The Effect of Selenium on Rice Quality Under Different Nitrogen Levels
Abstract
1. Introduction
2. Materials and Methods
2.1. Test Materials
2.2. Study Sites
2.3. Experimental Design
2.4. Measurement Items and Methods
2.4.1. Measurement of Rice Processing Quality
2.4.2. Measurement of Rice Appearance Quality
2.4.3. Cooking and Eating Quality of Rice
2.4.4. Nutritional Quality of Rice
Selenium Content in Rice
Determination of Rice Protein Components
Determination of Amino Acid Content in Rice
2.5. Data Processing
3. Results
3.1. Effect of Se on Rice Processing and Appearance Quality Under Different Nitrogen Levels
3.2. Effects of Se on Rice Nutritional Quality Under Different Nitrogen Levels
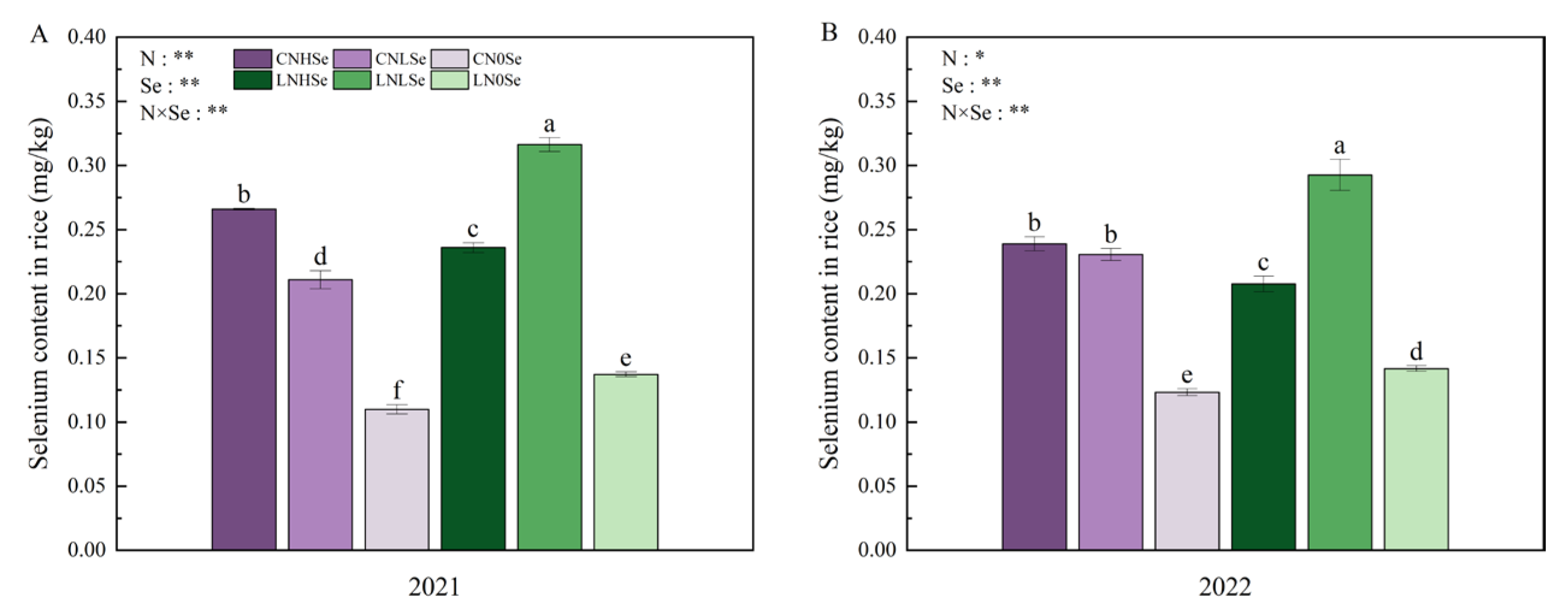
3.2.1. Effects of Se on Rice Se Content Under Different Nitrogen Levels
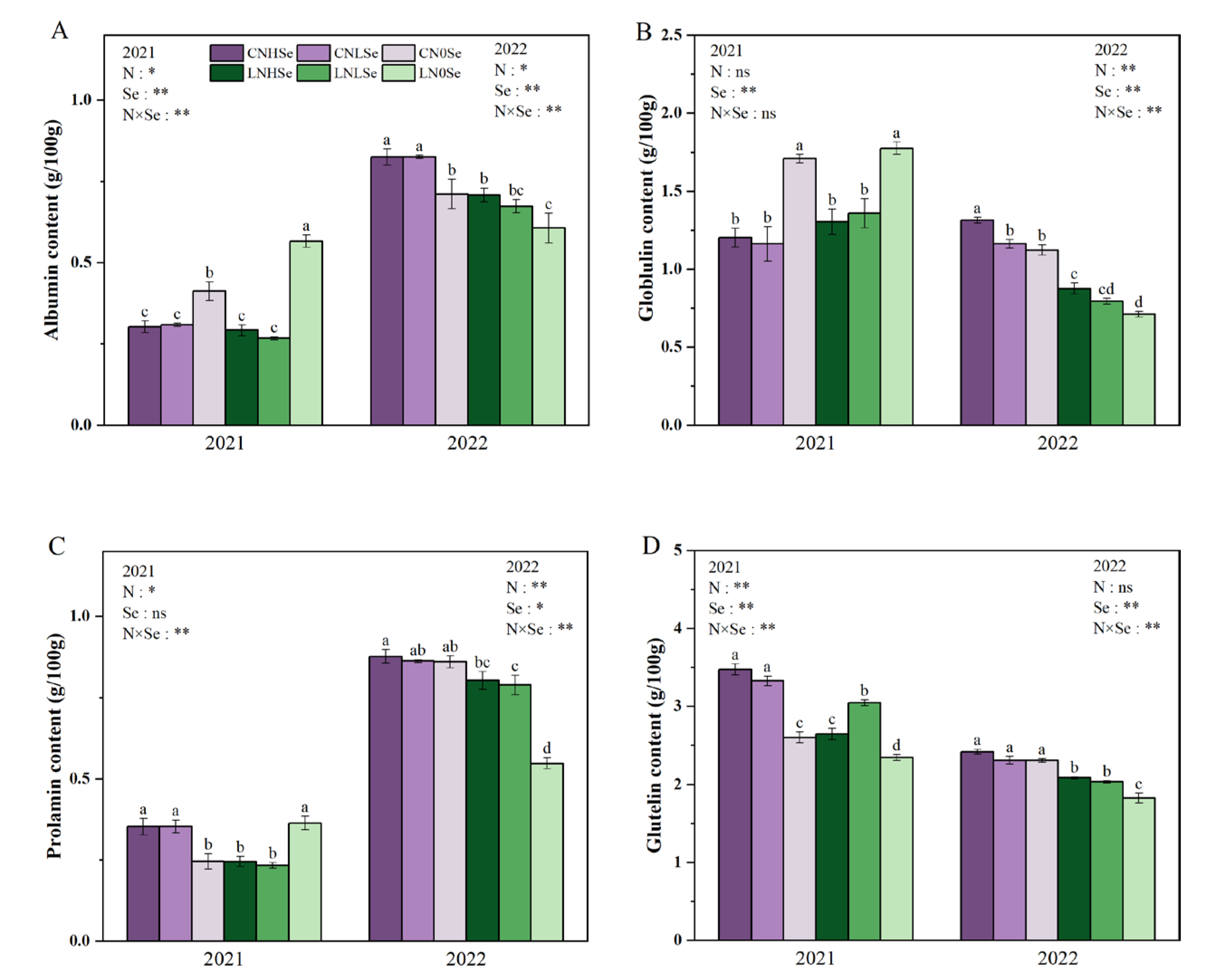
3.2.2. Effects of Se on Rice Protein Components Under Different Nitrogen Levels
3.2.3. Effects of Se on Rice Amino Acid Content Under Different Nitrogen Levels
3.3. Effect of Se on the Cooking and Eating Quality of Rice Under Different Nitrogen Levels
3.4. Correlation and Principal Component Analysis of Se on Rice Quality Under Different Nitrogen Levels
4. Discussion
4.1. Effects of Se on Rice Processing and Appearance Quality Under Different Nitrogen Levels
4.2. Effects of Se on the Nutritional Quality of Rice Under Different Nitrogen Levels
5. Conclusions
Supplementary Materials
Author Contributions
Funding
Data Availability Statement
Conflicts of Interest
References
- Rabello, F.R.; Villeth, G.R.C.; Rabello, A.R.; Rangel, P.H.N.; Guimarães, C.M.; Huergo, L.F.; Souza, E.M.; Pedrosa, F.O.; Ferreira, M.E.; Mehta, A. Proteomic Analysis of Upland Rice (Oryza sativa L.) Exposed to Intermittent Water Deficit. Protein J. 2014, 33, 221–230. [Google Scholar] [CrossRef] [PubMed]
- Hu, Q.; Xia, M.; Zhang, H.-C.; Cao, L.-Q.; Guo, B.-W.; Wei, H.-Y.; Chen, H.-C.; Han, B.-F. Effect of Nitrogen Application Regime on Yield and Quality of Mechanical Pot-Seedlings Transplanting Rice with Good Taste Quality. Acta Agron. Sin. 2017, 43, 420. [Google Scholar] [CrossRef]
- Taylor, J.B.; Marchello, M.J.; Finley, J.W.; Neville, T.L.; Combs, G.F.; Caton, J.S. Nutritive Value and Display-Life Attributes of Selenium-Enriched Beef-Muscle Foods. J. Food Compos. Anal. 2008, 21, 183–186. [Google Scholar] [CrossRef]
- Hao, L.; Han, Y.; Zhang, S.; Luo, Y.; Luo, K.; Zhang, L.; Chen, W. Estimated Daily Intake and Health Risk Assessment of Total and Organic Selenium in Crops across Areas with Different Selenium Levels. J. Trace Elem. Med. Biol. 2024, 86, 127525. [Google Scholar] [CrossRef]
- Hao, L.; Han, Y.; Zhang, S.; Luo, Y.; Luo, K. Bioavailability of Selenium and the Influence of Trace Elements in Crops Grown in Selenium-Rich Areas. Food Chem. 2025, 476, 143463. [Google Scholar] [CrossRef]
- Lu, T.; Ai, Y.; Na, M.; Xu, S.; Li, X.; Zheng, X.; Zhou, J. Physiological and Biochemical Analysis of Selenium-Enriched Rice. Agronomy 2024, 14, 1715. [Google Scholar] [CrossRef]
- Barman, F.; Kundu, R. Foliar Application of Selenium Affecting Pollen Viability, Grain Chalkiness degree, and Transporter Genes in Cadmium Accumulating Rice Cultivar: A Pot Study. Chemosphere 2023, 313, 137538. [Google Scholar] [CrossRef]
- Badawy, S.A.; Zayed, B.A.; Bassiouni, S.M.A.; Mahdi, A.H.A.; Majrashi, A.; Ali, E.F.; Seleiman, M.F. Influence of Nano Silicon and Nano Selenium on Root Characters, Growth, Ion Selectivity, Yield, and Yield Components of Rice (Oryza sativa L.) under Salinity Conditions. Plants 2021, 10, 1657. [Google Scholar] [CrossRef]
- Reis, H.P.G.; De Queiroz Barcelos, J.P.; Silva, V.M.; Santos, E.F.; Tavanti, R.F.R.; Putti, F.F.; Young, S.D.; Broadley, M.R.; White, P.J.; Dos Reis, A.R. Agronomic Biofortification with Selenium Impacts Storage Proteins in Grains of Upland Rice. J. Sci. Food Agric. 2020, 100, 1990–1997. [Google Scholar] [CrossRef]
- Dun, C.; Zhang, Y.; Mi, K.; Wang, R.; Chen, Y.; Zhang, H.; Cui, P.; Zhang, H.; Lu, H. Impact of Controlled-Release Nitrogen Fertilizer on Rice Selenium Content, Yield and Quality. J. Food Compos. Anal. 2025, 141, 107379. [Google Scholar] [CrossRef]
- Liu, J.; Mo, A.; Ni, J.; Fan, X.; Jiang, Y. Selenium Reduces Rice Plant Tissues Cadmium and Increases the Yield, Quality, and Edible Safety of Rice Grain, and May Affect the Taste of Cooked Rice. J. Soil. Sci. Plant Nutr. 2023, 23, 3461–3469. [Google Scholar] [CrossRef]
- Huang, S.; Qin, H.; Jiang, D.; Lu, J.; Zhu, Z.; Huang, X. Bio-Nano Selenium Fertilizer Improves the Yield, Quality, and Organic Selenium Content in Rice. J. Food Compos. Anal. 2024, 132, 106348. [Google Scholar] [CrossRef]
- Luo, H.; He, L.; Du, B.; Pan, S.; Mo, Z.; Duan, M.; Tian, H.; Tang, X. Biofortification with Chelating Selenium in Fragrant Rice: Effects on Photosynthetic Rates, Aroma, Grain Quality and Yield Formation. Field Crops Res. 2020, 255, 107909. [Google Scholar] [CrossRef]
- Gao, S.; Tang, X.; Zhang, J.; Zhou, Q.; Peng, T.; Liu, A.; Xue, Y.; Xu, F.; Li, P. Zinc-Selenium Interaction Regulates Leaf Photosynthesis and Mediates Grain Sugar Metabolism to Improve the Yield and Quality of Hybrid Rice: A Physiological Perspective. Plant Physiol. Biochem. 2025, 221, 109611. [Google Scholar] [CrossRef]
- Yuan, Z.; Long, W.; Liang, T.; Zhu, M.; Zhu, A.; Luo, X.; Fu, L.; Hu, Z.; Zhu, R.; Wu, X. Effect of Foliar Spraying of Organic and Inorganic Selenium Fertilizers during Different Growth Stages on Selenium Accumulation and Speciation in Rice. Plant Soil. 2023, 486, 87–101. [Google Scholar] [CrossRef]
- Wu, W.; Qi, D.; Chen, Y.; Wang, J.; Wang, Q.; Yang, Y.; Niu, H.; Zhao, Q.; Peng, T. Enhancement of Nutrient, Trace Element, and Organic Selenium Contents of Ratooning Rice Grains and Straw Through Foliar Application of Selenite. Foods 2024, 13, 3637. [Google Scholar] [CrossRef]
- de Lima, A.B.; de Andrade Vilalta, T.; Lessa, J.H.D.L.; Lopes, G.; Guilherme, L.R.G.; Guerra, M.B.B. Selenium Bioaccessibility in Rice Grains Biofortified via Soil or Foliar Application of Inorganic Se. J. Food Compos. Anal. 2023, 124, 105652. [Google Scholar] [CrossRef]
- Luo, H.; Zhang, S.; Pu, X.; Xia, L.; Yi, W.; Yu, X.; Zuo, C.; Tang, X. Effects of Selenium Nanoparticle Application on Flavor Volatiles of Aromatic Rice. Foods 2025, 14, 552. [Google Scholar] [CrossRef]
- Zhuang, K.; Zhang, Z.; Shang, S.; Zheng, K.; Zhou, X.; Huang, W.; Wang, Y.; Ding, W. Comparing Parboiling and Milling for Selenium-Enriched Rice (Oryza sativa L.): Differences in Selenium Speciation, Texture, Microstructure, and Sensory. Food Chem. X 2025, 25, 102165. [Google Scholar] [CrossRef]
- An, F.; Zhuang, K.; Shangguan, L.; Yao, L.; Dai, J. Effects of Exogenous Selenium Application on Quality Characteristics, Selenium Speciation, and in Vitro Bioaccessibility of Rice Pancakes. Food Chem. X 2025, 25, 102064. [Google Scholar] [CrossRef]
- Rütting, T.; Aronsson, H.; Delin, S. Efficient Use of Nitrogen in Agriculture. Nutr. Cycl. Agroecosyst. 2018, 110, 1–5. [Google Scholar] [CrossRef]
- Armengaud, P.; Sulpice, R.; Miller, A.J.; Stitt, M.; Amtmann, A.; Gibon, Y. Multilevel Analysis of Primary Metabolism Provides New Insights into the Role of Potassium Nutrition for Glycolysis and Nitrogen Assimilation in Arabidopsis Roots. Plant Physiol. 2009, 150, 772–785. [Google Scholar] [CrossRef]
- Chen, L.; Zhang, W.; Gao, J.; Liu, Y.; Wang, X.; Liu, Y.; Feng, Y.; Zhao, Y.; Xin, W. Effects of Precise K Fertilizer Application on the Yield and Quality of Rice under the Mode of Light, Simple, and High-Efficiency N Fertilizer Application during the Panicle Stage. Agronomy 2022, 12, 1681. [Google Scholar] [CrossRef]
- Lin, Z.; Ning, H.; Bi, J.; Qiao, J.; Liu, Z.; Li, G.; Wang, Q.; Wang, S.; Ding, Y. Effects of Nitrogen Fertilization and Genotype on Rice Grain Macronutrients and Micronutrients. Rice Sci. 2014, 21, 233–242. [Google Scholar] [CrossRef]
- Wang, Z.; Zhang, F.; Xiao, F.; Tao, Y.; Liu, Z.; Li, G.; Wang, S.; Ding, Y. Contribution of Mineral Nutrients from Source to Sink Organs in Rice under Different Nitrogen Fertilization. Plant Growth Regul. 2018, 86, 159–167. [Google Scholar] [CrossRef]
- Liu, Z.-H.; Cheng, F.-M.; Cheng, W.-D.; Zhang, G.-P. Positional Variations in Phytic Acid and Protein Content within a Panicle of Japonica Rice. J. Cereal Sci. 2005, 41, 297–303. [Google Scholar] [CrossRef]
- Ramos, D.P.; Chan, G.A.H.; Dias, M.A.R.; Silva, D.V.; Sousa, P.L.R.; Júnior, N.R.M.; Leal, T.H.V.; De Oliveira, W.T.M.; Dias, D.S.; Cavallini, G.S.; et al. Effect of Foliar Application with Selenium on Biofortification and Physiological Attributes of Irrigated Rice Cultivars. J. Food Compos. Anal. 2023, 123, 105534. [Google Scholar] [CrossRef]
- Zhuang, J.; Fang, Y.; Zheng, J.; Duan, Y.; Liu, X.; Mo, Z. Effects of Selenium Foliar Spraying on Seedling Growth and Stem Sheath Hardness in Fragrant Rice. Agriculture 2025, 15, 335. [Google Scholar] [CrossRef]
- Ei, H.H.; Zheng, T.; Farooq, M.U.; Zeng, R.; Su, Y.; Zhang, Y.; Liang, Y.; Tang, Z.; Ye, X.; Jia, X.; et al. Impact of Selenium, Zinc and Their Interaction on Key Enzymes, Grain Yield, Selenium, Zinc Concentrations, and Seedling Vigor of Biofortified Rice. Environ. Sci. Pollut. Res. 2020, 27, 16940–16949. [Google Scholar] [CrossRef]
- Liu, X.; Huang, Z.; Li, Y.; Xie, W.; Li, W.; Tang, X.; Ashraf, U.; Kong, L.; Wu, L.; Wang, S.; et al. Selenium-Silicon (Se-Si) Induced Modulations in Physio-Biochemical Responses, Grain Yield, Quality, Aroma Formation and Lodging in Fragrant Rice. Ecotoxicol. Environ. Saf. 2020, 196, 110525. [Google Scholar] [CrossRef]
- Yi, Q.; Sun, X.; Tang, S.; Xu, P.; Pang, Y.; Huang, X.; Huang, Q.; Huang, J.; Zhang, M. Comparation of Se Accumulation and Distribution of Two Rice (Oryza sativa L.) Cultivars with High- and Low- Se Efficiency as Affected by Exogenous Application of Selenite. J. Cereal Sci. 2022, 105, 103475. [Google Scholar] [CrossRef]
- Teixeira, L.S.; Pimenta, T.M.; Brito, F.A.L.; Malheiros, R.S.P.; Arruda, R.S.; Araújo, W.L.; Ribeiro, D.M. Selenium Uptake and Grain Nutritional Quality Are Affected by Nitrogen Fertilization in Rice (Oryza sativa L.). Plant Cell Rep. 2021, 40, 871–880. [Google Scholar] [CrossRef] [PubMed]
- Su, D.; Xue, S.; Tie, M.; Sun, J.; He, Z. Exogenous Selenium Foliar Application on Nutrition, Grain Yield and Quality of Rice (Oryza sativa L.). J. Food Compos. Anal. 2024, 130, 106145. [Google Scholar] [CrossRef]
- Yang, Y.; Zhang, J.; Sun, L.; Qin, Q.; Yang, S.; Wang, J.; Sun, Y.; Xue, Y. Physiological and Transcriptome Analysis Provide Insights into the Effects of Low and High Selenium on Methionine and Starch Metabolism in Rice Seedlings. Int. J. Mol. Sci. 2025, 26, 1596. [Google Scholar] [CrossRef] [PubMed]
- Yang, J.-C.; Li, C.-Q.; Jiang, Y. Contents and Compositions of Amino Acids in Rice Grains and Their Regulation: A Review. Acta Agron. Sin. 2022, 48, 1037–1050. [Google Scholar] [CrossRef]
- Bharali, A.; Baruah, K.K. Effects of Integrated Nutrient Management on Sucrose Phosphate Synthase Enzyme Activity and Grain Quality Traits in Rice. Physiol. Mol. Biol. Plants 2022, 28, 383–389. [Google Scholar] [CrossRef]
- Müller, A.; Coradi, P.C.; Nunes, M.T.; Grohs, M.; Bressiani, J.; Teodoro, P.E.; Anschau, K.F.; Flores, E.M.M. Effects of Cultivars and Fertilization Levels on the Quality of Rice Milling: A Diagnosis Using near-Infrared Spectroscopy, X-Ray Diffraction, and Scanning Electron Microscopy. Food Res. Int. 2021, 147, 110524. [Google Scholar] [CrossRef]
- Du, B.; Wang, W.; Jiang, S.; Xie, Y.; Cheng, Y.; Xu, J.; Xing, D. Silicon and Selenium Fertilizer Management Improved Productivity and Aroma of Fragrant Rice. Crop Sci. 2021, 61, 936–946. [Google Scholar] [CrossRef]






| Year | pH | Organic Matter (g·kg−1) | Total N (%) | Available K (mg·kg−1) | Olsen-P (mg·kg−1) | Selenium Content (mg·kg−1) | Water-Soluble Selenium (mg·kg−3) | Exchangeable Selenium (mg·kg−3) | Fulvic Acid-Bound Selenium (mg·kg−3) |
|---|---|---|---|---|---|---|---|---|---|
| 2021 | 7.05 | 25.10 | 0.11 | 143.20 | 35.30 | 0.23 | 0.45 | 1.24 | 9.39 |
| 2022 | 6.50 | 39.30 | 0.16 | 184.30 | 87.20 | 0.59 | 0.44 | 6.71 | 40.46 |
| Treatment | Basal Fertilizer (kg·hm−2) | Tillering Fertilizer (kg·hm−2) | Panicle Fertilizer (kg·hm−2) | ||||||
|---|---|---|---|---|---|---|---|---|---|
| N | Se | N | P | K | Se | N | N | K | Se |
| CN | Hse | 67.50 | 112.50 | 56.25 | 0.09 | 67.50 | 90.00 | 56.25 | 0.03 |
| Lse | 67.50 | 112.50 | 56.25 | 0.03 | 67.50 | 90.00 | 56.25 | 0.03 | |
| 0Se | 67.50 | 112.50 | 56.25 | - | 67.50 | 90.00 | 56.25 | 0.03 | |
| LN | Hse | 54.00 | 112.50 | 56.25 | 0.09 | 54.00 | 72.00 | 56.25 | 0.03 |
| Lse | 54.00 | 112.50 | 56.25 | 0.03 | 54.00 | 72.00 | 56.25 | 0.03 | |
| 0Se | 54.00 | 112.50 | 56.25 | - | 54.00 | 72.00 | 56.25 | 0.03 | |
| Year | Treatment | Val | Met | Ile | Leu | Tyr | Phe | Lys |
|---|---|---|---|---|---|---|---|---|
| 2021 | CNHSe | 4.08 ± 0.08 a | 0.54 ± 0.02 bc | 2.10 ± 0.02 bc | 6.46 ± 0.08 a | 2.51 ± 0.12 a | 5.60 ± 0.05 a | 2.24 ± 0.03 b |
| CNLSe | 3.79 ± 0.03 b | 0.52 ± 0.02 bc | 2.10 ± 0.10 bc | 6.17 ± 0.16 b | 2.41 ± 0.12 ab | 5.22 ± 0.04 b | 2.10 ± 0.03 c | |
| CN0Se | 3.30 ± 0.06 d | 0.59 ± 0.02 ab | 1.89 ± 0.04 d | 5.72 ± 0.12 c | 2.25 ± 0.05 bc | 5.33 ± 0.14 b | 1.92 ± 0.04 d | |
| LNHSe | 3.60 ± 0.06 c | 0.54 ± 0.02 bc | 2.15 ± 0.05 b | 5.78 ± 0.03 c | 1.94 ± 0.09 d | 4.10 ± 0.04 d | 2.44 ± 0.04 a | |
| LNLSe | 4.23 ± 0.08 a | 0.47 ± 0.04 c | 2.40 ± 0.02 a | 6.72 ± 0.04 a | 2.08 ± 0.10 cd | 4.54 ± 0.06 c | 1.83 ± 0.03 e | |
| LN0Se | 3.47 ± 0.02 cd | 0.68 ± 0.06 a | 1.96 ± 0.04 cd | 5.50 ± 0.12 c | 2.00 ± 0.05 d | 4.38 ± 0.11 c | 1.76 ± 0.04 f | |
| F-value | ||||||||
| N | 0.88 ns | 0.28 ns | 9.25 * | 2.56 ns | 55.18 ** | 419.07 ** | 48.62 ** | |
| Se | 59.56 ** | 9.52 ** | 16.87 ** | 43.97 ** | 2.15 ns | 0.11 ns | 742.39 ** | |
| N*Se | 32.69 ** | 2.14 ns | 3.16 ns | 24.25 ** | 3.43 ns | 23.19 ** | 162.30 ** | |
| 2022 | CNHSe | 4.05 ± 0.08 c | 0.74 ± 0.08 b | 2.82 ± 0.06 c | 6.71 ± 0.15 c | 3.87 ± 0.09 d | 4.26 ± 0.11 d | 2.85 ± 0.06 b |
| CNLSe | 4.01 ± 0.08 cd | 0.62 ± 0.03 c | 2.74 ± 0.06 d | 6.44 ± 0.14 e | 3.69 ± 0.09 f | 4.05 ± 0.11 e | 2.78 ± 0.06 c | |
| CN0Se | 3.59 ± 0.07 e | 0.77 ± 0.03 b | 2.73 ± 0.06 d | 6.61 ± 0.14 d | 3.83 ± 0.09 e | 4.49 ± 0.12 b | 2.60 ± 0.06 f | |
| LNHSe | 4.22 ± 0.08 b | 0.90 ± 0.04 a | 2.95 ± 0.07 b | 7.08 ± 0.15 b | 4.32 ± 0.10 a | 4.56 ± 0.12 a | 3.03 ± 0.06 a | |
| LNLSe | 4.34 ± 0.08 a | 0.69 ± 0.06 bc | 3.01 ± 0.07 a | 7.10 ± 0.15 a | 4.07 ± 0.10 b | 4.48 ± 0.12 b | 2.74 ± 0.06 d | |
| LN0Se | 3.90 ± 0.02 d | 0.93 ± 0.08 a | 2.67 ± 0.06 e | 6.40 ± 0.14 f | 3.94 ± 0.10 c | 4.32 ± 0.11 c | 2.63 ± 0.06 e | |
| F-value | ||||||||
| N | 76.13 ** | 24.53 ** | 2089.43 ** | 2544.76 ** | 5218.00 ** | 2130.55 ** | 385.06 ** | |
| Se | 77.43 ** | 20.89 ** | 2285.40 ** | 1763.16 ** | 1109.44 ** | 518.45 ** | 4719.20 ** | |
| N*Se | 3.04 ns | 1.40 ns | 1482.39 ** | 2193.30 ** | 570.67 ** | 2117.17 ** | 576.56 ** | |
| Year | Treatment | Asp | Thr | Ser | Glu | Gly | Ala | Cys | His | Arg | Pro |
|---|---|---|---|---|---|---|---|---|---|---|---|
| 2021 | CNHSe | 6.74 ± 0.06 a | 1.68 ± 0.06 bc | 2.56 ± 0.10 a | 11.55 ± 0.22 a | 3.12 ± 0.02 a | 3.40 ± 0.10 a | 2.26 ± 0.01 b | 1.36 ± 0.01 a | 7.53 ± 0.09 a | 2.78 ± 0.05 a |
| CNLSe | 6.32 ± 0.16 ab | 1.60 ± 0.02 bc | 2.50 ± 0.09 a | 11.19 ± 0.08 a | 2.84 ± 0.01 b | 3.22 ± 0.09 ab | 2.11 ± 0.01 c | 1.27 ± 0.03 bc | 6.96 ± 0.09 b | 2.54 ± 0.04 b | |
| CN0Se | 6.29 ± 0.16 ab | 1.57 ± 0.02 bc | 2.47 ± 0.05 a | 11.19 ± 0.23 a | 2.86 ± 0.02 b | 3.08 ± 0.07 bc | 1.82 ± 0.08 d | 1.21 ± 0.03 c | 6.40 ± 0.20 c | 2.48 ± 0.06 b | |
| LNHSe | 5.93 ± 0.09 bc | 2.12 ± 0.08 a | 2.40 ± 0.09 a | 8.16 ± 0.09 c | 1.73 ± 0.01 d | 3.16 ± 0.06 b | 2.05 ± 0.01 c | 1.33 ± 0.02 ab | 6.51 ± 0.17 c | 2.09 ± 0.06 c | |
| LNLSe | 6.45 ± 0.12 a | 1.55 ± 0.02 c | 2.19 ± 0.08 b | 9.80 ± 0.22 b | 2.22 ± 0.01 c | 2.89 ± 0.01 c | 2.39 ± 0.01 a | 1.35 ± 0.01 a | 6.33 ± 0.11 c | 2.25 ± 0.04 c | |
| LN0Se | 5.65 ± 0.14 c | 1.69 ± 0.03 b | 2.42 ± 0.05 a | 9.36 ± 0.19 b | 2.25 ± 0.02 c | 3.05 ± 0.07 bc | 1.77 ± 0.08 d | 1.20 ± 0.03 c | 6.29 ± 0.06 c | 2.12 ± 0.06 c | |
| F-value | |||||||||||
| N | 15.69 ** | 23.40 ** | 10.10 * | 223.88 ** | 8215.31 ** | 15.46 ** | 0.01 ns | 0.97 ns | 31.98 ** | 108.86 ** | |
| Se | 5.65 * | 28.73 ** | 2.41 ns | 6.50 * | 65.41 ** | 8.32 * | 77.46 ** | 21.08 ** | 14.24 ** | 3.79 ns | |
| N*Se | 6.82 * | 15.14 ** | 1.86 ns | 17.22 ns | 712.88 ** | 3.19 ns | 21.41 ** | 3.37 ns | 6.38 * | 8.36 ** | |
| 2022 | CNHSe | 7.52 ± 0.19 d | 2.41 ± 0.06 d | 3.64 ± 0.08 e | 14.90 ± 0.30 e | 2.70 ± 0.02 e | 4.37 ± 0.10 d | 0.25 ± 0.01 a | 1.19 ± 0.03 c | 8.21 ± 0.26 b | 2.98 ± 0.08 c |
| CNLSe | 7.31 ± 0.18 e | 2.26 ± 0.06 f | 3.50 ± 0.07 f | 14.47 ± 0.30 f | 2.60 ± 0.02 f | 4.22 ± 0.09 f | 0.23 ± 0.01 c | 1.13 ± 0.03 d | 7.98 ± 0.25 c | 2.82 ± 0.07 f | |
| CN0Se | 7.60 ± 0.19 c | 2.39 ± 0.06 e | 3.74 ± 0.08 d | 15.47 ± 0.32 d | 2.86 ± 0.02 c | 4.34 ± 0.10 e | 0.21 ± 0.01 d | 1.13 ± 0.03 d | 7.80 ± 0.24 d | 2.91 ± 0.08 d | |
| LNHSe | 8.08 ± 0.20 a | 2.60 ± 0.07 a | 3.98 ± 0.08 b | 15.95 ± 0.33 a | 2.90 ± 0.03 b | 4.65 ± 0.10 a | 0.24 ± 0.01 b | 1.27 ± 0.04 a | 8.76 ± 0.27 a | 3.16 ± 0.08 a | |
| LNLSe | 7.99 ± 0.20 b | 2.49 ± 0.07 c | 3.84 ± 0.08 c | 15.58 ± 0.32 b | 2.72 ± 0.02 d | 4.54 ± 0.10 c | 0.24 ± 0.01 b | 1.20 ± 0.03 b | 8.78 ± 0.28 a | 3.11 ± 0.08 b | |
| LN0Se | 7.25 ± 0.18 f | 2.58 ± 0.07 b | 4.15 ± 0.09 a | 15.54 ± 0.32 c | 3.02 ± 0.03 a | 4.62 ± 0.10 b | 0.20 ± 0.01 e | 1.09 ± 0.03 e | 8.25 ± 0.26 b | 2.86 ± 0.07 e | |
| F-value | |||||||||||
| N | 1813.95 ** | 5305.32 ** | 8025.21 ** | 6911.03 ** | 21,063.09 ** | 8841.53 ** | 0.60 ns | 561.30 ** | 3402.90 ** | 2291.22 ** | |
| Se | 958.59 ** | 829.81 ** | 1601.91 ** | 1091.92 ** | 22,233.48 ** | 614.65 ** | 1147.90 ** | 2084.00 ** | 745.54 ** | 1383.92 ** | |
| N*Se | 2127.98 ** | 27.09 ** | 33.93 ** | 1412.05 ** | 357.59 ** | 20.38 ** | 101.96 ** | 668.89 ** | 104.06 ** | 1199.10 ** | |
Disclaimer/Publisher’s Note: The statements, opinions and data contained in all publications are solely those of the individual author(s) and contributor(s) and not of MDPI and/or the editor(s). MDPI and/or the editor(s) disclaim responsibility for any injury to people or property resulting from any ideas, methods, instructions or products referred to in the content. |
© 2025 by the authors. Licensee MDPI, Basel, Switzerland. This article is an open access article distributed under the terms and conditions of the Creative Commons Attribution (CC BY) license (https://creativecommons.org/licenses/by/4.0/).
Share and Cite
Liu, Y.; Yan, B.; Liu, Y.; Liu, Y.; Chen, L.; Jiang, H.; Feng, Y.; Gao, J.; Zhang, W. The Effect of Selenium on Rice Quality Under Different Nitrogen Levels. Agronomy 2025, 15, 1437. https://doi.org/10.3390/agronomy15061437
Liu Y, Yan B, Liu Y, Liu Y, Chen L, Jiang H, Feng Y, Gao J, Zhang W. The Effect of Selenium on Rice Quality Under Different Nitrogen Levels. Agronomy. 2025; 15(6):1437. https://doi.org/10.3390/agronomy15061437
Chicago/Turabian StyleLiu, Yuqi, Bingchun Yan, Ya Liu, Yuzhuo Liu, Liqiang Chen, Hongfang Jiang, Yingying Feng, Jiping Gao, and Wenzhong Zhang. 2025. "The Effect of Selenium on Rice Quality Under Different Nitrogen Levels" Agronomy 15, no. 6: 1437. https://doi.org/10.3390/agronomy15061437
APA StyleLiu, Y., Yan, B., Liu, Y., Liu, Y., Chen, L., Jiang, H., Feng, Y., Gao, J., & Zhang, W. (2025). The Effect of Selenium on Rice Quality Under Different Nitrogen Levels. Agronomy, 15(6), 1437. https://doi.org/10.3390/agronomy15061437

