Next Article in Journal
Relationships Between Oat Phenotypes and UAV Multispectral Imagery Under Different Water Deficit Conditions by Structural Equation Modelling
Next Article in Special Issue
Effect of Compost Addition on Carbon Mineralization and Kinetic Characteristics in Three Typical Agricultural Soils
Previous Article in Journal
Threshold Effects of Nitrogen Fertilization Rates on Growth and Essential Oil Yield with Component Regulation in Cinnamomum camphora var. linaloolifera
Previous Article in Special Issue
Influence of the Use of Diatomite-Based Mineral Sprinkles on the Content and Immobilization of Cadmium and Zinc from Poultry Litter
 
 
Font Type:
Arial Georgia Verdana
Font Size:
Aa Aa Aa
Line Spacing:
Column Width:
Background:
Article

Beyond Macronutrients Supply: The Effect of Bio-Based Fertilizers on Iron and Zinc Biofortification of Crops

1
Department of Agronomy, University of Seville, Ctra Utrera km 1, 41013 Sevilla, Spain
2
Department of Aerospace Engineering and Fluid Mechanics, University of Seville, Ctra Utrera km 1, 41013 Sevilla, Spain
*
Author to whom correspondence should be addressed.
Agronomy 2025, 15(6), 1388; https://doi.org/10.3390/agronomy15061388
Submission received: 30 April 2025 / Revised: 1 June 2025 / Accepted: 3 June 2025 / Published: 5 June 2025

Abstract

Iron (Fe) and Zinc (Zn) deficiencies in crops pose indirect problems for human health. The risk of these deficiencies increases with high doses of phosphate fertilizers. Fertilizers obtained through recycling—so-called bio-based fertilizers (BBFs)—can contain significant amounts of Fe and Zn, which can contribute to crop biofortification. Although the use of some organic BBFs has been shown to improve biofortification, an in-depth study on this effect and on the effect of P on Fe and Zn nutrition with the use of different kinds of bio-based P fertilizers is still lacking. A pot experiment with 11 different BBFs was conducted using two soils with different physicochemical properties that affect P, Fe, and Zn dynamics (one rich in CaCO3 and the other rich in Fe oxides) to assess their biofortification effects on wheat and sunflower. Although some BBFs increased Fe concentration in the edible parts, the overall trend was towards an increased P:Fe ratio (up to 62%), which decreased Fe digestibility. On the other hand, all BBFs led to Zn biofortification, with a 27% decrease in the P:Zn ratio in the CaCO3-rich soil, while in the Fe oxide-rich soil, the decrease was up to 61%. The supply of Zn and organic C, as well as the dominant P forms in BBFs, were the main factors explaining Zn biofortification. Bio-based fertilizers also decreased the antagonism between P and Zn and between Fe and Zn. The results demonstrated that the inclusion of BBFs in agrosystems management can contribute to improving the quality of human diets, at least with regard to Zn intake, while also contributing to more sustainable fertilization practices.

1. Introduction

One of the major challenges to guaranteeing agricultural production is the supply of fertilizers based on the circular economic approach, so-called bio-based fertilizers (BBFs) [1]. This fact is especially critical for phosphorus (P) fertilization since P stocks are limited and its global distribution is notably heterogeneous, making it very sensitive to the geopolitical issues (e.g., wars or tariff policies) that affect trade in fertilizer raw materials [2]. Thus, it is necessary to study different alternatives to mineral P fertilization based on the recycling of the nutrient from a comprehensive perspective that takes into account not only P supply but also other benefits such as the supply of other nutrients to crops [3,4]. In this regard, although the production and use of BBFs are primarily focused on supplying the most limiting macronutrients for crops (i.e., N, P, and K), they can also contain significant quantities of other important micronutrients, such as Cu, Fe, Mn, or Zn [1], that play a pivotal role not only in plant nutrition but also in human health. The deficiency of micronutrients in human diets, particularly Fe and Zn, results in serious health problems for humans, commonly referred to as “hidden hunger”, which is thought to affect 2 billion people worldwide [5,6]. Increasing the content of these nutrients in the edible parts of crops, as well as their digestibility to improve diet quality, is known as biofortification [7]. Biofortification can be agronomic, conventional, and transgenic. Agronomic biofortification involves the application of fertilizers to increase nutrient concentrations in crops, conventional biofortification focuses on breeding crops to achieve high nutrients level, and transgenic biofortification uses genetic engineering to increase crops’ nutrient acquisition [8,9]. Thus, the potential Fe and Zn supply with phosphate BBFs could be of great interest. These benefits of Fe and Zn uptake by crops have been assessed in recycled organic amendments and fertilizers [10] but not with other products, such as precipitates from water purification or ashes, which also contain these nutrients. Due to the content of Fe and Zn in phosphate BBFs, it is hypothesized that these products—and not only those of an organic nature—can be useful for agronomic biofortification, enhancing Fe and Zn uptake by crops.
Iron and Zinc exhibit complex dynamics in the soil–plant system that affect its bioavailability [11,12]. The soil properties, such as organic matter, carbonates, or Fe oxides in the case of Zn, ensure that only a fraction of these nutrients, when supplied with fertilizers, is available to the plants and can be allocated to the edible parts [13,14,15]. The bioavailability of applied Fe and Zn may be increased by soil organic matter [16,17]. However, it has been noted that adsorption to the organic matrix sometimes decreases Zn bioavailability [18]. The efficiency of BBFs as N or P fertilizers vary depending on soil type [3,19,20]. However, the effect of soil on the supply of the other nutrients contained in these products to crops has not been assessed. Thus, according to the influence of some soil properties on Fe and Zn dynamics, it is hypothesized that the potential biofortification effect of Fe- and Zn-containing BBFs is soil dependent.
Phosphorus supply may cause a decrease in Fe or Zn absorption by crops through antagonism [14] or an increased accumulation of phytate in the grains, which strongly binds to Fe and Zn, decreasing their digestibility when consumed [9]. Therefore, the effect of phosphate BBFs on crops’ Fe and Zn uptake should consider not only their content in the product but also other properties of BBFs such as P content and forms, as well as the supply of organic matter that can affect the availability of Fe and Zn to plants. In this regard, as part of the P in BBFs remains in a poorly soluble or organic form [3], it is hypothesized that the antagonism may be reduced as P is slowly released and becomes progressively available to plants. Although previous studies have evaluated the antagonism between P and Zn or Fe using mineral fertilizers [14,15], it is necessary to study this phenomenon with a wide range of products that represent an important diversity in the dominant P forms and the contents of micronutrients. Furthermore, previous works involved only one crop cycle [14]. However, with organic P or non-soluble inorganic P as the dominant forms, it is also hypothesized that positive results can be found in the short term since P release is limited compared with soluble mineral fertilizers. However, in the long term, this positive effect on Fe and Zn could be reduced as the P in the BBFs is progressively released.
On these grounds, this study aims to assess the effect of different bio-based fertilizers, ranging widely in terms of the dominant P forms and the Fe and Zn content, on the uptake of these micronutrients in crops for agronomic biofortification, as well as on the P:Fe and P:Zn ratios in the edible parts, which are critical aspects affecting uptake capacity during digestion. Since the effect is expected to depend on soil properties, this study was performed using two soil types with contrasting properties involved in Fe, Zn, and P cycling in soil, specifically carbonate and Fe oxide contents. This study involved two consecutive crops in pots to evaluate the lasting effects of BBFs on the availability of Fe and Zn to plants.

2. Materials and Methods

2.1. Experimental Design

A two-growing-cycle-pot experiment involving durum wheat and sunflower was conducted in a greenhouse. The design followed a complete randomized block set-up, which involved five replications and two factors, as follows:
(i)
Soil type, with two different soils;
(ii)
Fertilizer treatments involving 11 BBFs, 1 non-fertilized control, and 4 rates of soluble mineral fertilizer.
The two soils selected for this experiment showed different soil properties affecting the P, Zn, and Fe dynamics and their availability to plants. One soil was a Typic Haploxeralf (Type 1), according to soil taxonomy [21], with a high content of Fe oxides, where P and Zn sorption are expected to be dominated by adsorption onto these oxides; and the other was a Calcic Xerochrepts (Type 2), with a high content of CaCO3, where P sorption is expected to be dominated by the precipitation as Ca-phosphates [2]. The main physicochemical properties are represented in Table 1. Soil texture was determined by the densimeter method [22]. Soil organic carbon (SOC) was determined according to the procedure of Walkley and Black (1934) [23]. Cation exchange capacity (CEC) was conducted according to the procedure of Summer and Miller (1995) [24]. The calcimeter method was used to determine the total carbonates equivalent (CCE). Electrical conductivity was determined in the saturation extraction. Available P was assessed via the Olsen method [25] and determined in the extract colorimetrically [26]. The iron quantity in the oxides was determined via a sequential extraction involving citrate–ascorbate and citrate–bicarbonate dithionite [12].
The eleven BBFs were applied at the same rate of 50 mg of P per kg of soil since the objective was to evaluate the additional effect on Fe and Zn in the application of these products as P fertilizers. These BBFs can be classified into 5 different categories according to the raw material and production process:
(i)
Compost, which included olive husk compost (OHC), municipal solid wastes compost (MSW), and horse manure vermicompost (HMV);
(ii)
Plant derived products, which only included digestates (MD);
(iii)
Animal derived products, which included animal–plants mixed pellets (APP), bone meal (BM), and poultry litter compost (PLC);
(iv)
Ashes, which included: sewage sludge ashes (SLA), sunflower residues ashes (SFA), and poultry litter ash (PLA);
(v)
Struvite (STR).
Additionally, the non-fertilized control (C) and 4 soluble mineral fertilizer rates applied as superphosphate (SP) were included. The superphosphate was used at several rates, equivalent to 25%, 50%, 100%, and 200% of the BBFs application rate. These different P rates allow us to assess the potential effects of increasing P rates on Zn and Fe uptake in crops, i.e., to identify potential antagonisms. The chemical composition of BBFs is shown in Table 2. Additional information on BBFs, particularly on dominant P forms, can be found elsewhere [3].
The content of Fe and Zn differed markedly among the BBFs, with the ash group showing the highest overall content of Fe and Zn. The BBF that contained the highest Fe content was SLA (91.9 g kg−1), and the one that contained the highest Zn content was PLA (1946.5 mg kg−1).

2.2. Growing Conditions

Simulating a typical Mediterranean crop rotation, durum wheat (Triticum durum var Amilcar) and sunflower (Helianthus annus, var LG) were successively grown. The seeds were pre-germinated in petri dishes at 8 °C in darkness for 15 days, and when the radicles developed, they were transplanted into 5-litter PVC pots (25 cm in diameter; 20 cm in height). The soil was mixed with perlite (3:1) (v/v) to avoid compaction and drainage limitations in the pot. Fertilizer treatments were applied before wheat sowing by carefully mixing fertilizers into the soil; no application was conducted before sunflower cultivation. The wheat growth cycle lasted 102 days, while the sunflower cycle lasted 167 days. Both crops were harvested at phenological maturity (BCH 99 stage). Soil water content was maintained at 70% of the water holding capacity during the entire experiment. Irrigation and fertilization were undertaken with a P-free nutrient solution, where Zn and Fe were added to avoid severe deficiencies of these nutrients. The compounds used in the nutrient solution were as follows (amounts supplied in brackets): Ca(NO3)2·4H2O (970 mg kg−1), NH4NO3 (329 mg kg−1), KCl (591 mg kg−1), MgSO4·6H2O (456 mg kg−1), Fe-EDHHA (3 mg Fe kg−1), ZnSO4·7H2O (13 mg kg−1), MnSO4·H2O (9 mg kg−1), CuSO4·H2O (6 mg kg−1), H3BO3 (2 mg kg−1), and Na2MoO4·2H2O (1 mg kg−1). Additionally, 150 mg N kg−1 soil was provided as a mixture of Ca (NO3)2·4 H2O and NH4NO3 (each 75 mg N kg−1).

2.3. Plant Analysis

Plant tissues were separated into straw and grain (wheat) or seed (sunflower) and dried at 65 °C until constant weight was obtained in an air-forced oven. A homogeneous sample of 0.25 g was mineralized in a muffle furnace, and the resulting ashes were dissolved in 1 M HCl. In the extracts, P was determined colorimetrically [26]. Iron and zinc were determined in the extracts by atomic absorption spectroscopy (Thermo Elemental Solaar M, Madrid, Spain). The uptake of each nutrient by the plants was estimated as the amount accumulated in aerial parts, calculated as the sum of the product of the dry matter and its concentration in each organ. With the results obtained, the P:Fe and P:Zn molar ratios of grain/seeds and straw were determined to evaluate the digestibility of these nutrients as affected by the accumulation of phytate in plant tissues. Although phytate was not determined, the P:Zn and the P:Fe ratios are considered to be indices of the influence of phytate on the absorption of Zn and Fe in digestion since the P in seeds exists mainly in the form of phytate [27].

2.4. Statistical Analysis

A linear general model (LGM) was employed considering two fixed factors (fertilizers and soil type). Normal distribution and homoscedasticity were evaluated in all cases, and data were transformed using a Box-Cox transformation when needed. When interactions between factors were significant, the main factors could not be assessed in a combined analysis, and it was therefore not possible to compare the means of each treatment of the main factors; then, a one-way ANOVA and a post hoc mean comparison were then carried out for the combination of both factors [13]. A Tukey test (p < 0.05) was performed to conduct the mean comparison after ANOVA. Pearson’s correlation analysis was performed to assess the relationships between the nutritional traits of crops (the concentrations of P, Fe, and Zn in grain and straw, as well as the uptake of these nutrients). All analyses were conducted using Statgraphics Centurion v. 18.

3. Results

3.1. Fertilization Effect on Fe Nutrition

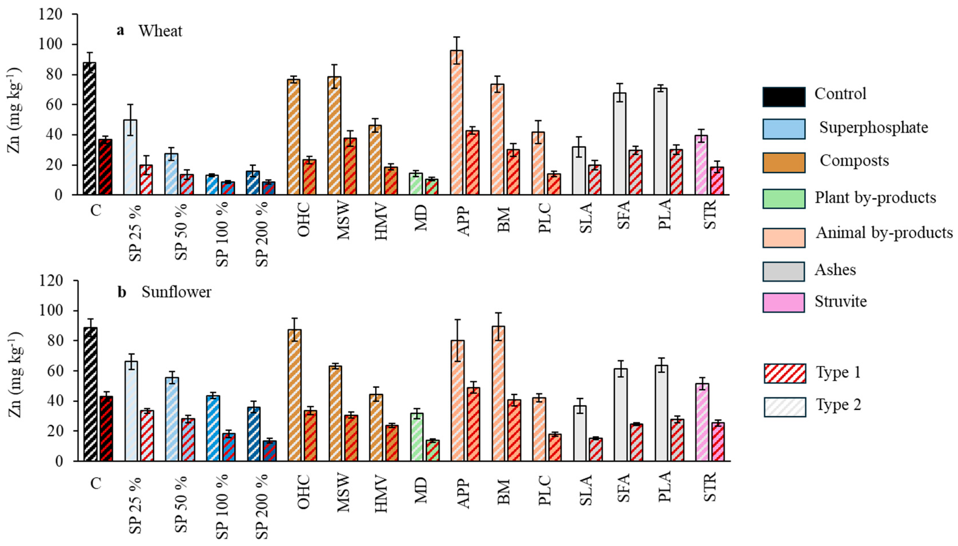
Iron concentrations in the edible parts were significantly influenced by fertilizer for both wheat (Figure 1a) and sunflower (Figure 1b). In wheat, similar concentrations were observed for all the SP treatments, but differences were reported between the BBFs. APP was the product that presented the highest Fe concentration in the wheat grain (with a 6% increase compared to SP at the same P dose). HMV, BM, and SLA were the treatments that presented the lowest Fe concentrations, with an average reduction of 29% compared to SP at the same rate (Figure 1a). In sunflower, the Fe concentrations decreased with increasing SP doses (Figure 1b). The BBFs showed a different effect on this second crop, with MD showing the lowest Fe concentration in seeds, with a reduction of 24% compared to SP at the same rate. The highest Fe concentration was reported in the non-fertilized control, followed by APP and BM, which increased the Fe concentration by 13% compared to SP at the same rate. Importantly, APP consistently led to a higher Fe concentration relative to SP in both years; meanwhile, BM went from being one of the BBFs that led to one of the lowest Fe concentrations in wheat grain to one of the BBFs that led to one of the highest Fe concentrations in sunflower seeds (Figure 1b).
The iron concentrations in straw—both in wheat and sunflower—showed a different trend than those in grain and seeds (Table 3). Notably, with increasing SP rates, an opposite trend was observed between both crops, with an increasing Fe concentration in sunflower seeds with increasing P doses. Notably, in both crops, OHC was the product that led to the lowest straw Fe concentration (Table 1), while it did not promote the lowest Fe concentration in wheat grains or sunflower seeds (Figure 1).
Overall, most of the studied BBFs led to significantly lower Fe uptake by wheat than SP at the same P dose (Figure 2). This was particularly notable in OHC (with five times lower Fe uptake than SP), which, in sunflower, was the only BBF leading to a significantly lower Fe uptake than SP at the same dose. Thus, there is an overall negative effect of BBFs on Fe uptake in wheat, which was not observed in sunflower (Figure 2).
The P:Fe ratio in edible organs was significantly affected by fertilization treatment in both wheat and sunflower (Figure 3). In wheat, the P:Fe decreased with increasing doses of SP (Figure 3a), whereas in sunflower, the opposite trend was observed (Figure 3b). The highest values in wheat were found in OHC and STR, with a significant increase of 62% compared to the SP treatment. This effect was not observed in the following crop, where these BBFs presented intermediate P:Fe values, while MD showed the highest P:Fe ratio.
In the straw, the P:Fe ratio with SP at the same P rate than the BBFs was the lowest in both crops, while OHC presented the highest P:Fe ratio (Table 3) as a result of having the lowest Fe concentration in both crops. STR showed a similar ratio to SP, with the same P rate, but only in the second crop.

3.2. Fertilization Effect on Zn Nutrition

Unlike Fe, Zn concentration in wheat grains and sunflower seeds decreased with the increasing SP rates (Figure 4). Applied at the same rate, all the BBFs led to a higher Zn concentration than SP. This was particularly evident in wheat, where APP, MSW, and OHC were the treatments that showed the highest Zn concentration in grains with an average increase of 109% compared to SP at the same rate (Figure 4a). In this crop, Zn concentration with BBFs resulted in an average increase of 71% compared to mineral SP. Only MD presented similar results to SP in the wheat crop. However, MD performed similarly to the other BBFs in the sunflower crop. In this case, no differences were reported among the BBFs, presenting an average increase of 20% compared to SP at the same dose (Figure 4b).
Straw Zn concentration was significantly affected not only by the fertilizer treatment but also by the interaction between the soil and the fertilizer. The decrease in Zn concentration with the increasing SP rates was more pronounced in the carbonate-rich soil (Type 2), which showed the highest Zn concentration in non-fertilized control, than in the Fe oxide-rich soil (Type 1; see Figure 5). In contrast to the response of grain/seed Zn concentration to fertilization, a similar response of the straw Zn concentration to fertilizer treatments was observed for both wheat and sunflower. The BBFs that most increased Zn concentration were OHC, MSW, APP, and BM, followed by the ashes SFA and PLA. The interaction between both factors was explained because the increase in Zn concentration with BBFs was significantly higher in Type 2 soil than in Type 1 soil. In this sense, the BBFs presented an average increase in Zn concentration compared to mineral SP at the same rates of 64.2 mg Zn kg−1 and 23.6 mg Zn kg−1 for Type 2 and Type 1 soil, respectively, in wheat. These increases were 30.6 mg Zn kg−1 and 16.2 mg Zn kg−1 for Type 2 and Type 1 soil, respectively, in sunflower (Figure 5).
Zinc uptake decreased with increasing SP rates in both crops but most markedly in wheat (Figure 6). Overall, none of the BBFs resulted in a lower Zn uptake than SP at the same P rate in both crops, except MD and SLA in sunflower. The highest Zn uptake was observed with compost and animal by-products. Notably, MSW in wheat led to more than double Zn uptake than SP at the same rate. This product, however, did not result in significantly higher Zn uptake compared to SP at the same P rate in sunflower (Figure 6b).
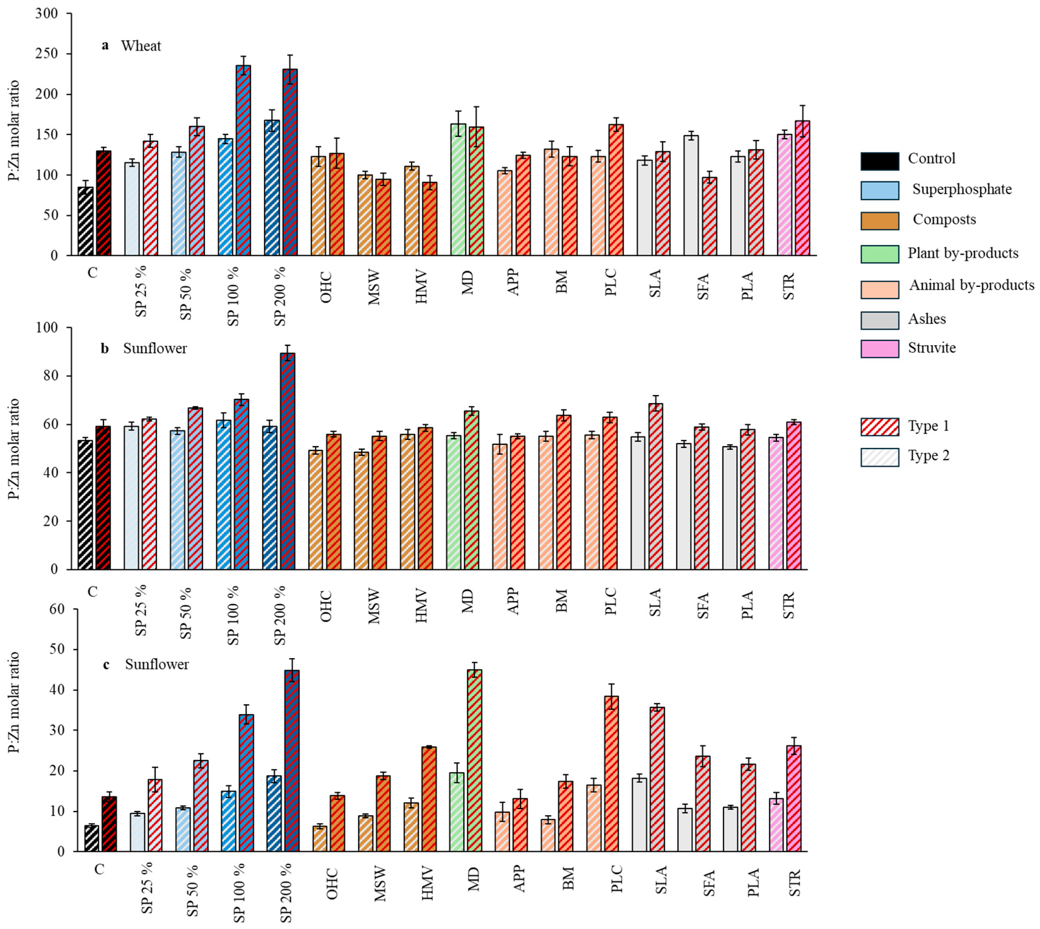
The P:Zn ratio in the edible parts was also significantly influenced by the interaction between soil and fertilizer, with differences between treatments being amplified in Type 1 soil (Figure 7). However, this only happened with SP; in general terms, the BBFs performed similarly regardless of the soil. Overall, in both crops, the P:Zn ratio tended to increase with increasing SP rates. In wheat, most BBFs showed lower P:Zn ratios than SP at the same rate; HMV and MSW resulted in the lowest P:Zn ratio. In this crop, the average reductions in the P:Zn ratio compared to SP were 27% and 61% in Type 2 soil and in Type 1 soil, respectively. In wheat, MD was the BBF that presented the highest P:Zn ratio. The SFA resulted in different P:Zn ratios depending on the soil, presenting lower values in Type 1 soil than in Type 2 soil, contrary to the general trend. Regarding the P:Zn ratio in the second crop, all the BBFs behaved similarly, with an average reduction in the ratio of 14% for both soils compared to SP at the same P rate.
In wheat straw, the P:Zn ratio increased with increased SP doses (Table 4). As in wheat grains, MD led to the highest P:Zn ratio among BBFs, with no significant differences with SP at 200% of the applied P rate with BBFs.

3.3. Correlation Between Nutritional Parameters

In wheat grown in Type 2 soil, with SP as the P source, grain and straw Zn concentration and Zn uptake were negatively correlated with P uptake (Table 5). On the other hand, with this crop and soil, with BBFs as the P source, P uptake was only negatively correlated with Zn concentration in grain. Overall, in wheat grown in both soils, there was no negative correlation between Zn and Fe concentration in both grain and straw; moreover, Zn concentration in grain was positively correlated with Fe concentration in grains when BBFs were used as the P source. In Type 2 soil, some Fe-related variables correlated with P uptake, more evidently in sunflower than in wheat. In particular, P uptake was negatively correlated with Zn in grain and straw and positively with Fe concentration in straw when SP was the P source applied. In this case, Fe uptake correlated with Fe concentration in straw but not with that in the seed. With BBFs as the P source, grain Zn concentration was only negatively correlated with P uptake in Type 1 soil. Overall, with SP in both crops and soils, Zn in grain/seed and straw was positively correlated; however, this was not observed when BBFs were applied as a P source (Table 5). In general, the Fe concentration in grain was not related to that in straw. Overall, Zn uptake was positively correlated with Zn concentration in grain/seeds with SP as P source, but not with BBFs (Table 5).

4. Discussion

4.1. Biofortification Efffects of Bio-Based Fertilizers

Overall, some BBFs increased crop Zn uptake and grain concentration compared to SP applied at the same P rate. However, this positive effect was not observed with Fe. All this partially validates our hypothesis, i.e., that there is a Zn biofortification with some BBFs, but this was not observed with Fe. The best results with Zn biofortification were obtained with organic BBFs with low P concentration, i.e., composts: OHC, MSW, and HCW. With these products, the amount of Zn applied was the highest since the amount of BBF applied was that needed to apply a fixed P rate. Thus, it can be assumed that their use as P fertilizers is useful for agronomic biofortification. This agrees with previous evidence showing that fertilizers obtained from biomass wastes can be effective in biofortification when enriched with Zn [28,29,30]. In our case, effective BBFs in Zn biofortification were not enriched in this nutrient, providing stronger evidence of the benefits of a circular economic approach to biofortification [30]. The aforementioned BBFs also applied the highest amount of organic C, which can also affect Zn uptake by the crop. Organic C is known to enhance the biofortification effect of Zn fertilizers [31]. This probably explains the good Zn biofortification results obtained with animal-derived products (APP, BM, and PLC). These products applied significantly less Zn than compost but have a high organic C content that will contribute to increasing Zn availability to plants [10]. Although this effect has been attributed to the formation of Zn complexes with organic matter [27], it can be also related to increased microbial activity [13]. In this regard, some composts, such as HMV, increase microbial biomass and diversity, which can contribute to the increased Zn uptake by crops and a decrease in the P:Zn ratio in wheat grain [32]. It has been shown that rhizospheric microorganisms, which can be affected by the input of organic C, can promote a greater accumulation of Zn in grains without increasing its uptake by plants [33]. This implies a biofortification effect without greater Zn availability to plants, which is explained by changes in nutrient homeostasis through an alteration in the hormonal concentration promoted by microorganisms [33]. This is consistent with evidence revealing the relevant role of rhizospheric microbiome in Zn uptake, even with the application of P fertilizers [34].
The high Zn and organic C supply with some BBFs can explain benefits in biofortification. Nevertheless, MD did not lead to Zn biofortification in wheat despite the high amounts of Zn and organic C supplied. In this BBF, the dominant P form is phytate [3], which forms a stable complex with Zn [35]. This complexation may decrease Zn availability to plants; this Zn can become progressively more available after phytate hydrolysis [36]. This progressive hydrolysis may explain the better performance of MD in sunflower compared to wheat. The good results obtained in Zn biofortification with animal-derived products can be also explained by the dominant P forms in these products, which, in most cases, were poorly soluble Ca phosphates [3], which are slowly solubilized in soils with basic pH [37]. This progressive release of P can decrease potential antagonism with Zn compared to SP, which provides soluble phosphates. Thus, the supply of Zn and organic C, as well as the dominant P forms in BBFs, appear to be the main factors explaining Zn biofortification.
There was no improvement in Fe uptake or concentration in grain with BBFs compared to SP despite the high amount of this nutrient applied with BBFs. Thus, there are additional factors in the BBFs or soils explaining this difference between Zn and Fe, confirming our additional hypothesis. Organic C in BBFs does not seem to enhance Fe biofortification. In this regard, OHC, with high organic C content, led to one of the worst results. This is remarkable since the negative effect of this BBF was observable with a basal application of Fe to plants with nutrient solution, thus revealing a clear negative effect on Fe availability to plants. One possible reason is that Fe could be immobilized through the formation of organomineral complexes, which reduced the bioavailability of Fe, as observed in long-term experiments with organic fertilizers [38]. It is interesting to note that the worst results of BBFs in Fe uptake were observed with wheat, which is a crop that effectively mobilizes Fe from soil through siderophores exudation (Strategy I plant), in contrast to sunflower, which is less efficient since the mobilization mechanisms are based on acidification and the exudation of less effective chelating agents at basic pH (Strategy II plant) [39]. This supports the assumption of Fe being strongly immobilized when applied with BBFs, perhaps forming very stable complexes, as mentioned above. It can also be assumed that factors other than fertilizers or crops can be relevant to explaining Fe availability to plants. In this regard, given that soils have carbonates and basic pH, this can negatively affect the availability of Fe supplied with BBFs to plants [12,40,41]. On the other hand, Zn availability is also negatively affected by carbonates and Fe oxides through adsorption processes [15,33]. However, with this nutrient, the effect of BBFs increasing Zn biofortification does not appear to be restricted by soil properties. All this contributes to explaining the absence of interaction between fertilizer treatment and soil in the crop biofortification.

4.2. Effect of Bio-Based Fertilizers on the Quality of Edible Parts

Bio-based fertilizers enhanced the quality of the edible parts in terms of the ratio of P to micronutrients, but only in the case of Zn. Furthermore, this effect was soil-dependent, confirming our hypothesis. The P:Fe and P:Zn ratios seem to be explained by the efficiency of the treatments in increasing Fe and Zn concentration in the edible parts. The overall increased P:Fe ratio reflects an increased phytate accumulation in grains relative to Fe, which considerably reduces Fe absorption during digestion [6,33]. Overall, the P:Zn ratio was higher in the Fe oxide-rich soil (Type 1) than in the carbonate-rich soil (Type 2). This is likely ascribed to the different dominant processes explaining P sorption in soil and availability to plants. The enhanced precipitation of insoluble Ca phosphates in the carbonate-rich soil (Type 2) probably leads to lower P availability to plants compared to Type 1 soil, where the adsorption on Fe oxides is expected to be the dominant process [42]. This decreased availability of applied P in the carbonate-rich soil leads to a decreased P:Zn ratio compared to Fe oxide-rich soil. However, this was more evident with SP than with BBFs. This can probably be ascribed to the fact that the precipitation of insoluble Ca phosphates is enhanced with high rates of soluble phosphate [37,42]; meanwhile, with a more progressive release of P from BBFs, the precipitation of insoluble Ca phosphates is not enhanced as much. This likely explains the smaller difference in the P:Zn ratio between both soils with BBFs than with SP.

4.3. Assessment of Iron and Zinc Nutrition of Plants with Bio-Based Fertilizers

Based on the correlation between P, Zn, and Fe uptake, the antagonistic effect of P on Zn was evident with SP, whereas it was not observed with the application of BBFs. Theoretically, both soils have DTPA-extractable Zn above critical values for deficiency in wheat, which explains the grain Zn concentration above the threshold values for good quality for human consumption without P fertilization [43]. However, with SP as the P source, the Zn concentration in grains decreased below this threshold at the same P rate as that used for BBFs. With the additional supply of Zn, alongside the other factors involved in its availability, as mentioned above, most BBFs led to grain Zn concentration around this threshold. All of this reveals that the antagonistic effect of P applied as BBFs is lower with BBFs than with soluble mineral fertilizers. This agrees with previous evidence showing no antagonism between P and Zn when organic fertilizers are used [44]. In any case, the potential effect of P supply on Zn uptake cannot be separated from the availability status of P and Zn in soil [15]. In soils poor in P and Zn, the joint supply of both P and Zn has been shown to enhance Zn biofortification in cereals [45]. Our results reveal that not only the P supply but also the form of P supplied is relevant to explaining the interaction between P and Zn. Moreover, plant internal regulations on the transport of P and Zn from roots to shoots are relevant factors explaining potential antagonism between both nutrients [14], and these internal regulations can be affected by the supply of organic fertilizers [46]. Finally, the effects of BBFs on the rhizospheric microbiome as a result of organic C supply can contribute to increased Zn accumulation in plants when P fertilizer is applied [34].
It is also interesting to note that with SP, an antagonism between Zn and Fe in sunflower was observed, but the same was not observed in wheat. Thus, it seems that the antagonism is not evident in crops that efficiently mobilize soil Fe [39]. Interestingly, this antagonism was not observed with BBFs in either of the two crops. Moreover, the concentration of Fe in grains correlated with that of Zn in wheat with BBFs. Thus, it appears that the additional input of Zn and Fe from these products mitigates this negative interaction and may have benefits for both Zn and Fe accumulation in the edible parts of the crops. This is consistent with previous research showing that the co-application of Zn and Fe increases the concentration of both nutrients in wheat grains [47]. It is noteworthy that Zn concentration in grain/seed was correlated with that in the straw only with SP, unlike in the case of Fe. This reveals different transport and accumulation patterns between both nutrients [48], which may be affected by fertilization treatments. In this regard, Zn accumulation in grains relative to other organs can be enhanced by additional supply of N with some BBFs [49]. Furthermore, changes in the homeostasis of this nutrient can occur due to the supply of organic matter and the inoculation with microorganisms that can alter the distribution of Zn between wheat grains and straw, as well as the P:Zn ratio in the grains [46]. This can be promoted by certain BBFs, which provide organic C and contribute to changes in soil microbial communities [32]. Thus, physiological effects on plants ascribed to the supply of organic matter and subsequent changes in the soil microbial communities after BBFs application cannot be ruled out.
The increased Zn availability to plants by some BBFs also explained their effect on Zn concentration in the straw in both crops. This concentration was higher in the carbonate-rich soil (Type 2) than in the Fe oxide-rich soil (Type 1). This implies a higher grain–straw Zn concentration ratio in the Fe-oxide rich soil and contributes to explaining the differences in the P:Zn ratio in straw between the soils. At basic pH, Zn adsorption onto oxides is almost irreversible [50,51], constraining the availability of Zn supplied to plants. However, with this decreased Zn availability in the Fe oxide-rich soil, there is no decreased accumulation in grain. Thus, it seems that soil factors limiting Zn availability affect its transport and accumulation in the different plant organs, likely to preserve the accumulation in reproductive organs. This agrees with previous evidence indicating Zn remobilization from vegetative organs to wheat grains when its supply is not ample [52].

4.4. Practical Recommendations

Some BBFs, which are efficient P suppliers [3], have positive effects on Zn biofortification and improve the acquisition of this nutrient by crop. This represents an additional benefit in the use of these products as P fertilizers. Furthermore, organic C supplied with some BBFs is positive in terms of improving soil organic C as a major factor involved in soil health. The use of compost and vermicompost rich in organic C has been shown to increase microbial biomass, microbial diversity, and biochemical properties related to nutrient cycling in soils [32,53]. All these are relevant factors involved in soil health and the provision of ecosystem services. The main limitation in the use of efficient BBFs rich in organic C is their low P concentration, which implies the use of high quantities of product per hectare. This entails high transportation cost and could make the practice unprofitable. However, this type of product is considered for use at the farm gate, since its production by farmers is feasible, avoiding high transportation costs. On the other hand, other BBFs have higher P concentration, and transportation costs could be lower. The complex processes sometimes required in their production make the products more expensive. Furthermore, some of these products are still produced on an experimental scale [3,19], so conclusions cannot be drawn about their potential profitability. Moreover, considering rising P fertilizer prices [54], these alternative sources will be necessary in sustainable agriculture and likely profitable. It can be concluded that the economic aspects of using BBFs should take into account not only the P supplied to crops but also the additional benefits regarding biofortification, improved soil health, and the societal benefits derived from circular economic approaches to fertilizer production.

5. Conclusions

Most of the bio-based fertilizers (BBFs) studied increased Zn uptake by crops and its concentration in the edible parts when compared with SP applied at the same P rate. This effect was not dependent on the soil. The supply of Zn and organic C, as well as the dominant P forms in BBFs, were the main factors explaining Zn biofortification. Furthermore, some BBFs also decreased the P:Zn ratio in grains relative to SP, although this effect varied depending on the soil. Thus, in addition to P supply, these products can promote crop biofortification and increase grain quality. However, this positive effect was not observed with Fe. As additional nutritional benefits to crops, BBFs also decreased the antagonism between P and Zn and that between Fe and Zn. In addition, BBFs altered Zn homeostasis. These effects can likely be ascribed to physiological changes in crops promoted by organic matter supply or changes in microbial communities in soils attributed to BBFs.

Author Contributions

Conceptualization, A.D. and J.M.Q.; formal analysis, J.N.-C., R.R. and A.M.G.-L.; resources, A.D.; data curation, J.N.-C.; writing—original draft preparation, J.N.-C.; writing—review and editing, A.D.; supervision, A.D.; project administration, A.D.; funding acquisition, A.D. All authors have read and agreed to the published version of the manuscript.

Funding

This work was funded by the European Union’s Horizon 2020 research and innovation program under grant agreement No. 818309 (LEX4BIO). The results reported in this paper reflect only the authors’ view, and the European Commission is not responsible for any use that may be made of the information it contains. Juan Nieto received a grant (FPU 2021/05875) from the Spanish Ministry of Universities.

Data Availability Statement

Data is available in a public repository.

Conflicts of Interest

The authors declare no conflicts of interest.

Abbreviation

The following abbreviations are used in this manuscript:
BBFsBio-based fertilizers

Appendix A

Table A1. Effects of the different fertilizer treatments on Zn concentration in the straw of both crops and the P-to-Zn ratio in the edible parts of wheat and sunflower straw depending on the soil. An analysis of the combination of both factors has been performed via one-way ANOVA since the interaction between both factors was significant.
Table A1. Effects of the different fertilizer treatments on Zn concentration in the straw of both crops and the P-to-Zn ratio in the edible parts of wheat and sunflower straw depending on the soil. An analysis of the combination of both factors has been performed via one-way ANOVA since the interaction between both factors was significant.
BBFsWheat StrawSunflower StrawWheat GrainSunflower SeedsSunflower Straw
mg Zn kg−1P:Zn Molar Ratio
Soil CaCO3 (Soil Type 2)
C88.0 ab88.6 a85.0 f53.3 fghij6.4 m
SP 25%49.8 cdef66.2 abc115.1 bcdef59 bcdefghij9.4 klm
SP 50%27.3 fghij55.5 cdef128.5 bcdef57.3 defghij10.8 ijklm
SP 100%13.1 ij43.7 cdefgh144.6 bcde61.6 bcdefgh14.9 fghijklm
SP 200%15.8 hij36.0 fghijk167.7 b59.0 cdefghij18.7 defghijk
OHC76.7 abc87.4 a123.1 bcdef49.3 j6.3 m
MSW78.7 ab63.2 abcde100.2 def48.4 j8.9 jklm
HMV46.4 def44.4 cdefgh110.9 bcdef55.8 efghij12.0 ijklm
MD14.3 ij31.7 ghijk163.6 b55.4 efghij19.5 defghi
APP96.0 a80.4 ab105.5 cdef51.8 ghij9.8 jklm
BM73.6 abc89.6 a132.1 bcdef55.2 efghij7.9 lm
PLC41.8 fg42.1 cdefgh123.2 bcdef55.6 efghij16.5 efghijkl
SLA31.7 fghij36.9 efghij118.1 bcdef54.9 efghij18.2 defghijk
SFA67.7 bcde61.3 bcd148.6 bcd51.9 ghij10.7 ijklm
PLA70.9 bcd63.8 bc122.7 bcdef50.7 ij11.0 ijklm
STR39.4 fgh51.6 cdefg150.4 bcdef54.5 fghij13.2 hijklm
Soil Fe oxides (Soil Type 1)
C36.7 fghi43.1 cdefgh129.4 bcdef59.3 cdefghij13.5 ghijklm
SP 25%20.0 ghij33.5 fghijk142.3 bcdef62.1 bcdefghi17.8 defghijkl
SP 50%13.6 ij28.1 hijk159.8 bc66.8 bcd22.5 defg
SP 100%8.7 j18.2 ijk235.6 a70.2 b33.9 bc
SP 200%8.6 j13.6 k230.8 a89.5 a44.9 a
OHC23.3 fghij33.8 fghijk126.9 bcdef55.8 efghij13.8 ghijklm
MSW37.5 fghi30.6 ghijk94.9 def55.2 efghij18.8 defghij
HMV18.7 ghij23.9 hijh90.6 ef58.6 cdefghij25.9 cde
MD10.5 j13.8 jk159.7 bc65.6 bcde45.0 a
APP42.8 efg49.0 cdefgk124.6 bcdef55.1 efghij13.1 ghijklm
BM29.9 fghij40.6 defghi123.1 bcdef63.7 bcdef17.4 defghijk
PLC14.0 ij17.9 ijk162.2 bc62.8 bcdefg38.3 ab
SLA19.7 ghij15.3 jk129.1 bcdef68.6 bc35.7 ab
SFA29.8 fghij24.6 hijk97.3 def58.8 cdefghij23.7 def
PLA30.2 fghij27.9 hijk131.4 bcdef57.8 defghij21.7 defgh
STR18.7 ghij25.4 hijk166.8 b60.9 bcdefgh26.2 cd
SP, superphosphate; OHC, olive husk compost; MSW, municipal solid waste compost; HMV, horse manure vermicompost; MD, maize digestates; APP, animal and plants mixed pellets; BM, bone meal; PLC, poultry litter compost; SLA, sewage sludge ashes; SFA, sunflower by-products ashes; PLA, poultry litter ashes; STR, struvite. Means with different letters are significantly different according to the Tukey test (p-value < 0.05).

References

  1. Chojnacka, K.; Moustakas, K.; Witek-Krowiak, A. Bio-based fertilizers: A practical approach towards circular economy. Bioresour. Technol. 2022, 295, 122223. [Google Scholar] [CrossRef] [PubMed]
  2. Brownlie, W.J.; Sutton, M.A.; Heal, K.V.; Reay, D.S.; Spears, B. Our Phosphorus Future: Towards Global Phosphorus Sustainability; UK Centre for Ecology & Hydrology: Edinburgh, UK, 2022. [Google Scholar]
  3. Hernandez-Mora, A.; Duboc, O.; Lombi, E.; Bünemann, E.K.; Ylivainio, K.; Symanczik, S.; Delgado, A.; Abu Zahra, N.; Nikama, J.; Zuin, L.; et al. Fertilization efficiency of thirty marketed and experimental recycled phosphorus fertilizers. J. Clean. Prod. 2024, 467, 142957. [Google Scholar] [CrossRef]
  4. Imran. Integration of organic, inorganic and bio fertilizer, improve maize-wheat system productivity and soil nutrients. J. Plant Nutr. 2024, 47, 2494–2510. [Google Scholar] [CrossRef]
  5. Jiang, L.; Strobbe, S.; Van Der Straeten, D.; Zhang, C. Regulation of plant vitamin metabolism: Backbone of biofortification for the alleviation of hidden hunger. Mol. Plant 2021, 14, 40–60. [Google Scholar] [CrossRef]
  6. Teklu, D.; Gashu, D.; Joy, E.J.; Amede, T.; Broadley, M.R. Effectiveness of agronomic biofortification strategy in fighting against hidden hunger. Agronomy 2023, 13, 2173. [Google Scholar] [CrossRef]
  7. Hui, X.; Luo, L.; Chen, Y.; Palta, J.A.; Wang, Z. Zinc agronomic biofortification in wheat and its drivers: A global meta-analysis. Nat. Commun. 2025, 16, 3913. [Google Scholar] [CrossRef]
  8. Mahmood, S.; Ahmad, M.Q.; Saleem, A.; Ali, H.M.W.; Rehman, H.M.; Saleem, M.A.; Azhar, M.T.; Qayyum, A. Agronomic and genetic biofortification of wheat: Progress and limitations. In Biofortification of Grain and Vegetable Crops; Academic Press: Cambridge, MA, USA, 2024; pp. 81–95. [Google Scholar] [CrossRef]
  9. Gupta, O.P.; Singh, A.K.; Singh, A.; Singh, G.P.; Bansal, K.C.; Datta, S.K. Wheat biofortification: Utilizing natural genetic diversity, genome-wide association mapping, genomic selection, and genome editing technologies. Front. Nutr. 2022, 9, 826131. [Google Scholar] [CrossRef]
  10. Herencia, J.F.; Ruiz, J.C.; Morillo, E.; Melero, S.; Villaverde, J.; Maqueda, C. The effect of organic and mineral fertilizationon micronutrient availability in soil. Soil Sci. 2008, 173, 69–80. [Google Scholar] [CrossRef]
  11. Bhat, M.A.; Mishra, A.K.; Shah, S.N.; Bhat, M.A.; Jan, S.; Rahman, S.; Baek, K.-H.; Jan, A.T. Soil and Mineral Nutrients in Plant Health: A Prospective Study of Iron and Phosphorus in the Growth and Development of Plants. Curr. Issues Mol. Biol. 2024, 46, 5194–5222. [Google Scholar] [CrossRef] [PubMed]
  12. De Santiago, A.; Delgado, A. Predicting iron chlorosis of lupin in calcareous Spanish soils from iron extracts. Soil Sci. Soc. Am. J. 2006, 70, 1945–1950. [Google Scholar] [CrossRef]
  13. De Santiago, A.; García-López, A.M.; Quintero, J.M.; Avilés, M.; Delgado, A. Effect of Trichoderma asperellum strain T34 and glucose addition on iron nutrition in cucumber grown on calcareous soils. Soil Biol. Biochem. 2013, 57, 598–605. [Google Scholar] [CrossRef]
  14. Nadeem, F.; Abbas, S.; Waseem, F.; Ali, N.; Mahmood, R.; Bibi, S.; Deng, L.; Wang, R.; Zhong, Y.; Li, X. Phosphorus (P) and Zinc (Zn) nutrition constraints: A perspective of linking soil application with plant regulations. Environ. Exp. Bot. 2024, 226, 105875. [Google Scholar] [CrossRef]
  15. Recena, R.; García-López, A.M.; Delgado, A. Zinc uptake by plants as affected by fertilization with Zn sulfate, phosphorus availability, and soil properties. Agronomy 2021, 11, 390. [Google Scholar] [CrossRef]
  16. Molnár, Z.; Solomon, W.; Mutum, L.; Janda, T. Understanding the mechanisms of Fe deficiency in the rhizosphere to promote plant resilience. Plants 2023, 12, 1945. [Google Scholar] [CrossRef]
  17. Montgomery, D.R.; Biklé, A. Soil Health and Nutrient Density: Beyond Organic vs. Conventional Farming. Front. Sustain. Food Syst. 2021, 5, 699147. [Google Scholar] [CrossRef]
  18. Li, Y.; Gong, X. Effects of dissolved organic matter on the bioavailability of heavy metals during microbial dissimilatory iron reduction: A review. Rev. Environ. Contam. Toxicol. 2021, 257, 69–92. [Google Scholar] [CrossRef]
  19. Frick, H.; Bünemann, E.K.; Hernandez-Mora, A.; Eigner, H.; Geyer, S.; Duboc, O.; Santner, J.; Recena, R.; Delgado, A.; D’Oria, A.; et al. Bio-based fertilisers can replace conventional inorganic P fertilisers under European pedoclimatic conditions. Field Crops Res. 2025, 325, 109803. [Google Scholar] [CrossRef]
  20. Müller, B.; Wester-Larsen, L.; Jensen, L.S.; Salo, T.; Garrido, R.; Arkoun, M.; D’Oria, A.; Lewandoski, I.; Müller, T.; Bauerle, A. Agronomic performance of novel, nitrogen-rich biobased fertilizers across European field trial sites. Field Crops Res. 2024, 316, 109486. [Google Scholar] [CrossRef]
  21. Soil Survey Staff. Keys to Soil Taxonomy, 11th ed.; USDA-NRCS: Washington, DC, USA, 2010.
  22. Gee, G.W.; Bauder, J.W. Particle size analysis. In Methods of Soil Analysis, Part 1, 2nd ed.; Agronomy Monogr. No. 9; ASA: Madison, WI, USA, 1986; pp. 383–411. [Google Scholar]
  23. Walkley, A.J.; Black, I.A. Estimation of soil organic carbon by the chromic acid titration method. Soil Sci. 1934, 37, 29–38. [Google Scholar] [CrossRef]
  24. Sumner, M.E.; Miller, W.P. Cation Exchange Capacity and Exchange Coefficients. In Methods of Soil Analysis Part 3: Chemical Methods; SSSA Book Series 5; Soil Science Society of America: Madison, WI, USA, 1996; pp. 1201–1230. [Google Scholar]
  25. Olsen, S.R. Estimation of Available Phosphorus in Soils by Extraction with Sodium Bicarbonate; No. 939; US Department of Agriculture: Washington, DC, USA, 1954.
  26. Murphy, J.; Riley, J.P. A modified single solution method for the determination of phosphate in natural waters. Anal. Chim. Acta 1962, 27, 31–36. [Google Scholar] [CrossRef]
  27. De Morais, E.G.; Silva, C.A.; Maluf, H.J.G.M.; Paiva, I.D.O.; De Paula, L.H. How Do NPK-Organomineral Fertilizers Affect the Soil Availability and Uptake of Iron, Manganese, Copper, and Zinc by Maize Cultivated in Red and Yellow Oxisols? J. Soil Sci. Plant Nutr. 2023, 23, 6284–6298. [Google Scholar] [CrossRef]
  28. Samoraj, M.; Izydorczyk, G.; Krawiec, P.; Moustakas, K.; Chojnacka, K. Biomass-based micronutrient fertilizers and biofortification of raspberries fruits. Environ. Res. 2022, 215, 114304. [Google Scholar] [CrossRef] [PubMed]
  29. Hussain, A.; Zahir, Z.A.; Ditta, A.; Tahir, M.U.; Ahmad, M.; Mumtaz, M.Z.; Hayat, K.; Hussain, S. Production and Implication of Bio-Activated Organic Fertilizer Enriched with Zinc-Solubilizing Bacteria to Boost up Maize (Zea mays L.) Production and Biofortification under Two Cropping Seasons. Agronomy 2020, 10, 39. [Google Scholar] [CrossRef]
  30. Li, J.; Otero-Gonzalez, L.; Lens, P.N.; Ferrer, I.; Du Laing, G. Assessment of selenium and zinc enriched sludge and duckweed as slow-release micronutrient biofertilizers for Phaseolus vulgaris growth. J. Environ. Manag. 2022, 324, 116397. [Google Scholar] [CrossRef]
  31. Chen, Y.; Shi, J.; Dong, J.; Wu, Y.; Li, C.; Ye, Y.; Tian, X.; Wang, Y. Synergistic improvement of soil organic carbon storage and wheat grain zinc bioavailability by straw return in combination with Zn application on the Loess Plateau of China. Catena 2021, 197, 104920. [Google Scholar] [CrossRef]
  32. Nieto-Cantero, J.; García-López, A.M.; Recena, R.; Quintero, J.M.; Delgado, A. Recycling Manure as Vermicompost: Assessing Phosphorus Fertilizer Efficiency and Effects on Soil Health Under Different Soil Management. J. Soil Sci. Plant Nutr. 2025, 1–16. [Google Scholar] [CrossRef]
  33. Moreno-Lora, A.; Delgado, A. Factors determining Zn availability and uptake by plants in soils developed under Mediterranean climate. Geoderma 2020, 376, 114509. [Google Scholar] [CrossRef]
  34. Yang, J.; Wang, R.; Xu, J.; Guo, Z.; Liu, C.; Chen, Y.; Shi, M.; Wang, Z. Mitigating phosphorus–zinc antagonism in calcareous soils through the interaction of high–zinc wheat and the rhizospheric microbiome. Field Crops Res. 2025, 322, 109762. [Google Scholar] [CrossRef]
  35. Marolt, G.; Gričar, E.; Pihlar, B.; Kolar, M. Complex formation of phytic acid with selected monovalent and divalent metals. Front. Chem. 2020, 8, 582746. [Google Scholar] [CrossRef]
  36. García-López, A.M.; Recena, R.; Delgado, A. Effect of Zn binding to phytate and humic substances on its uptake by wheat (Triticum durum L.) as affected by carbonates and Fe oxides. Pedosphere 2022, 32, 823–832. [Google Scholar] [CrossRef]
  37. Delgado, A.; Torrent, J. Phosphorus forms and desorption patterns in heavily fertilized calcareous and limed acid soils. Soil Sci. Soc. Am. J. 2000, 64, 2031–2037. [Google Scholar] [CrossRef]
  38. Liu, H.; Yang, L.; Guo, J.; Yang, J.; Li, N.; Dai, J.; Feng, H.; Liu, N.; Han, X. Contrasting effects of nitrogen and organic fertilizers on iron dynamics in soil after 38–year fertilization practice. Agronomy 2023, 13, 371. [Google Scholar] [CrossRef]
  39. Martín-Barranco, A.; Thomine, S.; Vert, G.; Zelazny, E. A quick journey into the diversity of iron uptake strategies in photosynthetic organisms. Plant Signal. Behav. 2021, 16, 1975088. [Google Scholar] [CrossRef]
  40. De Santiago, A.; Díaz, I.; Del Campillo, M.D.C.; Torrent, J.; Delgado, A. Predicting the Incidence of Iron Deficiency Chlorosis from Hydroxylamine-Extractable Iron in Soil. Soil Sci. Soc. Am. J. 2008, 72, 1493–1499. [Google Scholar] [CrossRef]
  41. De Santiago, A.; Delgado, A. Effects of humic substances on iron nutrition of lupin. Biol. Fertil. Soils 2007, 43, 829–836. [Google Scholar] [CrossRef]
  42. Delgado, A.; Scalenghe, R. Aspects of phosphorus transfer from soils in Europe. J. Soil Sci. Plant Nutr. 2008, 171, 552–575. [Google Scholar] [CrossRef]
  43. Rehman, A.; Farooq, M.; Ozturk, L.; Asif, M.; Siddique, K.H.M. Zinc nutrition in wheat-based cropping systems. Plant Soil. 2018, 422, 283–315. [Google Scholar] [CrossRef]
  44. Kuziemska, B.; Klej, P.; Wysokinski, A.; Rudziński, R. Effect of Zinc along with Organic Fertilizers on Phosphorus Uptake and Use Efficiency by Cocksfoot (Dactylis glomerata L.). Agriculture 2022, 12, 1424. [Google Scholar] [CrossRef]
  45. Amanullah; Inamullah; Alwahibi, M.S.; Elshikh, M.S.; Alkahtani, J.; Muhammad, A.; Khalid, S.; Imran; Ahmad, M.; Khan, N.; et al. Phosphorus and Zinc Fertilization Improve Zinc Biofortification in Grains and Straw of Coarse vs. Fine Rice Genotypes. Agronomy 2020, 10, 1155. [Google Scholar] [CrossRef]
  46. Moreno-Lora, A.; Velasco-Sánchez, A.; Delgado, A. Effects of microbial inoculants and organic amendments on wheat nutrition and development in a variety of soils. J. Soil Sci. Plant Nutr. 2023, 23, 3329–3342. [Google Scholar] [CrossRef]
  47. Ram, S.; Malik, V.K.; Gupta, V.; Narwal, S.; Sirohi, M.; Ankush; Pandey, V.; Gupta, O.P.; Misra, A.K.; Singh, G. Impact of foliar application of iron and zinc fertilizers on grain iron, zinc, and protein contents in bread wheat (Triticum aestivum L.). Front. Nutr. 2024, 11, 1378937. [Google Scholar] [CrossRef] [PubMed]
  48. Yoneyama, T.; Ishikawa, S.; Fujimaki, S. Route and Regulation of Zinc, Cadmium, and Iron Transport in Rice Plants (Oryza sativa L.) during Vegetative Growth and Grain Filling: Metal Transporters, Metal Speciation, Grain Cd Reduction and Zn and Fe Biofortification. Int. J. Mol. Sci. 2015, 16, 19111–19129. [Google Scholar] [CrossRef]
  49. Singh, B.R.; Timsina, Y.N.; Lind, O.C.; Cagno, S.; Janssens, K. Zinc and iron concentration as affected by nitrogen fertilization and their localization in wheat grain. Front. Plant Sci. 2018, 9, 307. [Google Scholar] [CrossRef] [PubMed]
  50. Buekers, J.; Degryse, F.; Maes, A.; Smolders, E. Modelling the effects of ageing on Cd, Zn, Ni and Cu solubility in soils using an assemblage model. Eur. J. Soil Sci. 2008, 59, 1160–1170. [Google Scholar] [CrossRef]
  51. Buekers, J.; Van Laer, L.; Amery, F.; Van Buggenhout, S.; Maes, A.; Smolders, E. Role of soil constituents in fixation of soluble Zn, Cu, Ni and Cd added to soils. Eur. J. Soil Sci. 2007, 58, 1514–1524. [Google Scholar] [CrossRef]
  52. Waters, B.M.; Uauy, C.; Dubcovsky, J.; Grusak, M.A. Wheat (Triticum aestivum) NAM proteins regulate the translocation of iron, zinc, and nitrogen compounds from vegetative tissues to grain. J. Exp. Bot. 2009, 60, 4263–4274. [Google Scholar] [CrossRef] [PubMed]
  53. Moreno, M.T.; Carmona, E.; De Santiago, A.; Ordovás, J.; Delgado, A. Olive husk compost improves the quality of intensively cultivated agricultural soils. Land Degrad. Dev. 2016, 27, 449–459. [Google Scholar] [CrossRef]
  54. Recena, R.; García-López, A.M.; Quintero, J.M.; Skyttä, A.; Ylivainio, K.; Santner, J.; Buenemann, E.; Delgado, A. Assessing the phosphorus demand in European agricultural soils based on the Olsen method. J. Clean. Prod. 2022, 379, 134749. [Google Scholar] [CrossRef]
Figure 1. Effect of the different fertilizer treatments on Fe concentration in wheat grains (a) and sunflower seeds (b). Means are averaged across both soils since the interaction between fertilizer treatment and soil was not significant. SP, superphosphate (the percentage indicates the rate relative to 50 mg kg−1, which is considered 100%); OHC, olive husk compost; MSW, municipal solid waste compost; HMV, horse manure compost; MD, maize digestates; APP, animal and plants mixed pellets; BM, bone meal; PLC, poultry litter compost; SLA, sewage sludge ashes; SFA, sunflower by-products ashes; PLA, poultry litter ashes; STR, struvite. Treatments in blue represent the superphosphate treatments, where the intensity of the color increases with increasing doses of P. Different letters indicate significant differences according to the Tukey test (p-value < 0.05 for both wheat and sunflower crops).
Figure 1. Effect of the different fertilizer treatments on Fe concentration in wheat grains (a) and sunflower seeds (b). Means are averaged across both soils since the interaction between fertilizer treatment and soil was not significant. SP, superphosphate (the percentage indicates the rate relative to 50 mg kg−1, which is considered 100%); OHC, olive husk compost; MSW, municipal solid waste compost; HMV, horse manure compost; MD, maize digestates; APP, animal and plants mixed pellets; BM, bone meal; PLC, poultry litter compost; SLA, sewage sludge ashes; SFA, sunflower by-products ashes; PLA, poultry litter ashes; STR, struvite. Treatments in blue represent the superphosphate treatments, where the intensity of the color increases with increasing doses of P. Different letters indicate significant differences according to the Tukey test (p-value < 0.05 for both wheat and sunflower crops).
Agronomy 15 01388 g001
Figure 2. Effect of the different fertilizer treatments on Fe uptake by wheat (a) and sunflower (b). Means are averaged across both soils. SP, superphosphate (the percentage indicates the rate relative to 50 mg kg−1, which is considered 100%); OHC, olive husk compost; MSW, municipal solid waste compost; HMV, horse manure vermicompost; MD, maize digestates; APP, animal and plants mixed pellets; BM, bone meal; PLC, poultry litter compost; SLA, sewage sludge ashes; SFA, sunflower by-products ashes; PLA, poultry litter ashes; STR, struvite. Treatments in blue represent the superphosphate treatments, where the intensity of the color increases with increasing doses of P. Different letters indicate significant differences according to the Tukey test (p-value < 0.05).
Figure 2. Effect of the different fertilizer treatments on Fe uptake by wheat (a) and sunflower (b). Means are averaged across both soils. SP, superphosphate (the percentage indicates the rate relative to 50 mg kg−1, which is considered 100%); OHC, olive husk compost; MSW, municipal solid waste compost; HMV, horse manure vermicompost; MD, maize digestates; APP, animal and plants mixed pellets; BM, bone meal; PLC, poultry litter compost; SLA, sewage sludge ashes; SFA, sunflower by-products ashes; PLA, poultry litter ashes; STR, struvite. Treatments in blue represent the superphosphate treatments, where the intensity of the color increases with increasing doses of P. Different letters indicate significant differences according to the Tukey test (p-value < 0.05).
Agronomy 15 01388 g002
Figure 3. Effect of the different fertilizer treatments on the P:Fe molar ratio in wheat grains (a) and in sunflower seeds (b). Means are averaged across both soils since the interaction between fertilizer treatments and soil was not significant; SP, superphosphate (the percentage indicates the rate relative to 50 mg kg−1, which is considered 100%); OHC, olive husk compost; MSW, municipal solid waste compost; HMV, horse manure vermicompost; MD, maize digestates; APP, animal and plants mixed pellets; BM, bone meal; PLC, poultry litter compost; SLA, sewage sludge ashes; SFA, sunflower by-products ashes; PLA, poultry litter ashes; STR, struvite. Treatments in blue represent the superphosphate treatments, where the intensity of the color increases with increasing doses of P. Different letters indicate significant differences according to the Tukey test (p-value < 0.05 for both wheat and sunflower crops).
Figure 3. Effect of the different fertilizer treatments on the P:Fe molar ratio in wheat grains (a) and in sunflower seeds (b). Means are averaged across both soils since the interaction between fertilizer treatments and soil was not significant; SP, superphosphate (the percentage indicates the rate relative to 50 mg kg−1, which is considered 100%); OHC, olive husk compost; MSW, municipal solid waste compost; HMV, horse manure vermicompost; MD, maize digestates; APP, animal and plants mixed pellets; BM, bone meal; PLC, poultry litter compost; SLA, sewage sludge ashes; SFA, sunflower by-products ashes; PLA, poultry litter ashes; STR, struvite. Treatments in blue represent the superphosphate treatments, where the intensity of the color increases with increasing doses of P. Different letters indicate significant differences according to the Tukey test (p-value < 0.05 for both wheat and sunflower crops).
Agronomy 15 01388 g003
Figure 4. Effect of the different fertilizer treatments on Zn concentration in wheat grains (a) and sunflower seeds (b). Means are averaged across both soils since the interaction between fertilizer treatments and soil was not significant; SP, superphosphate (the percentage indicates the rate relative to 50 mg kg−1, which is considered 100%); OHC, olive husk compost; MSW, municipal solid waste compost; HMV, horse manure vermicompost; MD, maize digestates; APP, animal and plants mixed pellets; BM, bone meal; PLC, poultry litter compost; SLA, sewage sludge ashes; SFA, sunflower by-products ashes; PLA, poultry litter ashes; STR, struvite. Treatments in blue represent the superphosphate treatments, where the intensity of the color increases with increasing doses of P. Different letters indicate significant differences according to the Tukey test (p-value < 0.05 for both wheat and sunflower crops).
Figure 4. Effect of the different fertilizer treatments on Zn concentration in wheat grains (a) and sunflower seeds (b). Means are averaged across both soils since the interaction between fertilizer treatments and soil was not significant; SP, superphosphate (the percentage indicates the rate relative to 50 mg kg−1, which is considered 100%); OHC, olive husk compost; MSW, municipal solid waste compost; HMV, horse manure vermicompost; MD, maize digestates; APP, animal and plants mixed pellets; BM, bone meal; PLC, poultry litter compost; SLA, sewage sludge ashes; SFA, sunflower by-products ashes; PLA, poultry litter ashes; STR, struvite. Treatments in blue represent the superphosphate treatments, where the intensity of the color increases with increasing doses of P. Different letters indicate significant differences according to the Tukey test (p-value < 0.05 for both wheat and sunflower crops).
Agronomy 15 01388 g004
Figure 5. Effect of the different fertilizer treatments in each soil on the Zn concentration in wheat straw (a) and sunflower straw (b) fertilized with the different products evaluated. SP, superphosphate (the percentage indicates the rate relative to 50 mg kg−1, which is considered 100%); OHC, olive husk compost; MSW, municipal solid waste compost; HMV, horse manure vermicompost; MD, maize digestates; AP3P, animal and plants mixed pellets; BM, bone meal; PLC, poultry litter compost; SLA, sewage sludge ashes; SFA, sunflower by-products ashes; PLA, poultry litter ashes; STR, struvite. Treatments in blue represent the superphosphate treatments, where the intensity of the color increases with growing doses of P. Mean comparison according to the joint analysis of both factors is shown in Table A1.
Figure 5. Effect of the different fertilizer treatments in each soil on the Zn concentration in wheat straw (a) and sunflower straw (b) fertilized with the different products evaluated. SP, superphosphate (the percentage indicates the rate relative to 50 mg kg−1, which is considered 100%); OHC, olive husk compost; MSW, municipal solid waste compost; HMV, horse manure vermicompost; MD, maize digestates; AP3P, animal and plants mixed pellets; BM, bone meal; PLC, poultry litter compost; SLA, sewage sludge ashes; SFA, sunflower by-products ashes; PLA, poultry litter ashes; STR, struvite. Treatments in blue represent the superphosphate treatments, where the intensity of the color increases with growing doses of P. Mean comparison according to the joint analysis of both factors is shown in Table A1.
Agronomy 15 01388 g005
Figure 6. Effect of the different fertilizer treatments on the Zn uptake by wheat (a) and sunflower (b). Means are averaged across both soils since the interaction between fertilizer treatments and soil was not significant; SP, superphosphate (the percentage indicates the rate relative to 50 mg kg−1, which is considered 100%); OHC, olive husk compost; MSW, municipal solid waste compost; HMV, horse manure vermicompost; MD, maize digestates; APP, animal and plants mixed pellets; BM, bone meal; PLC, poultry litter compost; SLA, sewage sludge ashes; SFA, sunflower by-products ashes; PLA, poultry litter ashes; STR, struvite. Treatments in blue represent the superphosphate treatments, where the intensity of the color increases with increasing doses of P. Different letters indicate significant differences according to the Tukey test (p-value < 0.05).
Figure 6. Effect of the different fertilizer treatments on the Zn uptake by wheat (a) and sunflower (b). Means are averaged across both soils since the interaction between fertilizer treatments and soil was not significant; SP, superphosphate (the percentage indicates the rate relative to 50 mg kg−1, which is considered 100%); OHC, olive husk compost; MSW, municipal solid waste compost; HMV, horse manure vermicompost; MD, maize digestates; APP, animal and plants mixed pellets; BM, bone meal; PLC, poultry litter compost; SLA, sewage sludge ashes; SFA, sunflower by-products ashes; PLA, poultry litter ashes; STR, struvite. Treatments in blue represent the superphosphate treatments, where the intensity of the color increases with increasing doses of P. Different letters indicate significant differences according to the Tukey test (p-value < 0.05).
Agronomy 15 01388 g006
Figure 7. Effect of the different fertilizer treatments in each soil on the P:Zn molar ratio in wheat grains (a), sunflower seeds (b), and sunflower straw (c). SP, superphosphate (the percentage indicates the rate relative to 50 mg kg−1, which is considered 100%); OHC, olive husk compost; MSW, municipal solid waste compost; HMV, horse manure vermicompost; MD, maize digestates; APP, animal and plants mixed pellets; BM, bone meal; PLC, poultry litter compost; SLA, sewage sludge ashes; SFA, sunflower by-products ashes; PLA, poultry litter ashes; STR, struvite. Interaction in both crops was significant (p-value < 0.05). Treatments in blue represent the superphosphate treatments, where the intensity of the color increases with increasing doses of P. Mean comparison according to the joint analysis of both factors are shown in Table A1.
Figure 7. Effect of the different fertilizer treatments in each soil on the P:Zn molar ratio in wheat grains (a), sunflower seeds (b), and sunflower straw (c). SP, superphosphate (the percentage indicates the rate relative to 50 mg kg−1, which is considered 100%); OHC, olive husk compost; MSW, municipal solid waste compost; HMV, horse manure vermicompost; MD, maize digestates; APP, animal and plants mixed pellets; BM, bone meal; PLC, poultry litter compost; SLA, sewage sludge ashes; SFA, sunflower by-products ashes; PLA, poultry litter ashes; STR, struvite. Interaction in both crops was significant (p-value < 0.05). Treatments in blue represent the superphosphate treatments, where the intensity of the color increases with increasing doses of P. Mean comparison according to the joint analysis of both factors are shown in Table A1.
Agronomy 15 01388 g007
Table 1. Properties of the soils used in the study.
Table 1. Properties of the soils used in the study.
SoilSandLoamClaySOCCCEpHCECOlsen PFeZnFeox
% cmolc kg−1 mg kg−1g kg−1
Type 16017230.516.88.3710.38.58.42.27.6
Type 22947240.6857.28.299.66.493.33.2
SOC, soil organic carbon; CCE, Ca carbonate equivalent; CEC, cation exchange capacity; Fe, DTPA-extractable Fe; Zn, DTPA-extractable Zn; Feox, Fe in oxides.
Table 2. Composition of BBFs evaluated in the experiment: dry mass and total content of nutrients.
Table 2. Composition of BBFs evaluated in the experiment: dry mass and total content of nutrients.
BBFsDry MassCNPFeZn
%g kg−1mg kg−1
OHC90.241318.621.83.831.2
MSW81.534716.733.44.5264.9
HMV76.326121.976.96.2146.7
MD90.447855.013.60.2119.5
APP91.7123724.967.41.96130
BM97.637481.2563.40.2 89.7
PLC84.937231.519.61.4375
SLA1001.00.580.591.91635
SFA97.15.71.319.51.8299.5
PLA92.16.10.152.34.91946.5
STR54.84.0101227.55.64.2
OHC, olive husk compost; MSW, municipal solid waste compost; HMV, horse manure vermicompost; MD, maize digestates; APP, animal and plants mixed pellets; BM, bone meal; PLC, poultry litter compost; SLA, sewage sludge ashes; SFA, sunflower by-products ashes; PLA, poultry litter ashes; STR, struvite.
Table 3. Effect of the different fertilizer treatments averaged across both soils (the interaction was not significant) on the concentration of Fe and on the P:Fe ratio of wheat and sunflower straw.
Table 3. Effect of the different fertilizer treatments averaged across both soils (the interaction was not significant) on the concentration of Fe and on the P:Fe ratio of wheat and sunflower straw.
Fe ConcentrationP:Fe
mg kg−1Molar Ratio
BBFsWheatSunflowerWheatSunflower
C64.7 ab49.4 bc7.9 bc11.2 ab
SP 25%102.2 ab46.7 bc10.9 bc11.5 ab
SP 50%66.9 ab58.1 ab9.9 bc10.4 abc
SP 100%109.2 a71.8 ab5.8 c7.8 bc
SP 200%63.1 abc67.3 ab12.4 bc8.8 bc
OHC29.9 c33.4 c38.0 a13.0 a
MSW75.1 ab60.6 ab13.7 abc9.5 abc
HMV60.9 abc57.3 abc15.3 abc9.3 abc
MD58.9 abc57.3 ab15.5 abc9.5 abc
APP74.7 ab70.7 ab14.9 abc9.2 abc
BM51.3 abc57.0 ab20.6 ab10.1 abc
PLC76.8 ab65.7 ab12.1 bc9.3 abc
SLA42.7 bc56.7 ab24.8 ab8.4 bc
SFA92.9 ab64.8 ab19.2 abc8.6 bc
PLA51.2 abc59.0 ab19.7 abc9.7 abc
STR75.3 abc81.3 a27.8 ab7.3 c
SP, superphosphate (the percentage indicates the rate relative to 50 mg kg−1 which is considered 100%); OHC, olive husk compost; MSW, municipal solid waste compost; HMV, horse manure vermicompost; MD, maize digestates; APP, animal and plants mixed pellets; BM, bone meal; PLC, poultry litter compost; SLA, sewage sludge ashes; SFA, sunflower by-products ashes; PLA, poultry litter ashes; STR, struvite. Different letters indicate significant differences according to the Tukey test (p-value < 0.05).
Table 4. Effect of the different fertilizer treatments averaged across both soils (the interaction was not significant) on the P:Zn ratios in wheat straw.
Table 4. Effect of the different fertilizer treatments averaged across both soils (the interaction was not significant) on the P:Zn ratios in wheat straw.
BBFsP:Zn
Molar Ratio
C11.9 h
SP 25%34.1 cdefg
SP 50%34.3 abcdef
SP 100%57.4 abc
SP 200%69.0 a
OHC47.9 abcdef
MSW21.0 fgh
HMV26.8 defg
MD65.6 a
APP17.0 gh
BM23.0 defgh
PLC41.1 abcde
SLA44.0 abcd
SFA35.9 bcdefg
PLA21.1 efgh
STR64.0 ab
SP, superphosphate (the percentage indicates the rate relative to 50 mg kg−1, which is considered 100 %); OHC, olive husk compost; MSW, municipal solid waste compost; HMV, horse manure vermicompost; MD, maize digestates; APP, animal and plants mixed pellets; BM, bone meal; PLC, poultry litter compost; SLA, sewage sludge ashes; SFA, sunflower by-products ashes; PLA, poultry litter ashes; STR, struvite. Different letters indicate significant differences according to the Tukey test (p-value < 0.05).
Table 5. Pearson’s correlation coefficients between nutritional variables studied (P, Fe, and Zn concentration in grains and straws, as well as uptake by plants) for wheat and sunflower in both studied soils.
Table 5. Pearson’s correlation coefficients between nutritional variables studied (P, Fe, and Zn concentration in grains and straws, as well as uptake by plants) for wheat and sunflower in both studied soils.
Wheat
Soil Type 1
P_GFe_GZn_GP_SFe_SZn_SP uptFe uptZn upt
P_G −0.180.76−0.06−0.270.90 *−0.35−0.590.87
Fe_G0.60 −0.50−0.16−0.55−0.360.89 *−0.13−0.12
Zn_G0.460.79 ** 0.02−0.340.97 **−0.74−0.580.91 *
P_S0.440.64 *0.73 * 0.45−0.050.130.72−0.01
Fe_S0.210.280.580.24 −0.39−0.120.79−0.57
Zn_S−0.160.110.340.130.23 −0.61−0.660.96 **
P upt−0.12−0.03−0.41−0.44−0.250.12 0.30−0.41
Fe upt−0.69 *−0.28−0.48−0.40−0.290.020.52 −0.69
Zn upt−0.210.160.220.35−0.040.450.350.46
Soil Type 2
P_GFe_GZn_GP_SFe_SZn_SP uptFe uptZn upt
P_G 0.480.520.99 **−0.010.15−0.43−0.760.14
Fe_G0.53 −0.380.600.54−0.680.470.12−0.62
Zn_G0.66 *0.72 * 0.42−0.100.91 *−0.99 ***−0.630.91 *
P_S0.520.230.35 0.070.05−0.31−0.670.05
Fe_S−0.090.150.04−0.26 −0.230.120.63−0.08
Zn_S0.10−0.010.110.190.04 −0.93 *−0.450.99
P upt−0.48−0.22−0.71 *−0.430.110.03 0.58−0.93 *
Fe upt−0.550.19−0.25−0.350.290.220.60 * −0.35
Zn upt0.130.63 *0.570.080.050.37−0.030.55
Sunflower
Soil Type 1
P_GFe_GZn_GP_SFe_SZn_SP uptFe uptZn upt
P_G −0.500.620.05−0.150.53−0.83−0.380.62
Fe_G0.24 −0.490.20−0.10−0.220.440.23−0.42
Zn_G0.060.34 −0.75−0.220.96 *−0.99 **−0.570.98 **
P_S0.00−0.310.00 0.19−0.770.890.44−0.72
Fe_S−0.28−0.010.250.73 * −0.200.410.91 *−0.08
Zn_S−0.11−0.100.160.460.09 −0.97 *−0.500.97 **
P upt−0.11−0.56−0.63 *0.180.23−0.51 0.69−0.97 *
Fe upt0.60−0.19−0.21−0.22−0.29−0.550.52 −0.43
Zn upt−0.310.370.67 *−0.090.47−0.03−0.36−0.34
Soil Type 2
P_GFe_GZn_GP_SFe_SZn_SP uptFe uptZn upt
P_G −0.310.350.10−0.110.02−0.28−0.18−0.18
Fe_G0.34 0.62−0.75−0.730.90 *−0.79−0.780.22
Zn_G0.65 *0.56 −0.83−0.95 *0.87−0.92 *−0.96 **0.18
P_S0.03−0.22−0.10 0.96 *−0.92 *0.850.92−0.61
Fe_S−0.15−0.05−0.030.71 * −0.94 *0.93 *0.99 **−0.42
Zn_S−0.090.030.130.27−0.20 −0.97 **−0.97 **0.41
P upt0.13−0.66 *−0.48−0.15−0.28−0.31 0.98 **−0.33
Fe upt0.10−0.18−0.13−0.55−0.15−0.71 *0.63 * −0.36
Zn upt−0.510.420.10−0.30−0.030.21−0.66 *−0.36
P_G, Fe_G, and Zn_G, concentration of P, Fe, and Zn, respectively, in grains; P_S, Fe_S, and Zn_S, concentration of P, Fe, and Zn, respectively in straw; P upt, Fe upt, and Zn upt, uptake of P, Fe, and Zn, respectively. Pearson’s correlation coefficients in black refer to superphosphate treatments, while the correlation coefficient in blue indicates Pearson’s correlation coefficient in BBF treatments. Significant correlations (p-value < 0.05) are marked with bold numbers. *, **, ***, significant at p-value < 0.05, 0.01, and 0.001, respectively. Correlation analysis was performed with the average value of the variables of each fertilizer treatment (n = 5 for superphosphate, including non-fertilized control; n = 11 for BBFs).
Disclaimer/Publisher’s Note: The statements, opinions and data contained in all publications are solely those of the individual author(s) and contributor(s) and not of MDPI and/or the editor(s). MDPI and/or the editor(s) disclaim responsibility for any injury to people or property resulting from any ideas, methods, instructions or products referred to in the content.

Share and Cite

MDPI and ACS Style

Nieto-Cantero, J.; García-Lopez, A.M.; Recena, R.; Quintero, J.M.; Delgado, A. Beyond Macronutrients Supply: The Effect of Bio-Based Fertilizers on Iron and Zinc Biofortification of Crops. Agronomy 2025, 15, 1388. https://doi.org/10.3390/agronomy15061388

AMA Style

Nieto-Cantero J, García-Lopez AM, Recena R, Quintero JM, Delgado A. Beyond Macronutrients Supply: The Effect of Bio-Based Fertilizers on Iron and Zinc Biofortification of Crops. Agronomy. 2025; 15(6):1388. https://doi.org/10.3390/agronomy15061388

Chicago/Turabian Style

Nieto-Cantero, Juan, Ana M. García-Lopez, Ramiro Recena, Jose M. Quintero, and Antonio Delgado. 2025. "Beyond Macronutrients Supply: The Effect of Bio-Based Fertilizers on Iron and Zinc Biofortification of Crops" Agronomy 15, no. 6: 1388. https://doi.org/10.3390/agronomy15061388

APA Style

Nieto-Cantero, J., García-Lopez, A. M., Recena, R., Quintero, J. M., & Delgado, A. (2025). Beyond Macronutrients Supply: The Effect of Bio-Based Fertilizers on Iron and Zinc Biofortification of Crops. Agronomy, 15(6), 1388. https://doi.org/10.3390/agronomy15061388

Note that from the first issue of 2016, this journal uses article numbers instead of page numbers. See further details here.

Article Metrics

Back to TopTop