Abstract
Aiming to address a series of problems caused by inefficient nitrogen fixation in soybean within the maize–soybean rotation system under cold-region conditions in Heilongjiang Province, China—such as reduced crop yields, declining soil fertility, and increased dependence on chemical fertilisers—this study investigated the partial substitution of chemical nitrogen fertilisers with bio-organic fertilisers at replacement rates of 10%, 20%, and 30% during soybean cultivation. The treatments included bio-organic fertilisers (OB1, OB2, OB3), inactivated bio-organic fertilisers (O1, O2, O3), Bacillus subtilis (B1, B2, B3), and a control (CK) with the conventional application of chemical fertilisers. In the rotational maize cropping phase, a 50% nitrogen reduction was applied. The results showed that replacing 20% of soybean nitrogen fertiliser with bio-organic fertiliser (OB2 treatment) yielded the most significant increase in productivity and economic return. Compared with CK, the OB2 treatment increased soybean yield by 26.56%, maize yield by 26.69%, and nitrogen fertiliser use efficiency by 3–5%. According to the GRA-TOPSIS model, the OB2 treatment demonstrated the greatest capacity to improve quality and efficiency in the maize–soybean rotation system. At the soybean maturity stage, the OB2 treatment increased soil total organic carbon, available phosphorus, and soil protease activity by 25.36%, 22.20%, and 87.50%, respectively, compared with CK. At maize maturity, soil ammonium nitrogen and soil protease activity increased by 80.24% and 62.47%, respectively. Bio-organic fertilisers combine the benefits of organic fertiliser substrates with those of functional microorganisms. Correlation, cluster, and interaction analyses revealed that the synergistic mechanisms between maize–soybean rotation and bio-organic fertilisers in cold regions are primarily reflected in improved soil quality, enhanced nutrient cycling efficiency, increased nitrogen fixation in soybean root nodules, stimulated microbial activity, and greater resilience to environmental stress. Sustainable agricultural production in cold regions can be achieved through the integrated functioning of these system components. This study provides a theoretical basis for enhancing yield and efficiency in maize–soybean rotation systems under cold climatic conditions.
1. Introduction
Heilongjiang Province, with its unique climatic conditions and vast expanses of fertile black soil, has become a key region for the production of high-quality commercial grain in China [1]. In recent years, the growing demand for food production, coupled with an increasing awareness of ecological agriculture and the efficient use of land resources [2], has highlighted the limitations of traditional monoculture systems [3,4]. These limitations are evident in declining crop yields [5,6], reduced land use efficiency [6,7], soil fertility degradation, and increased dependency on chemical fertilisers [6,8], posing serious challenges to agricultural development in cold regions.
Crop rotation, as a green and ecologically sound agricultural practice, involves the alternate cultivation of crops with varying root depths and nutrient requirements [9]. This approach helps to improve soil structure [6,10], optimise nutrient uptake [6,11], enhance biodiversity [12,13], and reduce the need for chemical inputs [14,15]. In Heilongjiang, the maize–soybean biennial rotation system has emerged as a dominant cropping pattern [16], owing to its ability to enhance nutrient cycling and maintain high productivity [17,18]. However, the low-temperature conditions characteristic of cold regions hinder the formation of effective root nodules in soybean, thereby reducing its nitrogen-fixing capacity and limiting the nutrient supply for the subsequent maize crop [19]. This ultimately results in lower yields for both crops and diminished production efficiency.
To address these challenges, Bacillus subtilis, a beneficial soil microorganism, has been recognised for its ability to improve the soil microbial community [20], enhance soil enzyme activity [21], and strengthen crop resistance to environmental stress [22,23], thereby promoting nitrogen fixation in soybean [24,25]. Nevertheless, the application of Bacillus subtilis alone has shown inconsistent outcomes in terms of improving nutrient availability and soil stability under cold-region conditions. When combined with organic materials through solid-state fermentation, Bacillus subtilis can be used to produce bio-organic fertiliser, which not only supplements soil nutrients but also provides essential carbon sources for functional microbes such as rhizobia.
Therefore, this study focuses on experimental fields in the cold regions of Heilongjiang Province using a maize–soybean rotation system in conjunction with Bacillus subtilis-based bio-organic fertiliser to partially replace chemical nitrogen fertiliser at rates of 10%, 20%, and 30%. The research aims to: (1) evaluate the effects of different fertilisation treatments on crop productivity and economic returns; (2) assess the impact of Bacillus subtilis bio-organic fertiliser on soybean nodulation and soil properties; (3) elucidate the synergistic mechanisms between maize–soybean rotation and bio-organic fertilisers under cold-region conditions; and (4) propose an optimised fertilisation strategy for quality enhancement and efficiency improvement.
2. Materials and Methods
2.1. Overview of the Experimental Site
The field experiment was conducted from 2022 to 2023 at Xiangyang Farm, Harbin, Heilongjiang Province, China (126°56′2.16″ E, 45°46′9.67″ N). The region is characterised by a temperate monsoon climate, and the soil type is classified as chernozem. From 1 May to 1 November 2022, the area received a total precipitation of 590.11 mm, with an average maximum temperature of 21.7 °C and an average minimum temperature of 11.9 °C. During the same period in 2023, total precipitation was 686.00 mm, with an average maximum temperature of 22.6 °C and an average minimum temperature of 12.6 °C. Climatic data were obtained from the local meteorological station, with the details being presented in Figure 1. The initial physicochemical properties of the 0–20 cm topsoil layer are summarised in Table 1.
Figure 1.
(a) Daily maximum and minimum temperatures and precipitation from 1 May to 1 November 2022; (b) daily maximum and minimum temperatures and precipitation from 1 May to 1 November 2023.
Table 1.
Initial physical and chemical properties of soil at the 0~20 cm depth.
2.2. Experimental Materials
The soybean variety DongNong252 and the maize variety DongNong2004, both widely cultivated in the local area, were selected for the experiment. Nitrogen, phosphorus, and potassium fertilisers were purchased from Shenyang Beinong Biotechnology Co., Ltd. (Shenyang, China). The nitrogen fertiliser was urea with a nitrogen content of 46%; the phosphorus fertiliser was monopotassium phosphate with a P2O5 content of 52%; and the potassium fertiliser was potassium sulphate with a K2O content of 52%.
The bio-organic fertiliser was sourced from Harbin Green Oasis Star Biotechnology Co., Ltd. (Harbin, China). Its physicochemical characteristics are shown in Table 2. This product is produced from substances such as animal manure and maize residues, with Bacillus subtilis (a species within the Bacillus genus) as the dominant functional microorganism. The organic fertiliser matrix was derived from the bio-organic fertiliser by high-temperature sterilisation to inactivate functional microbes; all other components were identical to those of the bio-organic fertiliser. Bacillus subtilis was also separately prepared in powder form by extraction from the bio-organic fertiliser, with a viable cell count of no less than 2 × 1010 cfu/g.
Table 2.
Physicochemical characteristics of the bio-organic fertiliser.
2.3. Experimental Design
We designed the corn–soybean rotation and bio-organic fertiliser synergistic experiment, set up bio-organic fertiliser (OB), inactivated bio-organic fertiliser (O), and Bacillus subtilis (B) to replace nitrogen fertiliser. Fertiliser rates were designed based on the fertilisation habits of local farmers in Heilongjiang Province, China. Soybean was planted with P2O5 75 kg/hm and K2O 48 kg/hm, and N fertiliser reduction was set at 10%, 20%, and 30% gradients, while the CK treatment was directly fertilised with the conventional amount of fertiliser, i.e., N 60 kg/hm. The planting density was 120,000 plants/ha.
In order to verify the effect of bio-organic fertiliser on maize yield and soil environment under the maize–soybean rotation pattern under different gradient fertilisation patterns in the first year, and also to improve the problem of declining soil environmental condition under maize planting caused by high nitrogen fertiliser addition, only one fertilisation gradient was set up for maize planting. Maize was planted with P2O5 60 kg hm−2, K2O 40 kg hm−2, and a 50% reduction in nitrogen fertiliser application, i.e., N 75 kg hm−2. The planting density was 45,000 plants/ha.
All fertilisers—nitrogen, phosphorus, and potassium—as well as the Bacillus subtilis-based bio-organic fertiliser, inactivated bio-organic fertiliser, and Bacillus subtilis powder, were applied once as a basal treatment before sowing. A total of 10 treatments were established, each replicated three times, resulting in 30 experimental plots. Each plot covered an area of 100 m2 (10 m × 10 m) (Table 3).
Table 3.
Management and treatment code of different modes of soybean.
2.4. Sample Collection and Analytical Methods
Soil sampling and measurements were conducted between June and October in both 2022 and 2023. The growth periods of soybean and maize were each divided into five key stages, designated as Period 1 to Period 5. For soybean, the stages included V6 (branching), R2 (flowering), R4 (pod formation), R6 (seed filling), and R8 (maturity). For maize, the stages were V6 (jointing), V12 (large bell stage), VT (tasselling), R3 (milk stage), and R6 (maturity). Soil samples were collected from 0 to 20 cm depth under each treatment and in three replicates using the five-point sampling method.
After the collected soil samples were air-dried, total nitrogen content was determined using an elemental analyser (vario EL III, Elemental, Hamburg, Germany) [26]. Total organic carbon content was determined using a total organic carbon analyser (TOC-VCPN-SSM5000A, Shimadzu, Kyoto, Japan) [27]. Ammonium nitrogen, nitrate nitrogen, and effective phosphorus content (AP) were determined using an AA3 continuous flow analyser (Auto Analyzer 3, BRANLUEBBE, Hamburg, Germany) [28,29]. Soil fast potassium content was determined using an atomic absorption spectrometer (ICE™3500, Thermo Elemental, Waltham, MA, USA) [30].
Microbiomass mass carbon and microbiomass nitrogen were extracted using chloroform fumigation [31] and determined using a TOC analyser (Multi N/C 2100s; Analytic Jena, Germany) and AA3 continuous flow analyser (Auto Analyzer 3, BRANLUEBBE, Hamburg, Germany) [32,33]. Soil protease was determined by the ninhydrin colorimetric method [34]; soil urease by the sodium phenol colorimetric method [35]; and soil acid phosphatase by the disodium phosphate colorimetric method [36]. The measuring instrument was an enzyme marker (SpectraMax reg iD3, Molecular Devices, Shanghai, China) [37].
Prior to harvest, ten consecutive plants were selected from the central area of each plot to assess crop yield and 100-grain weight for both soybean and maize. For root nodule analysis, soybean plants were carefully excavated using the soil shaking method during each growth stage. Three replicates per treatment were collected and mixed to determine nodule number and dry weight. Ten representative plants from the central area of each replicate plot were also selected before harvesting to measure yield and 100-grain weight.
2.5. Data Processing
Data were processed using Microsoft Office 2024. Statistical analyses were conducted using SPSS 22.0. A one-way ANOVA test was performed, and significant differences among treatments were evaluated using the least significant difference (LSD) test. Graphs and correlation analyses (Pearson) were produced using OriginPro 2021b. Rate of change in nitrogen fertiliser utilisation (%) = nitrogen applied to different nitrogen application regions/nitrogen fertiliser input × 100%.
3. Results and Discussion
3.1. Effect of Different Fertiliser Treatments on Yield, Quality, and Economic Efficiency of Soybean and Maize
Crop yield, quality, and economic return are key indicators for assessing agricultural productivity [38]. The effects of different fertilisation treatments on soybean and maize yield, quality, and economic benefit are summarised in Table 4 and Table 5. The results showed that OB treatments significantly improved the production efficiency of the maize–soybean rotation system. Compared with CK, the OB2 treatment increased the 100-grain weight of soybean by 11.51%, yield by 26.56%, and nitrogen use efficiency by 3–5%. For maize, the OB2 treatment increased the 100-grain weight by 14.69% and yield by 26.69%. After accounting for the costs of bio-organic fertiliser and nitrogen fertiliser, the economic return of the OB2 treatment was 23.04% higher than that of the CK treatment.
Table 4.
Maize and soybean yields and economic benefits.
Table 5.
Maize and soybean yields and economic benefits. The economic benefit is calculated as the difference between the sum of the total crop production value and the cost savings of reduced nitrogen fertiliser and the cost of bio-organic fertiliser.
However, results from the OB3 treatment indicated that a higher substitution rate of nitrogen with bio-organic fertiliser does not necessarily result in higher yields. Excessive application of bio-organic fertiliser increased costs without further yield benefits.
3.2. Effects of Different Fertilisation Treatments on Soil Physicochemical Properties
3.2.1. Effects on Soil Total Nutrients
Total nitrogen (TN) and total organic carbon (TOC) account for more than 60% of the total nutrient content in soil and are therefore critical indicators for evaluating overall soil fertility [39]. The variations in TOC and TN content under different treatments are illustrated in Figure 2. The results showed that both TOC and TN exhibited similar patterns across the entire crop growth period, generally increasing initially and then declining as the season progressed.
Figure 2.
Changes in soil total nutrients in different treatments of soybean and maize. P1—Soybean branching and maize stem elongation; P2—soybean flowering and maize big trumpet; P3—soybean pod development and maize tasselling; P4—soybean seed filling and maize milk; P5—soybean maturity and maize maturity. Because of the different units and orders of magnitude of the indicators, each indicator was converted into a uniform dimensionless number for comprehensive representation in the graph. The vertical coordinate of the graph takes the sum of the dimensionless numbers of TC/1 g·kg−1 and TN/1 g·kg−1 as the calculated total amount of soil total nutrients, and the high and low of the bar graph indicate the high and low of soil total nutrients, respectively. The detailed data of each index are shown in the attached Tables S1 and S2.
At soybean maturity, the OB treatments demonstrated the most significant enhancement in total soil nutrients compared with other treatments. In particular, the OB2 treatment resulted in the greatest increases in TOC and TN, improving by 25.36% and 17.43%, respectively, relative to the CK treatment. This improvement is primarily attributed to the high efficiency of Bacillus subtilis in decomposing organic matter and enhancing nutrient release within the bio-organic fertiliser [40].
During the maize growing season, residual effects from the previous soybean crop continued to influence soil nutrient status. At maize emergence, the OB2 treatment increased TN and TOC by 1.46% and 18.15%, respectively, compared with CK. By maize maturity, the OB2 treatment again showed the most pronounced enhancement, with TOC and TN increased by 17.25% and 31.20%, respectively. In addition, the O₂ treatment significantly increased TOC by 8.20% and TN by 22.56%, further confirming the positive role of bio-organic fertilisers in promoting nutrient accumulation and long-term soil improvement [41]. The cold-tolerant nature of Bacillus subtilis allows it to continue decomposing organic materials and facilitates nutrient cycling even under the low-temperature conditions of cold-region soils [40,42].
3.2.2. Effects on Available Soil Nutrients
Available soil nutrients refer to those nutrient forms that can be readily absorbed and utilised by crops during a specific growing season. These primarily include nitrogen in the form of ammonium and nitrate, available phosphorus, available potassium, and various secondary and micronutrients [43]. The level of available nutrients is a key indicator of the soil’s nutrient-supplying capacity. The dynamics of available soil nutrients are shown in Figure 3a,b. Across both soybean and maize growth periods, all indicators showed a general declining trend.
Figure 3.
(a) Changes in available soil nutrients under different treatments during the soybean growth period; (b) changes in available soil nutrients under different treatments during the maize growth period. P1—Soybean branching and maize stem elongation; P2—soybean flowering and maize big trumpet; P3—soybean pod development and maize tasselling; P4—soybean seed filling and maize milk; P5—soybean maturity and maize maturity. Because of the different units and orders of magnitude of the indicators, each indicator was converted into a uniform dimensionless number for comprehensive representation in the graph. The vertical coordinate of the graph takes the sum of the dimensionless numbers of NH4+/1 mg·kg−1 and NO3−TN/0.1 mg·kg−1, AP/1 mg·kg−1, AK/10 mg·kg−1, etc., which is the total amount of effective nutrients in the soil, and the high and low of the bar graph indicate the high and low of effective nutrients in the soil, respectively. The detailed data of each index are shown in the attached Tables S3 and S4.
During the soybean growth period, available nutrient levels declined as the crop developed; however, the rate of decline was notably lower under the OB treatments. By the flowering and pod-setting stages, the treated groups showed superior nutrient levels compared with CK. At maturity, the OB2 treatment demonstrated the most pronounced effect, with soil ammonium nitrogen and nitrate nitrogen contents being increased by 73.37% and 22.20%, respectively, relative to the CK. This can be attributed to the ability of Bacillus subtilis to promote the transformation of total nitrogen into more plant-available forms, such as ammonium and nitrate. Moreover, the diverse nitrogen sources in the organic fertiliser further enhanced available nitrogen levels in the soil. At the same time, both the B and OB treatments significantly increased available phosphorus content at maturity, likely due to the organic acids secreted by Bacillus subtilis, which facilitate the conversion of insoluble phosphorus into available forms [44].
During the maize growth period, the OB treatments effectively met the crop’s early-stage nutrient demands. By the jointing stage, Bacillus subtilis continued to exert positive effects, with the OB3 treatment showing the most significant improvements in available nutrients—30.08% to 43.60% higher than the CK. However, by the maize maturity stage, there were no significant differences among treatments in terms of available phosphorus and potassium. This can be explained by several factors:
- (1)
- Reduced microbial activity due to low temperatures—in Heilongjiang, autumn temperatures drop significantly, inhibiting microbial metabolism, including that of Bacillus subtilis, thus reducing the mineralisation of organic phosphorus and potassium [45];
- (2)
- Crop nutrient uptake—maize has a high demand for phosphorus and potassium during its late growth stages, which may have masked treatment-related differences in soil nutrient supply;
- (3)
- Nutrient fixation and balance—phosphorus tends to become fixed in the soil, while potassium may be lost through leaching or stabilised by crop uptake, resulting in a dynamic equilibrium that reduces the apparent impact of fertiliser additions.
3.3. Effect of Different Fertilisation Treatments on Soil Biological Properties
3.3.1. Effects on Soybean Root Nodules
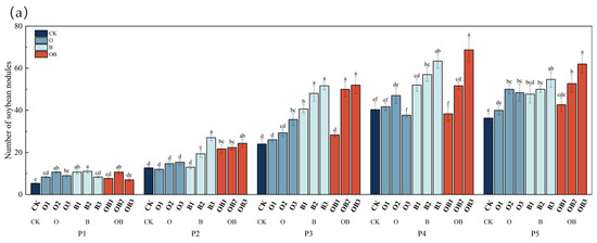
The formation and development of soybean root nodules are fundamental to the plant’s symbiotic nitrogen-fixing capacity and represent a key component of nitrogen cycling within the maize–soybean rotation system. Figure 4 presents the effects of different treatments on root nodule number (nodules per plant) and nodule dry weight (mg per plant), providing a direct basis for evaluating nitrogen fixation efficiency under rotational conditions.

Figure 4.
(a) Changes in soybean root nodule number under different treatments; (b) changes in soybean root nodule dry weight under different treatments. P1—Soybean branching and maize stem elongation; P2—soybean flowering and maize big trumpet; P3—soybean pod development and maize tasselling; P4—soybean seed filling and maize milk; P5—soybean maturity and maize maturity. Different lowercase letters indicate significant differences in dry weight and number of soybean rhizomes as a function of treatment (p < 0.05).
At the flowering stage, significant differences in nodule numbers were observed among treatments. Compared with CK, both the B and OB treatments significantly increased nodule numbers, indicating that Bacillus subtilis-based bio-organic fertiliser can improve the rhizosphere microbial environment and promote nodule formation. During the pod formation stage, nodule numbers increased significantly with higher substitution ratios of bio-organic fertiliser, suggesting that nodule development is closely linked to soil nutrient availability [46]. By the maturity stage, nodule numbers stabilised across treatments; however, the OB3 treatment still exhibited a clear advantage, increasing nodule number by 32.11% compared with CK.
The dry weight of root nodules displayed a staged trend. From the seed-filling stage onwards, the O and OB treatments showed significant increases in nodule biomass, suggesting that sufficient soil nutrient supply is a key driver of nodule development. In contrast, the B treatment alone had a limited effect on nodule biomass accumulation. At maturity, the OB2 treatment achieved the highest nodule dry weight, with significant increases of 71.40% and 77.15% compared with CK during the pod formation and maturity stages, respectively.
It is noteworthy that excessive application of bio-organic fertiliser (as in the OB3 treatment) led to a decline in nodule dry weight and nitrogen fixation efficiency. This indicates the existence of an optimal application threshold for bio-organic fertiliser; surpassing this threshold may suppress nodule development [47]. These findings highlight the importance of determining a rational substitution ratio for replacing chemical nitrogen with bio-organic fertiliser in order to maintain optimal nodulation and nitrogen fixation performance.
3.3.2. Effects on Microbial Biomass
Microbial biomass is a key indicator of soil biological activity [48], and significant differences were observed among the treatments (Figure 5). Both microbial biomass carbon (MBC) and microbial biomass nitrogen (MBN) showed a dynamic trend of first increasing and then decreasing throughout the crop growth period, with all treatments being significantly higher than the CK treatment.
Figure 5.
Changes in soil microbial biomass carbon and nitrogen under different treatments during the soybean and maize growth periods. P1—Soybean branching and maize stem elongation; P2—soybean flowering and maize big trumpet; P3—soybean pod development and maize tasselling; P4—soybean seed filling and maize milk; P5—soybean maturity and maize maturity. Because of the different units and orders of magnitude of the indicators, each indicator was converted into a uniform dimensionless number for comprehensive representation in the graph. The vertical coordinate of the graph takes the sum of the dimensionless numbers such as MBC/10 mg·kg−1 and MBN/1 mg·kg−1 as the total amount of soil microbial quantity calculated, and the high and low of the bar graph indicate the high and low soil microbial quantity, respectively. The detailed data of each index are shown in the attached Tables S5 and S6.
During the soybean growth period, the OB and B treatments produced the most pronounced increases in MBC and MBN, suggesting that Bacillus subtilis effectively activates the soil microbial community during critical growth stages. By the maturity stage, MBC and MBN levels increased with the proportion of nitrogen fertiliser replaced by bio-organic fertiliser. This trend is attributed to the abundant carbon sources provided by the organic fertiliser and the ecological regulation effects of functional microorganisms such as Bacillus subtilis, which promote microbial accumulation by shaping a favourable microenvironment [49,50].
During the maize growth period, rising temperatures contributed to the recovery of microbial biomass to higher levels. Notably, due to the strong cold resistance of Bacillus subtilis, its activity was less affected by the low winter temperatures typical of cold regions. As a result, in the early stages of maize development, microbial biomass in the OB treatments recovered more rapidly. Reactivated Bacillus subtilis played a crucial role in decomposing organic matter and supplying carbon sources for maize growth. Among the treatments, OB2 showed the greatest increase in microbial biomass, with a 27.6% improvement over CK. These results confirm that, from a long-term perspective, the synergistic interaction between Bacillus subtilis and organic matter in bio-organic fertiliser can continuously sustain soil microbial activity [51].
3.3.3. Effects on Soil Functional Enzyme Activities
Soil functional enzyme activity is a key indicator for assessing potential soil fertility [52] as it directly reflects the long-term nutrient supply capacity of the soil (Figure 6a,b). The results indicated that different enzymes responded variably to fertilisation strategies: soil protease and urease activities were more sensitive to organic fertiliser inputs, while acid phosphatase and catalase (CAT) activities were more responsive to the introduction of functional microorganisms.
Figure 6.
(a) Changes in soil enzyme activities under different treatments during the soybean growth period; (b) changes in soil enzyme activities under different treatments during the maize growth period. P1—Soybean branching and maize stem elongation; P2—soybean flowering and maize big trumpet; P3—soybean pod development and maize tasselling; P4—soybean seed filling and maize milk; P5—soybean maturity and maize maturity. Because of the different units and orders of magnitude of the indicators, the indicators are converted to a uniform dimensionless number for comprehensive representation in the graph. The vertical coordinate in the graph takes the sum of dimensionless numbers of protease/1 mg/g/d and urease/1 mg/g/d, acid phosphatase/1 mg/g/d, catalase/2000 mg/g/d, etc., as the total amount of soil enzyme activity calculated, and the high and low of the bar graph indicate the high and low soil enzyme activity, respectively. Detailed data of each index are shown in the attached Tables S7 and S8.
During the soybean growth period, both protease and urease activities followed a dynamic trend of first increasing and then decreasing. Among the OB (composite bio-organic fertiliser), B (Bacillus subtilis-based bio-organic fertiliser), and O (inactivated organic fertiliser) treatments, enzyme activities increased significantly with higher organic fertiliser application rates [53]. This enhancement can be attributed to:
- (1)
- The application of an organic fertiliser significantly boosting the soil organic matter cycling efficiency;
- (2)
- The introduction of Bacillus subtilis, which contributed to a more stable microbial environment and enhanced urease activity through increased synthesis and activation [54].
During the maize growth period, the OB treatments continued to exhibit significant advantages in enzyme activity. At the jointing stage, compared with CK, the OB treatment increased the activities of soil protease, urease, acid phosphatase, and catalase by 60.23%, 50.15%, 27.15%, and 19.75%, respectively. These findings confirm that:
- (1)
- Bacillus subtilis plays a crucial role in regulating soil enzyme activities within the bio-organic fertiliser system;
- (2)
- The application of bio-organic fertiliser in the maize–soybean rotation system exerts a sustained effect: enzyme activities were significantly enhanced during the initial soybean growing season and remained high during the subsequent maize season;
- (3)
- From a long-term perspective, bio-organic fertiliser containing Bacillus subtilis can continuously support soil fertility in rotation-based farming systems [55].
3.4. Synergistic Mechanism of Maize–Soybean Rotation and Bio-Organic Fertiliser in Cold Regions
This study systematically analysed the multidimensional relationships among crop yield, quality traits, and soil properties in a maize–soybean rotation system, thereby revealing the synergistic enhancement mechanism of bio-organic fertilisers under cold-region agricultural conditions [56,57].
The correlations, interactions, and cluster analysis between crop (soybean and maize) yield, 100-grain weight, and soil physicochemical and biological properties are presented in Figure 7a. Yield and 100-grain weight exhibited similar response patterns to nitrogen-related soil parameters, both showing highly significant positive correlations with total nitrogen (TN) and ammonium nitrogen (NH₄⁺) (p ≤ 0.001), and significant positive correlations with nitrate nitrogen (NO₃−), protease (PRO), and urease (URE) activities (p ≤ 0.001). These findings suggest that bio-organic fertilisers enhance nitrogen cycling and accumulation in the maize–soybean rotation system. On the one hand, they significantly increase the levels of various nitrogen forms in the soil [58]; on the other hand, they accelerate nitrogen transformation through the stimulation of protease and urease activity, effectively improving crop yield and quality [59]. Although carbon, phosphorus, and potassium showed less direct influence on yield, they contributed to overall improvement in the soil environment, enhancing soil health and production efficiency [60].
Figure 7.
(a) Correlation–Interaction–Cluster analysis of crop yield and 100-grain weight (maize and soybean) with soil physicochemical and biological properties; (b) correlation–interaction–cluster analysis of crop yield and 100-grain weight (maize and soybean) with soil physicochemical and biological properties; P1—soybean branching and maize stem elongation; P2—soybean flowering and maize big trumpet; P3—soybean pod development and maize tasselling; P4—soybean seed filling and maize milk; P5—soybean maturity and maize maturity.
Bacillus subtilis maintains activity through dormancy–resuscitation mechanisms [61,62], overcoming the limitations of low winter temperatures and delivering cross-seasonal benefits, enhancing soybean nitrogen fixation in the current season (77.15% increase in nodule dry weight) and promoting continued yield increases in maize during the following season (26.69% increase) [63].
The correlations, interactions, and cluster analysis of soybean root nodule number and dry weight with soil properties at different growth stages are shown in Figure 7b. The analyses revealed that both nodule number and dry weight were significantly positively correlated with ammonium nitrogen (NH₄⁺), microbial biomass carbon (MBC), microbial biomass nitrogen (MBN), and catalase (CAT) activity. Nodule dry weight also showed significant correlations with total organic carbon (TOC), available potassium (AK), and urease (URE) activity. These results indicate that bio-organic fertilisers significantly promote the formation and development of soybean root nodules, thereby enhancing their carbon fixation efficiency.
In summary, the synergistic enhancement mechanisms between bio-organic fertilisers and the maize–soybean rotation system in cold regions can be described as follows:
- (1)
- Organic nitrogen in bio-organic fertilisers exerts a prolonged effect in the soil, offering a more sustained nutrient supply compared with chemical fertilisers;
- (2)
- The rich organic carbon content of the fertiliser facilitates the accumulation of potassium and provides essential nutrients for microbial growth and development;
- (3)
- Bacillus subtilis improves the activity of functional soil microorganisms and key enzymes, thereby promoting the cycling of carbon and nitrogen and the mobilisation of available phosphorus;
- (4)
- Bio-organic fertilisers improve the soil microbial environment, enhancing the nitrogen-fixing function of soybean and mitigating the inhibitory effects of low temperatures on rhizobia in cold-region soils.
3.5. Optimisation of Fertilisation Strategies for Quality and Efficiency Improvement
In this study, the dynamic variation of different indicators across crop species and growth stages made it challenging to identify the optimal treatment for individual parameters. Therefore, a comprehensive evaluation system was employed to assess the effects of various fertilisation treatments on soil properties and their capacity to enhance yield and efficiency, with the goal of selecting the most suitable fertilisation strategy for improving quality and productivity in maize–soybean rotation systems in cold regions [64,65,66,67,68].
The evaluation framework integrated soil physicochemical properties, biological characteristics, and crop yield indicators. To minimise computational error and enhance the reliability of results, two weighting methods and two evaluation approaches were applied. The selected indicators and corresponding results are presented in Table 6 and Supplementary Table S9.
Table 6.
Model calculation results.
The results of the weight calculations using the entropy weight method and the CRITIC method are shown in Supplementary Table S9. The outcomes of the two methods were generally consistent. The weight assigned to the physicochemical soil indicators for maize was 20.598%, higher than the 18.447% assigned to those for soybean, indicating that the substitution of nitrogen fertiliser with bio-organic fertiliser has greater application value and promotional potential in improving multiple indicators for the subsequent maize crop. This difference was also statistically significant.
According to the results of the GRA-TOPSIS model (Table 6), the OB2 treatment achieved the highest comprehensive score among the ten treatments tested, followed by OB3. This suggests that once the application amount reaches a certain threshold, bio-organic fertiliser can effectively combine the benefits of organic substrates and functional microorganisms to enhance overall agricultural system productivity. However, increasing the application amount beyond a certain point does not necessarily lead to greater economic benefits.
In summary, during the soybean cultivation phase, the OB2 treatment (nitrogen fertiliser: 48 kg ha−1, bio-organic fertiliser: 304.57 kg ha−1, with a 50% reduction in nitrogen fertiliser for the subsequent maize crop) was identified as the most effective strategy for enhancing yield and efficiency in the maize–soybean rotation system in cold regions.
4. Conclusions
- (1)
- Bio-organic fertiliser significantly enhanced production efficiency. The OB2 treatment resulted in the highest soybean and maize yields, 100-grain weights, and economic benefits. Compared with CK, soybean yield and 100-grain weight increased by 26.56% and 11.51%, respectively, while maize yield and 100-grain weight increased by 26.69% and 14.67%, respectively. The overall economic benefit improved by 23.04%. However, the substitution ratio of bio-organic fertiliser does not show a linear positive effect: further increasing its application amount led to diminished yield gains and reduced economic returns due to higher input costs.
- (2)
- The OB2 treatment significantly improved both total and available nutrient contents in the soil throughout the soybean and maize growth periods. It also promoted the accumulation of microbial biomass carbon and nitrogen and enhanced the activity of key soil enzymes. These positive effects were sustained in the subsequent maize rotation season. The treatment also markedly stimulated the development of soybean root nodules. Soil nutrients were significantly higher under OB2 treatment compared with CK at the flowering stage of soybean and the male pulling stage of maize. This indicates that the bio-organic fertiliser can meet the nutrients during the period of high crop growth demand. At the soybean maturity stage, nodule dry weight and number were increased by 77.15% and 32.11%, respectively, compared with CK. However, excessive application of bio-organic fertiliser inhibited nodule formation. Although nutrient availability in the later stages of crop growth was reduced due to low temperatures and crop uptake, Bacillus subtilis continued to improve the microbial environment and provided a sustained nutrient supply under cold-region conditions.
- (3)
- Crop yield and 100-grain weight were most responsive to the soil nitrogen supply capacity. The synergistic effect of bio-organic fertiliser in cold-region maize–soybean rotations is primarily driven by: the fertiliser’s own nitrogen supply capacity, the improvement of the soil environment through abundant organic carbon and functional microorganisms, enhanced nitrogen fixation in soybean, and the alleviation of temperature-induced inhibition on rhizobia. According to the GRA-TOPSIS model, the OB2 treatment showed the most significant effect in improving yield and quality in the maize–soybean rotation system in cold regions. Substituting 20% of chemical nitrogen fertiliser with bio-organic fertiliser during the soybean growth period was identified as the optimal fertilisation strategy. These findings provide a theoretical basis for improving production efficiency and supporting the sustainable development of farmland in cold-region maize–soybean rotation systems.
Supplementary Materials
The following supporting information can be downloaded at: https://www.mdpi.com/article/10.3390/agronomy15051256/s1, Table S1: Total nutrients for the whole life cycle of soybeans; Table S2: Total nutrients for the whole life cycle of mazie; Table S3: Available soil nutrients for the whole life span of soybeans; Table S4: Available soil nutrients for the whole life span of maize; Table S5: Microbial biomass for the whole life cycle of soybeans; Table S6: for the whole life cycle of maize; Table S7: Soil functional enzyme activities for the whole life cycle of soybeans; Table S8: Soil functional enzyme activities for the whole life cycle of maize; Table S9: Weighting of different indicators in the model.
Author Contributions
Writing—original draft preparation and figures, Z.W.; writing—original draft preparation and editing, H.T.; resources and methodology, N.S.; writing—review and editing, H.W.; methodology and figures, S.T.; methodology and study design, S.C.; validation and data collection and data analysis, X.W.; validation and data interpretation and data collection, S.R.; formal analysis and literature search, X.Z. (Xiangyuan Zuo); formal analysis and figures, X.Z. (Xingbo Zhao). All authors have read and agreed to the published version of the manuscript.
Funding
This work was supported by the Technology for Enhancing Soil Ecological Function in Maize–Soybean Rotations (XDA28070302), the National Key R&D Program of China (Nos. 2023YFD1501004), and open project of “Key Laboratory of Germplasm Innovation and Physiological Ecology of Grain Crops in Cold Regions under the Ministry of Education” (CXSTOP202204).
Data Availability Statement
Data will be made available upon reasonable request.
Conflicts of Interest
The authors declare that they have no known competing financial interests or personal relationships that could have appeared to influence the work reported in this paper.
References
- Dai, Z.-Z.; Chang, S.; Zhao, G.-R.; Duan, J.-J.; Liang, H.-Y.; Zhu, Z.-Y.; Liu, S.-L.; Feng, Y.-Z.; Wang, X. Unlocking China’s Grain Yield Potential: Harnessing Technological and Spatial Synergies in Diverse Cropping Systems. Agric. Syst. 2025, 226, 104308. [Google Scholar] [CrossRef]
- Feng, L.; Luo, G.; Ioppolo, G.; Zhang, X.; Liao, W. Prevention and Control of Soil Pollution toward Sustainable Agricultural Land Use in China: Analysis from Legislative and Judicial Perspectives. Land Use Policy 2025, 151, 107497. [Google Scholar] [CrossRef]
- Zhao, J.; Yang, Y.; Zhang, K.; Jeong, J.; Zeng, Z.; Zang, H. Corrigendum to “Does Crop Rotation Yield More in China? A Meta-Analysis” [Field Crops Research, Volume 245, 1 January 2020, 107659]. Field Crops Res. 2024, 313, 109404. [Google Scholar] [CrossRef]
- Dang, K.; Ma, Y.; Liang, H.; Fan, Z.; Guo, S.; Li, Z.; Li, H.; Zhang, S. Distinct Planting Patterns Exert Legacy Effects on the Networks and Assembly of Root-Associated Microbiomes in Subsequent Crops. Sci. Total Environ. 2024, 946, 174276. [Google Scholar] [CrossRef]
- Zhao, J.; Yuan, X.; Liu, Z.; Shi, H.; Zhai, B.; Zhu, Y. Divergent Responses of Soil Physicochemical Properties in 6-m Profiles to Long-Term Overfertilization in Rainfed Apple Orchards on China’s Loess Plateau. Agric. Ecosyst. Environ. 2024, 361, 108817. [Google Scholar] [CrossRef]
- Wang, Y.; Wu, P.; Qiao, Y.; Li, Y.; Liu, S.; Gao, C.; Liu, C.; Shao, J.; Yu, H.; Zhao, Z.; et al. The Potential for Soil C Sequestration and N Fixation under Different Planting Patterns Depends on the Carbon and Nitrogen Content and Stability of Soil Aggregates. Sci. Total Environ. 2023, 897, 165430. [Google Scholar] [CrossRef]
- Raza, S.; Miao, N.; Wang, P.; Ju, X.; Chen, Z.; Zhou, J.; Kuzyakov, Y. Dramatic Loss of Inorganic Carbon by Nitrogen-induced Soil Acidification in Chinese Croplands. Glob. Change Biol. 2020, 26, 3738–3751. [Google Scholar] [CrossRef]
- Wang, X.; Liu, M.; Ciampitti, I.A.; Cui, J.; Fang, K.; Zhao, S.; He, P.; Zhou, W. Benefits and Trade-Offs of Replacing Inorganic Fertilizer by Organic Substrate in Crop Production: A Global Meta-Analysis. Sci. Total Environ. 2024, 925, 171781. [Google Scholar] [CrossRef] [PubMed]
- De Notaris, C.; Enggrob, E.E.; Olesen, J.E.; Sørensen, P.; Rasmussen, J. Faba Bean Productivity, Yield Stability and N2-Fixation in Long-Term Organic and Conventional Crop Rotations. Field Crops Res. 2023, 295, 108894. [Google Scholar] [CrossRef]
- Yang, R.; Qi, Y.; Yang, L.; Chen, T.; Deng, A.; Zhang, J.; Song, Z.; Ge, B. Rotation Regimes Lead to Significant Differences in Soil Macrofaunal Biodiversity and Trophic Structure with the Changed Soil Properties in a Rice-Based Double Cropping System. Geoderma 2022, 405, 115424. [Google Scholar] [CrossRef]
- Chahal, I.; Hooker, D.C.; Deen, B.; Janovicek, K.; Van Eerd, L.L. Long-Term Effects of Crop Rotation, Tillage, and Fertilizer Nitrogen on Soil Health Indicators and Crop Productivity in a Temperate Climate. Soil Tillage Res. 2021, 213, 105121. [Google Scholar] [CrossRef]
- Eldridge, D.J.; Delgado-Baquerizo, M.; Quero, J.L.; Ochoa, V.; Gozalo, B.; García-Palacios, P.; Escolar, C.; García-Gómez, M.; Prina, A.; Bowker, M.A.; et al. Surface Indicators Are Correlated with Soil Multifunctionality in Global Drylands. J. Appl. Ecol. 2020, 57, 424–435. [Google Scholar] [CrossRef]
- Zhao, J.; Chen, J.; Beillouin, D.; Lambers, H.; Yang, Y.; Smith, P.; Zeng, Z.; Olesen, J.E.; Zang, H. Global Systematic Review with Meta-Analysis Reveals Yield Advantage of Legume-Based Rotations and Its Drivers. Nat. Commun. 2022, 13, 4926. [Google Scholar] [CrossRef]
- Liu, W.; Wang, J.; Sun, L.; Wang, T.; Li, C.; Chen, B. Sustainability Evaluation of Soybean-maize Rotation Systems in the Loess Plateau Region of Shaanxi, China. J. Clean. Prod. 2019, 210, 1229–1237. [Google Scholar] [CrossRef]
- Giller, K.E. The Food Security Conundrum of Sub-Saharan Africa. Glob. Food Secur. 2020, 26, 100431. [Google Scholar] [CrossRef]
- Luo, B.; Zhou, J.; Yao, W.; Wang, Y.; Guillaume, T.; Yuan, M.; Han, D.; Bilyera, N.; Wang, L.; Zhao, L.; et al. Maize and Soybean Rotation Benefits Soil Quality and Organic Carbon Stock. J. Environ. Manag. 2024, 372, 123352. [Google Scholar] [CrossRef]
- Yang, L.; Wang, L.; Chu, J.; Zhao, H.; Zhao, J.; Zang, H.; Yang, Y.; Zeng, Z. Improving Soil Quality and Wheat Yield through Diversified Crop Rotations in the North China Plain. Soil Tillage Res. 2024, 244, 106231. [Google Scholar] [CrossRef]
- Zhang, L.; Liu, C.; Yao, W.; Shao, J.; Peixoto, L.; Yang, Y.; Zeng, Z.; Olesen, J.E.; Zang, H. Legume-Based Rotation Benefits Crop Productivity and Agricultural Sustainability in the North China Plain. Soil Tillage Res. 2025, 250, 106502. [Google Scholar] [CrossRef]
- Ratajczak, K.; Becher, M.; Kalembasa, S.; Faligowska, A.; Kalembasa, D.; Symanowicz, B.; Panasiewicz, K.; Szymańska, G.; Sulewska, H. Quantitative Determination of Nitrogen Fixed by Soybean and Its Uptake by Winter Wheat as Aftercrops Within Sustainable Agricultural Systems. Sustainability 2024, 16, 10153. [Google Scholar] [CrossRef]
- Ji, L.; Ni, K.; Wu, Z.; Zhang, J.; Yi, X.; Yang, X.; Ling, N.; You, Z.; Guo, S.; Ruan, J. Effect of Organic Substitution Rates on Soil Quality and Fungal Community Composition in a Tea Plantation with Long-Term Fertilization. Biol. Fertil. Soils 2020, 56, 633–646. [Google Scholar] [CrossRef]
- Luo, L.; Li, L.; Raza, A.; Zhao, C.; Pang, X.; Zhang, J.; Müller, C.; Yin, C. Organic Fertilizer and Bacillus Amyloliquefaciens Promote Soil N Availability via Changing Different Mineralization–Immobilization Turnover Rates in Acidic Soils. Agric. Ecosyst. Environ. 2024, 366, 108950. [Google Scholar] [CrossRef]
- Bacenetti, J.; Lovarelli, D.; Fiala, M. Mechanisation of Organic Fertiliser Spreading, Choice of Fertiliser and Crop Residue Management as Solutions for Maize Environmental Impact Mitigation. Eur. J. Agron. 2016, 79, 107–118. [Google Scholar] [CrossRef]
- Yang, J.; Zhang, S.; Zhang, J.; Zhao, S.; Lu, H.; Li, L.; Liu, L.; Wang, G. Incorporating Crop Rotation into the Winter Wheat-Summer Maize System to Enhance Soil Multifunctionality and Sustainable Grain Production in the North China Plain. Field Crops Res. 2025, 325, 109834. [Google Scholar] [CrossRef]
- Lestari, P.G.; Sinaga, A.O.Y.; Marpaung, D.S.S.; Nurhayu, W.; Oktaviani, I. Application of Organic Fertilizer for Improving Soybean Production under Acidic Stress. Oil Crop Sci. 2024, 9, 46–52. [Google Scholar] [CrossRef]
- Bahuguna, A.; Sharma, S.; Yadav, J. Effect of Different Organic Sources on Physical, Chemical and Biological Properties of Soil in Inceptisols of Varanasi. Int. J. Plant Soil Sci. 2021, 33, 41–52. [Google Scholar] [CrossRef]
- Steinmuller, H.E.; Breithaupt, J.L.; Rovai, A.S.; Engelbert, K.M.; Smoak, J.M.; Chambers, L.G.; Radabaugh, K.R.; Moyer, R.P.; Chappel, A.; Vaughn, D.R.; et al. Using Loss-on-Ignition to Estimate Total Nitrogen Content of Mangrove Soils. Geoderma 2024, 448, 116956. [Google Scholar] [CrossRef]
- Xiang, Y.; Yang, J.; Huang, Z.; Zhang, X.; Duan, H.; Yu, A.; Yang, H.; Fan, C.; Chen, G.; Li, X. Aboveground Plants Influence Heterogeneously Soil Organic Carbon (SOC) and Its Labile Fractions after Mixed Afforestation: Three Afforestation Types of Masson’s Pine in the Upper Yangtze River, China. Sci. Total Environ. 2024, 957, 177293. [Google Scholar] [CrossRef] [PubMed]
- Zhang, B.; Su, S.; Duan, C.; Feng, H.; Chau, H.W.; He, J.; Li, Y.; Hill, R.L.; Wu, S.; Zou, Y. Effects of Partial Organic Fertilizer Replacement Combined with Rainwater Collection System on Soil Water, Nitrate-Nitrogen and Apple Yield of Rainfed Apple Orchard in the Loess Plateau of China: A 3-Year Field Experiment. Agric. Water Manag. 2022, 260, 107295. [Google Scholar] [CrossRef]
- Liu, C.; Wang, H.; Ma, Y.; Guan, P.; Sun, Q.; Wang, Z.; Wang, Z.; Wang, Z.; Shi, M. Key Factors Influencing Wheat Grain Zinc and Manganese Concentration in Areas with Different Soil Available Phosphorus. Field Crops Res. 2024, 317, 109558. [Google Scholar] [CrossRef]
- Xia, H.; Wang, J.; Riaz, M.; Babar, S.; Li, Y.; Wang, X.; Xia, X.; Liu, B.; Jiang, C. Co-Application of Biochar and Potassium Fertilizer Improves Soil Potassium Availability and Microbial Utilization of Organic Carbon: A Four-Year Study. J. Clean. Prod. 2024, 469, 143211. [Google Scholar] [CrossRef]
- Kumwimba, M.N.; Akter, S.; Li, X.; Dzakpasu, M.; Ifon, B.E.; Manirakiza, B.; Muyembe, D.K.; Zhang, Y.; Huang, J.; Guadie, A. Nutrient and Sediment Retention by Riparian Vegetated Buffer Strips: Impacts of Buffer Length, Vegetation Type, and Season. Agric. Ecosyst. Environ. 2024, 369, 109050. [Google Scholar] [CrossRef]
- Tian, Y.; Schindlbacher, A.; Malo, C.U.; Shi, C.; Heinzle, J.; Kwatcho Kengdo, S.; Inselsbacher, E.; Borken, W.; Wanek, W. Long-Term Warming of a Forest Soil Reduces Microbial Biomass and Its Carbon and Nitrogen Use Efficiencies. Soil Biol. Biochem. 2023, 184, 109109. [Google Scholar] [CrossRef]
- Elrys, A.S.; Wen, Y.; Feng, D.; El-Mekkawy, R.M.; Kong, M.; Qin, X.; Lu, Q.; Dan, X.; Zhu, Q.; Tang, S.; et al. Cadmium Inhibits Carbon and Nitrogen Cycling through Soil Microbial Biomass and Reduces Soil Nitrogen Availability. J. Hazard. Mater. 2025, 489, 137524. [Google Scholar] [CrossRef]
- Afrin, S.; Tamanna, T.; Shahajadi, U.F.; Bhowmik, B.; Jui, A.H.; Miah, M.d.A.S.; Bhuiyan, M.N.I. Characterization of Protease-Producing Bacteria from Garden Soil and Antagonistic Activity against Pathogenic Bacteria. Microbe 2024, 4, 100123. [Google Scholar] [CrossRef]
- Zheng, Q.; Wang, W.; Zhang, P.; Zhang, M.; Yu, F.; Yu, L.; Liu, W.; Zhang, W.; Zhang, M. Combined Bamboo-Derived Biochar and DCD Improves the Catalytic Potentials of Ureases in Forest and Agricultural Soils. Ind. Crops Prod. 2025, 226, 120761. [Google Scholar] [CrossRef]
- Wang, Y.; Zhang, X.; Bao, J.; Yang, L.; Liu, B.; Wang, X.; Zhang, C.; Zhang, J.; Liu, Y.; Wang, L. Natural Restoration Has Better Soil Acid Phosphatase Kinetics than Artificial Plantations. Acta Oecologica 2025, 126, 104062. [Google Scholar] [CrossRef]
- Yeboah, J.O.; Shi, G.; Shi, W. Effect of Heavy Metal Contamination on Soil Enzymes Activities. J. Geosci. Environ. Prot. 2021, 9, 135–154. [Google Scholar] [CrossRef]
- He, S.; Du, J.; Wang, Y.; Cui, L.; Liu, W.; Xiao, Y.; Ran, Q.; Li, L.; Zhang, Z.; Tang, L.; et al. Differences in Background Environment and Fertilization Method Mediate Plant Response to Nitrogen Fertilization in Alpine Grasslands on the Qinghai-Tibetan Plateau. Sci. Total Environ. 2024, 906, 167272. [Google Scholar] [CrossRef]
- Bryk, M. Resolving Compactness Index of Pores and Solid Phase Elements in Sandy and Silt Loamy Soils. Geoderma 2018, 318, 109–122. [Google Scholar] [CrossRef]
- Luo, L.; Zhao, C.; Wang, E.; Raza, A.; Yin, C. Bacillus amyloliquefaciens as an Excellent Agent for Biofertilizer and Biocontrol in Agriculture: An Overview for Its Mechanisms. Microbiol. Res. 2022, 259, 127016. [Google Scholar] [CrossRef]
- Peng, L.; Deng, S.; Wu, Y.; Yi, W.; Zhang, Y.; Yao, X.; Xing, P.; Gu, Q.; Qi, J.; Tang, X. A Rapid Increase of Soil Organic Carbon in Paddy Fields after Applying Organic Fertilizer with Reduced Inorganic Fertilizer and Water-Saving Irrigation Is Linked with Alterations in the Structure and Function of Soil Bacteria. Agric. Ecosyst. Environ. 2025, 379, 109353. [Google Scholar] [CrossRef]
- Mohammadbagheri, L.; Nasr-Esfahani, M.; Abdossi, V.; Naderi, D. Genetic Diversity and Biochemical Analysis of Capsicum Annuum (Bell Pepper) in Response to Root and Basal Rot Disease, Phytophthora capsici. Phytochemistry 2021, 190, 112884. [Google Scholar] [CrossRef] [PubMed]
- Pan, Z.; Cai, X.; Cai, L.; Dong, B.; Haider, F.U.; Bo, Y.; Hu, Z.; Li, A.; Xue, Q. Soil and Microbial Biomass Response to Land-Use Changes in the Loess Plateau. Sustainability 2024, 16, 10496. [Google Scholar] [CrossRef]
- Shao, D.; He, Y.; Zhai, Y.; Yang, X.; Guo, Z.; Tan, J.; Wei, M. Mechanisms of Tomato Growth Promotion in Three Soils after Applying Bacillus Combinations. Soil Tillage Res. 2025, 249, 106477. [Google Scholar] [CrossRef]
- Sheng, M.; Hu, W.; Liu, C.-Q.; Niu, M.; Jin, R.; Deng, J.; Wu, L.; Li, P.; Yan, Z.; Zhu, Y.-G.; et al. Characteristics and Assembly Mechanisms of Bacterial and Fungal Communities in Soils from Chinese Forests across Different Climatic Zones. Catena 2024, 245, 108306. [Google Scholar] [CrossRef]
- Almeida, L.F.; Correndo, A.A.; Hefley, T.; Hintz, G.; Prasad, P.V.V.; Licht, M.; Casteel, S.; Singh, M.; Naeve, S.; Bais, J.; et al. Assessing the Influence of Environmental Drivers on Soybean Seed Yield and Nitrogen Fixation Estimates and Uncertainties in the United States. Eur. J. Agron. 2025, 162, 127428. [Google Scholar] [CrossRef]
- Jiang, D.; Jiang, Z.; Liu, S.; Hu, Y.; Deng, S.; Wang, J.; Shi, L.; Liu, Y.; Qu, J.; Zhang, Y. Inhibition Mechanism of Atrazine on Soybean Growth Insight from the Plant Nitrogen Fixation and Rhizobia Diversity Inhabiting in Nodules and Rhizosphere Soil. Appl. Soil Ecol. 2024, 195, 105236. [Google Scholar] [CrossRef]
- Laik, R.; Eltahira, E.B.A.; Pramanick, B.; Nidhi; Singh, S.K.; van Es, H. Enhancing Soil Health in Rice Cultivation: Optimized Zn Application and Crop Residue Management in Calcareous Soils. Sustainability 2025, 17, 489. [Google Scholar] [CrossRef]
- Feng, W.; Sánchez-Rodríguez, A.R.; Bilyera, N.; Wang, J.; Wang, X.; Han, Y.; Ma, B.; Zhang, H.; Li, F.Y.; Zhou, J.; et al. Mechanisms of Biochar-Based Organic Fertilizers Enhancing Maize Yield on a Chinese Chernozem: Root Traits, Soil Quality and Soil Microorganisms. Environ. Technol. Innov. 2024, 36, 103756. [Google Scholar] [CrossRef]
- Li, Q.; Zhang, D.; Cheng, H.; Ren, L.; Jin, X.; Fang, W.; Yan, D.; Li, Y.; Wang, Q.; Cao, A. Organic Fertilizers Activate Soil Enzyme Activities and Promote the Recovery of Soil Beneficial Microorganisms after Dazomet Fumigation. J. Environ. Manag. 2022, 309, 114666. [Google Scholar] [CrossRef]
- Yang, J.; Ren, Y.; Jia, M.; Huang, S.; Guo, T.; Liu, B.; Liu, H.; Zhao, P.; Wang, L.; Jie, X. Improving Soil Quality and Crop Yield of Fluvo-Aquic Soils through Long-Term Organic-Inorganic Fertilizer Combination: Promoting Microbial Community Optimization and Nutrient Utilization. Environ. Technol. Innov. 2025, 37, 104050. [Google Scholar] [CrossRef]
- Zhang, X.; Ren, X.; Cai, L. Effects of Different Straw Incorporation Amounts on Soil Organic Carbon, Microbial Biomass, and Enzyme Activities in Dry-Crop Farmland. Sustainability 2024, 16, 10588. [Google Scholar] [CrossRef]
- Xu, Y.; Sheng, J.; Zhang, L.; Sun, G.; Zheng, J. Organic Fertilizer Substitution Increased Soil Organic Carbon through the Association of Microbial Necromass C with Iron Oxides. Soil Tillage Res. 2025, 248, 106402. [Google Scholar] [CrossRef]
- Sun, J.; Zhao, Q.; Gao, Y.-N.; Long, Q.-G.; Yan, W.-J.; Zhang, P.-D. Restoration of Degraded Seagrass Meadows: Effects of Plant Growth-Promoting Rhizobacteria (PGPR) Inoculation on Zostera marina Growth, Rhizosphere Microbiome and Ecosystem Functionality. J. Environ. Manag. 2024, 371, 123286. [Google Scholar] [CrossRef]
- Wu, S.; Li, K.; Diao, T.; Sun, Y.; Sun, T.; Wang, C. Influence of Continuous Fertilization on Heavy Metals Accumulation and Microorganism Communities in Greenhouse Soils under 22 Years of Long-Term Manure Organic Fertilizer Experiment. Sci. Total Environ. 2025, 959, 178294. [Google Scholar] [CrossRef] [PubMed]
- Costa, G.; Ortale, R. Unifying Clustering and Representation Learning for Unsupervised Text Analysis: A Bayesian Knowledge-Enhanced Approach. Inf. Fusion 2025, 117, 102886. [Google Scholar] [CrossRef]
- Li, Z.; Meng, X.; Shi, X.; Li, C.; Zhang, C. Adsorption–Desorption Behaviors of Enrofloxacin and Trimethoprim and Their Interactions with Typical Microplastics in Aqueous Systems. Sustainability 2025, 17, 516. [Google Scholar] [CrossRef]
- Zhou, X.; Yan, Y.; Li, Y.; Liu, L.; Zhou, J.; Dai, C.; Cai, Z.; Huang, X. Application of Cellulose-Rich Organic Resource Improves Soil Quality and Plant Growth by Recruiting Beneficial Microorganisms. Appl. Soil Ecol. 2025, 207, 105909. [Google Scholar] [CrossRef]
- Jiang, Z.; Shao, Q.; Li, Y.; Cao, B.; Li, J.; Ren, Z.; Qu, J.; Zhang, Y. Noval Bio-Organic Fertilizer Containing Arthrobacter sp. DNS10 Alleviates Atrazine-Induced Growth Inhibition on Soybean by Improving Atrazine Removal and Nitrogen Accumulation. Chemosphere 2023, 313, 137575. [Google Scholar] [CrossRef]
- Chen, Y.; Jiang, Z.; Wu, D.; Wang, H.; Li, J.; Bi, M.; Zhang, Y. Development of a Novel Bio-Organic Fertilizer for the Removal of Atrazine in Soil. J. Environ. Manag. 2019, 233, 553–560. [Google Scholar] [CrossRef]
- Pan, T.; Chen, Y.; Wang, L.; Hafeez, A.; Muramoto, J.; Shennan, C.; Cai, Y.; Tian, J.; Cai, K. Integrated Anaerobic Soil Disinfestation and Bio-Organic Fertilizers to Alleviate Continuous Cropping Obstacles: Improving Soil Health and Changing Bacterial Communities. Agric. Ecosyst. Environ. 2025, 385, 109562. [Google Scholar] [CrossRef]
- Zhaoxiang, W.; Huihu, L.; Qiaoli, L.; Changyan, Y.; Faxin, Y. Application of Bio-Organic Fertilizer, Not Biochar, in Degraded Red Soil Improves Soil Nutrients and Plant Growth. Rhizosphere 2020, 16, 100264. [Google Scholar] [CrossRef]
- Hafez, M.; Popov, A.I.; Rashad, M. Integrated Use of Bio-Organic Fertilizers for Enhancing Soil Fertility–Plant Nutrition, Germination Status and Initial Growth of maize (Zea mays L.). Environ. Technol. Innov. 2021, 21, 101329. [Google Scholar] [CrossRef]
- Mendonça, S.; Piovesana, G.F.; Pissolito, V. Geoethics and Sustainability: Addressing Challenges in Environmental Education for Achieving the SDGs. Sustainability 2025, 17, 574. [Google Scholar] [CrossRef]
- Han, J.; Li, G.; Zhong, W.; Yang, Y.; Ge, R.; Li, M.; Chen, Z.; Huang, L. Assessment of Carboniferous Volcanic Horizontal Wells after Fracturing Based on Gray Correlation, Hierarchical Analysis and Fuzzy Evaluation. Fluid Dyn. Mater. Process. 2024, 20, 2757–2773. [Google Scholar] [CrossRef]
- Zhang, X.; Guo, F.; Li, B.; Liu, W.; Zhang, K.; Liu, Z. Comprehensive Analysis of Compatibility and Low-Temperature Rheological Properties of SBS Modified Asphalt Binder Using Entropy Weight-TOPSIS Method. Constr. Build. Mater. 2024, 457, 139364. [Google Scholar] [CrossRef]
- Bellini, F.; Barzegar, Y.; Barzegar, A.; Marrone, S.; Verde, L.; Pisani, P. Sustainable Water Quality Evaluation Based on Cohesive Mamdani and Sugeno Fuzzy Inference System in Tivoli (Italy). Sustainability 2025, 17, 579. [Google Scholar] [CrossRef]
- Stoilova, S.; Pulevski, I. An Integrated Two-Step Optimization Model and Aggregative Multi-Criteria Approach for Establishing Sustainable Tram Transportation Plan. Sustainability 2025, 17, 543. [Google Scholar] [CrossRef]
Disclaimer/Publisher’s Note: The statements, opinions and data contained in all publications are solely those of the individual author(s) and contributor(s) and not of MDPI and/or the editor(s). MDPI and/or the editor(s) disclaim responsibility for any injury to people or property resulting from any ideas, methods, instructions or products referred to in the content. |
© 2025 by the authors. Licensee MDPI, Basel, Switzerland. This article is an open access article distributed under the terms and conditions of the Creative Commons Attribution (CC BY) license (https://creativecommons.org/licenses/by/4.0/).