Critical Nitrogen Dilution Curve for Diagnosing Nitrogen Status of Cotton and Its Implications for Nitrogen Management in Cotton–Rape Rotation System
Abstract
1. Introduction
2. Materials and Methods
2.1. Site Description
2.2. Experimental Design
2.3. Measurements
2.3.1. Biomass and Nitrogen Uptake
2.3.2. Yield Components
2.4. Calculations
2.4.1. Critical Nitrogen Dilution Curve
2.4.2. Nitrogen Nutrition Index
2.4.3. Nitrogen Use Efficiency (NUE)
2.5. Data Analysis
3. Results
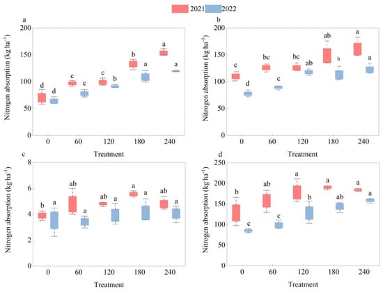
3.1. The Effects of the Nitrogen Application Rate on Cotton Biomass and Nitrogen Uptake
3.2. The Development and Validation of a Critical Nitrogen Concentration Dilution Curve Model for Cotton
3.3. The Diagnosis of the Nitrogen Nutrition Status in Cotton Based on the Critical Nitrogen Concentration Dilution Curve
3.4. The Effects of the Nitrogen Application Rate on the Cotton Yield and Its Components
3.5. Effects of Nitrogen Application Rate on Nitrogen Use Efficiency in Cotton
3.6. Interrelationships Among Cotton Nitrogen Nutrition Index (NNI), Nitrogen Use Efficiency (NUE), and Yield
4. Discussion
4.1. A Feasibility Analysis of the Critical Nitrogen Concentration Dilution Curve Model for Cotton
4.2. Biomass and Nitrogen Uptake
5. Conclusions
Author Contributions
Funding
Data Availability Statement
Conflicts of Interest
References
- Wang, Q.; Zhang, Y.; Zhang, J.; Xia, S.; Qin, H.; Feng, C.; Bie, S.; Wang, S. Influence of Incorporating Decomposition Agent in Oil Rapeseed Return Practice on Fungal Community, Soil Fertility and the Cotton Yield. J. Biobased Mater. Bioenergy 2022, 16, 686–695. [Google Scholar] [CrossRef]
- Yang, G.; Zhou, X.; Li, C.; Nie, Y.; Zhang, X. Cotton Stubble Mulching Helps in the Yield Improvement of Subsequent Winter Canola (Brassica napus L.) Crop. Ind. Crops Prod. 2013, 50, 190–196. [Google Scholar] [CrossRef]
- Liu, Z.; Jin, W.; Li, Q.; Cheng, Z.; Zhang, Y.; Hu, W.; Meng, Y.; Yang, H.; Zhou, Z. Optimized nitrogen allocation in cotton-soil system improves cotton production and nitrogen utilization efficiency under wheat-cotton straw return in East China. Ind. Crops Prod. 2025, 224, 120353. [Google Scholar] [CrossRef]
- Nafi, E.; Webber, H.; Danso, I.; Naab, J.B.; Frei, M.; Gaiser, T. Interactive effects of conservation tillage, residue management, and nitrogen fertilizer application on soil properties under maize-cotton rotation system on highly weathered soils of West Africa. Soil Tillage Res. 2020, 196, 104473. [Google Scholar] [CrossRef]
- Reddy, P.N.; Kumari, J.A.; Jayasree, G.; Tejashree, M. Influence of Crop Residue in Addition to Decomposition Enhancers on Soil Nitrogen Transformation and Available Macronutrients Status during Growth of Maize. Int. J. Environ. Clim. Change 2022, 12, 650–657. [Google Scholar] [CrossRef]
- Zhang, Y.; Mei, H.; Yan, Z.; Hu, A.; Wang, S.; Feng, C.; Chen, K.; Li, W.; Zhang, X.; Ji, P.; et al. Year-Round Production of Cotton and Wheat or Rapeseed Regulated by Different Nitrogen Rates with Crop Straw Returning. Agronomy 2023, 13, 1254. [Google Scholar] [CrossRef]
- Greub, K.L.; Roberts, T.L. Does residue incorporation influence available nitrogen release from cereal rye and tillage radish cover crops under controlled conditions? Soil Sci. Soc. Am. J. 2023, 87, 324–336. [Google Scholar] [CrossRef]
- Watts, D.B.; Runion, G.B.; Balkcom, K.S. Nitrogen fertilizer sources and tillage effects on cotton growth, yield, and fiber quality in a coastal plain soil. Field Crops Res. 2017, 201, 184–191. [Google Scholar] [CrossRef]
- Macdonald, B.C.T.; Rochester, I.J.; Nadelko, A. High Yielding Cotton Produced without Excessive Nitrous Oxide Emissions. Agron. J. 2015, 107, 1673–1681. [Google Scholar] [CrossRef]
- Li, P.; Dong, H.; Zheng, C.; Sun, M.; Liu, A.; Wang, G.; Liu, S.; Zhang, S.; Chen, J.; Li, Y.; et al. Optimizing nitrogen application rate and plant density for improving cotton yield and nitrogen use efficiency in the North China Plain. PLoS ONE 2017, 12, e0185550. [Google Scholar] [CrossRef]
- Hedayati, M.; Brock, P.M.; Nachimuthu, G.; Schwenke, G. Farm-level strategies to reduce the life cycle greenhouse gas emissions of cotton production: An Australian perspective. J. Clean. Prod. 2019, 212, 974–985. [Google Scholar] [CrossRef]
- Li, Q.; Liu, Z.; Wang, L.; Zhang, Y.; Guo, M.; Jin, W.; Hu, W.; Meng, Y.; Yang, H.; Zhou, Z. Enhancement joint fertilization efficacy of straw and nitrogen fertilizer on soil quality and seedcotton yield for sustainable cotton farming. Resour. Environ. Sustain. 2025, 20, 100218. [Google Scholar] [CrossRef]
- Hadisseh, R.; Teymour, S.; Mojtaba, D. Simulating crop response to Nitrogen-deficiency stress using the critical Nitrogen concentration concept and the AquaCrop semi-quantitative approach. Sci. Hortic. 2021, 285, 110194. [Google Scholar]
- Errecart, P.M.; Agnusdei, M.G.; Lattanzi, F.A.; Marino, M.A.; Berone, G.D. Critical Nitrogen Concentration Declines with Soil Water Availability in Tall Fescue. Crop Sci. 2014, 54, 318–330. [Google Scholar] [CrossRef]
- Zhou, L.; Ming, B.; Wang, K.; Shen, D.; Fang, L.; Yang, H.; Xue, J.; Xie, R.; Hou, P.; Ye, J.; et al. Establishment of critical nitrogen-concentration dilution curves based on leaf area index and aboveground biomass for drip-irrigated spring maize in Northeast China. Crop J. 2025, 13, 556–564. [Google Scholar] [CrossRef]
- Ye, T.; Zhang, Y.; Xuan, J.; Wang, X.; Li, Y.; XU, J.; Xiao, L.; Liu, L.; Tang, L.; Cao, W.; et al. Development of a Novel Critical Nitrogen Concentration–Cumulative Transpiration Curve for Optimizing Nitrogen Management under Varying Irrigation Conditions in Winter Wheat. Crop J. 2024, 12, 1242–1251. [Google Scholar] [CrossRef]
- AE, H.; Sánchez, E.; Preciado-Rangel, P.; Garcia-Bañuelos, M.L.; Palomo-Gil, A.; Espinoza-Banda, A. Nitrate reductase activity, biomass, yield, and quality in cotton in response to nitrogen fertilization. Phyton-Int. J. Exp. Bot. 2015, 84, 454–460. [Google Scholar] [CrossRef]
- Zhang, Z.; Xu, X.; Jin, M.; Bai, J.; Shu, X.; Deng, L.; Wang, S.; Zhu, Y.; Liu, Y.; Lu, G.; et al. A New Curve of Critical Leaf Nitrogen Concentration Based on the Maximum Root Dry Matter for Diagnosing Nitrogen Nutritional Status of Sweetpotato. Eur. J. Agron. 2024, 156, 127176. [Google Scholar] [CrossRef]
- Zhao, B.; Niu, X.; Ata-Ul-Karim, S.; Wang, L.; Duan, A.; Liu, Z.; Lemaire, G. Determination of the Post-Anthesis Nitrogen Status Using Ear Critical Nitrogen Dilution Curve and Its Implications for Nitrogen Management in Maize and Wheat. Eur. J. Agron. 2020, 113, 125967. [Google Scholar] [CrossRef]
- Ali, S.; Hafeez, A.; Ma, X.; Tung, S.; Chattha, M.; Shah, A.; Luo, D.; Ahmad, S.; Liu, J.; Yang, G. Equal Potassium-Nitrogen Ratio Regulated the Nitrogen Metabolism and Yield of High-Density Late-Planted Cotton (Gossypium hirsutum L.) in Yangtze River Valley of China. Ind. Crops Prod. 2019, 129, 231–241. [Google Scholar] [CrossRef]
- Wang, H.; Gao, K.; Fang, S.; Zhou, Z. Cotton Yield and Defoliation Efficiency in Response to Nitrogen and Harvest Aids. Agron. J. 2019, 111, 250–256. [Google Scholar] [CrossRef]
- Hou, X.; Fan, J.; Hu, W.; Zhang, F.; Yan, F.; Xiao, C.; Li, Y.; Cheng, H. Optimal irrigation amount and nitrogen rate improved seed cotton yield while maintaining fiber quality of drip-fertigated cotton in northwest China. Ind. Crops Prod. 2021, 170, 113710. [Google Scholar] [CrossRef]
- Luo, L.; Hui, X.; Wang, Z.; Zhang, X.; Xie, Y.; Gao, Z.; Chai, S.; Lu, Q.; Li, T.; Sun, M.; et al. Multi-site evaluation of plastic film mulch and nitrogen fertilization for wheat grain yield, protein content and its components in semiarid areas of China. Field Crops Res. 2019, 240, 86–94. [Google Scholar] [CrossRef]
- Qin, Y.; Wu, Z.; Chen, J.; Zhang, L.; Nie, Z. Effect and comprehensive evaluation of nitrogen application rate on the growth and yield of summer direct seeding cotton in the Yangtze River Basin. Soil Fertil. Sci. China 2025, 1, 73–82. (In Chinese) [Google Scholar]
- Sáez-Plaza, P.; Michałowski, T.; Navas, M.J.; Asuero, A.G.; Wybraniec, S. An Overview of the Kjeldahl Method of Nitrogen Determination. Part I. Early History, Chemistry of the Procedure, and Titrimetric Finish. Crit. Rev. Anal. Chem. 2013, 43, 178–223. [Google Scholar] [CrossRef]
- Imran, M.; Shakeel, A.; Azhar, F.M.; Farooq, J.; Saleem, M.F.; Saeed, A.; Nazeer, W.; Riaz, M.; Naeem, M.; Javaid, A. Combining ability analysis for within-boll yield components in upland cotton (Gossypium hirsutum L.). Genet. Mol. Res. GMR 2012, 11, 2790–2800. [Google Scholar] [CrossRef]
- Saki, T.; Yomi, M.; Rao, B.K.R. Critical nitrogen content and nitrogen nutrition index for sweetpotato crop. J. Plant Nutr. 2019, 42, 1750–1759. [Google Scholar] [CrossRef]
- Sabu, K.M.; Kumar, T.K.M. Predictive analytics in Agriculture: Forecasting prices of Arecanuts in Kerala. Procedia Comput. Sci. 2020, 171, 699–708. [Google Scholar] [CrossRef]
- Arash, R.; Ali, R.; Hamed, E.; Maryam, V. Determination of Critical Nitrogen Dilution Curve Based on Canopy Cover Data for Summer Maize. Commun. Soil Sci. Plant Anal. 2020, 51, 2244–2256. [Google Scholar]
- Soratto, R.P.; Sandaña, P.; Fernandes, F.M.; Fernandes, A.M.; Makowski, D.; Ciampitti, I.A. Establishing a critical nitrogen dilution curve for estimating nitrogen nutrition index of potato crop in tropical environments. Field Crops Res. 2022, 286, 108605. [Google Scholar] [CrossRef]
- Ma, Z.; Ren, B.; Zhao, B.; Liu, P.; Zhang, J. Increasing Grain Yield, Nitrogen Use Efficiency of Summer Maize and Reducing Greenhouse Gas Emissions by Applying Urea Ammonium Nitrate Solution. Agron. J. 2022, 114, 948–960. [Google Scholar] [CrossRef]
- Kumar, D.; Patel, R.A.; Ramani, V.P.; Rathod, S.V. Evaluating Precision Nitrogen Management Practices in Terms of Yield, Nitrogen Use Efficiency and Nitrogen Loss Reduction in Maize Crop under Indian Conditions. Int. J. Plant Prod. 2021, 15, 1–18. [Google Scholar] [CrossRef]
- Saif, A.; Abdul, H.; Ma, X.; Atta, T.S.; Sohaib, C.M.; Shoaib, A.; Noor, S.A.; Yang, G. Potassium-Nitrogen Ratio Improved Cotton Yield by Regulating Antioxidant Metabolism under a New Cropping Model for the Yangtze River Valley of China. J. Soil Sci. Plant Nutr. 2023, 23, 1797–1815. [Google Scholar]
- Yin, X.; Main, C. Nitrogen Fertilization and Critical Nitrogen Concentration for Contemporary High Yielding Cotton under No-Tillage. Nutr. Cycl. Agroecosyst. 2015, 103, 359–373. [Google Scholar] [CrossRef]
- Feng, W.; Li, X.; Dong, H.; Qin, Y.; Sun, M.; Shao, J.; Zheng, C.; Li, P. Fruits-Based Critical Nitrogen Dilution Curve for Diagnosing Nitrogen Status in Cotton. Front. Plant Sci. 2022, 13, 801968. [Google Scholar] [CrossRef]
- Osborne, S.L.; Johnson, J.M.F.; Jin, V.L.; Hammerbeck, A.L.; Varverl, G.E.; Schumacher, T.E. The Impact of Corn Residue Removal on Soil Aggregates and Particulate Organic Matter. Bioenergy Res. 2014, 7, 559–567. [Google Scholar] [CrossRef]
- Lv, J.; Liu, H.; Wang, X.; Li, K.; Tian, C.; Liu, X. Highly Arid Oasis Yield, Soil Mineral N Accumulation and N Balance in a Wheat-Cotton Rotation with Drip Irrigation and Mulching Film Management. PLoS ONE 2016, 11, e0165404. [Google Scholar] [CrossRef]
- Zhao, B.; Yao, X.; Tian, Y.; Liu, X.; Cao, W.; Zhu, Y. Accumulative Nitrogen Deficit Models of Wheat Aboveground Part Based on Critical Nitrogen Concentration. Chin. J. Appl. Ecol. 2012, 23, 3141–3148. (In Chinese) [Google Scholar]
- Zhao, B.; Ata-Ul-Karim, S.; Duan, A.; Liu, Z.; Wang, X.; Xiao, J.; Liu, Z.; Qin, A.; Ning, D.; Zhang, W.; et al. Determination of Critical Nitrogen Concentration and Dilution Curve Based on Leaf Area Index for Summer Maize. Field Crops Res. 2018, 228, 195–203. [Google Scholar] [CrossRef]
- Gagnon, B.; Ziadi, N.; Bélanger, G.; Parent, G. Validation and Use of Critical Phosphorus Concentration in Maize. Eur. J. Agron. 2020, 120, 126147. [Google Scholar] [CrossRef]
- Fletcher, A.L.; Chakwizira, E. Developing a critical nitrogen dilution curve for forage brassicas. Grass Forage Sci. 2012, 67, 13–23. [Google Scholar] [CrossRef]
- Raising, L.P.R.; Pratap, S.V.; Subhash, C.; Anil, S.; Singh, V.K.; Naveneet, P.; Rustum, Z.R.; Sreenivas, R.K.; Hriipulou, D.; Lham, D.; et al. Optimization of Nitrogen Management Reduce Nitrogen Stress and Enhance Productivity of Super-Seeder Sown Wheat under Rice Residue Incorporation. Discov. Appl. Sci. 2024, 6, 211. [Google Scholar]
- Saudy, H.S.; Abd El-Momen, W.R.; El-Khouly, N.S. Diversified Nitrogen Rates Influence Nitrogen Agronomic Efficiency and Seed Yield Response Index of Sesame (Sesamum indicum L.) Cultivars. Commun. Soil Sci. Plant Anal. 2018, 49, 2387–2395. [Google Scholar] [CrossRef]
- Surekha, K.; Gobinath, R.; Vakada, M. Improving Yield and Nitrogen Use Efficiency Using Polymer Coated Urea in Two Crop Establishment Methods of Rice (Oryza sativa L.) Under Vertisol (Typic Pellustert). Int. J. Plant Prod. 2021, 15, 679–693. [Google Scholar]
- Notaris, C.D.; Rasmussen, J.; Sørensen, P.; Olesen, J.E. Nitrogen leaching: A crop rotation perspective on the effect of N surplus, field management and use of catch crops. Agric. Ecosyst. Environ. 2018, 255, 1–11. [Google Scholar] [CrossRef]
- Lapierre, J.; Machado, P.V.F.; Debruyn, Z.; Brown, S.E.; Jordan, S.; Berg, A.; Biswas, A.; Henry, H.A.L.; Wagner-Riddle, C. Cover crop mixtures: A powerful strategy to reduce post-harvest surplus of soil nitrate and leaching. Agric. Ecosyst. Environ. 2022, 325, 107750. [Google Scholar] [CrossRef]
- Pandit, N.R.; Adhikari, S.; Vista, S.P.; Choudhary, D. Nitrogen Management Utilizing 4R Nutrient Stewardship: A Sustainable Strategy for Enhancing NUE, Reducing Maize Yield Gap and Increasing Farm Profitability. Nitrogen 2025, 6, 7. [Google Scholar] [CrossRef]
- Khatun, A.; Bhuiyan, M.K.A.; Mostafizur, A.B.M.; Bhuiya, M.S.U.; Saleque, M.A. Nitrogen Uptake Dynamics and Dry Matter Production of Rice in Response to Nitrogen Fertilizer Application. Food Sci. Eng. 2018, 8, 35–45. [Google Scholar]
- Zhang, Y.; Liu, J.; Wang, H.; Lei, Q.; Liu, H.; Zhai, L.; Ren, T.; Zhang, J. Suitability of the DNDC Model to Simulate Yield Production and Nitrogen Uptake for Maize and Soybean Intercropping in the North China Plain. J. Integr. Agric. 2018, 17, 2790–2801. [Google Scholar] [CrossRef]
- McClanahan, S.; Frame, W.H.; Stewart, R.D.; Thomason, W.E. Cotton Yield and Lint Quality Responses to Nitrogen Rate and Placement in the Humid Southeast. Agron. J. 2020, 112, 4276–4286. [Google Scholar] [CrossRef]







| Treatment | 2021 | 2022 | ||||
|---|---|---|---|---|---|---|
| Flower and Boll Stage | Peak Boll Stage | Boll Opening Stage | Flower and Boll Stage | Peak Boll Stage | Boll Opening Stage | |
| N0 | 0.88 ± 0.06 d | 1.00 ± 0.03 b | 0.84 ± 0.11 b | 0.86 ± 0.02 c | 0.80 ± 0.02 d | 0.79 ± 0.02 b |
| N60 | 1.08 ± 0.02 c | 1.09 ± 0.01 ab | 1.00 ± 0.09 ab | 0.92 ± 0.01 c | 0.88 ± 0.02 c | 0.85 ± 0.04 b |
| N120 | 1.04 ± 0.04 c | 1.02 ± 0.01 b | 1.09 ± 0.09 b | 1.00 ± 0.01 b | 0.99 ± 0.02 a | 0.98 ± 0.10 ab |
| N180 | 1.25 ± 0.02 b | 1.12 ± 0.06 ab | 1.13 ± 0.02 ab | 1.04 ± 0.03 b | 0.96 ± 0.02 b | 1.10 ± 0.05 a |
| N240 | 1.38 ± 0.02 a | 1.18 ± 0.04 a | 1.10 ± 0.00 a | 1.11 ± 0.00 a | 1.02 ± 0.02 a | 1.15 ± 0.07 a |
| Year | Treatment | Boll Density (Bolls m−2) | Boll Weight (g) | Lint Percentage (%) | Seed Cotton Yield (kg·ha−1) |
|---|---|---|---|---|---|
| 2021 | N0 | 48.10 ± 4.23 b | 5.64 ± 0.20 a | 45.03 ± 0.55 a | 2612.46 ± 196.01 c |
| N60 | 63.38 ± 3.13 a | 5.91 ± 0.12 a | 44.75 ± 0.71 a | 3094.31 ± 13.88 b | |
| N120 | 64.68 ± 2.28 a | 5.99 ± 0.05 a | 44.84 ± 0.45 a | 3491.10 ± 69.52 a | |
| N180 | 59.15 ± 0.33 a | 5.86 ± 0.27 a | 45.43 ± 0.25 a | 3564.99 ± 138.75 a | |
| N240 | 60.78 ± 2.83 a | 5.70 ± 0.41 a | 44.90 ± 0.21 a | 3443.33 ± 54.42 a | |
| 2022 | N0 | 49.73 ± 3.94 b | 4.01 ± 0.16 b | 43.87 ± 0.48 a | 1442.50 ± 86.82 c |
| N60 | 67.93 ± 3.66 ab | 4.56 ± 0.09 a | 43.26 ± 0.54 ab | 1515.50 ± 64.49 bc | |
| N120 | 79.63 ± 9.36 a | 4.57 ± 0.06 a | 43.11 ± 0.52 ab | 1755.50 ± 84.45 ab | |
| N180 | 82.88 ± 9.96 a | 4.56 ± 0.16 a | 43.35 ± 0.35 ab | 1877.50 ± 91.69 a | |
| N240 | 82.88 ± 10.43 a | 4.66 ± 0.09 a | 42.45 ± 0.43 b | 1821.00 ± 33.08 a |
Disclaimer/Publisher’s Note: The statements, opinions and data contained in all publications are solely those of the individual author(s) and contributor(s) and not of MDPI and/or the editor(s). MDPI and/or the editor(s) disclaim responsibility for any injury to people or property resulting from any ideas, methods, instructions or products referred to in the content. |
© 2025 by the authors. Licensee MDPI, Basel, Switzerland. This article is an open access article distributed under the terms and conditions of the Creative Commons Attribution (CC BY) license (https://creativecommons.org/licenses/by/4.0/).
Share and Cite
Qin, Y.; Feng, W.; Chen, J.; Zheng, C.; Zhang, L.; Nie, T. Critical Nitrogen Dilution Curve for Diagnosing Nitrogen Status of Cotton and Its Implications for Nitrogen Management in Cotton–Rape Rotation System. Agronomy 2025, 15, 1325. https://doi.org/10.3390/agronomy15061325
Qin Y, Feng W, Chen J, Zheng C, Zhang L, Nie T. Critical Nitrogen Dilution Curve for Diagnosing Nitrogen Status of Cotton and Its Implications for Nitrogen Management in Cotton–Rape Rotation System. Agronomy. 2025; 15(6):1325. https://doi.org/10.3390/agronomy15061325
Chicago/Turabian StyleQin, Yukun, Weina Feng, Junying Chen, Cangsong Zheng, Lijuan Zhang, and Taili Nie. 2025. "Critical Nitrogen Dilution Curve for Diagnosing Nitrogen Status of Cotton and Its Implications for Nitrogen Management in Cotton–Rape Rotation System" Agronomy 15, no. 6: 1325. https://doi.org/10.3390/agronomy15061325
APA StyleQin, Y., Feng, W., Chen, J., Zheng, C., Zhang, L., & Nie, T. (2025). Critical Nitrogen Dilution Curve for Diagnosing Nitrogen Status of Cotton and Its Implications for Nitrogen Management in Cotton–Rape Rotation System. Agronomy, 15(6), 1325. https://doi.org/10.3390/agronomy15061325
