Effects of Organic Fertilizer Substitution for Chemical Fertilizer on Grain Yield and 2-Acetyl-1-pyrroline (2-AP) of Fragrant Rice
Abstract
1. Introduction
2. Materials and Methods
2.1. Plant Materials and Experimental Design
2.2. Measurement of Yield and Its Component Factors
2.3. Total Aboveground Biomass Accumulation (TAB) and Determination of Leaf Area
2.4. Determination of Photosynthetic Characteristics
2.5. Determination of Anti-Stress Enzyme Activity and MDA Content in Leaves
2.6. Determination of Leaf-Nitrogen-Metabolizing Enzyme Activity
2.7. Determination of 2-AP Content
2.8. Determination of P5C, Pyrroline, Methylglyoxal Content, and P5CS Activity in Leaves
2.9. Data Analysis
3. Results
3.1. Yield and Yield Components
3.2. Average Growth Rate (AGR)
3.3. Leaf Area and Photosynthetic Characteristics
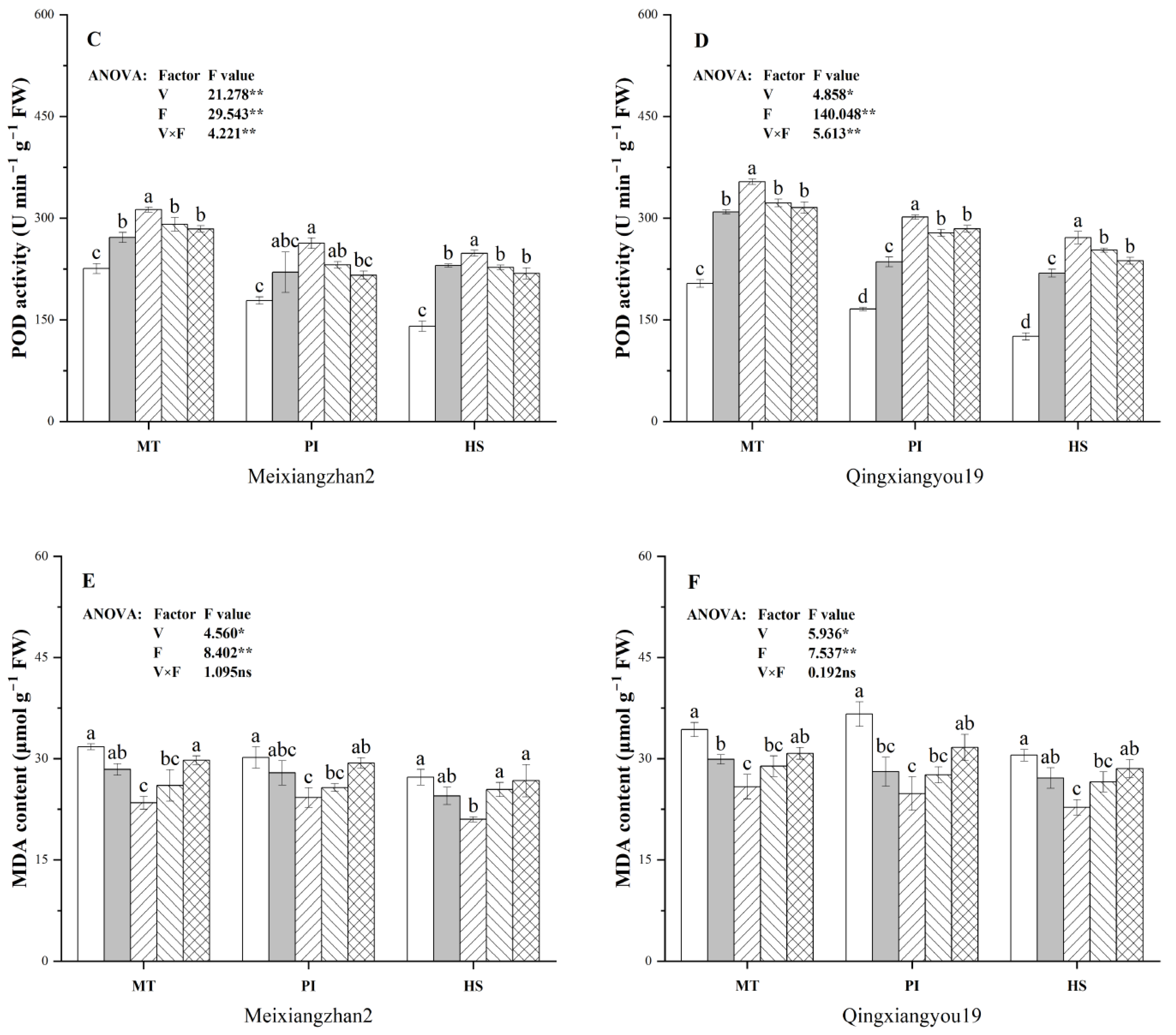
3.4. Antioxidant Enzyme Activities and MDA Content in Leaves
3.5. Nitrogen Metabolism-Related Parameters in Leaves
3.6. 2-AP Content of Grain in Fragrant Rice
3.7. Indicators Related to 2-AP Biosynthesis
3.8. Correlation Analysis
4. Discussion
4.1. Grain Yield and Yield Components
4.2. 2-AP Content, Aroma-Related Precursors, and Aroma Enzymes
4.3. Physiological Traits
5. Conclusions
Author Contributions
Funding
Institutional Review Board Statement
Informed Consent Statement
Data Availability Statement
Conflicts of Interest
References
- Huang, M.; Tao, Z.; Lei, T.; Cao, F.; Chen, J.; Yin, X.; Zou, Y.; Liang, T. Improving lodging resistance while maintaining high grain yield by promoting pre-heading growth in rice. Field Crops Res. 2021, 270, 108212. [Google Scholar] [CrossRef]
- Bryant, R.J.; McClung, A.M. Volatile profiles of aromatic and non-aromatic rice cultivars using SPME/GC-MS. Food Chem. 2011, 124, 501–513. [Google Scholar] [CrossRef]
- Shao, G.; Tang, S.; Chen, M.; Wei, X.; He, J.; Luo, J.; Jiao, G.; Hu, Y.; Xie, L.; Hu, P. Haplotype variation at Badh2, the gene determining fragrance in rice. Genomics 2013, 101, 157–162. [Google Scholar] [CrossRef]
- Shan, Q.; Zhang, Y.; Chen, K.; Zhang, K.; Gao, C. Creation of fragrant rice by targeted knockout of the OsBADH2 gene using TALEN technology. Plant Biotechnol. J. 2015, 13, 791–800. [Google Scholar] [CrossRef]
- Gu, J.; Yang, J.C. Nitrogen (N) transformation in paddy field: Its effect on N uptake and relation to improved N management. Crop Environ. 2022, 1, 7–14. [Google Scholar] [CrossRef]
- Zheng, J.; Lin, L.; Li, Y.; Wang, Z.; Tang, X.; Pan, S.; Mo, Z. The economic benefits, energy use efficiency, and carbon footprint of fragrant super rice and nonfragrant super rice under different planting methods and nitrogen levels. J. Sci. Food Agric. 2025, 105, 3885–3899. [Google Scholar] [CrossRef]
- He, X.; Zhu, H.; Shi, A.; Wang, X. Optimizing nitrogen fertilizer management enhances rice yield, dry matter, and nitrogen use efficiency. Agronomy 2024, 14, 919. [Google Scholar] [CrossRef]
- Liu, K.; Zhou, S.Q.; Li, S.Y.; Wang, J.; Wang, W.L.; Zhang, W.Y.; Zhang, H.; Gu, J.F.; Yang, J.C.; Liu, L.J. Differences and mechanisms of post-anthesis dry matter accumulation in rice varieties with different yield levels. Crop Environ. 2022, 1, 262–272. [Google Scholar] [CrossRef]
- Mo, Z.; Ashraf, U.; Tang, Y.; Li, W.; Pan, S.; Duan, M.; Tian, H.; Tang, X. Nitrogen application at the booting stage affects 2-acetyl-1-pyrroline, proline, and total nitrogen contents in aromatic rice. Chil. J. Agric. Res. 2018, 78, 165–172. [Google Scholar] [CrossRef]
- Chen, Y.; Tu, P.; Yang, Y.; Xue, X.; Feng, Z.; Dan, C.; Cheng, F.; Yang, Y.; Deng, L. Diversity of rice rhizosphere microorganisms under different fertilization modes of slow-release fertilizer. Sci. Rep. 2022, 12, 2694. [Google Scholar] [CrossRef]
- Farooq, M.S.; Majeed, A.; Ghazy, A.-H.; Fatima, H.; Uzair, M.; Ahmed, S.; Murtaza, M.; Fiaz, S.; Khan, M.R.; Al-Doss, A.A.; et al. Partial replacement of inorganic fertilizer with organic inputs for enhanced nitrogen use efficiency, grain yield, and decreased nitrogen losses under rice-based systems of mid-latitudes. BMC Plant Biol. 2024, 24, 919. [Google Scholar] [CrossRef] [PubMed]
- Iqbal, A.; He, L.; Khan, A.; Wei, S.; Akhtar, K.; Ali, I.; Ullah, S.; Munsif, F.; Zhao, Q.; Jiang, L. Organic manure coupled with inorganic fertilizer: An approach for the sustainable production of rice by improving soil properties and nitrogen use efficiency. Agronomy 2019, 9, 651. [Google Scholar] [CrossRef]
- Wang, J.; Zhang, X.; Yuan, M.; Wu, G.; Sun, Y. Effects of partial replacement of nitrogen fertilizer with organic fertilizer on rice growth, nitrogen utilization efficiency and soil properties in the Yangtze River Basin. Life 2023, 13, 624. [Google Scholar] [CrossRef]
- Mostofa, M.G.; Rahman, M.M.; Siddiqui, M.N.; Fujita, M.; Lam-Son Phan, T. Salicylic acid antagonizes selenium phytotoxicity in rice: Selenium homeostasis, oxidative stress metabolism and methylglyoxal detoxification. J. Hazard. Mater. 2020, 394, 122572. [Google Scholar] [CrossRef]
- Moe, K.; Moh, S.M.; Htwe, A.Z.; Kasihara, Y.; Yamakawa, T. Effects of integrated organic and inorganic fertilizers on yield and growth parameters of rice varieties. Rice Sci. 2019, 26, 309–318. [Google Scholar] [CrossRef]
- Wei, H.-Y.; Chen, Z.-F.; Xing, Z.-P.; Zhou, L.; Liu, Q.-Y.; Zhang, Z.-Z.; Jiang, Y.; Hu, Y.-J.; Zhu, J.-Y.; Cui, P.-Y.; et al. Effects of slow or controlled release fertilizer types and fertilization modes on yield and quality of rice. J. Integr. Agric. 2018, 17, 2222–2234. [Google Scholar] [CrossRef]
- Tao, Y.; Qu, H.; Li, Q.; Gu, X.; Zhang, Y.; Liu, M.; Guo, L.; Liu, J.; Wei, J.; Wei, G.; et al. Potential to improve N uptake and grain yield in water saving Ground Cover Rice Production System. Field Crops Res. 2014, 168, 101–108. [Google Scholar] [CrossRef]
- Pan, Y.; Guo, J.; Fan, L.; Ji, Y.; Liu, Z.; Wang, F.; Pu, Z.; Ling, N.; Shen, Q.; Guo, S. The source-sink balance during the grain filling period facilitates rice production under organic fertilizer substitution. Eur. J. Agron. 2022, 134, 126468. [Google Scholar] [CrossRef]
- Wang, Y.; Li, Y.; Xie, Y.; Yang, X.; He, Z.; Tian, H.; Duan, M.; Tang, X.; Pan, S. Effects of Nitrogen Fertilizer Rate Under Deep Placement on Grain Yield and Nitrogen Use Efficiency in Mechanical Pot-seedling Transplanting Rice. J. Plant Growth Regul. 2023, 42, 3100–3110. [Google Scholar] [CrossRef]
- Kakar, K.; Xuan, T.D.; Noori, Z.; Aryan, S.; Gulab, G. Effects of organic and inorganic fertilizer application on growth, yield, and grain quality of rice. Agriculture 2020, 10, 544. [Google Scholar] [CrossRef]
- Maraval, I.; Mestres, C.; Pernin, K.; Ribeyre, F.; Boulanger, R.; Guichard, E.; Gunata, Z. Odor-active compounds in cooked rice cultivars from Camargue (France) analyzed by GC-O and GC-MS. J. Agric. Food Chem. 2008, 56, 5291–5298. [Google Scholar] [CrossRef]
- Sakthivel, K.; Sundaram, R.M.; Rani, N.S.; Balachandran, S.M.; Neeraja, C.N. Genetic and molecular basis of fragrance in rice. Biotechnol. Adv. 2009, 27, 468–473. [Google Scholar] [CrossRef]
- Hou, M.; Yu, M.; Li, Z.; Ai, Z.; Chen, J. Molecular regulatory networks for improving nitrogen use efficiency in rice. Int. J. Mol. Sci. 2021, 22, 9040. [Google Scholar] [CrossRef]
- Moe, K.; Mg, K.W.; Win, K.K.; Yamakawa, T. Combined effect of organic manures and inorganic fertilizers on the growth and yield of hybrid rice (Palethwe-1). Am. J. Plant Sci. 2017, 8, 1022–1042. [Google Scholar] [CrossRef]
- Ella, E.S.; Kawano, N.; Ito, O. Importance of active oxygen-scavenging system in the recovery of rice seedlings after submergence. Plant Sci. 2003, 165, 85–93. [Google Scholar] [CrossRef]
- Khan, I.; Muhammad, A.; Chattha, M.U.; Skalicky, M.; Bilal Chattha, M.; Ahsin Ayub, M.; Rizwan Anwar, M.; Soufan, W.; Hassan, M.U.; Rahman, M.A. Mitigation of salinity-induced oxidative damage, growth, and yield reduction in fine rice by sugarcane press mud application. Front. Plant Sci. 2022, 13, 840900. [Google Scholar] [CrossRef]
- Li, J.; Li, Y.; Xu, Q.; Niu, X.; Cao, G.; Liu, H. Unveiling the impact of organic fertilizer on rice (Oryza sativa L.) salinity tolerance: Insights from the integration of NDVI and metabolomics. Plants 2025, 14, 902. [Google Scholar] [CrossRef]
- Xu, G.W.; Zhao, X.H.; Jiang, M.M.; Lu, D.K.; Chen, M.C. Nitrogen forms and irrigation regimes interact to affect rice yield by regulating the source and sink characteristics. Agron. J. 2021, 113, 4022–4036. [Google Scholar] [CrossRef]








| Cultivar | Fertilization Treatment | Effective Panicle (Panicle per Hill) | Grain Number per Panicle (Grain per Panicle) | Grain-Filling Percentage (%) | 1000-Grain Weight (g) | Yield (g/pot) |
|---|---|---|---|---|---|---|
| Meixiang zhan2 | CK | 8.00 ± 0.58 c | 90.00 ± 2.88 b | 77.4 ± 0.31 a | 16.35 ± 0.11 c | 36.28 ± 1.48 d |
| T1 | 10.00 ± 0.58 b | 95.29 ± 4.21 b | 74.68 ± 0.40 b | 17.23 ± 0.06 b | 48.86 ± 2.09 bc | |
| T2 | 12.67 ± 0.33 a | 112.25 ± 2.26 a | 78.00 ± 0.97 a | 17.65 ± 0.09 a | 62.50 ± 0.37 a | |
| T3 | 10.67 ± 0.67 b | 97.56 ± 4.93 b | 69.79 ± 1.00 c | 17.35 ± 0.15 ab | 50.11 ± 1.56 b | |
| T4 | 9.33 ± 0.88 bc | 95.47 ± 4.36 b | 73.02 ± 0.91 b | 17.26 ± 0.07 b | 44.54 ± 2.23 c | |
| Qingxiang you19 | CK | 9.33 ± 0.33 d | 71.29 ± 3.63 c | 75.89 ± 1.39 ab | 21.12 ± 0.05 a | 42.49 ± 0.88 c |
| T1 | 10.67 ± 0.33 c | 96.83 ± 3.12 ab | 76.70 ± 0.74 a | 21.29 ± 0.22 a | 53.86 ± 0.59 b | |
| T2 | 14.00 ± 0.58 a | 105.44 ± 1.53 a | 71.18 ± 2.22 abc | 21.51 ± 0.23 a | 67.88 ± 4.26 a | |
| T3 | 12.33 ± 0.33 b | 98.21 ± 3.09 ab | 68.07 ± 2.22 c | 21.21 ± 0.15 a | 55.85 ± 1.32 b | |
| T4 | 10.33 ± 0.33 cd | 93.98 ± 4.85 b | 70.39 ± 1.92 bc | 21.39 ± 0.17 a | 46.62 ± 2.15 b | |
| ANOVA | Variety (V) | 12.960 ** | 4.596 * | 5.964 * | 2060.677 ** | 85.928 ** |
| Fertilization Treatments (F) | 22.660 ** | 15.201 ** | 10.488 ** | 9.155 ** | 93.850 ** | |
| V×F | 0.260 ns | 2.614 ns | 2.629 ns | 3.350 * | 2.502 ns |
| Cultivar | Fertilization Treatment | Transpiration Rate (mmol m−2 s−1) | Net Photosynthetic Rate (µmol m−2 s−1) | Intercellular CO2 Concentration (µmol mol−1) | Stomatal Conductance (mol m−2 s−1) |
|---|---|---|---|---|---|
| Meixiang zhan2 | CK | 6.37 ± 0.47 b | 12.88 ± 0.65 b | 304.42 ± 1.98 b | 0.30 ± 0.02 a |
| T1 | 7.09 ± 0.31 b | 14.54 ± 0.80 ab | 302.63 ± 5.17 b | 0.34 ± 0.05 a | |
| T2 | 8.88 ± 0.36 a | 15.26 ± 0.64 a | 285.82 ± 5.72 c | 0.37 ± 0.02 a | |
| T3 | 7.41 ± 0.52 b | 14.08 ± 0.36 ab | 308.51 ± 2.69 b | 0.35 ± 0.03 a | |
| T4 | 7.14 ± 0.26 b | 15.07 ± 0.17 a | 322.90 ± 1.92 a | 0.39 ± 0.02 a | |
| Qingxiang you19 | CK | 7.12 ± 0.67 b | 13.77 ± 1.57 b | 315.52 ± 7.38 a | 0.34 ± 0.04 a |
| T1 | 8.85 ± 0.31 ab | 14.71 ± 0.50 ab | 311.14 ± 0.58 ab | 0.38 ± 0.01 a | |
| T2 | 9.54 ± 0.67 a | 17.25 ± 1.37 a | 301.44 ± 1.80 b | 0.45 ± 0.05 a | |
| T3 | 8.67 ± 0.41 ab | 16.36 ± 0.75 ab | 309.21 ± 2.42 ab | 0.36 ± 0.08 a | |
| T4 | 8.44 ± 0.73 ab | 15.84 ± 0.31 ab | 311.63 ± 3.61 ab | 0.39 ± 0.05 a | |
| ANOVA | Variety (V) | 13.250 ** | 5.438 * | 4.022 ns | 1.948 ns |
| Fertilization Treatments (F) | 6.238 ** | 3.483 * | 9.784 ** | 1.285 ns | |
| V×F | 0.411 ns | 0.574 ns | 3.683 * | 0.194 ns |
Disclaimer/Publisher’s Note: The statements, opinions and data contained in all publications are solely those of the individual author(s) and contributor(s) and not of MDPI and/or the editor(s). MDPI and/or the editor(s) disclaim responsibility for any injury to people or property resulting from any ideas, methods, instructions or products referred to in the content. |
© 2025 by the authors. Licensee MDPI, Basel, Switzerland. This article is an open access article distributed under the terms and conditions of the Creative Commons Attribution (CC BY) license (https://creativecommons.org/licenses/by/4.0/).
Share and Cite
Jiang, Y.; Dai, J.; Pu, X.; Liang, Y.; Chen, D.; Pan, S. Effects of Organic Fertilizer Substitution for Chemical Fertilizer on Grain Yield and 2-Acetyl-1-pyrroline (2-AP) of Fragrant Rice. Agronomy 2025, 15, 1324. https://doi.org/10.3390/agronomy15061324
Jiang Y, Dai J, Pu X, Liang Y, Chen D, Pan S. Effects of Organic Fertilizer Substitution for Chemical Fertilizer on Grain Yield and 2-Acetyl-1-pyrroline (2-AP) of Fragrant Rice. Agronomy. 2025; 15(6):1324. https://doi.org/10.3390/agronomy15061324
Chicago/Turabian StyleJiang, Yihang, Jiayi Dai, Xiaojuan Pu, Yanyue Liang, Deqian Chen, and Shenggang Pan. 2025. "Effects of Organic Fertilizer Substitution for Chemical Fertilizer on Grain Yield and 2-Acetyl-1-pyrroline (2-AP) of Fragrant Rice" Agronomy 15, no. 6: 1324. https://doi.org/10.3390/agronomy15061324
APA StyleJiang, Y., Dai, J., Pu, X., Liang, Y., Chen, D., & Pan, S. (2025). Effects of Organic Fertilizer Substitution for Chemical Fertilizer on Grain Yield and 2-Acetyl-1-pyrroline (2-AP) of Fragrant Rice. Agronomy, 15(6), 1324. https://doi.org/10.3390/agronomy15061324
