container capacity, plants were placed into a sensor-controlled irrigation system, which maintained substrate volumetric water content (VWC) at 0.15, 0.28, 0.30, 0.38, or 0.45 m3·m−3. Chlorophyll fluorescence, photosynthesis, stomatal conductance, and transpiration were measured 27 d after initiating treatments, and the results showed that chlorophyll fluorescence of parsley and photosynthesis of basil increased as substrate VWC increased from 0.15 to 0.45 m3·m−3; the remaining parameters for basil, parsley, and sage were unaffected. Additionally, height, width, leaf area, and shoot dry mass of basil, dill, parsley, and sage increased as substrate volumetric water content increased from 0.15 to 0.45 m3·m−3. Our results show that growth of basil, dill, parsley, and sage can be promoted or inhibited by providing or withholding water, respectively, with no signs of stress or visual damage resulting from reduced substrate volumetric water content. Therefore, restricting irrigation and substrate volumetric water content is an effective nonchemical growth control method for containerized culinary herbs grown in peat-based substrate.

1. Introduction

One of the primary challenges associated with growing containerized herbaceous plants is controlling shoot growth to produce plants that are proportional and aesthetically balanced to the container height. Controlling shoot growth is important to produce plants that are sized proportionally to containers for aesthetic appearance as well as to increase container density in the greenhouse and during shipping [1]. Although chemical plant growth retardants (PGRs) are commonly used to control containerized ornamental crop growth, there are currently no PGRs that are labeled for use on containerized culinary herbs [2]. Therefore, nonchemical methods of controlling containerized herb growth must be used.
There are several nonchemical growth control techniques that may be used to control containerized herb growth [3,4,5]. Compact cultivars are available for some herb species, including basil and dill [3], and may be more appropriately sized for container production. The concentration of mineral nutrients provided to container-grown herbs, both total and specific nutrients, also affects growth. For example, basil supplied with 200 mg∙L−1 N from a complete, balanced water-soluble fertilizer are 33% larger than plants supplied with 50 mg∙L−1 N from the same fertilizer [4]. Additionally, restricting P to 5 mg∙L−1 produced basil, dill, parsley, and sage shorter than plants provided with 40 mg∙L−1 [5]. While cultivar selection and nutrient management are useful forms of nonchemical growth control, it may be necessary to use multiple nonchemical methods of controlling growth to achieve the degree of control required in the absence of PGRs.
Reducing irrigation or substrate volumetric water content (VWC), commonly referred to as “deficit irrigation”, is another effective method of controlling containerized plant growth [6,7,8]. The water available for plant uptake increases and growth is promoted as substrate VWC increases and, as such, restricting irrigation and reducing the substrate VWC can diminish turgor pressure and subsequent stem extension and growth [9]. For example, containerized angelonia (Angelonia angustifolia Benth.) and petunia (Petunia × hybrid Vilm.) bedding plant growth is promoted by substrate VWC and, by reducing VWC, compact plants of marketable quality can be produced [7,10]. Additionally, using regulated deficit irrigation can suppress stem elongation of flowering potted plants, such as poinsettia (Euphorbia pulcherrima Willd. ex Klotzsch), providing adequate height control during production [11]. While controlling the substrate VWC clearly has potential for use in containerized herb production, data specific to the effects of substrate VWC on containerized herb growth are lacking.
We have found some limited reports on the effects of substrate moisture on containerized perennial herb growth [8,9]. Zhen et al. [8] reported that limiting irrigation of rosemary (Rosmarinus officinalis L.) plants successfully controlled excessive growth. Additionally, Zhen and Burnett [9] showed that English lavender (Lavandula angustifolia Mill. ‘Hidcote’ and ‘Munstead’) growth diminished with decreasing substrate VWC. These data are promising for controlling containerized herb growth by limiting substrate VWC. However, we have found no other data on the use of drought stress to control excessive growth of more common containerized herb species grown with shorter production periods. Our objective was to quantify the effect of substrate VWC on the growth of four common culinary annual herbs grown in containers in the greenhouse. We hypothesized that the growth of parsley, sage, basil, and dill would be promoted by increasing substrate VWC and, as such, restricting irrigation would be an effective growth-control strategy for containerized culinary annual herb species with short growth cycles.

2. Materials and Methods

Seeds (Johnny’s Selected Seed, Albion, ME, USA) of parsley (Petroselenium crispum (Mill.) Fuss ‘Giant of Italy’), common sage (Salvia officinalis L.; Expt. 1), basil (Ocimum basilicum L. ‘Italian Large Leaf’), and dill (Anethum graveolens L. ‘Fernleaf’; Expt. 2) were individually sown in 288-cell propagation trays (PL-288-1.25; 7.1 cm3 individual cell vol.; T.O. Plastics, Clearwater, MN, USA) filled with a soilless germination substrate comprising (by vol.) 65% fine sphagnum peat moss, 20% fine perlite, and 15% vermiculite (Propagation Mix; Sun Gro Horticulture, Agawam, MA, USA). Trays were initially hand-irrigated with clear, tempered tap water. Beginning at radicle emergence, seedlings were irrigated with tap water supplemented with a blend of water-soluble fertilizers (50 and 100 mg∙L−1 N provided from 21N–2.2P–16.6K and 15N−2.2P−12.5K, respectively; Everris NA, Inc., Marysville, OH, USA) to provide the following (in mg∙L−1): 150 nitrogen, 8.6 phosphorous, 92.2 potassium, 33.3 calcium, 13.3 magnesium, 0.75 iron, 0.4 manganese and zinc, 0.2 copper and boron, and 0.5 molybdenum.
Seedlings were grown on expanded metal benches in a glass-glazed greenhouse at Iowa State University, Ames, IA (latitude 42° N) with fog cooling, radiant hot-water floor and perimeter heating, and retractable shade curtains controlled by an environmental computer (ARGUS Titan; ARGUS Control Systems, Surrey, BC, Canada). The day and night greenhouse air temperature set points were 23.0 ± 1 °C and 18.0 ± 1 °C, respectively. Aluminized shade cloth (XLS 15 Revolux; Ludvig Svensson, Kinna, Sweden) was drawn across the crop when outdoor light intensities exceeded 1000 µmol∙m−2∙s−1 to avoid leaf scorch. High-pressure sodium lamps delivered a supplemental photosynthetic photon flux (PPF) of ~190 µmol·m−2·s−1 at plant height (as measured with a quantum sensor (LI-190 SB; LI-COR Biosciences, Lincoln, NE, USA)) when ambient light intensity was below 100 µmol·m−2∙d−1 between 0600 and 2200 hr to maintain a target daily light integral (DLI) of ~12 mol∙m−2∙d−1.
Four weeks after sowing, seedlings were planted into 11.4 cm diameter containers (655 mL vol.; HC Companies, Middlefield, OH, USA) filled with soilless greenhouse substrate comprising (by vol.) 75% sphagnum peat moss and 25% coarse perlite (Sunshine® LB-2; Sun Gro Horticulture, Inc., Agawam, MA, USA) amended with 3.0 kg·m−3 controlled-release fertilizer (Florikan Plus 16.0 N–2.2 P–9.1 K with a 90 d release period; Florikan ESA, Sarasota, FL, USA). For each experimental unit, 20 plant containers were placed into two 10-cell petroleum-plastic shuttle trays adjacent to each other with individual plants spaced on 12 cm centers (69.4 plants per m2). The inner six plant containers were measured for data gathered, while the surrounding plants were used as border plantings to simulate greenhouse practices.
An automated irrigation system controlled by soil moisture sensors was used to maintain VWC treatments similar to that described by Nemali and van Iersel [12]. Drip irrigation stakes attached to 1.9 L·h−1 pressure-compensating emitters (Netafim USA, Fresno, CA, USA) were inserted into the substrate, and plants were irrigated overhead to container capacity with clear tempered water. After overhead irrigation, capacitance moisture sensors (EC-5; Decagon Devices Inc., Pullman, WA, USA) were inserted into the substrate of the two innermost plant containers within each experimental unit. Sensors connected to a multiplexer (AM16/32B; Campbell Scientific, Logan, UT, USA) cycling measurement readings to a data logger (CR1000; Campbell Scientific, Logan, UT, USA) calculated VWC using a manufacturer-provided calibration curve specific to soilless peat-based substrates. Substrate VWC thresholds were 0.15, 0.23, 0.30, 0.38, and 0.45 m3·m−3, and they were chosen to represent the range of VWC to be observed in commercial production. The VWC values were maintained by the data logger controlling a solenoid valve (Orbit Irrigation Products, Inc., Bountiful, UT, USA) connected to polyethylene tubing with drip emitters for each experimental unit. Irrigation events occurred as needed when the average measured VWC of the two moisture sensors within a given experimental unit fell below its respective threshold. The data logger program was executed every 10 min to determine need. Solenoid valves corresponding to each experimental unit were controlled by a relay driver (SDM-CD16AC controller; Campbell Scientific, Logan, UT, USA) connected to the data logger. Valves opened for 10 s during each irrigation event, providing 6.2 mL of clear water per plant per event. Substrate moisture content and total irrigation volumes are presented in Figure 1 and Figure 2, respectively.
Plants were grown in the greenhouse as previously described. The air temperature was measured every 15 s by four temperature probes (41342; R.M. Young Company, Traverse City, MI, USA) in an aspirated radiation shield (43502; R.M. Young Company, Traverse City, MI, USA), while the PPF was measured every 15 s by eight quantum sensors (LI-190SL; LI-COR Biosciences, Lincoln, NE, USA) per greenhouse. Temperature probes and quantum sensors were connected to a data logger (CR1000 Measurement and Control System; Campbell Scientific, Logan, UT, USA) with means logged every 15 min. The mean day, night, and daily temperatures and DLI are reported in Table 1.
Four weeks after transplanting seedlings, data were collected. Chlorophyll fluorescence of three plants per treatment per replication was measured on the adaxial epidermis of the most fully expanded leaf using a chlorophyll fluorescence meter (Handy Plant Efficiency Analyzer; Hansatech Instruments Ltd., Norfolk, U.K.). Using the manufacturer’s clip, leaves were dark-acclimated for 15 min before measurements were taken. Fluorescence was measured by opening a shutter in the dark-acclimating clip and exposing the leaf to light with a peak wavelength of 650 nm provided by up to 3000 µmol∙m−2∙s−1 for 1 s to saturate photosystem II. Chlorophyll fluorescence was expressed as a ratio of the change in chlorophyll fluorescence from initial to maximum, to maximum fluorescence (Fv/Fm).
Gas exchange measurements were conducted with a portable photosynthesis system (LI-6400XT; LI-COR Biosciences, Lincoln, NE, USA) on two plants per treatment per replication. The second most recently matured leaf placed in a 6 cm2 leaf chamber with a light-emitting diode light source (6400-02B; red at 665 nm and blue at 470 nm) providing 400 µmol·m−2·s−1. The reference CO2 concentration inside the leaf chamber was 500 μmol·mol−1, and the flow of air into the chamber was set to maintain a constant mole fraction of 8.0 mmol∙mol−1 of water inside the chamber. Leaf temperature inside the leaf chamber was maintained at 23.0 °C.
Height was measured from the substrate surface to the tallest growing point. Width was determined by measuring the widest point and 90° perpendicular and averaging these two measurements. Branch length was determined by measuring a branch at a node approximately half the total height of the plant. The number of nodes was counted. Leaf area was determined by scanning all leaves of each plant with a leaf area meter (LI-3000; LI-COR Biosciences, Lincoln, NE, USA). Shoots were severed at the substrate surface, placed in a paper bag, and dried in a forced-air oven at 67 °C for 3 d, after which shoots were weighed and the dry mass recorded. Water use efficiency (WUE) was calculated by dividing the shoot dry mass by the total irrigation volume applied per plant. Internode length was determined by dividing the height by the node number.
The experiment employed a randomized complete block design for each species. There were three blocks (replications) for each VWC for each species, with six individual plants per block. Data were analyzed using regression analyses (Sigma Plot 21.0; Systat Software, San Jose, CA, USA), with VWC concentration as the independent variable.

3. Results

3.1. Parsley

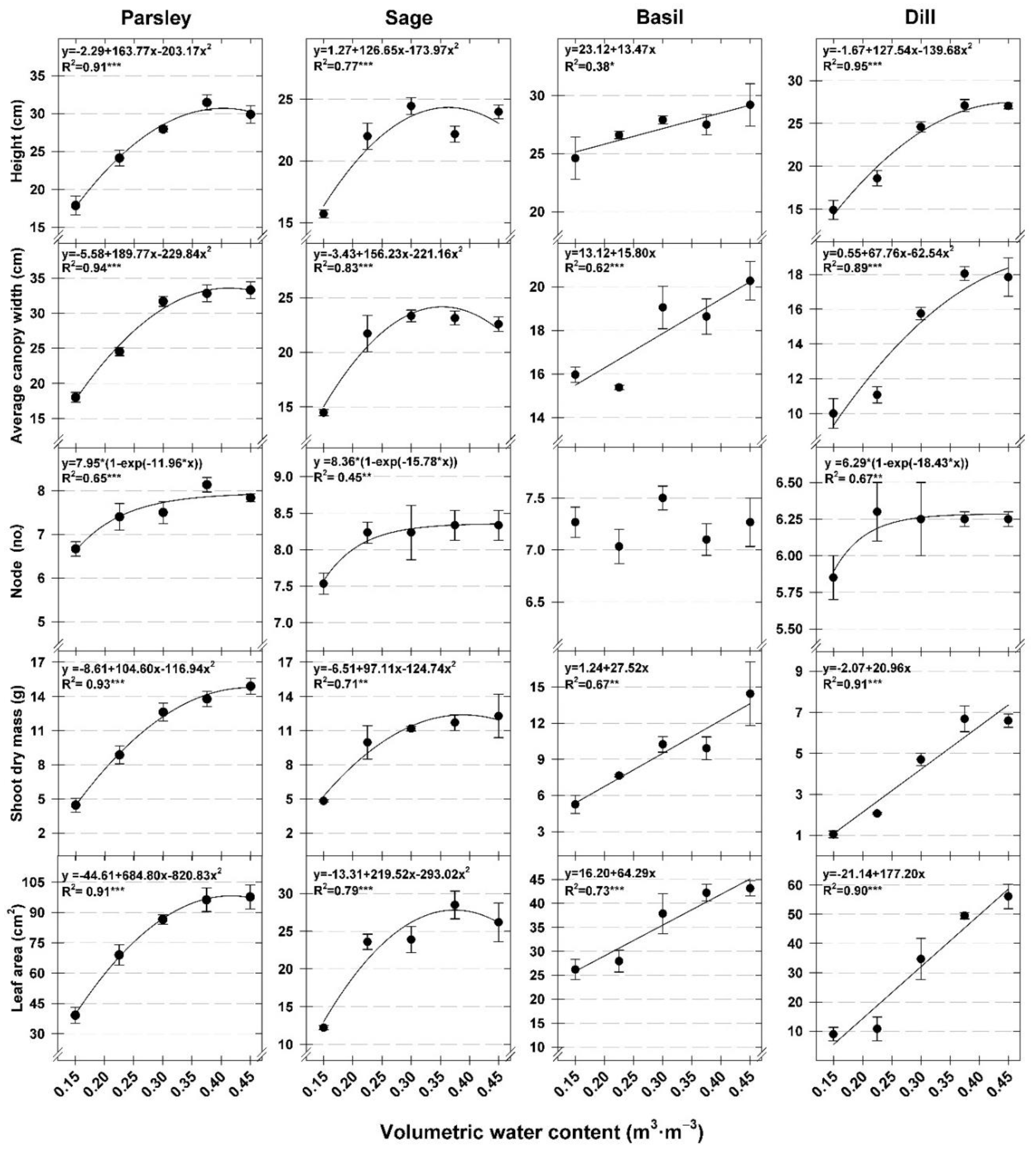
Target substrate VWC for 0.15, 0.23, 0.30, 0.38, and 0.45 were achieved 13, 8, 6, 5, and 3 d later, respectively (Figure 1). Total irrigation volume increased linearly from 587 to 1825 mL as VWC increased from 0.15 to 0.45 m3·m−3 (Figure 2). The photosynthesis (Pn), conductance (gs), and transpiration (E) of parsley was unaffected by VWC, while Fv/Fm increased from 0.82 to 0.84 as VWC increased from 0.15 to 0.45 m3·m−3 (Figure 3). Height and width of parsley increased quadratically in response to VWC (Figure 4). For example, height increased by 14.8 cm as VWC increased from 0.15 to 0.38 m3·m−3, while plants grown at 0.45 m3·m−3 were 1.6 cm shorter compared to those grown at 0.38 m3·m−3 (Figure 4); width followed a similar trend. Increasing VWC promoted node appearance, as plants grown at 0.38 and 0.45 m3·m−3 had approximately one additional node compared to those grown at 0.15 m3·m−3 (Figure 4). Leaf area increased quadratically by 57.0 or 57.5 cm2 for plants grown at 0.38 or 0.45 m3·m−3, respectively, compared to plants grown at 0.15 m3·m−3 (39.2 cm2; Figure 4). The shoot dry mass also increased quadratically from 4.5 to 14.9 g as substrate VWC increased from 0.15 to 0.45 m3·m−3, respectively. There was no significant relationship between substrate VWC and WUE of parsley (Figure 2).

3.2. Sage

The time to reach target substrate conditions decreased with increasing substrate VWC, taking 10 d to reach 0.15 m3·m−3 and 4 d to reach 0.45 m3·m−3 (Figure 1). The total irrigation volume required to maintain substrate VWC increased from 612 to 1531 mL as VWC increased from 0.15 to 0.45 m3·m−3 (Figure 2). Neither Fv/Fm nor gas exchange of sage were affected by VWC (Figure 3). The height, width, and internode length increased from 15.7 to 24.4 cm, 14.5 to 23.3 cm, and 2.0 to 3.0 cm as VWC increased from 0.15 to 0.30 m3·m−3, respectively, then decreased to 24.0 cm, 22.6 cm, and 3.0 cm, respectively, as VWC further increased up to 0.45 m3·m−3 (Figure 4 and Figure 5). Similarly, leaf area increased from 12.2 to 28.5 cm2 as VWC increased from 0.15 to 0.38 m3·m−3 (Figure 4). While node number and branch length for sage grown at 0.15 m3·m−3 was 7.5 and 2.9 cm, respectively, plants grown at 0.23 to 0.45 m3·m−3 had 8.2 to 8.3 nodes and branches between 6.7 and 8.9 cm long (Figure 5). Shoot dry mass increased from 4.8 to 12.3 g as VWC increased from 0.15 to 0.45 m3·m−3 (Figure 4). The WUE of sage was unaffected by substrate VWC (Figure 2).

3.3. Basil

Increasing substrate VWC from 0.15 to 0.45 m3·m−3 reduced the time from 12 to 4 d to reach VWC targets, respectively (Figure 1), whereas the amount of water required to maintain target substrate VWC increased linearly from 616 to 1674 mL (Figure 2). Although Fv/Fm, gs, and E were unaffected by substrate VWC, Pn increased linearly from 5.0 to 11.6 µmol·m−2·d−1 as VWC increased from 0.15 to 0.45 m3·m−3 (Figure 3). Similarly, as substrate VWC increased from 0.15 to 0.45 m3·m−3 the height, width, internode length, leaf area, branch length, and shoot dry mass increased by 4.6 cm, 4.3 cm, 0.7 cm, 17 cm2, 5.9 cm, and 9.1 g, respectively (Figure 4 and Figure 5). The WUE of basil ranged from 1.41 to 1.51 g·mL−1 across substrate VWC and were unaffected by treatments (Figure 2).

3.4. Dill

Substrate VWC for dill reached 0.15, 0.23, 0.30, 0.38, and 0.45 m3·m−3 13, 9, 7, 5, and 2 d after imposing treatments, respectively (Figure 1). The height and width of dill increased quadratically by 12.2 and 8.1 cm, respectively, as substrate VWC increased from 0.15 to 0.38 m3·m−3 but then diminished as VWC was further increased to 0.45 m3·m−3 (Figure 4). Leaf area increased linearly from 9.0 to 56.1 cm2 as substrate VWC increased from 0.15 to 0.45 m3·m−3, respectively (Figure 4). Similarly, dill shoot dry mass increased linearly by 5.5 g as substrate VWC increased from 0.15 to 0.45 m3·m−3 (Figure 4). There was no effect of substrate VWC on the number of nodes. The WUE of dill increased by 0.71 g·mL−1 as substrate VWC increased from 0.15 to 0.38 m3·m−3 but then decreased as substrate VWC increased to 0.45 m3·m−3 (Figure 2).

4. Discussion

The growth and development of containerized basil, dill, parsley, and sage is promoted with increasing substrate VWC. While the effect of substrate moisture on growth is better understood for containerized ornamental flowering crops, our results on the effect of substrate VWC on controlling growth of culinary herbs align well with the limited literature on container-grown herbs, including rosemary and English lavender [8,9]. For example, Zhen et al. [8] reported that, as substrate VWC increased from 0.05 to 0.40 m3·m−3, the height, width, leaf number and area, and fresh and dry mass of rosemary increased linearly. Similarly, height, width, leaf number, and area of ‘Munstead’ and ‘Hidcote’ English lavenders increased as substrate VWC increased from 0.10 to 0.40 m3·m−3 [9]. The effect of substrate VWC on WUE of containerized herbs was not consistent among species in the study, with parsley, sage, and basil not being affected by VWC, whereas WUE of dill increased as VWC increased up to 0.38 m3·m−3. This variation reflects what is seen in the literature, where WUE was found to increase with increasing substrate VWC for burkwood vibrurnum (Viburnum × burkwoodii Burkwood & Skipwith) and butterfly bush (Buddleja davidii Franch.); decrease with increasing substrate VWC for potato (Solanum tuberosum L.), salvia (Salvia splendens Sellow ex Roem. & Schult.), vinca (Catharanthus roseus (L.) G. Don), and wax begonia (Begonia × semperflorens-cultorum Hort.); or remain unaffected by substrate VWC for cheddar pink (Dianthus gratianopolitanus L.), columbine (Aquilegia canadensis L.), geranium (Pelargonium × hortorum Bailey), petunia, and rosemary [8,13,14,15,16,17].
The growth of basil, dill, parsley, and sage are promoted or inhibited by the provision or restriction of water to the root zone and, as such, restricting the substrate VWC to plants and growing them drier using restricted deficit irrigation is a viable nonchemical growth control method for container-grown culinary herbs. Although growing containerized herbs with restricted VWC reduces shoot mass, the harvestable or useable portion of most culinary herbs, it is important to distinguish between containerized and fresh-cut herb production. Containerized herb plants are sold as individual units (i.e., per container), not on the unit weight basis (i.e., gram) that fresh-cut culinary herbs are sold. For producers of fresh-cut herbs grown in substrate, using higher substrate VWC can promote shoot growth and yields, potentially enhancing productivity and profitability.
Although growth and development of herbs were greater at increasingly higher VWC, gas exchange was unaffected for parsley and sage (Figure 3). Under low water availability, gas exchange is reduced in most plants compared to higher availability [18]. For example, Pn and gs of Mediterranean herbs sea beet (Beta maritima) and wall-rocket (Diplotaxis ibicensis) decreased with increasing water deficit stress [19]. Similarly, gas exchange (Pn, gs, and E) of English lavender grown with sensor-based irrigation increased with VWC increasing from 0.10 to 0.40 m3·m−3 [9]. According to Yan et al. [20], annual herbs do not vary greatly in gas exchange with changing water status, suggesting limited response regulation, although the method of imposed stress may affect this. Montesano et al. [21] reported that, when irrigation was completely withheld for basil, the Pn, gs, and E decreased after three days. However, the authors also reported that, when VWC was controlled using sensor-based irrigation and maintained 0.20, 0.30, or 0.40 m3·m−3, fresh mass increased with increasing VWC, whereas Pn, gs, and E were unaffected by increasing VWC. In contrast, Pn in our study increased for basil as VWC increased from 0.15 to 0.45 m3·m−3; however, within 0.20 to 0.40 m3·m−3, Pn was similar to reports by Montesano et al. [21]. Taken together, our results align well with the literature for suppressed growth and development at lower VWC and for gas exchange under sensor-based irrigation for herbs. Drought stress reduced Fv/Fm in plants compared to well-watered conditions, which is in agreement with chlorophyll content for nontolerant species [22,23]. Nemali and van Iersel [14] reported that, as VWC increased, the quantum yield efficiency of photosynthesis increased for petunia, salvia, impatiens, and vinca, similar to parsley in this study, although basil and sage were unaffected, similar to previous reports by [9].
Sensor-based precision irrigation effectively restricted irrigation of containerized herbs in this experiment. This is especially useful for edible crops with no chemical PGRs labeled for use on them during greenhouse forcing [8] and for using drought as a nonchemical growth control method [6]. To consistently produce containerized crops at a lower substrate, VWC can be a challenge using non-sensor-controlled systems as judging the appropriate time to irrigate becomes more difficult [24,25]; automated sensor-based systems are well suited for controlling substrate VWC at desired set points [26]. Sensor-based irrigation also precisely controls substrate moisture, with minimal variation in VWC within treatment groups after initial dry down (Figure 1). However, aside from implementing precision irrigation strategies for producing containerized crops, there are other benefits when using these systems in commercial applications. Automated sensor-based irrigation is not only used to restrict irrigation for controlling height [6] but also to improve water use [24], plant growth uniformity [27], biomass [28], flower number [29], plant stress symptoms, and disease pressure [30] and can increase profitability of commercial producers compared to visual inspection- or timer-based irrigation scheduling [31].

5. Conclusions

The research presented here comprehensively quantifies the effect of substrate moisture on container-grown basil, dill, parsley, and sage regarding growth, development, and gas exchange. The growth and development of containerized culinary herbs, including height, width, node number, leaf area, and branching, were all controlled by substrate VWC, with growth and development restricted at lower VWC compared to those at higher VWC. However, while growth was suppressed when substrate VWC was lower, there were a few instances where Pn, gs, E, or Fv/Fm were negatively impacted. Taken together, reducing substrate VWC and implementing restricted deficit irrigation is an effective growth-controlling strategy for containerized culinary herb production. Sensor-based irrigation allows for precise substrate moisture control to implement restricted deficit irrigation for controlling crop growth, although other tangible benefits may be realized in commercial production facilities. The research presented herein was performed using a round plastic container with a peat and perlite substrate. However, the different substrates that are either currently used or will be used in the future as peat alternatives [32], as well as different container shapes and sizes [33], can affect the water-holding capacity of substrates; therefore, additional work on culinary herb growth and substrate moisture content grown with different substrates and containers would be useful. While the results we have presented support the use of restricting substrate moisture to control containerized herb growth, commercial producers should conduct their own trials to determine the effectiveness of this growth-controlling technique under their unique circumstances, including the specific species and cultivars produced under specific greenhouse environmental conditions and crop culture.

Author Contributions

Conceptualization, C.J.C.; methodology, C.J.C., N.J.F., and A.G.L.; formal analysis, A.G.L.; investigation, V.C.M. and N.J.F.; writing—original draft preparation, C.J.C.; writing—review and editing, N.J.F., A.G.L. and V.C.M.; supervision, C.J.C.; funding acquisition, C.J.C.

Funding

This research was funded by the Fred C. Gloeckner Foundation.

Acknowledgments

We gratefully acknowledge Peter Lawlor for greenhouse assistance. The use of trade names in this publication does not imply endorsement by Iowa State University of products named, nor criticism of similar ones not mentioned.

Conflicts of Interest

The authors declare no conflict of interest. The funders had no role in the design of the study; in the collection, analyses, or interpretation of data; in the writing of the manuscript; or in the decision to publish the results.

References

  1. Whipker, B.E.; McCall, I.; Latimer, J. Growth regulators. In Ball Redbook, Vol. 2: Crop Production; Nau, J., Ed.; Ball Publishing: West Chicago, IL, USA, 2011; pp. 95–105. [Google Scholar]
  2. Currey, C.J. Keeping your herbs under control. GrowerTalks 2019, 82, 62, 64. [Google Scholar]
  3. Currey, C.J.; Mazur, T.Z. Spinning the herb wheel. GrowerTalks 2018, 82, 66, 68–69. [Google Scholar]
  4. Flax, N.J.; Currey, C.J. Controlled-release and water-soluble fertilizers affect growth and tissue nutrient concentrations of basil, dill, and parsley. HortScience 2016, 51, S297. [Google Scholar]
  5. Currey, C.J.; Metz, V.C.; Flax, N.J.; Whipker, B.E. Restricting phosphorous suppresses growth of containerized culinary herbs. HortScience 2018, 53, S139–S140. [Google Scholar]
  6. Alem, P.; Thomas, P.A.; Van Iersel, M.W. Controlled water deficit as an alternative to plant growth retardants for regulation of poinsettia stem elongation. HortScience 2015, 50, 565–569. [Google Scholar] [CrossRef]
  7. Van Iersel, M.W.; Dove, S.; Kang, J.-G.; Burnett, S.E. Growth and water use of petunia as affected by substrate water content and daily light integral. HortScience 2010, 45, 277–282. [Google Scholar] [CrossRef]
  8. Zhen, S.; Burnett, S.E.; Day, M.E.; Van Iersel, M.W. Effects of substrate water content on morphology and physiology of rosemary, canadian columbine, and cheddar pink. HortScience 2014, 49, 486–492. [Google Scholar] [CrossRef]
  9. Zhen, S.; Burnett, S.E. Effects of substrate volumetric water content on English lavender morphology and photosynthesis. HortScience 2015, 50, 909–915. [Google Scholar] [CrossRef]
  10. Jacobson, A.B.; Starman, T.W.; Lombardini, L. Substrate moisture content effect on growth and shelf life of Angelonia angustifolia. HortScience 2012, 50, 272–278. [Google Scholar] [CrossRef]
  11. Alem, P.; Thomas, P.A.; Van Iersel, M.W. Use of controlled water deficit to regulate poinsettia stem elongation. HortScience 2015, 50, 234–239. [Google Scholar] [CrossRef]
  12. Nemali, K.S.; Van Iersel, M.W. An automated system for controlling stress and irrigation in potted plants. Sci. Hortic. 2006, 110, 292–297. [Google Scholar] [CrossRef]
  13. Liu, F.; Shahnazari, A.; Andersen, M.N.; Jacobsen, S.-E.; Jensen, C.R. Effects of deficit irrigation (DI) and partial root drying (PRD) on gas exchange, biomass partitioning, and water use efficiency in potato. Sci. Hortic. 2006, 109, 113–117. [Google Scholar] [CrossRef]
  14. Nemali, K.S.; Van Iersel, M.W. Physiological responses to different substrate water contents: Screening for high water-use efficiency in bedding plants. J. Am. Soc. Hortic. Sci. 2008, 133, 333–340. [Google Scholar] [CrossRef]
  15. Warsaw, A.L.; Fernandez, R.T.; Cregg, B.M.; Andresen, J.A. Water conservation, growth, and water use efficiency of container-grown woody ornamentals irrigated based on daily water use. HortScience 2009, 44, 1308–1318. [Google Scholar] [CrossRef]
  16. Miralles-Crespo, J.; Van Iersel, M.W. A calibrated time domain transmissometry soil moisture sensor can be used for precise automated irrigation of container-grown plants. HortScience 2011, 46, 889–894. [Google Scholar] [CrossRef]
  17. Flax, N.J.; Currey, C.J.; Litvin, A.G.; Schrader, J.A.; Grewell, D.; Graves, W.R. Aesthetic quality and strength of bioplastic biocontainers at different substrate volumetric water contents. HortScience 2018, 53, 483–490. [Google Scholar] [CrossRef]
  18. Zhou, S.; Duursma, R.A.; Medlyn, B.E.; Kelly, J.W.G.; Prentice, I.C. How should we model plant responses to drought? An analysis of stomatal responses to water stress. Agric. For. Meteorol. 2013, 182, 204–214. [Google Scholar] [CrossRef]
  19. Galmes, J.; Medrano, H.; Flexas, J. Photosynthetic limitations in response to water stress and recovery in Mediterranean plants with different growth forms. New Phytol. 2007, 175, 81–93. [Google Scholar] [CrossRef]
  20. Yan, W.; Zhong, Y.; Shangguan, Z. A meta-analysis of leaf gas exchange and water status responses to drought. Sci. Rep. 2016, 6, 20917. [Google Scholar] [CrossRef]
  21. Montesano, F.F.; Van Iersel, M.W.; Boari, F.; Cantore, V.; D’Amato, G.; Parente, A. Sensor-based irrigation management of soilless basil using a new smart irrigation system: Effects of set-point on plant physiological responses and crop performance. Agric. Water Manag. 2018, 203, 20–29. [Google Scholar] [CrossRef]
  22. Gholamin, R.; Khayatnezhad, M. The effect of end season drought stress on the chlorophyll content, chlorophyll fluorescence parameters and yield in maize cultivars. Sci. Res. Essays 2011, 6, 5351–5357. [Google Scholar]
  23. Van der Mescht, A.; De Ronde, J.A.; Rossouw, F.T. Chlorophyll fluorescence and chlorophyll content as a measure of drought tolerance in potato. S. Afr. J. Sci. 1999, 95, 407–412. [Google Scholar]
  24. Choi, E.-Y.; Choi, K.-Y.; Lee, Y.-B. Non-drainage Irrigation scheduling in coir substrate hydroponic system for tomato cultivation by a frequency domain reflectometry sensor. Eur. J. Hortic. Sci. 2013, 78, 132–143. [Google Scholar]
  25. Greenwood, D.J.; Zhang, K.; Hilton, H.W.; Thompson, A.J. Opportunities for improving irrigation efficiency with quantitative models, soil water sensors and wireless technology. J. Agric. Sci. 2010, 148, 1–16. [Google Scholar] [CrossRef]
  26. Burnett, S.E.; Van Iersel, M.W. Morphology and irrigation efficiency of Gaura lindheimeri grown with capacitance sensor-controlled irrigation. HortScience 2008, 43, 1555–1560. [Google Scholar] [CrossRef]
  27. Van Iersel, M.W.; Dove, S.; Burnett, S.E. The use of soil moisture probes for improved uniformity and irrigation control in greenhouses. Acta Hortic. 2008, 893, 1049–1056. [Google Scholar] [CrossRef]
  28. Bacci, L.; Battista, P.; Rapi, B. An integrated method for irrigation scheduling of potted plants. Sci. Hortic. 2008, 116, 89–97. [Google Scholar] [CrossRef]
  29. Cai, X.; Starman, T.; Niu, G.; Hall, C. The effect of substrate moisture content on growth and physiological responses of two landscape roses (Rosa hybrida L.). HortScience 2014, 49, 741–745. [Google Scholar] [CrossRef]
  30. Lichtenberg, E.; Majsztrik, J.; Saavoss, M. Profitability of sensor-based irrigation in greenhouse and nursery crops. HortTechnology 2013, 23, 770–774. [Google Scholar] [CrossRef]
  31. Van Iersel, M.W.; Chappell, M.; Lea-Cox, J.D. Sensors for improved efficiency of—Irrigation in—Greenhouse and nursery crop production. HortTechnology 2013, 23, 735–746. [Google Scholar] [CrossRef]
  32. Gruda, N.S. Increasing sustainability of growing media constituents and stand-alone substrates in soilless culture systems. Agronomy 2019, 9, 298. [Google Scholar] [CrossRef]
  33. Bilderback, T.E.; Fonteno, W.C. Effects of container geometry and media physical properties on air and water volumes in containers. J. Environ. Hortic. 1987, 5, 180–182. [Google Scholar]
Figure 1. Substrate moisture for parsley and sage (Expt. 1) and basil and dill (Expt. 2) grown in 11.4 cm diameter containers filled with a soilless substrate comprising (by vol.) 75% sphagnum peat moss and 25% coarse perlite amended with 3.0 kg·m3 controlled-release fertilizer and maintained at 0.15, 0.23, 0.30, 0.38, or 0.45 m3∙m3 substrate volumetric water content for four weeks.
Figure 1. Substrate moisture for parsley and sage (Expt. 1) and basil and dill (Expt. 2) grown in 11.4 cm diameter containers filled with a soilless substrate comprising (by vol.) 75% sphagnum peat moss and 25% coarse perlite amended with 3.0 kg·m3 controlled-release fertilizer and maintained at 0.15, 0.23, 0.30, 0.38, or 0.45 m3∙m3 substrate volumetric water content for four weeks.
Agronomy 09 00667 g001
Figure 2. Total irrigation volume and water use efficiency (WUE) for parsley and sage (Expt. 1) and basil and dill (Expt. 2) grown in 11.4 cm diameter containers filled with a soilless substrate comprising (by vol.) 75% sphagnum peat moss and 25% coarse perlite amended with 3.0 kg·m−3 controlled-release fertilizer and maintained at 0.15, 0.23, 0.30, 0.38, or 0.45 m3∙m−3 substrate volumetric water content for four weeks. Regression lines are presented for significant correlations only with corresponding R2 presented. * and *** indicate significant at p ≤ 0.05 or 0.001, respectively.
Figure 2. Total irrigation volume and water use efficiency (WUE) for parsley and sage (Expt. 1) and basil and dill (Expt. 2) grown in 11.4 cm diameter containers filled with a soilless substrate comprising (by vol.) 75% sphagnum peat moss and 25% coarse perlite amended with 3.0 kg·m−3 controlled-release fertilizer and maintained at 0.15, 0.23, 0.30, 0.38, or 0.45 m3∙m−3 substrate volumetric water content for four weeks. Regression lines are presented for significant correlations only with corresponding R2 presented. * and *** indicate significant at p ≤ 0.05 or 0.001, respectively.
Agronomy 09 00667 g002
Figure 3. Photosynthesis (Pn), conductance (gs), transpiration (E), and chlorophyll fluorescence (Fv/Fm) of parsley and sage (Expt. 1) and basil (Expt. 2) grown in 11.4 cm diameter containers filled with a soilless substrate comprising (by vol.) 75% sphagnum peat moss and 25% coarse perlite amended with 3.0 kg·m−3 controlled-release fertilizer and maintained at 0.15, 0.23, 0.30, 0.38, or 0.45 m3∙m−3 substrate volumetric water content for four weeks. Regression lines are presented for significant correlations only with corresponding R2 presented. ** indicates nonsignificant or significant at p ≤ 0.01.
Figure 3. Photosynthesis (Pn), conductance (gs), transpiration (E), and chlorophyll fluorescence (Fv/Fm) of parsley and sage (Expt. 1) and basil (Expt. 2) grown in 11.4 cm diameter containers filled with a soilless substrate comprising (by vol.) 75% sphagnum peat moss and 25% coarse perlite amended with 3.0 kg·m−3 controlled-release fertilizer and maintained at 0.15, 0.23, 0.30, 0.38, or 0.45 m3∙m−3 substrate volumetric water content for four weeks. Regression lines are presented for significant correlations only with corresponding R2 presented. ** indicates nonsignificant or significant at p ≤ 0.01.
Agronomy 09 00667 g003
Figure 4. Height, width, node number, leaf area, and shoot dry mass of parsley and sage (Expt. 1) and basil and dill (Expt. 2) grown in 11.4 cm diameter containers filled with a soilless substrate comprising (by vol.) 75% sphagnum peat moss and 25% coarse perlite amended with 3.0 kg·m−3 controlled-release fertilizer and maintained at 0.15, 0.23, 0.30, 0.38, or 0.45 m3∙m−3 substrate volumetric water content for four weeks. Regression lines are presented for significant correlations only with corresponding R2 presented. *, **, or *** indicates significant at p ≤ 0.05, 0.01, or 0.001, respectively.
Figure 4. Height, width, node number, leaf area, and shoot dry mass of parsley and sage (Expt. 1) and basil and dill (Expt. 2) grown in 11.4 cm diameter containers filled with a soilless substrate comprising (by vol.) 75% sphagnum peat moss and 25% coarse perlite amended with 3.0 kg·m−3 controlled-release fertilizer and maintained at 0.15, 0.23, 0.30, 0.38, or 0.45 m3∙m−3 substrate volumetric water content for four weeks. Regression lines are presented for significant correlations only with corresponding R2 presented. *, **, or *** indicates significant at p ≤ 0.05, 0.01, or 0.001, respectively.
Agronomy 09 00667 g004
Figure 5. Branch and internode length of sage (Expt. 1) and basil (Expt. 2) grown in 11.4 cm diameter containers filled with a soilless substrate comprising (by vol.) 75% sphagnum peat moss and 25% coarse perlite amended with 3.0 kg·m−3 controlled-release fertilizer and maintained at 0.15, 0.23, 0.30, 0.38, or 0.45 m3∙m−3 substrate volumetric water content for four weeks. Regression lines are presented for significant correlations only with corresponding R2 presented. ** or *** indicates significant at p ≤ 0.01 or 0.001, respectively.
Figure 5. Branch and internode length of sage (Expt. 1) and basil (Expt. 2) grown in 11.4 cm diameter containers filled with a soilless substrate comprising (by vol.) 75% sphagnum peat moss and 25% coarse perlite amended with 3.0 kg·m−3 controlled-release fertilizer and maintained at 0.15, 0.23, 0.30, 0.38, or 0.45 m3∙m−3 substrate volumetric water content for four weeks. Regression lines are presented for significant correlations only with corresponding R2 presented. ** or *** indicates significant at p ≤ 0.01 or 0.001, respectively.
Agronomy 09 00667 g005
Table 1. Mean (± standard deviation) daily light integral (DLI), average daily air temperature (ADT), and average day (DT) and night (NT) air temperature for parsley and sage (Expt. 1) or basil and dill (Expt. 2) grown in 11.4 cm diameter containers filled with a soilless substrate comprising (by vol.) 75% sphagnum peat moss and 25% coarse perlite amended with 3.0 kg·m−3 and maintained at 0.15, 0.23, 0.30, 0.38, or 0.45 m3∙m−3 substrate volumetric water content (VWC) for four weeks.
Table 1. Mean (± standard deviation) daily light integral (DLI), average daily air temperature (ADT), and average day (DT) and night (NT) air temperature for parsley and sage (Expt. 1) or basil and dill (Expt. 2) grown in 11.4 cm diameter containers filled with a soilless substrate comprising (by vol.) 75% sphagnum peat moss and 25% coarse perlite amended with 3.0 kg·m−3 and maintained at 0.15, 0.23, 0.30, 0.38, or 0.45 m3∙m−3 substrate volumetric water content (VWC) for four weeks.
ExperimentDLI (mol∙m−2∙d−1)ADT (°C)DT (°C)NT (°C)
110.8 ± 0.523.7 ± 0.325.2 ± 0.320.7 ± 0.3
210.4 ± 0.722.9 ± 0.424.0 ± 0.520.5 ± 0.5

Share and Cite

MDPI and ACS Style

Currey, C.J.; Flax, N.J.; Litvin, A.G.; Metz, V.C. Substrate Volumetric Water Content Controls Growth and Development of Containerized Culinary Herbs. Agronomy 2019, 9, 667. https://doi.org/10.3390/agronomy9110667

AMA Style

Currey CJ, Flax NJ, Litvin AG, Metz VC. Substrate Volumetric Water Content Controls Growth and Development of Containerized Culinary Herbs. Agronomy. 2019; 9(11):667. https://doi.org/10.3390/agronomy9110667

Chicago/Turabian Style

Currey, Christopher J., Nicholas J. Flax, Alexander G. Litvin, and Vincent C. Metz. 2019. "Substrate Volumetric Water Content Controls Growth and Development of Containerized Culinary Herbs" Agronomy 9, no. 11: 667. https://doi.org/10.3390/agronomy9110667

APA Style

Currey, C. J., Flax, N. J., Litvin, A. G., & Metz, V. C. (2019). Substrate Volumetric Water Content Controls Growth and Development of Containerized Culinary Herbs. Agronomy, 9(11), 667. https://doi.org/10.3390/agronomy9110667

Note that from the first issue of 2016, this journal uses article numbers instead of page numbers. See further details here.

Article Metrics

Back to TopTop