Relationships Between Oat Phenotypes and UAV Multispectral Imagery Under Different Water Deficit Conditions by Structural Equation Modelling
Abstract
1. Introduction
2. Materials and Methods
2.1. Overview of the Study Area
2.2. Experimental Design
2.3. Observation Indicators and Methods
2.3.1. Physical Properties of Soil
2.3.2. Meteorological Data
2.3.3. Soil Water Content
2.3.4. Multispectral Data Collection and Processing
2.3.5. Vegetation Index Calculation
2.3.6. Oat Growth Index
2.4. Model Construction and Data Analysis
2.4.1. Structural Equation Model (SEM)
2.4.2. Machine Learning Models
2.4.3. Data Statistical Analysis
2.5. UAV Data Workflows for SWC: From Image Acquisition to Model Evaluation
- (1)
- Quantify the physiological and agronomic responses of oat crops to water deficit conditions by systematically monitoring temporal variations in plant height (PH), leaf area index (LAI), soil–plant analysis development (SPAD) values, and ultimate grain yield across differential irrigation regimes.
- (2)
- Through the comprehensive correlation analysis of vegetation index and physiological parameters and the structural equation model (SEM), clarify the causal relationship and the relative contribution of key variables.
- (3)
- Develop and validate a UAV-based multispectral water stress prediction model by establishing robust transfer functions between remote sensing data and field-measured water status indicators.
3. Results
3.1. Effects of Different Water Deficit Conditions on Plant Height
3.2. Effects of Different Water Deficit Conditions on Leaf Area Index
3.3. Effects of Different Water Deficit Conditions on SPAD Value and Yield
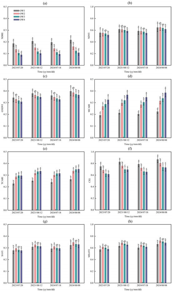
3.4. Effects of Different Water Deficit Conditions on Vegetation Index
3.5. The Relationship Between Phenotype–Spectrum–Yield of Oat Under Different Water Deficits
3.5.1. Correlation Analysis
3.5.2. Structural Equation Model Analysis
3.6. Soil Water Content Diagnosis Model
4. Discussion
5. Conclusions
Author Contributions
Funding
Data Availability Statement
Conflicts of Interest
Abbreviations
| CIG | Chlorophyll Index |
| GFI | Goodness-of-Fit Index |
| LAI | Leaf area index |
| GNDVI | Green Normalized Difference Vegetation Index |
| MCARI | Modified Chlorophyll Absorption in Reflectance Index |
| MSAVI | Modified Soil-Adjusted Vegetation Index |
| NDRE | Normalized Difference Red Edge |
| PH | Plant height |
| RMSE | Root mean square error |
| RMSEA | Root Mean Square Error of Approximation |
| SAVI | Soil-Adjusted Vegetation Index |
| SEM | Structural equation modeling |
| TCARI | Transformed Chlorophyll Absorption in Reflectance Index |
| UAV | Unmanned aerial vehicle |
| SWC | Soil water content |
| ANN | Artificial neural network |
| RF | Random forest |
References
- Zhai, X.; Li, S.; Huang, D.; Tang, S.; Wang, K. The effect of different ecosystems on groundwater consumption in an agro-pastoral ecotone of northern China from an innovative perspective. Sustain. Water Resour. Manag. 2018, 4, 667–672. [Google Scholar] [CrossRef]
- Wagg, C.; Hann, S.; Kupriyanovich, Y.; Li, S. Timing of short period water stress determines potato plant growth, yield and tuber quality. Agric. Water Manag. 2021, 247, 106731. [Google Scholar] [CrossRef]
- Cheng, M.; Jiao, X.; Liu, Y.; Shao, M.; Yu, X.; Bai, Y.; Wang, Z.; Wang, S.; Tuohuti, N.; Liu, S. Estimation of soil moisture content under high maize canopy coverage from UAV multimodal data and machine learning. Agric. Water Manag. 2022, 264, 107530. [Google Scholar] [CrossRef]
- Ge, X.; Wang, J.; Ding, J.; Cao, X.; Zhang, Z.; Liu, J.; Li, X. Combining UAV-based hyperspectral imagery and machine learning algorithms for soil moisture content monitoring. PeerJ 2019, 7, e6926. [Google Scholar] [CrossRef] [PubMed]
- Tanabe, R.; Matsui, T.; Tanaka, T.S. Winter wheat yield prediction using convolutional neural networks and UAV-based multispectral imagery. Field Crops Res. 2023, 291, 108786. [Google Scholar] [CrossRef]
- Yue, J.; Yang, H.; Yang, G.; Fu, Y.; Wang, H.; Zhou, C. Estimating vertically growing crop above-ground biomass based on UAV remote sensing. Comput. Electron. Agric. 2023, 205, 107627. [Google Scholar] [CrossRef]
- Kim, D.-W.; Jeong, S.J.; Lee, W.S.; Yun, H.; Chung, Y.S.; Kwon, Y.-S.; Kim, H.-J. Growth monitoring of field-grown onion and garlic by CIE L* a* b* color space and region-based crop segmentation of UAV RGB images. Precis. Agric. 2023, 24, 1982–2001. [Google Scholar] [CrossRef]
- Kang, J.; Hao, X.; Zhou, H.; Ding, R. An integrated strategy for improving water use efficiency by understanding physiological mechanisms of crops responding to water deficit: Present and prospect. Agric. Water Manag. 2021, 255, 107008. [Google Scholar] [CrossRef]
- Ghadirnezhad Shiade, S.R.; Fathi, A.; Ghasemkheili, F.T.; Amiri, E.; Pessarakli, M. Plants’ responses under drought stress conditions: Effects of strategic management approaches—A review. J. Plant Nutr. 2023, 46, 2198–2230. [Google Scholar] [CrossRef]
- Yang, Z.; Tian, J.; Wang, Z.; Feng, K.; Ouyang, Z.; Zhang, L.; Yan, X. Coupled soil water stress and environmental effects on changing photosynthetic traits in wheat and maize. Agric. Water Manag. 2023, 282, 108246. [Google Scholar] [CrossRef]
- Zhou, C.; Gong, Y.; Fang, S.; Yang, K.; Peng, Y.; Wu, X.; Zhu, R. Combining spectral and wavelet texture features for unmanned aerial vehicles remote estimation of rice leaf area index. Front. Plant Sci. 2022, 13, 957870. [Google Scholar] [CrossRef] [PubMed]
- Ma, Y.; Zhang, Q.; Yi, X.; Ma, L.; Zhang, L.; Huang, C.; Zhang, Z.; Lv, X. Estimation of cotton leaf area index (LAI) based on spectral transformation and vegetation index. Remote Sens. 2021, 14, 136. [Google Scholar] [CrossRef]
- Sarkar, S.; Cazenave, A.-B.; Oakes, J.; McCall, D.; Thomason, W.; Abbott, L.; Balota, M. Aerial high-throughput phenotyping of peanut leaf area index and lateral growth. Sci. Rep. 2021, 11, 21661. [Google Scholar] [CrossRef] [PubMed]
- Xingjiao, Y.; Kai, F.; Xuefei, H.; Qi, Y.; Long, Q.; Zhengguang, L.; Chaoyue, Z.; Li, L.; Wen’e, W.; Xiaotao, H. Dynamic estimation of summer maize LAI based on multi-feature fusion of UAV imagery. Trans. Chin. Soc. Agric. Eng. 2025, 41, 124–134. [Google Scholar]
- Dong, H.; Dong, J.; Sun, S.; Bai, T.; Zhao, D.; Yin, Y.; Shen, X.; Wang, Y.; Zhang, Z.; Wang, Y. Crop water stress detection based on UAV remote sensing systems. Agric. Water Manag. 2024, 303, 109059. [Google Scholar] [CrossRef]
- Zhou, Z.; Majeed, Y.; Naranjo, G.D.; Gambacorta, E.M. Assessment for crop water stress with infrared thermal imagery in precision agriculture: A review and future prospects for deep learning applications. Comput. Electron. Agric. 2021, 182, 106019. [Google Scholar] [CrossRef]
- Feng, L.; Chen, S.; Zhang, C.; Zhang, Y.; He, Y. A comprehensive review on recent applications of unmanned aerial vehicle remote sensing with various sensors for high-throughput plant phenotyping. Comput. Electron. Agric. 2021, 182, 106033. [Google Scholar] [CrossRef]
- Sun, X.; Zhang, B.; Dai, M.; Jing, C.; Ma, K.; Tang, B.; Li, K.; Dang, H.; Gu, L.; Zhen, W. Accurate irrigation decision-making of winter wheat at the filling stage based on UAV hyperspectral inversion of leaf water content. Agric. Water Manag. 2024, 306, 109171. [Google Scholar] [CrossRef]
- Marques, P.; Pádua, L.; Sousa, J.J.; Fernandes-Silva, A. Assessing the water status and leaf pigment content of olive trees: Evaluating the potential and feasibility of unmanned aerial vehicle multispectral and thermal data for estimation purposes. Remote Sens. 2023, 15, 4777. [Google Scholar] [CrossRef]
- da Silva, P.C.; Junior, W.Q.R.; Ramos, M.L.G.; Lopes, M.F.; Santana, C.C.; Casari, R.A.d.C.N.; Brasileiro, L.d.O.; Veiga, A.D.; Rocha, O.C.; Malaquias, J.V. Multispectral Images for Drought Stress Evaluation of Arabica Coffee Genotypes Under Different Irrigation Regimes. Sensors 2024, 24, 7271. [Google Scholar] [CrossRef]
- Romero, A.G.; Lopes, M.S. Heading and maturity date prediction using vegetation indices: A case study using bread wheat, barley and oat crops. Eur. J. Agron. 2024, 160, 127330. [Google Scholar] [CrossRef]
- Bytyqi, B.; Kutasy, E. Leaf reflectance characteristics and yield of spring oat varieties as influenced by varietal divergences and nutritional supply. Acta Agrar. Debreceniensis 2023, 2023, 29–34. [Google Scholar] [CrossRef] [PubMed]
- Ma, B.-L.; De Haan, B.; Zheng, Z.; Xue, A.G.; Chen, Y.; de Silva, N.D.G.; Byker, H.; Mountain, N.; Yan, W. Exploring the relationships between biomass production, nutrient acquisition, and phenotypic traits: Testing oat genotypes as a cover crop. J. Plant Nutr. 2022, 45, 2931–2944. [Google Scholar] [CrossRef]
- Westland, J.C. Structural equation models. Stud. Syst. Decis. Control 2015, 22, 152. [Google Scholar]
- Zeng, X.; Peng, Z.; Peng, Y. Structural equation model analyzing relationship among N application-carbonhydrate product-grain yield of maize. Trans. Chin. Soc. Agric. Eng. 2016, 32, 98–104. [Google Scholar]
- Tian, P.; Zhang, J.; Ding, L.; Zhong, T.; Yin, M.; Yang, R.; Du, L.; Xie, Y. Simulation and analysis of pumpkin leaf growth-photosynthesis-yield relationship under water-fertilizer coupling by SEM. Sci. Hortic. 2025, 340, 113923. [Google Scholar] [CrossRef]
- Rouse, J.W.; Haas, R.H.; Schell, J.A.; Deering, D.W. Monitoring vegetation systems in the Great Plains with ERTS. NASA Spec. Publ. 1974, 351, 309. [Google Scholar]
- Gitelson, A.A.; Gritz, Y.; Merzlyak, M.N. Relationships between leaf chlorophyll content and spectral reflectance and algorithms for non-destructive chlorophyll assessment in higher plant leaves. J. Plant Physiol. 2003, 160, 271–282. [Google Scholar] [CrossRef]
- Gitelson, A.A.; Kaufman, Y.J.; Merzlyak, M.N. Use of a green channel in remote sensing of global vegetation from EOS-MODIS. Remote Sens. Environ. 1996, 58, 289–298. [Google Scholar] [CrossRef]
- Gitelson, A.A.; Merzlyak, M.N. Remote estimation of chlorophyll content in higher plant leaves. Int. J. Remote Sens. 1997, 18, 2691–2697. [Google Scholar] [CrossRef]
- Daughtry, C.S.; Walthall, C.; Kim, M.; De Colstoun, E.B.; McMurtrey Iii, J.E. Estimating corn leaf chlorophyll concentration from leaf and canopy reflectance. Remote Sens. Environ. 2000, 74, 229–239. [Google Scholar] [CrossRef]
- Haboudane, D.; Miller, J.R.; Tremblay, N.; Zarco-Tejada, P.J.; Dextraze, L. Integrated narrow-band vegetation indices for prediction of crop chlorophyll content for application to precision agriculture. Remote Sens. Environ. 2002, 81, 416–426. [Google Scholar] [CrossRef]
- Huete, A.R. A soil-adjusted vegetation index (SAVI). Remote Sens. Environ. 1988, 25, 295–309. [Google Scholar] [CrossRef]
- Qi, J.; Chehbouni, A.; Huete, A.R.; Kerr, Y.H.; Sorooshian, S. A modified soil adjusted vegetation index. Remote Sens. Environ. 1994, 48, 119–126. [Google Scholar] [CrossRef]
- Liu, Z. Study on the correction coefcient and leaf area index of winter wheat spring leaf area. J. Triticeae Crops 1997, 1, 42–44. (In Chinese) [Google Scholar]
- Boulesteix, A.; Janitza, S.; Kruppa, J.; König, I.R. Overview of random forest methodology and practical guidance with emphasis on computational biology and bioinformatics. Wiley Interdiscip. Rev. Data Min. Knowl. Discov. 2012, 2, 493–507. [Google Scholar] [CrossRef]
- Agatonovic-Kustrin, S.; Beresford, R. Basic concepts of artificial neural network (ANN) modeling and its application in pharmaceutical research. J. Pharm. Biomed. Anal. 2000, 22, 717–727. [Google Scholar] [CrossRef] [PubMed]
- Bhattacharya, A.; Bhattacharya, A. Effect of soil water deficit on growth and development of plants: A review. In Soil Water Deficit and Physiological Issues in Plants; Springer: Singapore, 2021; pp. 393–488. [Google Scholar]
- Zhang, L.; Han, W.; Niu, Y.; Chávez, J.L.; Shao, G.; Zhang, H. Evaluating the sensitivity of water stressed maize chlorophyll and structure based on UAV derived vegetation indices. Comput. Electron. Agric. 2021, 185, 106174. [Google Scholar] [CrossRef]
- Xie, P.; Zhang, Z.; Ba, Y.; Dong, N.; Zuo, X.; Yang, N.; Chen, J.; Cheng, Z.; Zhang, B.; Yang, X. Diagnosis of summer maize water stress based on UAV image texture and phenotypic parameters. Trans. Chin. Soc. Agric. Eng. 2024, 40, 136–146. [Google Scholar]
- Farooq, M.; Hussain, M.; Ul-Allah, S.; Siddique, K.H. Physiological and agronomic approaches for improving water-use efficiency in crop plants. Agric. Water Manag. 2019, 219, 95–108. [Google Scholar] [CrossRef]
- Han, X.; Wei, Z.; Chen, H.; Zhang, B.; Li, Y.; Du, T. Inversion of winter wheat growth parameters and yield under different water treatments based on UAV multispectral remote sensing. Front. Plant Sci. 2021, 12, 609876. [Google Scholar] [CrossRef] [PubMed]
- Zhou, Y.; Lao, C.; Yang, Y.; Zhang, Z.; Chen, H.; Chen, Y.; Chen, J.; Ning, J.; Yang, N. Diagnosis of winter-wheat water stress based on UAV-borne multispectral image texture and vegetation indices. Agric. Water Manag. 2021, 256, 107076. [Google Scholar] [CrossRef]
- Bonfil, D.J. Wheat phenomics in the field by RapidScan: NDVI vs. NDRE. Isr. J. Plant Sci. 2017, 64, 41–54. [Google Scholar] [CrossRef]
- Ren, S.; Guo, B.; Wang, Z.; Wang, J.; Fang, Q.; Wang, J. Optimized spectral index models for accurately retrieving soil moisture (SM) of winter wheat under water stress. Agric. Water Manag. 2022, 261, 107333. [Google Scholar] [CrossRef]
- An, M.; Xing, W.; Han, Y.; Bai, Q.; Peng, Z.; Zhang, B.; Wei, Z.; Wu, W. The optimal soil water content models based on crop-LAI and hyperspectral data of winter wheat. Irrig. Sci. 2021, 39, 687–701. [Google Scholar] [CrossRef]










| Irrigation Date | 2023 | 2024 | |||||||||
|---|---|---|---|---|---|---|---|---|---|---|---|
| 5 June | 15 June | 25 June | 7 August | 20 August | 3 September | 3 June | 18 June | 27 June | 7 July | 14 July | |
| OW1 | 13.5 | 36.0 | 36.0 | 36.0 | 36.0 | 36.0 | 18.0 | 36.0 | 36.0 | 36.0 | 36.0 |
| OW2 | 13.5 | 33.0 | 33.0 | 33.0 | 33.0 | 33.0 | 16.5 | 33.0 | 33.0 | 33.0 | 33.0 |
| OW3 | 13.5 | 30.0 | 30.0 | 30.0 | 30.0 | 30.0 | 15.0 | 30.0 | 30.0 | 30.0 | 30.0 |
| OW4 | 13.5 | 27.0 | 27.0 | 27.0 | 27.0 | 27.0 | 13.5 | 27.0 | 27.0 | 27.0 | 27.0 |
| Soil Layer Depth | Particle Distribution (mm) | Field Capacity | Bulk Density | Soil Organic Matter | PH | ||
|---|---|---|---|---|---|---|---|
| (cm) | Clay | Silt | Sand | (cm3/cm3) | (g/cm3) | (g/kg) | |
| 0–20 | 4.18 | 42.01 | 53.81 | 0.28 | 1.42 | 2.34 | 7.01 |
| 20–40 | 4.2 | 42.53 | 53.27 | 0.35 | 1.54 | 4.51 | 6.81 |
| 40–60 | 3.93 | 38.59 | 57.48 | 0.35 | 1.55 | 2.85 | 6.79 |
Disclaimer/Publisher’s Note: The statements, opinions and data contained in all publications are solely those of the individual author(s) and contributor(s) and not of MDPI and/or the editor(s). MDPI and/or the editor(s) disclaim responsibility for any injury to people or property resulting from any ideas, methods, instructions or products referred to in the content. |
© 2025 by the authors. Licensee MDPI, Basel, Switzerland. This article is an open access article distributed under the terms and conditions of the Creative Commons Attribution (CC BY) license (https://creativecommons.org/licenses/by/4.0/).
Share and Cite
Feng, Y.; Wang, G.; Wang, J.; Zheng, H.; Miao, X.; Sun, X.; Li, P.; Li, Y.; Jia, Y. Relationships Between Oat Phenotypes and UAV Multispectral Imagery Under Different Water Deficit Conditions by Structural Equation Modelling. Agronomy 2025, 15, 1389. https://doi.org/10.3390/agronomy15061389
Feng Y, Wang G, Wang J, Zheng H, Miao X, Sun X, Li P, Li Y, Jia Y. Relationships Between Oat Phenotypes and UAV Multispectral Imagery Under Different Water Deficit Conditions by Structural Equation Modelling. Agronomy. 2025; 15(6):1389. https://doi.org/10.3390/agronomy15061389
Chicago/Turabian StyleFeng, Yayang, Guoshuai Wang, Jun Wang, Hexiang Zheng, Xiangyang Miao, Xiulu Sun, Peng Li, Yan Li, and Yanhui Jia. 2025. "Relationships Between Oat Phenotypes and UAV Multispectral Imagery Under Different Water Deficit Conditions by Structural Equation Modelling" Agronomy 15, no. 6: 1389. https://doi.org/10.3390/agronomy15061389
APA StyleFeng, Y., Wang, G., Wang, J., Zheng, H., Miao, X., Sun, X., Li, P., Li, Y., & Jia, Y. (2025). Relationships Between Oat Phenotypes and UAV Multispectral Imagery Under Different Water Deficit Conditions by Structural Equation Modelling. Agronomy, 15(6), 1389. https://doi.org/10.3390/agronomy15061389

