The Effect of Split Nitrogen Application on the Transport of Residue-Derived Carbon in Different Carbon Pools in Black Soil
Abstract
1. Introduction
2. Materials and Methods
2.1. Site Description and Soil Sampling
2.2. 13C-Labeling of Wheat Residue
2.3. Incubation Set-Up
2.4. Sample Collection and Analysis
2.5. Calculations
2.6. Statistics
3. Results
3.1. Effects of Different Treatments on Total Soil Organic Carbon
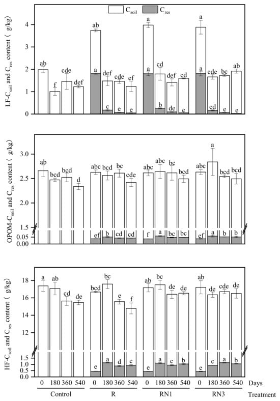
3.2. Dynamics of Cres and Csoil Distribution in Soil Fractions
3.3. Effects of Different Treatments on the Loss Rate of Csoil and Residual Rate of Cres
3.4. Changes of Soil Invertase and Catalase Activities Under Different Treatments
3.5. Relationships Among the TOC Content, Cres and Csoil Contents in Different SOC Fractions, and Enzyme Activity
4. Discussion
4.1. Changes of the TOC Contents After Nitrogen Application
4.2. The Loss Pattern of Soil Native Carbon (Csoil) in the SOC Fractions Under Different Treatments
4.3. The Retention Characteristics of Residue-Derived Carbon (Cres) in Soil Fractions Under Different Treatments
4.4. The Variation Characteristics of Soil Enzyme Activity
4.5. The Contribution of SOC Fractions and Enzyme Activities on the Stability of Soil Carbon Pool
5. Conclusions
Author Contributions
Funding
Data Availability Statement
Conflicts of Interest
References
- Junaid, N.M.; Li, G.; Mudassir, N.M.; Zulfiqar, F.; Siddique, K.H.; Iqbal, B.; Du, D. Harnessing soil carbon sequestration to address climate change challenges in agriculture. Soil Tillage Res. 2024, 237, 105959. [Google Scholar] [CrossRef]
- Bhattacharyya, S.S.; Ros, G.H.; Furtak, K.; Iqbal, H.M.; Parra-Saldívar, R. Soil carbon sequestration–An interplay between soil microbial community and soil organic matterdynamics. Sci. Total Environ. 2022, 815, 152928. [Google Scholar] [CrossRef]
- Wu, Z.; Jiang, J.; Dong, W.; Cui, S. The Spatiotemporal Characteristics and Driving Factors of Soil Degradation in the Black Soil Region of Northeast China. Agronomy 2024, 14, 2870. [Google Scholar] [CrossRef]
- Sulaeman, Y.; Maftuah, E.; Wulanningtyas, H.S. Assessment of the Susceptibility of Tropical Black Soil Formed in Various Parent Materials to Degradation under Different Land Uses. Mosc. Univ. Soil Sci. Bull. 2024, 79, 674–683. [Google Scholar] [CrossRef]
- Zhang, J.; Yuan, J.; Zhu, Y.; Kuang, E.; Han, J.; Shi, Y.; Chi, F.; Wei, D.; Liu, J. Transformation and sequestration of total organic carbon in black soil under different fertilization regimes with straw carbon inputs. Agriculture 2024, 14, 887. [Google Scholar] [CrossRef]
- Beillouin, D.; Corbeels, M.; Demenois, J.; Berre, D.; Boyer, A.; Fallot, A.; Feder, F.; Cardinael, R. A global meta-analysis of soil organic carbon in the Anthropocene. Nat. Commun. 2023, 14, 3700. [Google Scholar] [CrossRef]
- Mendoza, O.; De Neve, S.; Deroo, H.; Li, H.; Sleutel, S. Do interactions between application rate and native soil organic matter content determine the degradation of exogenous organic carbon? Soil. Biol. Biochem. 2022, 164, 108473. [Google Scholar] [CrossRef]
- Kuzyakov, Y.; Friedel, J.; Stahr, K. Review of mechanisms and quantification of priming effects. Soil Biol. Biochem. 2000, 32, 1485–1498. [Google Scholar] [CrossRef]
- Zhang, Q. Effects of Long-Term Plastic Film Mulching and Straw Incorporation on Soil Organic Carbon Turnover. Master’s Thesis, Lanzhou University, Lanzhou, China, 2019. [Google Scholar]
- Chen, X.; Wu, S.; Kou, T.; Xue, P.; Tan, X.; Guo, D. Transport of straw-derived carbon in black soil and cinnamon soil and its response to nitrogen fertilization. Acta Pedol. Sin. 2022, 59, 1248–1257. [Google Scholar] [CrossRef]
- Sajjad, M.; Hussain, K.; Wajid, S.A.; Saqib, Z.A. The Impact of Split Nitrogen Fertilizer Applications on the Productivity and Nitrogen Use Efficiency of Rice. Nitrogen 2025, 6, 1. [Google Scholar] [CrossRef]
- Wei, M.; Hu, G.; Wang, H.; Bai, E.; Lou, Y.; Zhang, A.; Zhuge, Y. 35 years of manure and chemical fertilizer application alters soil microbial community composition in a Fluvo-aquic soil in Northern China. Eur. J. Soil Biol. 2017, 82, 8227–8234. [Google Scholar] [CrossRef]
- Guo, Q.; Wang, X.; Duan, J.; Pi, Y.; Lin, S. Effects of nitrogen reduction combined with biochar application on organic carbon mineralization and enzyme activity in paddy field. J. Soil Water Conserv. 2021, 35, 369–374. [Google Scholar] [CrossRef]
- Hu, Z.; Xu, C.; McDowell, N.G.; Johnson, D.J.; Wang, M.; Luo, Y.; Zhou, X.; Huang, Z. Linking microbial community composition to C loss rates during wood decomposition. Soil Biol. Biochem. 2017, 104, 108–116. [Google Scholar] [CrossRef]
- Jahan, A.; Islam, A.; Sarkar, I.U.; Iqbal, M.; Ahmed, N.; Islam, R. Nitrogen response of two high yielding rice varieties as influenced by nitrogen levels and growing seasons. Geol. Ecol. Landsc. 2020, 6, 24–31. [Google Scholar] [CrossRef]
- Liang, K.; Zhong, X.; Huang, N.; Lampayan, R.M.; Liu, Y.; Pan, J.; Peng, B.; Hu, X.; Fu, Y. Nitrogen losses and greenhouse gas emissions under different N and water management in a subtropical double-season rice cropping system. Sci. Total Environ. 2017, 609, 46–57. [Google Scholar] [CrossRef]
- Maltese, E.N.; Carciochi, D.W.; Caviglia, P.O.; Rozas, H.R.S.; García, M.; Lapaz, A.O.; Ciampitti, I.A.; Calvo, N.I.R. Assessing the effect of split and additional late N fertilisation on N economy of maize. Field Crops Res. 2024, 308, 109279. [Google Scholar] [CrossRef]
- Wang, H.; Hu, G.; Xu, W.; Boutton, T.W.; Zhuge, Y.; Bai, E. Effects of nitrogen addition on soil organic carbon mineralization after maize stalk addition. Eur. J. Soil Biol. 2018, 89, 33–38. [Google Scholar] [CrossRef]
- Zhu, Z.; Ge, T.; Luo, Y.; Liu, S.; Xu, X.; Tong, C.; Shibistova, O.; Guggenberger, G.; Wu, J. Microbial stoichiometric flexibility regulates rice straw mineralization and its priming effect in paddy soil. Soil Biol. Biochem. 2018, 121, 67–76. [Google Scholar] [CrossRef]
- Sun, Z.-A.; Zhang, X.; Hu, Z.-J.; Wang, K.-Y.; Chen, Q.; Meng, F.-Q. How different ratios of straw incorporation to nitrogen fertilization influence endogenous and exogenous carbon release from agricultural soils. Environ. Sci. 2021, 42, 459–466. [Google Scholar] [CrossRef]
- Zheng, W.; Lu, Y.; Deng, X.; Qi, F.; Bi, X.; Liu, Y. Effects of controlled-release nitrogen fertilizer on decomposition of maize straw and organic carbon fractions in fluvo-aquic soil. J. Soil Water Conserv. 2020, 34, 292–298. [Google Scholar] [CrossRef]
- Zhang, B.; Zhou, M.; Lin, H.; Ntacyabukura, T.; Wang, Y.; Zhu, B. Effects of different long-term crop straw management practices on ammonia volatilization from subtropical calcareous agricultural soil. Atmos. Ocean. Sci. Lett. 2020, 13, 232–239. [Google Scholar] [CrossRef]
- Huang, R.; Tian, D.; Liu, J.; Lv, S.; He, X.; Gao, M. Responses of soil carbon pool and soil aggregates associated organic carbon to straw and straw-derived biochar addition in a dryland cropping mesocosm system. Agric. Ecosyst. Environ. 2018, 265, 576–586. [Google Scholar] [CrossRef]
- Li, W.; Qiao, Y.Q.; Chen, H.; Du, S.Z.; Zhao, Z.; Cao, C.F. Soil organic matter composition and carbon pool management Index in Shajiang Black Soil as Affected by Straw Incorporation Coupled With Fertilization. J. Ecol. Rural Environ. 2014, 30, 475–480. [Google Scholar] [CrossRef]
- Zhou, M.; Gao, H.; Liu, S.; Li, H.; Liu, F.; Jiang, G.; Zhao, Y. Effects of Combined Application of Straw and Nitrogen Fertilizer on Microbial Activity and Aggregate Distribution in Fluvo Aquic Soil. J. Soil Water Conserv. 2022, 36, 340–345. [Google Scholar] [CrossRef]
- Zhang, J.; Jiang, C.; He, Q.; Wu, Y.; Xie, D. Effect of tillage systems on light fraction carbon in a purple paddy soil. Acta Ecol. Sin. 2012, 32, 4379–4387. [Google Scholar] [CrossRef]
- Dong, J.; Wang, W.; Zhao, D.; Zhang, C.; Fang, J.; Wang, L.; Zhang, Q.; Liu, J. A novel organic carbon accumulation mechanism in croplands in the Yellow River Delta, China. Sci. Total Environ. 2022, 806, 150629. [Google Scholar] [CrossRef]
- Zhao, D.; Dong, J.; Ji, S.; Huang, M.; Quan, Q.; Liu, J. Effects of Contemporary Land Use Types and Conversions from Wetland to Paddy Field or Dry Land on Soil Organic Carbon Fractions. Sustainability 2020, 12, 2094. [Google Scholar] [CrossRef]
- Treseder, K.-K. Nitrogen additions and microbial biomass: A meta-analysis of ecosystem studies. Ecol. Lett. 2008, 11, 1111–1120. [Google Scholar] [CrossRef]
- Liu, L.; Greaver, T.L. A global perspective on belowground carbon dynamics under nitrogen enrichment. Ecol. Lett. 2010, 13, 819–828. [Google Scholar] [CrossRef]
- Liu, Z.; Yu, W. Review of researches on soil aggregate and soil organic carbon. Chin. J. Eco-Agric. 2011, 19, 447–455. [Google Scholar] [CrossRef]
- Lu, J.; Li, S.; Wu, X.; Liang, G.; Gao, C.; Li, J.; Jin, D.; Wang, B.; Zhang, M.; Zheng, F.; et al. The dominant microorganisms vary with aggregates sizes in promoting soil carbon accumulation under straw application. Arch. Agron. Soil. Sci. 2021, 69, 1–17. [Google Scholar] [CrossRef]
- Fang, Y.; Nazaries, L.; Singh, B.K.; Singh, B.P. Microbial mechanisms of carbon priming effects revealed during the interaction of crop residue and nutrient inputs in contrasting soils. Glob. Change Biol. 2018, 24, 2775–2790. [Google Scholar] [CrossRef]
- Hu, J.; Tao, R.; Chu, G. Partial replacement of inorganic N with cattle manure and combining use of biochemical inhibitors inhibit organic carbon conversion in soil. Plant Nutr. Fertil. Sci. 2020, 26, 19–31. [Google Scholar] [CrossRef]
- Gong, S.; Liu, X.; Zhang, Z.; Ma, X.; Kong, Y. Effect of different nitrogen application measures on soil enzyme activities and nitrogen turnover in winter wheat cropland. Ecol. Environ. Sci. 2020, 29, 2215–2222. [Google Scholar] [CrossRef]
- Borase, D.-N.; Nath, C.-P.; Hazra, K.-K.; Senthilkumar, M.; Singh, S.; Praharaj, C.; Singh, U.; Kumar, N. Long-term impact of diversified crop rotations and nutrient management practices on soil microbial functions and soil enzymes activity. Ecol. Indic. 2020, 114, 106322. [Google Scholar] [CrossRef]
- Yu, L.; Zhang, Y.; Wang, Y.; Yao, Q.; Yang, K. Effects of slow-release nitrogen and urea combined application on soil physicochemical properties and fungal community under total straw returning condition. Environ. Res. 2024, 252, 118758. [Google Scholar] [CrossRef]
- Ma, S.; Li, Z.; Wang, B.; Liu, R.; Ge, R.; Wang, G. Changes in soil active organic carbon under different management types of bamboo stands. Acta Ecol. Sin. 2012, 32, 2603–2611. [Google Scholar] [CrossRef][Green Version]
- Yagüe, M.R.; Domingo-Olivé, F.; Bosch-Serra, À.D.; Poch, R.M.; Boixadera, J. Dairy Cattle Manure Effects on Soil Quality: Porosity, Earthworms, Aggregates and Soil Organic Carbon Fractions. Land. Degrad. Dev. 2016, 27, 1753–1762. [Google Scholar] [CrossRef]
- Huntington, T.G. Carbon sequestration in an aggrading forest ecosystem in the Southern USA. Soil Sci. Soc. Am. J. 1995, 59, 1459–1467. [Google Scholar] [CrossRef]
- Islam, R.; Singh, B.; Dijkstra, F.A. Stabilisation of soil organic matter: Interactions between clay and microbes. Biogeochemistry 2022, 160, 145–158. [Google Scholar] [CrossRef]
- Zhu, C.; Long, Q.; Dong, S.; Shi, K.; Jiang, G.; Li, X.; Zhang, C.; Liu, F.; Shen, F.; Liu, S. Effects of rotary and deep tillage modes on soil microbial biomass carbon and nitrogen and enzyme activities in fluvo-aquic soil under wheat-maize rotation system. Plant Nutr. Fertil. Sci. 2020, 26, 51–63. [Google Scholar] [CrossRef]
- Sinsabaugh, R.L. Phenol oxidase, peroxidase and organic matter dynamics of soil. Soil. Biol. Biochem. 2010, 42, 391–404. [Google Scholar] [CrossRef]






| Main Factors | Cres (×10−1 g/kg) | Csoil (g/kg) | ||||
|---|---|---|---|---|---|---|
| LF | OPOM | HF | LF | OPOM | HF | |
| 0 day | 18.07 ± 0.68 a | 0.38 ± 0.01 b | 4.45 ± 0.15 b | 2.04 ± 0.18 a | 2.61 ± 0.07 a | 16.77 ± 0.64 a |
| 180 days | 1.98 ± 0.50 b | 0.55 ± 0.05 a | 10.59 ± 1.01 a | 1.34 ± 0.28 b | 2.59 ± 0.19 a | 16.37 ± 0.77 a |
| 360 days | 0.78 ± 0.17 c | 0.47 ± 0.04 ab | 9.84 ± 1.24 a | 1.46 ± 0.22 b | 2.54 ± 0.09 a | 15.34 ± 0.52 b |
| 540 days | 0.42 ± 0.15 c | 0.47 ± 0.04 ab | 10.08 ± 0.68 a | 1.46 ± 0.32 b | 2.40 ± 0.09 b | 15.06 ± 0.83 b |
| Control | 1.42 ± 0.42 b | 2.50 ± 0.14 a | 16.39 ± 1.01 a | |||
| R | 5.27 ± 7.74 a | 0.44 ± 0.05 a | 8.49 ± 2.63 a | 1.45 ± 0.33 b | 2.51 ± 0.11 a | 15.30 ± 1.18 b |
| RN1 | 5.52 ± 7.59 a | 0.47 ± 0.08 a | 8.83 ± 2.75 a | 1.64 ± 0.37 ab | 2.54 ± 0.11 a | 16.02 ± 0.69 a |
| RN3 | 5.15 ± 7.84 a | 0.49 ± 0.08 a | 8.90 ± 2.82 a | 1.78 ± 0.27 a | 2.58 ± 0.19 a | 15.80 ± 0.72 ab |
| Treatment | Control | R | RN1 | RN3 | |
|---|---|---|---|---|---|
| Csoil Loss Rate (%) | LF | 3.47 ± 0.90 a | 3.60 ± 0.84 a | 2.97 ± 0.47 a | 0.77 ± 1.77 b |
| OPOM | 1.47 ± 0.75 a | 1.03 ± 0.59 a | 0.61 ± 0.58 a | 0.73 ± 0.67 a | |
| HF | 8.67 ± 2.56 a | 11.42 ± 2.80 a | 5.73 ± 2.97 a | 6.01 ± 3.31 a | |
| Total | 13.60 ± 0.97 ab | 16.05 ± 1.45 a | 9.31 ± 2.14 bc | 7.51 ± 4.53 c | |
| Cres Residual Rate (%) | LF | 1.56 ± 0.33 a | 1.77 ± 0.14 a | 0.79 ± 0.05 b | |
| OPOM | 1.38 ± 0.05 b | 1.52 ± 0.05 ab | 1.64 ± 0.16 a | ||
| HF | 30.26 ± 2.03 b | 33.64 ± 1.48 a | 33.99 ± 0.75 a | ||
| Total | 33.20 ± 1.76 b | 36.93 ± 1.36 a | 36.42 ± 0.93 a | ||
Disclaimer/Publisher’s Note: The statements, opinions and data contained in all publications are solely those of the individual author(s) and contributor(s) and not of MDPI and/or the editor(s). MDPI and/or the editor(s) disclaim responsibility for any injury to people or property resulting from any ideas, methods, instructions or products referred to in the content. |
© 2025 by the authors. Licensee MDPI, Basel, Switzerland. This article is an open access article distributed under the terms and conditions of the Creative Commons Attribution (CC BY) license (https://creativecommons.org/licenses/by/4.0/).
Share and Cite
Chen, X.; Zhang, S.; Jin, S.; Gao, J.; Dong, S.; Xu, M.; Wang, X.; Guo, D.; Xu, X. The Effect of Split Nitrogen Application on the Transport of Residue-Derived Carbon in Different Carbon Pools in Black Soil. Agronomy 2025, 15, 825. https://doi.org/10.3390/agronomy15040825
Chen X, Zhang S, Jin S, Gao J, Dong S, Xu M, Wang X, Guo D, Xu X. The Effect of Split Nitrogen Application on the Transport of Residue-Derived Carbon in Different Carbon Pools in Black Soil. Agronomy. 2025; 15(4):825. https://doi.org/10.3390/agronomy15040825
Chicago/Turabian StyleChen, Xianni, Shanglong Zhang, Shaofei Jin, Jiakai Gao, Siyu Dong, Minggang Xu, Xugang Wang, Dayong Guo, and Xiaofeng Xu. 2025. "The Effect of Split Nitrogen Application on the Transport of Residue-Derived Carbon in Different Carbon Pools in Black Soil" Agronomy 15, no. 4: 825. https://doi.org/10.3390/agronomy15040825
APA StyleChen, X., Zhang, S., Jin, S., Gao, J., Dong, S., Xu, M., Wang, X., Guo, D., & Xu, X. (2025). The Effect of Split Nitrogen Application on the Transport of Residue-Derived Carbon in Different Carbon Pools in Black Soil. Agronomy, 15(4), 825. https://doi.org/10.3390/agronomy15040825

