Next Article in Journal
Contrasting Roles of Archaeal Core Clusters in Soil Nitrification of Northeast China’s Black Soil Region
Previous Article in Journal
Genetic Diversity Analysis of Phenotypic Traits in Jujube Germplasm Resources
Previous Article in Special Issue
The Adaptability of Different Wheat Varieties to Deep Sowing in Henan Province of China
 
 
Font Type:
Arial Georgia Verdana
Font Size:
Aa Aa Aa
Line Spacing:
Column Width:
Background:
Article

Dynamic Degradation of Seed Ropes: Influence of Material Type and Adhesion to Different Soils

1
School of Tropical Agriculture and Forestry, Hainan University, Danzhou 571737, China
2
Key Laboratory for Quality Regulation of Tropical Horticultural Crops of Hainan Province, Hainan University, Haikou 570208, China
3
Sanya Institute of Breeding and Multiplication, Hainan Unversity, Sanya 572025, China
*
Author to whom correspondence should be addressed.
Agronomy 2025, 15(9), 2065; https://doi.org/10.3390/agronomy15092065
Submission received: 5 July 2025 / Revised: 23 August 2025 / Accepted: 26 August 2025 / Published: 27 August 2025

Abstract

Seed rope direct seeding technology is a precision seeding method that can accurately mix and arrange multiple varieties based on specific grain spacing and quantity, making it suitable for precision breeding and variety comparison studies. As seed ropes serve as the crucial seed encapsulation material in seed rope direct seeding, this study employed a multi-faceted approach to investigate the dynamic degradation of nonwoven fabric and paper material seed ropes under diverse environmental conditions as well as their adhesion properties with Ultisols, Oxisols, and the Substrate in this seeding technique. Firstly, the degradation dynamics were systematically analyzed using image-based surface area detection, breaking force measurement, and organic carbon content analysis. Secondly, the process of seed rope laying was simulated by modeling the sliding friction and adhesion forces during the detachment of soil slurry. The laying motion was simulated considering both sliding friction (during the uniform-speed interaction between the seed rope and soil slurry) and adhesion (during upward detachment), providing crucial reference values for optimizing the rope-breaking mechanism in field applications. The study yielded several significant findings: In natural environments, Wood pulp paper seed rope degrades significantly faster than nonwoven fabric, with a degradation cycle of only 5.68 days in winter (approximately 34% of the degradation cycle of nonwoven fabric) and 4.70 days in summer (approximately 78% of the degradation cycle of nonwoven fabric). The main effect of seed viability on the degradation rate of seed tapes was not statistically significant. The degradation of Wood pulp paper seed rope was relatively predictable in indoor settings but exhibited notable fluctuations outdoors. The peak friction occurred at 35% soil moisture content, with values of 1.22 N for Wood pulp paper seed rope and 2.08 N for nonwoven fabric when interacting with Oxisols; nonwoven ropes demonstrated stronger adhesion than Wood pulp paper seed rope in the Substrate (at moisture contents of 25–30% and 40–45%) and Oxisols (at 35–45% moisture). In Ultisols, nonwoven fabric only showed superior adhesion compared to Wood pulp paper seed rope at 35–45% moisture, while Wood pulp paper seed rope exhibited better adhesion in other moisture ranges.

1. Introduction

Seed rope direct seeding technology is a precision seeding technique that can mix and arrange multiple varieties according to specific grain spacing and quantity, making it suitable for precision breeding and variety comparison research. In the preliminary research, it was found that manual rope breaking is required when seeding ropes and turning around at the boundary of the plot, which affects efficiency and accuracy. The mechanical properties of the seed rope material and the integrity of the wrapped seeds are critical factors that influence the growth and development of the plants’ root system, which in turn is a key determinant for the optimization of the seed rope automated quantitative mechanism. This paper employed uniaxial tensile testing to investigate the mechanical properties and tensile failure characteristics of seed ropes across various materials, seed wrapping techniques, and seed soaking methods [1,2,3,4]. This technology uses advanced seeding machinery and equipment into two steps, firstly using a weaving machine to accurately and quantitatively weave according to a specific seeds spacing and number to make seed rope trays and then carrying out direct seeding and other processes according to a specific row spacing in the field, which can accurately sow rice seeds into the soil according to the predetermined row spacing and spacing to achieve precise sowing [5,6]. Seed rope sowing exhibits several advantages, including precise control over ridge spacing, streamlining of the field sowing process, minimal damage to bud seeds, and the facilitation of precision agriculture, among others. Furthermore, testing has demonstrated that this method exhibits a low leakage rate, with plant spacing and seeding depth aligning with the technical characteristics of rice seeding, thereby fully meeting the requirements of agronomy [7,8].
In terms of seed rope material, at present, it is biodegradable natural fiber as the main material, and part of it is nonwoven material. The application of biodegradable materials plays a significant role in protecting the ecological environment of cropland. In the context of the “white revolution” caused by plastic mulch, the application of biodegradable materials can reduce the damage to the soil structure caused by the application of materials, reduce the production of organic pollutants and fine particles, and thus reduce the risk of damage to the soil structure and the production of organic pollutants. The application of biodegradable materials can reduce the damage to soil structure, organic pollutants, and fine particles and thus reduce the harm to human health [5,9]. Cui Hongguang [10] studied PLA nonwoven fabrics as the inclusion material for rice seed tape and found that they are easily degradable, are non-polluting to the environment, and have little effect on the germination rate and plant height of rice seeds; Accinelli, C. [11] found that microplastic seed coating fragments degrade at variable rates in soil, with biodegradable coatings degrading faster, especially when combined with Bacillus subtilis. Insecticides dissipated more quickly when bound to seed coatings, with a 27% reduction in half-life; Poly (lactic acid) (PLA)-based biocomposites with mango seed residues and organo montmorillonite clays degrade faster in water (due to hydrolytic and microbial effects) than in soil. Incorporating mango seed tegument enhances degradation, while organo-clays alter degradation rates through material interactions [12]. Anunciado, M. [13] investigates the deterioration of soil-biodegradable mulch films during storage and its impact on specialty crops. The author finds that high temperature and humidity accelerate degradation, reducing tensile strength. Degraded films hinder crop growth, decrease yield and quality, and alter soil microbes. It suggests storing films under cool-dry conditions and using PLA-based films.
Soil adhesion and friction critically affect seed-tape seeding. Tests show soil type and moisture (≥25%) significantly influence seed-tape friction/adhesion. Hainan’s Oxisols at ≥25% moisture provides optimal friction for seeding, with nonwoven fabric demonstrating superior performance as the preferred encapsulation material. This study not only provides a reference opinion for the selection of seed rope material in rice seed rope sowing technology but also offers a better approach for the prevention and control of environmental pollution in agricultural production.

2. Materials and Methods

2.1. Seed Rope

Two kinds of seed rope materials were selected: nonwoven fabric and wood pulp paper (nonwoven fabrics primarily consist of polypropylene (PP) and polyethylene terephthalate (PET), while wood pulp paper seed ropes are predominantly composed of sodium carboxymethyl cellulose (CMC) or ammonium carboxymethyl cellulose) [14] and rice seeds with vitality and rice seeds without vitality. The width of both materials was 0.5 cm, and the seeds with different viability were wrapped every 6 cm; the seed rope materials are shown in Figure 1.

2.2. Soil Selected

The soil used in this study was divided into two parts: Firstly, the soil was collected from natural rice fields with typical tropical rice field soil characteristics, which provided an experimental environment for the study of the dynamic degradation performance of the seed rope material, as shown in Figure 2. Secondly, substrate and lateritic red soil from Lingao County, Hainan Province, China, and yellow soil from Puzian Town, Wenchang City, Hainan Province, China were used to investigate the adhesion properties between seed ropes and soil [15]. The physical characteristics of the yellow soil and lateritic red soil are detailed in Table 1. Under the USDA Soil Taxonomy and WRB systems, yellow soils are classified as Ultisols and Alisols, respectively, whereas lateritic red soils correspond to Oxisols and Ferralsols. The Substrate, a universal substrate commonly used in cultivation (NY/T 2118-2012) [16], primarily consists of peat and coarse sand, among other components [17].

2.3. Quantitative Experiment on Seed Rope Degradation Based on Organic Carbon Content Analysis

2.3.1. Data Collection and Environmental Monitoring

In order to investigate the effect of seed activity on the degradation behavior of seed ropes of Wood pulp paper materials, this experiment used 6 hole trays as experimental devices; hole tray specifications were 54 cm (length) × 28 cm (width), including 6 × 12 holes, single hole depth of 4.2 cm, the upper diameter of 4 cm, and the diameter of the lower diameter of 2 cm. Each tray was equipped with the corresponding tray and timely replenishment of water outside the lower mouth of the nonwoven fabric paved with 2 × 2 cm to avoid the loss of soil particles and to avoid soil loss. In order to ensure the reliability and comparability of the experimental data, three groups of replicates were set up, each containing 18 samples. Each experimental group was provided with a blank control group, i.e., a control group with the same conditions as the experimental group, without placing seed ropes.
The experimental soil was spread evenly in the hole cavities of the trays. In the experimental group, each small sample contained two 10 cm (length) × 0.5 cm (width) Wood pulp paper seed ropes, which were laid on the soil surface of two neighboring holes. To reduce the mutual interference between different groups, a specific spacing was maintained between the small samples, which were laid out as shown in Figure 3. To simulate the natural rice field environment, the hole trays were placed outdoors under natural conditions, and the soil moisture content was maintained at the initial level at the time of collection by regular artificial replenishment of water into the trays.
The experimental environment was monitored in real time using a soil moisture tachymeter, an air illumination, temperature, and humidity tachymeter (Zhejiang Topo TPJ-22-G, Hangzhou, China), and relevant data were recorded. Small samples and blank control group samples were collected every two days using a small flat shovel to collect the soil layer at a depth of 2 cm, each of which was put into six divided bags.

2.3.2. Determination of Organic Carbon Content

The main component of Wood pulp paper seed rope material is cellulose, and retention aid, filter aid, and other fillers are added [18]. Therefore, the degree of degradation of seed rope fibers in the soil can be indirectly reflected by determining the changes in organic carbon content. At present, the methods for the determination of organic carbon content mainly include the potassium dichromate volumetric method, colorimetric method, cauterization method, and differential subtraction method. Based on the comprehensive consideration of experimental feasibility and method accuracy, we chose the potassium dichromate volumetric method for the design of the chemical experiment. The specific experimental steps are as follows:
  • Before the beginning of the experiment, we carried out the following: we took 0.2 mol (FeSO4)/L, took 0.1 mol (1/6K2Cr2O7)/L potassium dichromate standard solution (Fulin, Shenzhen, China) 20.00 mL in 150 mL triangular flasks, added 2–3 drops of o-phenanthroline indicator (Fulin, Shenzhen, China), and then titrated it to the end point (coffee red color) with 0.2 mol (FeSO4)/L ferrous sulphate solution (Fulin, Shenzhen, China) in the amount of V (mL). The formula for the concentration C of FeSO4 solution is as follows:
    C mol / L = 0.1000 × 20.00 V  
  • Firstly, the collected soil samples were dried in a drying oven at 120 °C for 360 min. Then, six samples were passed through a 0.25 mm sieve. After this, the soil samples were accurately weighed with an analytical balance and put into a rigid test tube at 0.5 g. Three quartzite samples were also accurately weighed at 0.5 g and put into a rigid test tube. Then, we added 10 mL of 0.74 mol(1/6K2Cr2O7) L-1 potassium dichromate-sulfuric acid solution (Fulin, Shenzhen, China) with a pipette and added a funnel at the mouth of the test tube to condense out the water vapor.
  • Pre-plant digital thermostatic oil bath temperature was set to 185 °C, and we inserted the test tube into the wire mesh and wire mesh into the above pot heating (this step was to avoid laboratory air pollution and needs to be carried out in the fume cupboard). From time to time, we rotated the wire cage to make the heating temperature uniform. It needed to be in the test tube after the solution boiled (test tube solution surface began to roll, or a larger bubble occurred); the oil bath was maintained at 180 °C, and it continued to boil for 5 min, and then, we removed the wire cage, putting it in a little cold test tube with a piece of paper and wiped clean the outside of the tube of the oil stains (digested liquid should be a brownish-yellow or greenish-yellow; if it is green, that is the amount of potassium dichromate–sulfuric acid solution is not enough to be reperformed).
  • We poured the contents of the tube into a 150 mL triangular flask and washed the inside of the test tube and the small funnel with distilled water so that the total volume of the bottle was 50–60 mL. We added 2–3 drops of o-phenanthroline indicator, then titrated with the standard solution of ferrous sulfate. The solution will turn brownish-yellow, grass green, deep green, and coffee red at the end. The solution was brownish-yellow–grass green–dark green–coffee red as the endpoint.
  • Each batch (i.e., the above needle wire cage) of samples were measured at the same time; three blank tests were conducted using pure quartz sand 0.5 g instead of soil samples, and other operating procedures were as above. (A pre-test determined the number of test samples before the chemical experiment.) Then, the organic carbon content in the soil was calculated according to the following equation.
    O C % = ( v 0 v ) × c × 0.003 × 1.1 w × 100

2.4. Dynamic Monitoring Test of Degradation Area Based on Image Processing

2.4.1. Data Collection and Environmental Monitoring

To compare the degradation cycles and rates of two seed rope materials (nonwoven fabric and Wood pulp paper) in winter and spring, this test used a device with dimensions of 49.5 cm (length) × 19 cm (width) × 16 cm (depth). The bottom and two sides of the device were designed as water-permeable structures to prevent large soil particles from precipitating, as shown in Figure 4. The test materials included two types of seed ropes: one was a nonwoven fabric seed rope with non-viable seeds, and the other was a Wood pulp paper seed rope with non-viable seeds. Eighteen samples of each material were prepared, with specifications of 10 cm (length) × 0.5 cm (width). The samples were labeled as W1, W2, W3 ... W18 (non-viable seeds–nonwoven fabric) and Z1, Z2, Z3 ... Z18 (Wood pulp paper seed rope), respectively. The two groups of samples were laid in two devices, ensuring a certain spacing between the seed ropes to avoid mutual contact. A distance of 2−3 cm was maintained between the seed ropes and the inner wall of the device to prevent contact. All devices were placed in the same outdoor environment for the test. The day after laying, image samples were collected daily using a shooting device equipped with a 12-megapixel wide-angle lens (aperture f/1.6). Meanwhile, the test environment was monitored using a soil moisture tester and an air illuminance, temperature, and humidity tester (Zhejiang Tuopu TPJ-22-G, Hangzhou, China). To ensure that the rice soil condition during the test was close to the field environment, the devices were placed in plastic water tanks, allowing water to slowly penetrate the soil through the bottom and sides of the devices to avoid direct scouring of the soil surface.

2.4.2. Calculation Model of Residual Seed Rope Surface Area

To quantify the change in the residual surface area of seed ropes after degradation in the test, an image processing model based on OpenCV-Python was developed in this paper [19,20,21,22] as follows in Figure 5:
Image Preprocessing: To adapt to the screen size, the daily collected seed rope images were reduced to one-third of their original size. To reduce the interference of device materials on subsequent image processing, the images were uniformly adjusted in position, a white threshold range was set, and a mask was created and applied. Finally, the images were subjected to grayscale processing and binarization processing [23,24,25,26].
Contour Detection and Area Calculation: After completing image preprocessing, the findContours() function in the OpenCV library was used to extract the contours of each seed rope. To accurately calculate the degradation residual surface area of the target area, a selection box was created by manual checking to define the scope of the area calculation. To reduce the interference of soil surface reflection points on the results, the arcLength() function was used to filter invalid areas with a contour perimeter of less than 20 pixels, and the contourArea() function was used to identify and extract the largest contour within the selection box. The cv2.putText() and cv2.rectangle() functions were used to mark the area value of the largest contour on the image for subsequent analysis and verification. The following is the model operation framework [27,28,29]:

2.5. Experiment on the Degradation of Mechanical Properties of Seed Ropes: Dynamic Monitoring of the Maximum Breaking Force

2.5.1. Data Collection and Environmental Monitoring

In order to investigate the degradation behavior differences of seed ropes with Wood pulp paper seed rope material in Hainan natural field environment and greenhouse environment under these two different conditions, two devices with dimensions of 49.5 cm(L) × 19 cm(W) × 16 cm(D) were used in this experiment, in which a certain amount of soil samples were laid down, and the bottom and both sides of the device were designed as permeable structures to prevent the precipitation of large soil particles. The test material was a seed rope of Wood pulp paper material with viable seeds, and 12 samples of the material were prepared with a size of 10 cm (length) × 0.5 cm (width). After laying 6 samples in each device, one device was placed outdoors in natural conditions, and one device was placed in a greenhouse. From the next day of laying, one seed rope was taken daily in each of the two devices for backup. Meanwhile, the test environment was monitored in real time using a soil moisture tachymeter, an air light tachymeter, and an air temperature and humidity tachymeter daily, and the relevant data were recorded [30,31,32,33].

2.5.2. Tensile Strength Measurement of Maximum Breaking Force

Before the formal testing of the experimental samples, the maximum breaking force was first tested on three groups of seed tapes after removing the braided rope. The specific steps were as follows: In the seed tape, samples were collected daily, and the braided cord was stripped from the Wood pulp paper seed rope to prevent mechanical damage. Subsequently, two groups of Wood pulp paper seed rope samples were subjected to tensile tests using a tensile testing machine (AIGU ZP-10, Shenzhen, China) as shown in Figure 6, and the maximum breaking force data were recorded.

2.6. Friction Test Between Seed Rope and Soil

In this study, two kinds of seed ropes made of Wood pulp paper and nonwoven fabric were selected as test objects, focusing on the friction characteristics between the surface of seed ropes and soil after weaving. Seed rope samples wrapped with seeds were used in the test, and a length of 10 cm was uniformly intercepted for the test. Soil samples were collected from different areas of Hainan Province, including Substrate and Oxisols in Lingao County and Ultisols in Puzian Town, Wenchang City. The tests were mainly measured using a horizontal digital tensile tester, and the auxiliary equipment included stainless steel trays, beakers, pure water, stirring bars, and handheld soil tachymeter recorders. The instruments used are shown in the figure. In order to improve the applicability of the seed rope machine to different crops, the test was designed to measure the friction between the seed rope and the soil under six different soil moisture content conditions using the seed rope material and the soil type as variable factors, and the specific test program is shown in Table 2.
In order to test modulation of six different moisture content levels of slurry and test its moisture content after the soil slurry evenly spread in the stainless steel tray, the tray was placed flat on the horizontal tensile tester shelf, seed rope clamped on one end of the horizontal digital tensile tester (Shenzhen, Guangdong, China, AIGU ZP-10) mobile end fixture and the other end of the natural pendant. The lower surface of the tray was in the contact of the slurry, and we shook the turntable at an even speed to make the tensile tester begin to move on the side of the rope, which began to follow the tensile tester, moving slowly. When the tension meter reached the maximum range, we stopped shaking the turntable and recorded this time on the digital display tensiometer force value. We tested schematic diagram in Figure 7 under the same conditions for each group of three test seed ropes using SPSS22 data analysis software to take the average value, that is, to determine the seed rope and the soil between the sliding friction.

2.7. Seed Rope and Soil Adhesion Test

In this study, two seed rope materials, Wood pulp paper and nonwoven fabric, and three soil types, Substrate, Oxisols, and Ultisols, were selected as test objects. To ensure the comparability of the test data, the soil samples were consistent with the materials used in the previous sliding friction test. The test equipment was selected as a universal testing machine (Shenzhen, Guangdong, China, AIGU, KY-D2103), which can realize the precise control of the vertical lifting motion mode of the seed rope. Auxiliary test materials included adhesive tape, stainless steel tray, beaker, pure water, stirring rod, and soil moisture content tester. The experimental design continued the previous program, still taking the seed rope material and soil type as variable factors and determining the adhesion force between seed rope and soil under six different soil moisture content conditions. The specific test parameters were set according to Table 2, and only the testing instrument and the seed rope movement direction were adjusted.
The test was conducted by firstly modulating mud with different water content levels, and after testing its water content, the soil mud was evenly spread in a stainless steel tray. Both ends of the seed ropes were fixed on the probe surface of the fixture with adhesive tape so that one side of the seed ropes was in contact with the mud. We moved the fixture at a constant speed to slowly detach the seed rope from the mud and recorded the maximum tension required to detach the seed rope from the mud. The schematic diagram of the test is shown in Figure 8. Three seed ropes were tested in each group under the same conditions, and the average value was taken using SPSS data analysis software, yielding the adhesion force between seed ropes and soil mud.

3. Results

3.1. Quantification Experiment of Seed Rope Degradation Based on Organic Carbon Content Analysis

Based on Python 3.13.7 for data preprocessing and analysis, according to the trend graph of Δorganic carbon in the inactive seed group, presenting a different trend of Δorganic carbon rising rate in the early stage and rising rate in the late stage, it was judged to use the biphasic degradation model for fitting, i.e., assuming that the degradation process is a process of rapid release of organic carbon at the initial stage and there is a slow release of equilibrium at the late stage, the segmented biphasic model was used:
C t = k r i s e · t + C 0 C p e a k · e k d e c a y ( t t p e a k )
k r i s e : the initial rise rate (reflecting the release rate of degradation products);
t p e a k : the time when the value ∆ peaked;
k d e c a y : the late decay rate (reflecting the decomposition rate of residues).
In order to demonstrate the changes of Δorganic carbon with time, line graphs were performed to distinguish the degradation differences between seed ropes of viable and non-viable seed groups, as shown in Figure 9.
As illustrated in Figure 9, seed viability exerted differential effects on the degradation of Wood pulp paper seed rope: the net organic carbon change in the non-viable seed group increased progressively over time, rising from 0.0001 g kg−1 on the initial measurement day to nearly 0.0005 g kg−1 by Day 14, whereas the viable seed group exhibited consistently negative net organic carbon values prior to Day 8, transiently shifted to positive values between Days 9 and 11, and subsequently reverted to negative values; given the time-dependent dynamics of the treatment effect associated with seed viability, a mixed-effects model was consequently employed to quantify the interaction between viability status and temporal progression when analyzing factors influencing net organic carbon content across both experimental groups, with the results presented in the accompanying Table 3:
Upon examining the specific factors that influence the outcome, with respect to the time effect, time exhibited a significant positive influence on Δorganic carbon (p = 0.040). However, the effect size was extremely small, indicating that the Δorganic carbon value only increased marginally with each additional day. As for the primary effect of the treatment type, the effect of viable seeds was not significant, meaning that the treatment type alone did not have a significant impact on Δorganic carbon values. Although the interaction term between seed viability and time did not reach statistical significance (p = 0.069), it is noteworthy that the viable seed group exhibited a transient net organic carbon increase during Days 9–11 (Figure 9), suggesting that biological activity from viable seeds may briefly enhance degradation.

3.2. Dynamic Monitoring Test of Seed Rope Surface Area Based on Image Processing

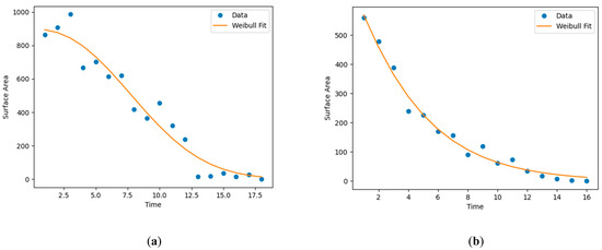
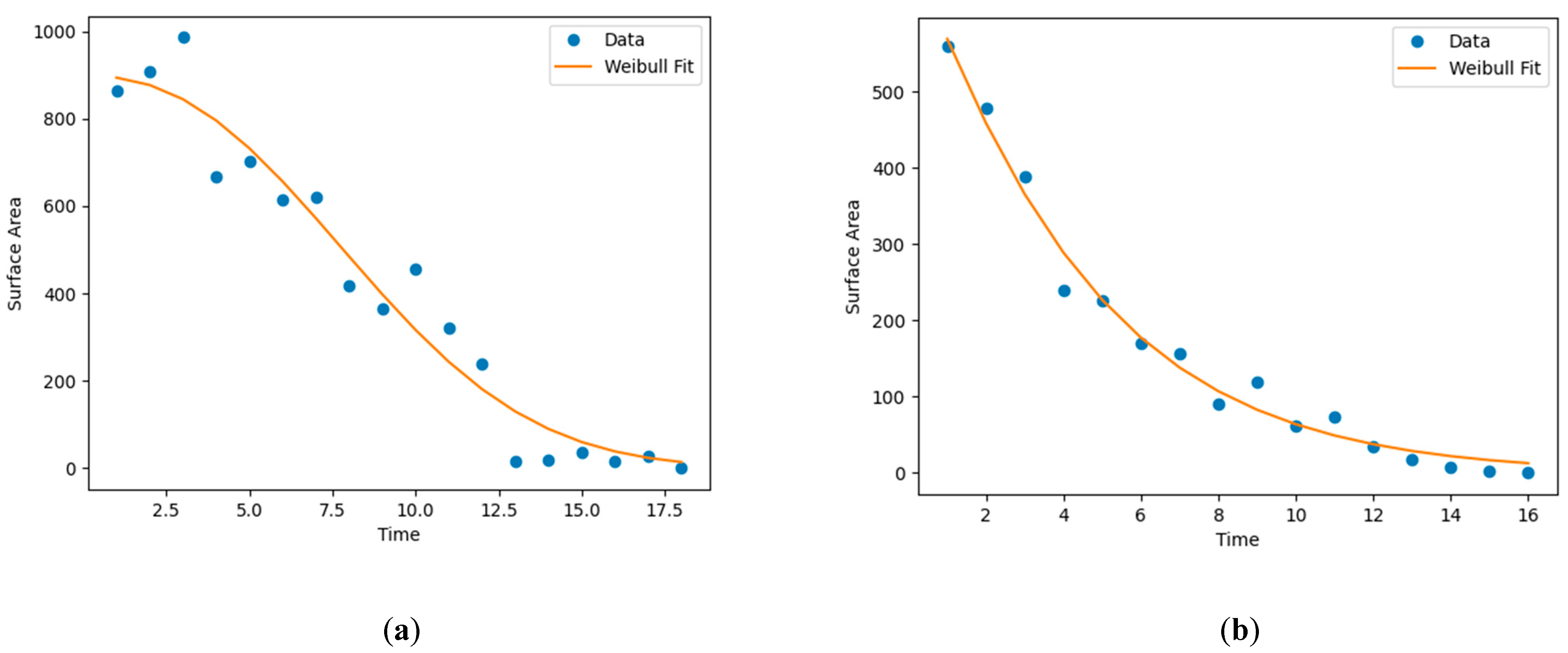
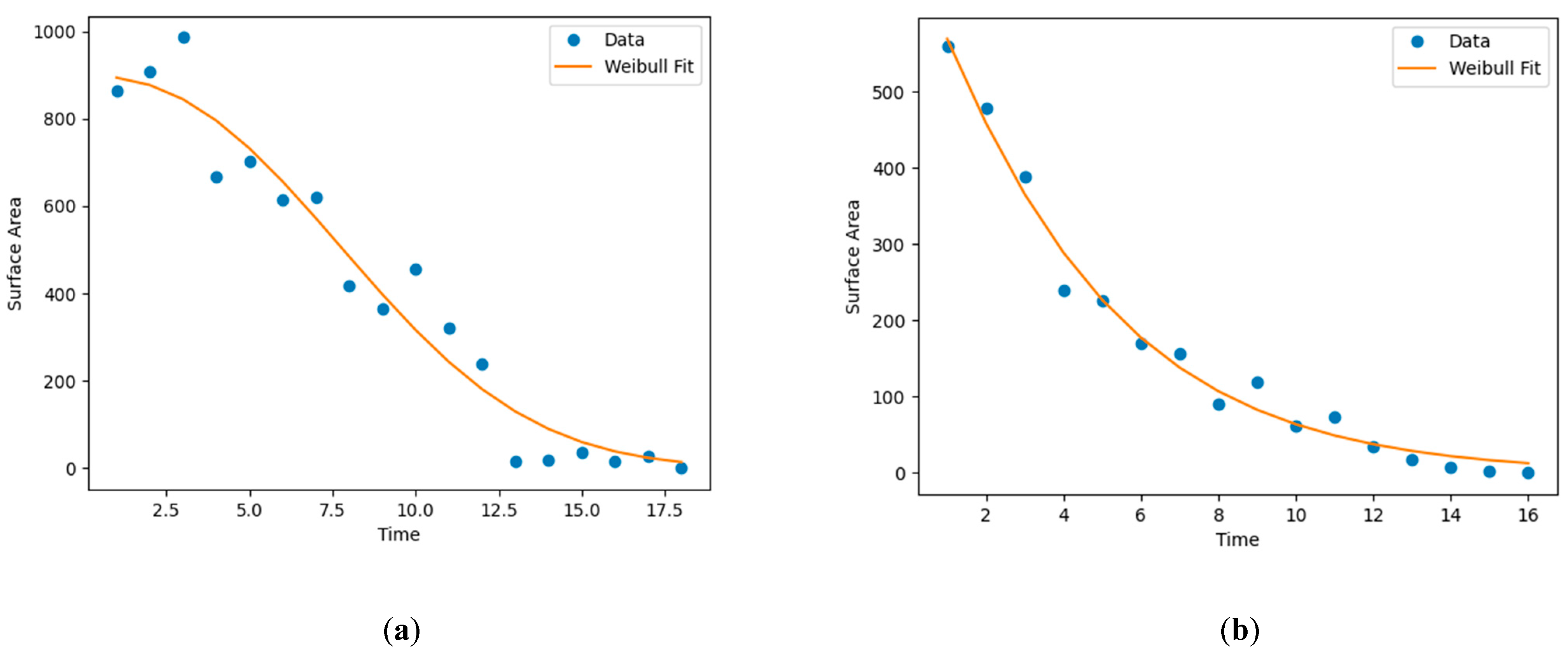
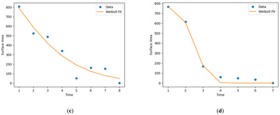
This study utilized Python for data preprocessing and analysis. Since no missing values were encountered during the experimental data collection process, we employed the interquartile range (IQR) method to preprocess the raw data, thereby excluding outlier data points from the dynamic monitoring experiment of the rope surface area based on image processing. Then, we used the mean and the Weibull decay model to fit the degradation process of the material during the winter and summer seasons, calculated the goodness-of-fit (R2), and plotted the corresponding fitting curves, as shown in Figure 10.
During the observation period, the surface area of both Wood pulp paper seed rope and nonwoven fabric seed rope decreased as exposure time increased. The degradation curves in summer showed a significantly faster initial decay rate, indicating that high temperatures accelerated the hydrolysis of cellulose and microbial decomposition processes in the materials. In contrast, under winter conditions, the materials retained a higher proportion of residual surface area, consistent with the expectation that low temperatures inhibit biological enzyme activity. Notably, nonwoven fabric seed rope exhibited nearly linear, gradual degradation in both seasons. In contrast, Wood pulp paper seed rope exhibited a steep inflection point during the second to fourth time units in summer, indicating a phase transition in their degradation mechanism. The degradation fitting formulas for Wood pulp paper seed rope and nonwoven fabric seed rope in winter and spring are as follows (4)–(7):
S t = 1124.90   exp t / 3.63 1.48   ( R 2 = 0.92 )
S t = 1008.93   exp t / 2.75 4.55   ( R 2 = 0.99 )
S t = 897.79   exp t / 9.82 2.35   ( R 2 = 0.95 )
S t = 1051.06   exp t / 4.36 1.07   ( R 2 = 0.99 )
Calculations using the formulas yielded a half-life of 2.84 days for Wood pulp paper seed rope under winter conditions and 2.35 days under summer conditions; the half-life of nonwoven fabric seed rope was 8.39 days in winter and 3.01 days in summer.

3.3. Experiments on the Degradation of Mechanical Properties of Seed Ropes: Dynamic Monitoring of Maximum Breaking Force

The data preprocessing and analysis were carried out through Python. Firstly, the distribution of maximum tensile breaking force was analyzed with respect to the time trend. As shown in Figure 11, analyzed by the box line graph, the seed rope degradation of the outdoor treatment group was slower than that of the indoor treatment group, the maximum breaking force of the outdoor treatment group showed a fluctuating downward trend, and the maximum breaking force of the indoor treatment group showed a step-by-step downward trend. It can be shown that the degree of seed rope degradation in the outdoor environment is low, the mechanical properties are well maintained, and the maximum tensile breaking force of seed ropes fluctuates less with time, with higher stability; the fluctuation occurs considering the influence of environmental factors. The indoor treatment group, on the other hand, consistently maintained the trend of decreasing maximum pull-off force over time during the observation period.
The degradation kinetics of seed ropes under indoor and outdoor environments were quantitatively analyzed by Python, and the results showed that the seed ropes of the outdoor treatment group exhibited superior mechanical property retention ability, with a fluctuating decrease in maximum breaking force, and still retained a certain initial strength at the end of the observation period (Day 6), with a low coefficient of variation, which indicated that the materials had stable degradation behaviors under complex environmental conditions. In contrast, the indoor treatment group showed a typical monotonic degradation pattern, with all samples completely losing their mechanical strength on Day 5, but with a more predictable degradation process. This difference is mainly considered as a synergistic effect of environmental factors, i.e., the more constant temperature and humidity conditions indoors may lead to homogeneous oxidative degradation, whereas the combined effect of UV radiation and moisture rise and fall outdoors may create a self-limiting degradation mechanism.
To further investigate the correlation between environmental factors and the maximum breaking force of seed ropes, a systematic correlation analysis was conducted in this study. The results are shown in Figure 12. The maximum breaking force of seed rope was negatively correlated with soil moisture content, air temperature, air humidity, dew point temperature, and light intensity. This finding suggests that the degradation rate of seed ropes is accelerated accordingly when the ambient humidity is higher, the temperature increases, or the light is enhanced, resulting in a decrease in their mechanical strength retention properties. It is worth noting that among all environmental factors, soil moisture content has the most significant effect on the seed rope degradation process and is the leading environmental factor promoting seed rope degradation.

3.4. Friction Test Between Seed Ropes and Soil

The study involved a descriptive trend analysis of the change in friction with soil water content for two types of seed ropes in contact with nutrient soil, Oxisols and Ultisols, as shown in Figure 13. It can be seen from the figure that in the early stage, the friction between the two kinds of seed ropes and the soil increases with the increase in soil water content, but after a certain degree, the mud becomes more, and the friction begins to decrease with the increase in soil water content. The water content level interval of the maximum contact friction between Wood pulp paper seed rope and nutrient soil is 30~35%, the water content level interval of the maximum contact friction between Wood pulp paper seed rope and Oxisols is 30~40%, and the water content level interval of the maximum contact friction between Wood pulp paper seed rope and Ultisols is 25~30%. The maximum water content level in contact with nutrient soil was 30% to 35%, in contact with Oxisols was 30% to 40%, and in contact with loess was 20% to 30%. The friction between seed ropes and different types of soils was also different, the friction between two types of seed ropes and Oxisols was higher, the friction between Wood pulp paper seed rope and Oxisols reached a maximum value of 1.22 N at 35% moisture content of the soil, and the friction between nonwoven fabric seed rope and Oxisols also reached a maximum value of 2.08 N at 35% moisture content, which was different from the maximum friction between the other two types of soils.
This study involved a descriptive trend analysis to compare the friction of seed ropes made of different materials across various soils, as shown in Figure 14. Under the same soil factors, the friction between the nonwoven fabric seed rope and the Substrate and Oxisols was always greater than that between the seed rope made of Wood pulp paper tape, regardless of changes in the water content level. However, in Ultisols, the friction between nonwoven fabric seed rope and the Substrate and Oxisols is greater than that between Wood pulp paper seed rope when soil moisture content is low; the friction between nonwoven fabric seed rope and Ultisols decreases rapidly when soil moisture content exceeds 25%, and the friction is lower than that between Wood pulp paper seed rope when moisture content reaches about 35~45%.

3.5. Adhesion Test Between Seed Ropes and Soil

Figure 15 presents a descriptive trend analysis of how the friction between two kinds of seed ropes and three kinds of soils varies with soil moisture content, from which it can be seen that the adhesion between two kinds of seed ropes and three kinds of soils exists, a situation that increases with soil moisture content and then decreases after a certain degree. The water content level interval of the maximum adhesion between the Wood pulp paper seed rope and the Substrate is 30~35%, the maximum adhesion between the Wood pulp paper seed rope and Oxisols is 35~40%, and the maximum contact friction between the Wood pulp paper seed rope and Ultisols is 20~25%; the maximum adhesion between the nonwoven fabric seed rope and the nutrient soil is 25~30%, and the maximum adhesion between the Wood pulp paper seed rope and Oxisols is 35~45%. The maximum adhesion between the Wood pulp paper seed rope and the Substrate is 25~30%, and the maximum adhesion between the Wood pulp paper seed rope and the Oxisols is 25~30%. The water content level interval of the greatest adhesion between the nonwoven fabric seed rope and the Substrate was 25~30%, that of the greatest adhesion with Oxisols was 35~45%, and that of the greatest contact friction with Ultisols was 20~25%. A comparison of adhesion between three kinds of soil and friction is similar, the adhesion between seed rope and Oxisols is the largest, the maximum adhesion between Wood pulp paper seed rope and Oxisols is 0.26 N, and the maximum adhesion between nonwoven fabric seed rope and Oxisols is 0.36 N. However, compared with the Substrate, Ultisols, and the adhesion between the seed rope in the soil moisture content of more than 30%, the change rule is not obvious.
Figure 16 presents a descriptive trend analysis comparing the soil adhesion force of seed ropes made from different materials in the same soil type: two materials of seed rope in different soil contact situation adhesion force changes are different, and two materials of seed rope adhesion force do not have a constant size comparison, so in the seed rope before seeding, we need to know in advance the soil condition of the sowing plots according to the actual soil condition to choose the seed rope material used for seeding. When the nutrient soil water content was in the 25~30% and 40~45% intervals, the adhesion of nonwoven fabric seed rope was greater than the Wood pulp paper seed rope; when the Oxisols water content was in the 35~45% interval, the adhesion of nonwoven fabric seed rope was greater than the Wood pulp paper seed rope. When the loess water content was in the 35~45% interval, the adhesion of nonwoven fabric seed rope was greater than the Wood pulp paper seed rope, and the other water content was greater than the Wood pulp paper seed rope adhesion. For other moisture contents, the adhesion of Wood pulp paper seed rope was greater than that of nonwoven fabric seed rope.

4. Discussion

  • Degradation Rate Disparity:
The degradation cycle of Wood pulp paper seed rope (6.65 days) was significantly shorter than that of nonwoven fabric seed rope in the Hainan paddy field environment.
2.
The rapid degradation mechanism of Wood pulp paper seed rope:
From a material chemistry perspective, Wood pulp paper seed rope contains sodium carboxymethyl cellulose (CMC). In the flooded paddy environment, the migration of water molecules facilitates the formation of hydrogen-bonded “water bridges” between hydroxyl (-OH) and carboxyl (-COOH) groups on the CMC molecular chains. The progressive accumulation of these “water bridge” structures enlarges the spacing between cellulose molecular chains [18]. This structural loosening renders the Wood pulp paper seed rope susceptible to damage.
From a microbiological perspective, under moist conditions, cellulose is hydrolyzed into glucose monomers by cellulases secreted by soil microorganisms. This process disrupts the fiber bonding within the Wood pulp paper seed rope and compromises its sheet structure, ultimately leading to its dispersion in the soil [34].
3.
The degradation pattern of nonwoven fabric seed rope:
Nonwoven fabric seed rope exhibited a distinct degradation pattern. The observed degradation law for nonwoven fabric seed rope in this study, particularly the notable change in weight loss rate after 20 days of degradation, aligns closely with the findings reported by Fan Limei et al. [35].
4.
The impact of seed activity on the degradation of Wood pulp paper seed rope:
The study revealed that the influence of active seeds on seed rope degradation followed a different pattern compared to the gradual degradation over time observed with inactive seeds.
The effect of active seeds is primarily attributed to substances produced during their development: In the initial germination stage, seeds produce various hydrolytic enzymes to break down stored reserves. These enzymes directly degrade the Wood pulp paper seed rope. Concurrently, they hydrolyze macromolecular organic matter in the surrounding soil [36,37].
Soil organic carbon content in the active seed group reached its lowest value on the sixth day. This is interpreted as reflecting the peak secretion period during early rice seed germination, typically occurring from the end of coleoptile emergence to the initial sprouting stage (approximately 5–10 h post-germination) [38].
5.
The influence of environmental factors on degradation:
Regarding greenhouse vs. natural field environment differences, environmental disparities resulted in significantly different degradation outcomes for seed ropes between the two settings. Seed ropes in the greenhouse environment degraded progressively over time. In contrast, those in the field environment exhibited less degradation and better retention of mechanical properties [39].
6.
Friction and adhesion characteristics between seed rope and soil:
When soil moisture content exceeded 25%, the friction between Oxisols from Lingao County, Hainan, and seed ropes made from both materials (paper and nonwoven fabric) was relatively high, making them highly suitable for seed rope direct seeding. Among the materials tested, nonwoven fabric demonstrated greater frictional forces across various soil types, rendering it a more suitable containment material for this application.
It should be noted that these findings are derived from a descriptive trend analysis, which provides preliminary insights but remains observational in nature [40]. As such, these trends should be interpreted as indicative rather than conclusive. To establish causal relationships and confirm the robustness of these observations, future studies should incorporate more rigorous experimental designs—including controlled experiments, repeated measures, and appropriate statistical tests such as analysis of variance (ANOVA) or regression modeling.
Future research directions should include exploring a wider range of soil types, finer soil moisture gradients, and additional physicochemical soil properties. Such efforts would help provide a theoretical basis for analyzing stress and strain distribution during quantitative and directional seeding, enhance operational accuracy, and offer more reliable material recommendations for different soil regions.

5. Conclusions

In this paper, we studied the degradation cycle and rate of two kinds of seed ropes based on nonwoven fabric and Wood pulp paper in the hot zone of Hainan as well as the adhesion and friction characteristics of seed ropes with different soils. The following conclusions were drawn:
In the natural environment of tropical rice fields, the degradation behavior of nonwoven fabric and Wood pulp paper as seed rope materials exhibits significant differences, with Wood pulp paper seed rope demonstrating superior degradation performance, featuring faster degradation rates and shorter degradation cycles. Specifically, Wood pulp paper seed rope had a half-life of 5.68 days in winter conditions and shortened to 4.70 days in summer conditions. The nonwoven fabric seed rope half-life was 16.78 days in winter conditions and reduced to 6.02 days in summer conditions.
Regarding seed vigor, the analysis of variance indicated that the main effect of seed viability on the degradation rate of seed tapes was not significant. However, the degradation process in the viable seed group exhibited non-uniform fluctuations, with its degradation curve presenting a specific acceleration peak during the mid-germination phase. This acceleration phase coincided with the secretion peak period of seed exudates.

Author Contributions

Conceptualization, B.W.; methodology, J.D.; software, J.D.; validation, X.L.; formal analysis, X.L.; investigation, X.L.; resources, B.W.; data curation, J.D.; writing—original draft preparation, J.D.; writing—review and editing, J.D.; visualization, J.D.; project administration, B.W.; funding acquisition, B.W. All authors have read and agreed to the published version of the manuscript.

Funding

This study was supported by Nanhai nova project in Hainan province. grant number: NHXXRCXM202308; 2024 Sanya Science and Technology “Starry Sky” Project. grant number: 2024KJFX020; National Undergraduate Innovation Training Program, grant number: 202510589008.

Institutional Review Board Statement

Not applicable.

Informed Consent Statement

Not applicable.

Data Availability Statement

The original contributions presented in the study are included in the article; further inquiries can be directed to the corresponding author.

Acknowledgments

We would like to thank the Innovation and Utilization team of tropical meloncrop genetic germplasm, Hainan University.

Conflicts of Interest

The authors declare no conflicts of interest.

Nomenclature

OCOrganic carbon
USDAUnited States Department of Agriculture
WRBWorld Reference Base for Soil Resources
U0Illumination uniformity
EminMinimum illumination value
EavAverage illuminance value

References

  1. Lü, X.; Lü, X.; Ren, W. Experimental study on working performance of rice rope direct seeding machine. Agric. Sci. China 2010, 9, 275–279. [Google Scholar] [CrossRef]
  2. Han, S.; Ren, W.T.; Liu, C.H. Design and Experimental Study of a Hand-Held Rice Seed Rope Livestreaming Machine. Agric. Mech. Res. 2019, 41, 144–148+164. [Google Scholar] [CrossRef]
  3. Han, S.; Ren, W.T.; Li, G. Improvement Design and Finite Element Analysis of Main Working Components of Rice Seed Rope Livestreaming Machine. Agric. Mech. Res. 2016, 38, 62–65+75. [Google Scholar] [CrossRef]
  4. Luo, X.; Wang, Z.; Zeng, S.; Zang, Y.; Yang, W.; Zhang, M. Recent advances in mechanized direct seeding technology for rice. J. South China Agric. Univ. 2019, 40, 1–13. [Google Scholar] [CrossRef]
  5. Zhang, B.; Liu, D.; Xi, X.; Zhang, Y.; Chen, C.; Qu, J.; Dong, H.; Zhang, R. The Analysis of the Applications of Crop Seed Tape Sowing Technology and Equipment: A Review. Appl. Sci. 2021, 11, 11228. [Google Scholar] [CrossRef]
  6. Liu, S.G.; Yang, R.B.; Wang, J.S.; Yin, B.Q.; Zhang, M.; Ma, Y.F.; Pan, S.M. Design and Experiment of a Carrot Seeder with One Row and Two Rows Based on the Planting Rope Mode. Agric. Mech. Res. 2023, 45, 88–93. [Google Scholar] [CrossRef]
  7. Ren, W.T.; Dai, L.L.; Cui, H.G. Towards Power: The Effect of Modified Corn Starch Adhesive on the Quality of Seed Rope Twisting. J. Agric. Eng. 2010, 26, 164–169. [Google Scholar]
  8. Ren, W.T.; Che, Z.; Liu, J.B. Experimental Study on the Effect of Paddy Field Mud on the Adhesion of Agricultural Paper Film. J. Agric. Eng. 2011, 27, 129–133. [Google Scholar] [CrossRef]
  9. Bai, H.; Li, S.; Wang, D.; Wang, G.; Fang, X.; Feng, J.; Bai, X.; Li, T. Design of Seeding System for Rice Seed Rope Twisting Machine. In Proceedings of the 2017 ASABE Annual International Meeting, Spokane, WA, USA, 16–19 July 2017. American Society of Agricultural and Biological Engineers. [Google Scholar] [CrossRef]
  10. Zhou, J.; Ji, C. Development of machine for producing precision seeding rope with paper for rice direct sowing. Trans. Chin. Soc. Agric. Eng. 2009, 25, 79–83. [Google Scholar] [CrossRef]
  11. Accinelli, C.; Abbas, H.K.; Shier, W.T.; Vicari, A. Degradation of Microplastic Seed Film-Coating Fragments in Soil. Chemosphere 2019, 226, 182–188. [Google Scholar] [CrossRef]
  12. Limaa, E.M.B.; Oliveira, R.N.; de Aç, A.M.; de Castro, I.M.; Mattos, M.D.C.; Neves, T.T.M.; da Costa, L.F.; Neuman, R.; Tavares, M.I.B. Degradation of PLA Biocomposites Containing Mango Seed and Organo Montmorillonite Minerals. J. Nat. Fibers 2020, 19, 1783–1791. [Google Scholar] [CrossRef]
  13. Anunciado, M.B.; Wadsworth, L.C.; Ghimire, S.; Miles, C.; Moore, J.C.; Wszelaki, A.L.; Hayes, D.G. Deterioration of Soil-Biodegradable Mulch Films during Storage and Its Impact on Specialty Crop Production. HortTechnology 2021, 31, 798–809. [Google Scholar] [CrossRef]
  14. Wilpiszewska, K.; Czech, Z. Water-Soluble Pressure-Sensitive Adhesives Containing Carboxymethyl Starch with Improved Adhesion to Paper. J. Polym. Environ. 2018, 26, 1453–1458. [Google Scholar] [CrossRef]
  15. Li, T. A Preliminary Study on Soil Classification System of Hainan Province. Trop. Geogr. 1990, 10, 358–366. Available online: https://webvpn.hainanu.edu.cn/http/32393332413339303239333421416369aec1081b4def680852254e2a8e16d1/Qikan/Article/Detail?id=338472&from=Qikan_Search_Index (accessed on 13 August 2025).
  16. NY/T 2118-2012; Ministry of Agriculture of the People’s Republic of China. Vegetable Seedling Substrate. China Agriculture Press: Beijing, China, 2012.
  17. Guo, S.R. Research progress, current exploitations and developing trends of solid cultivation medium. Trans. CSAE 2005, 21, 1–4. Available online: https://webvpn.hainanu.edu.cn/http/32393332413339303239333421416369aec1081b4def680852254e2a8e16d1/Qikan/Article/Detail?id=1000262640&from=Qikan_Search_Index (accessed on 13 August 2025). (In Chinese with English abstract).
  18. Hou, Y.; Yu, P.; Zhang, H. Study on the Dissolution Mechanism of Water-Soluble Paper. J. Tianjin Univ. Sci. Technol. 2019, 34, 34–37+80. [Google Scholar] [CrossRef]
  19. Shaw, V.P.; Mukhopadhyay, A. Behaviour of Stretch Denim Fabric under Tensile Load. Fibers Polym. 2022, 23, 295–302. [Google Scholar] [CrossRef]
  20. Fedorko, G.; Molnár, V.; Michalik, P.; Dovica, M.; Kelemenová, T.; Tóth, T. Failure Analysis of Conveyor Belt Samples under Tensile Load. J. Ind. Text. 2019, 48, 1364–1383. [Google Scholar] [CrossRef]
  21. Mcswain, A.C.; Berube, K.A.; Cusatis, G.; Landis, E.N. Confinement Effects on Fiber Pullout Forces for Ultra-High-Performance Concrete. Cem. Concr. Compos. 2018, 91, 53–58. [Google Scholar] [CrossRef]
  22. Muna, I.I.; El-Hajj, R.; Abou Jaoude, E.; Hamzeh, E. Thermal Effects on Mechanical Strength of Additive Manufactured CFRP Composites at Stable and Cyclic Temperature. Polymers 2022, 14, 4680. [Google Scholar] [CrossRef] [PubMed]
  23. Halabi, Y.; Al-Ameri, A.; Al-Shammaa, A.I.; Zhang, Y. Experimental-Based Statistical Models for the Tensile Characterization of Synthetic Fiber Ropes: A Machine Learning Approach. Sci. Rep. 2023, 13, 17768. [Google Scholar] [CrossRef] [PubMed]
  24. Akgun, M.; Becerir, B.; Alpay, H.R. Assessing the Relationship among Fabric Constructional Parameters, Fractional Reflectances and Cover Factors of Polyester Fabrics by Experimental and Mathematical Methods. Fibers Polym. 2010, 11, 291–302. [Google Scholar] [CrossRef]
  25. Malage, A.; Rege, P.P.; Rathod, M.J. Automatic quantitative analysis of microstructure of ductile cast iron using digital image processing. Metall. Mater. Eng. 2015, 21, 155–166. [Google Scholar] [CrossRef]
  26. Archana, R.; Jeevaraj, P.S.E. Deep Learning Models for Digital Image Processing: A Review. Artif. Intell. Rev. 2024, 57, 11. [Google Scholar] [CrossRef]
  27. Xi, J.Y.; Wang, X.Z.; Li, M. Feature Extraction Method of Wood Ray in Coniferous Wood Based on Computer Vision. Forests 2023, 14, 1187. [Google Scholar] [CrossRef]
  28. Wang, X.F.; Zhang, Y.; Liu, S.H. Animal Fiber Identification Based on Multi-Feature Fusion Image Analysis Technology. Molecules 2022, 27, 6423. [Google Scholar] [CrossRef]
  29. Fu, B.S.; Chen, L.; Zhao, Y. Application of AI Image Recognition Technology in Textile Defect Detection. Appl. Sci. 2024, 14, 1152. [Google Scholar] [CrossRef]
  30. GB/T 16825.1-2008; Inspection of Static Uniaxial Testing Machines—Part 1: Inspection and Calibration of Force Measuring Systems for Tensile and/or Compressive Testing Machines. General Administration of Quality Supervision, Inspection and Quarantine of the People’s Republic of China: Beijing, China, 2008.
  31. GB/T 3923.1-2013; Textiles—Tensile Properties of Fabrics—Part 1: Determination of Tensile Strength and Elongation at Break—Strip Method. General Administration of Quality Supervision, Inspection and Quarantine of the People’s Republic of China: Beijing, China, 2013.
  32. GB/T 12914-2018; Measurement of Tensile Strength of Paper and Paperboard. State Administration for Market Regulation: Beijing, China, 2018.
  33. Peng, H.; Jiang, H.; Li, D.; Yang, Z.; Duan, W.; Jia, D.; Zhou, Y. Oxide Scale Microstructure and Scale Growth Kinetics of the Hot-Pressed SiBCN-Ti Ceramics Oxidized at 1500 °C. Materials 2024, 17, 3118. [Google Scholar] [CrossRef]
  34. Kumsah, C.A.; Pass, G.; Phillips, G.O. The interaction between sodium carboxymethylcellulose and water. J. Solution Chem. 1976, 5, 799–806. [Google Scholar] [CrossRef]
  35. Fan, L.M.; Du, J.; He, L.Q. Application Research of Polylactic Acid/Flax Nonwoven Biodegradable Composites. Plast. Sci. Technol. 2024, 52, 95–98. [Google Scholar] [CrossRef]
  36. Wang, W.; Chen, Q.; Hussain, S.; Mei, J.; Dong, H.; Peng, S.; Huang, J.; Cui, K.; Nie, L. Pre-sowing Seed Treatments in Direct-seeded Early Rice: Consequences for Emergence, Seedling Growth and Associated Metabolic Events under Chilling Stress. Sci. Rep. 2016, 6, 19637. [Google Scholar] [CrossRef] [PubMed]
  37. He, Y.; Cheng, J.; He, Y.; Yang, B.; Cheng, Y.; Yang, C.; Zhang, H.; Wang, Z. Influence of isopropylmalate synthase OsIPMS1 on seed vigour associated with amino acid and energy metabolism in rice. Plant Biotechnol. J. 2019, 17, 322–337. [Google Scholar] [CrossRef] [PubMed]
  38. Yue, J.; Li, M. Overview of the Mobilization and Changes of Seed Storage Substances during Germination. Seeds 2021, 40, 56–62. [Google Scholar] [CrossRef]
  39. Marasović, P.; Kopitar, D.; Brunšek, R.; Schwarz, I. Performance and Degradation of Nonwoven Mulches Made of Natural Fibres and PLA Polymer—Open Field Study. Polymers 2023, 15, 4447. [Google Scholar] [CrossRef]
  40. Contreras, B.P.; Tate, S.A.; Morris, S.L.; Kahng, S. A systematic review of the correspondence between descriptive assessment and functional analysis. J. Appl. Behav. Anal. 2023, 56, 146–165. [Google Scholar] [CrossRef]
Figure 1. Wood pulp paper as seed rope material (left) and nonwoven fabric as seed rope material (right).
Figure 1. Wood pulp paper as seed rope material (left) and nonwoven fabric as seed rope material (right).
Agronomy 15 02065 g001
Figure 2. Sampling points in natural rice fields.
Figure 2. Sampling points in natural rice fields.
Agronomy 15 02065 g002
Figure 3. Plot setup point setting.
Figure 3. Plot setup point setting.
Agronomy 15 02065 g003
Figure 4. A schematic diagram of the nonwoven fabric seed rope/Wood pulp paper seed rope degradation test device structure. (a) The front view of the device; (b) the top view of the device.
Figure 4. A schematic diagram of the nonwoven fabric seed rope/Wood pulp paper seed rope degradation test device structure. (a) The front view of the device; (b) the top view of the device.
Agronomy 15 02065 g004
Figure 5. Model operation framework. (a) Original image; (b) HSV image; (c) applied mask; (d) binarization processing; (e) image box selection; (f) area calculation.
Figure 5. Model operation framework. (a) Original image; (b) HSV image; (c) applied mask; (d) binarization processing; (e) image box selection; (f) area calculation.
Agronomy 15 02065 g005
Figure 6. The dynamic test of the maximum breaking force of Wood pulp paper seed rope.
Figure 6. The dynamic test of the maximum breaking force of Wood pulp paper seed rope.
Agronomy 15 02065 g006
Figure 7. A schematic diagram of the friction test between the seed rope and the soil.
Figure 7. A schematic diagram of the friction test between the seed rope and the soil.
Agronomy 15 02065 g007
Figure 8. Test diagram of adhesion between seed rope and soil.
Figure 8. Test diagram of adhesion between seed rope and soil.
Agronomy 15 02065 g008
Figure 9. Trend of net organic carbon content of seed ropes made of Wood pulp paper seed rope with and without viable seeds over time.
Figure 9. Trend of net organic carbon content of seed ropes made of Wood pulp paper seed rope with and without viable seeds over time.
Agronomy 15 02065 g009
Figure 10. Degradation curves for ropes made of different materials. (a) Winter degradation curve of nonwoven fabric seed rope. (b) Summer degradation curve of nonwoven fabric seed rope. (c) Winter degradation curve of Wood pulp paper seed rope. (d) Summer degradation curve of Wood pulp paper seed rope.
Figure 10. Degradation curves for ropes made of different materials. (a) Winter degradation curve of nonwoven fabric seed rope. (b) Summer degradation curve of nonwoven fabric seed rope. (c) Winter degradation curve of Wood pulp paper seed rope. (d) Summer degradation curve of Wood pulp paper seed rope.
Agronomy 15 02065 g010aAgronomy 15 02065 g010b
Figure 11. Trend of maximum pull-off force of seed ropes with time.
Figure 11. Trend of maximum pull-off force of seed ropes with time.
Agronomy 15 02065 g011
Figure 12. The variation trend of the maximum breaking force of the seed rope with time.
Figure 12. The variation trend of the maximum breaking force of the seed rope with time.
Agronomy 15 02065 g012
Figure 13. Friction with seed rope under different soil materials and moisture content. (a) Friction force between Wood pulp paper seed rope and different soil. (b) Friction force between nonwoven fabric seed rope and different soil.
Figure 13. Friction with seed rope under different soil materials and moisture content. (a) Friction force between Wood pulp paper seed rope and different soil. (b) Friction force between nonwoven fabric seed rope and different soil.
Agronomy 15 02065 g013
Figure 14. (a) Friction between rope and the Substrate. (b) Friction between rope and Oxisols. (c) Friction between rope and Ultisols.
Figure 14. (a) Friction between rope and the Substrate. (b) Friction between rope and Oxisols. (c) Friction between rope and Ultisols.
Agronomy 15 02065 g014
Figure 15. (a) Adhesion between Wood pulp paper seed rope and different soil. (b) Adhesion between nonwoven fabric seed rope and different soil.
Figure 15. (a) Adhesion between Wood pulp paper seed rope and different soil. (b) Adhesion between nonwoven fabric seed rope and different soil.
Agronomy 15 02065 g015
Figure 16. (a) Adhesion between seed rope and Substrate. (b) Adhesion between seed rope and Oxisols. (c) Adhesion between seed rope and Ultisols.
Figure 16. (a) Adhesion between seed rope and Substrate. (b) Adhesion between seed rope and Oxisols. (c) Adhesion between seed rope and Ultisols.
Agronomy 15 02065 g016
Table 1. Physical properties of yellow soil and lateritic red soil.
Table 1. Physical properties of yellow soil and lateritic red soil.
TypeGravel (>2 mm, Volume Fraction)/%Fine Soil Particle Composition (Particle Size: mm) (g/kg)TextureVolume/(g/cm3)
Sand
2~0.05
Silt
0.05~0.002
Clay
<0.002
Ultisols0480385135Loam1.12
Oxisols0448416136Loam1.21
pHOrganic acid/(g/kg)N
/(g/kg)
P
/(g/kg)
K
/(g/kg)
Cation exchange capacity/[cmol(+)/kg]Free iron oxide/(g/kg)
H2OKCl
3.93.415.30.980.101.158.04.4
4.914.21.260.261.238.619.20~15
Table 2. Schedule of test for friction between seed rope and soil.
Table 2. Schedule of test for friction between seed rope and soil.
Soil Moisture Content LevelFactor
Seed Rope MaterialSoil Type
20%Wood pulp paperSubstrate
20%Wood pulp paperOxisols
20%Wood pulp paperUltisols
20%Nonwoven FabricSubstrate
20%Nonwoven FabricOxisols
20%Nonwoven FabricUltisols
30%Wood pulp paperSubstrate
30%Wood pulp paperOxisols
30%Wood pulp paperUltisols
30%Nonwoven FabricSubstrate
30%Nonwoven FabricOxisols
30%Nonwoven FabricUltisols
35%Wood pulp paperSubstrate
35%Wood pulp paperOxisols
35%Wood pulp paperUltisols
35%Nonwoven FabricSubstrate
35%Nonwoven FabricOxisols
35%Nonwoven FabricUltisols
40%Wood pulp paperSubstrate
40%Wood pulp paperOxisols
40%Wood pulp paperUltisols
40%Nonwoven FabricSubstrate
40%Nonwoven FabricOxisols
40%Nonwoven FabricUltisols
45%Wood pulp paperSubstrate
45%Wood pulp paperOxisols
45%Wood pulp paperUltisols
45%Nonwoven FabricSubstrate
45%Nonwoven FabricOxisols
45%Nonwoven FabricUltisols
Table 3. Mixed-effects model results.
Table 3. Mixed-effects model results.
VariablesCoefficient p-ValueSignificance
Time0.0000.040Significant
Seed activity−0.0010.268Not significant
Seed activity and time−0.0000.069Not significant
Note: p-value < 0.01 is highly significant; 0.01 < p-value < 0.05 is significant; p-value > 0.05 is not significant.
Disclaimer/Publisher’s Note: The statements, opinions and data contained in all publications are solely those of the individual author(s) and contributor(s) and not of MDPI and/or the editor(s). MDPI and/or the editor(s) disclaim responsibility for any injury to people or property resulting from any ideas, methods, instructions or products referred to in the content.

Share and Cite

MDPI and ACS Style

Duan, J.; Liu, X.; Wang, B. Dynamic Degradation of Seed Ropes: Influence of Material Type and Adhesion to Different Soils. Agronomy 2025, 15, 2065. https://doi.org/10.3390/agronomy15092065

AMA Style

Duan J, Liu X, Wang B. Dynamic Degradation of Seed Ropes: Influence of Material Type and Adhesion to Different Soils. Agronomy. 2025; 15(9):2065. https://doi.org/10.3390/agronomy15092065

Chicago/Turabian Style

Duan, Jiaoyang, Xiang Liu, and Baolong Wang. 2025. "Dynamic Degradation of Seed Ropes: Influence of Material Type and Adhesion to Different Soils" Agronomy 15, no. 9: 2065. https://doi.org/10.3390/agronomy15092065

APA Style

Duan, J., Liu, X., & Wang, B. (2025). Dynamic Degradation of Seed Ropes: Influence of Material Type and Adhesion to Different Soils. Agronomy, 15(9), 2065. https://doi.org/10.3390/agronomy15092065

Note that from the first issue of 2016, this journal uses article numbers instead of page numbers. See further details here.

Article Metrics

Back to TopTop