Soil Bacterial Communities in a Tobacco Field Plantation and Under Different N Fertilizations in Central Yunnan, China
Abstract
1. Introduction
2. Materials and Methods
2.1. Experimental Sites
2.2. Experimental Design
| Treatment | Fertilizer Details |
| CK | No base fertilizer |
| OM | 10,000 kg/ha of cattle organic manure (water content 30%, organic matter 15%, N:P2O5:K2O = 0.32%:0.25%:0.16%) |
| MNPK | 10,000 kg/ha of cattle organic manure (water content 30%, organic matter 15%, N:P2O5:K2O = 0.32%:0.25%:0.16%) and 300 kg/ha of compound fertilizer (nutrient content 47%, N:P2O5:K2O = 12:6:24) for flue-cured tobacco |
| NPK | 300 kg/ha of only compound fertilizer (nutrient content 47%, N:P2O5:K2O = 12:6:24) for flue-cured tobacco |
| ST | 10,000 kg/ha of straw, crushed (organic matter 15%) |
2.3. Soil Sample and Plant Data Collection
2.4. Soil Properties Analysis
2.5. Soil Bacterial Data Measurements
2.6. Bacterial Data Analysis and Co-Occurrence Network Construction
2.7. Statistical Analysis
3. Results
3.1. Soil Bacterial Diversity and Community Composition
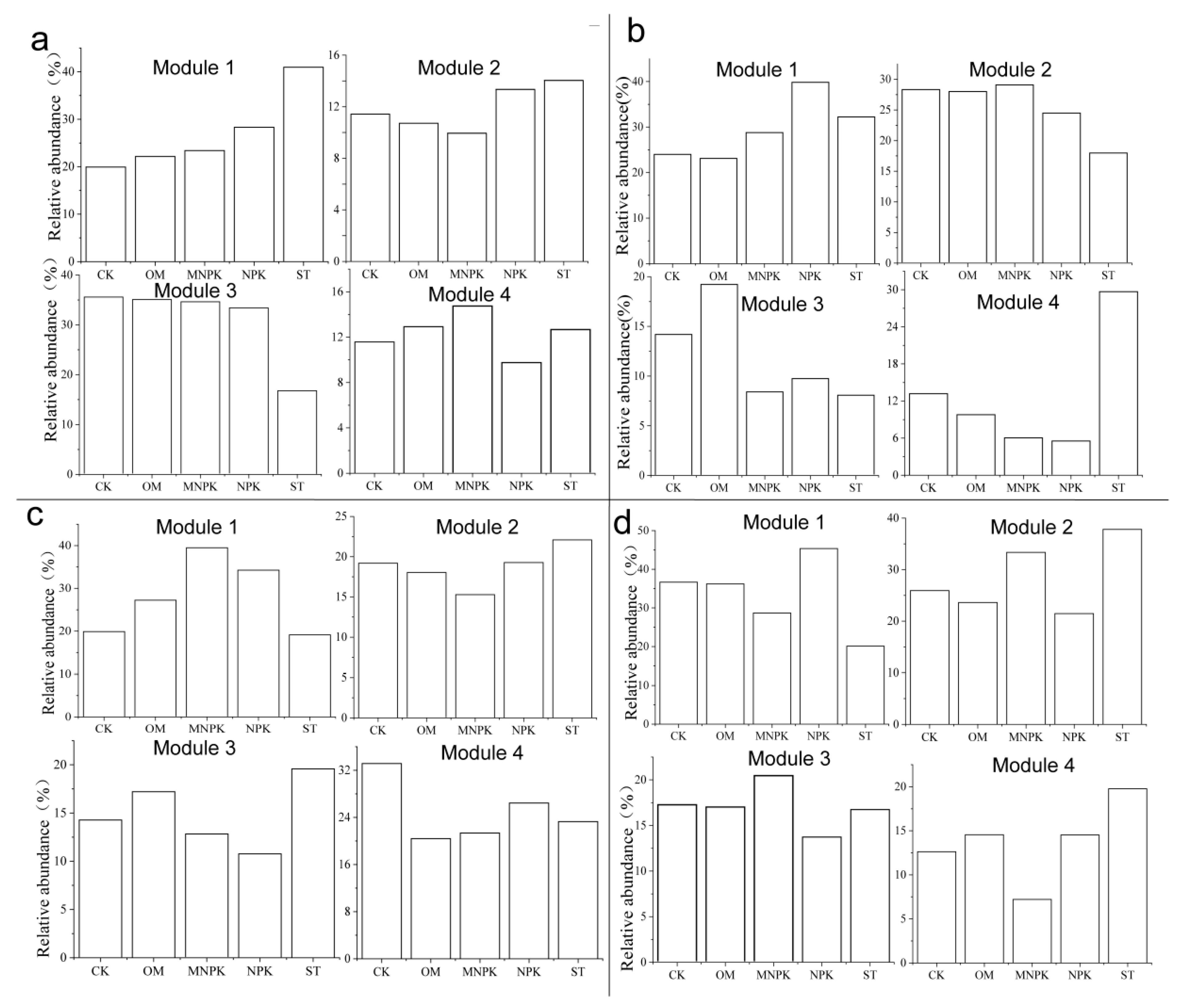
3.2. Changes in the Soil Bacterial Co-Occurrence Networks and the Bacterial Community Clustering During the Tobacco Planting Cycle
3.3. Correlation Analysis Between Soil Bacterial Network Modules, Soil Properties, and Maximum Leaf Area of Tobacco
4. Discussion
4.1. Soil Bacterial Diversity and Community Composition in Response to N Fertilizer Application
4.2. The Complexity of Soil Bacterial Co-Occurrence Networks and the Response of Key Taxa to Fertilization
5. Conclusions
Supplementary Materials
Author Contributions
Funding
Data Availability Statement
Acknowledgments
Conflicts of Interest
References
- Geisseler, D.; Scow, K.M. Long-term effects of mineral fertilizers on soil microorganisms—A review. Soil Biol. Biochem. 2014, 75, 54–63. [Google Scholar] [CrossRef]
- Zeng, M.; de Vries, W.; Bonten, L.T.C.; Zhu, Q.; Hao, T.; Liu, X.; Xu, M.; Shi, X.; Zhang, F.; Shen, J. Model-based analysis of the long-term effects of fertilization management on cropland soil acidification. Environ. Sci. Technol. 2017, 51, 3843–3851. [Google Scholar] [CrossRef] [PubMed]
- Ji, L.; Si, H.; He, J.; Fan, L.; Li, L. The shifts of maize soil microbial community and networks are related to soil properties under different organic fertilizers. Rhizosphere 2021, 19, 100388. [Google Scholar] [CrossRef]
- Liu, J.; Shu, A.; Song, W.; Shi, W.; Li, M.; Zhang, W.; Li, Z.; Liu, G.; Yuan, F.; Zhang, S.; et al. Long-term organic fertilizer substitution increases rice yield by improving soil properties and regulating soil bacteria. Geoderma 2021, 404, 115287. [Google Scholar] [CrossRef]
- Bender, S.F.; Wagg, C.; van der Heijden, M.G.A. An underground revolution: Biodiversity and soil ecological engineering for agricultural sustainability. Trends Ecol. Evol. 2016, 31, 440–452. [Google Scholar] [CrossRef]
- Geisseler, D.; Linquist, B.A.; Lazicki, P.A. Effect of fertilization on soil microorganisms in paddy rice systems—A meta-analysis. Soil Biol. Biochem. 2017, 115, 452–460. [Google Scholar] [CrossRef]
- Chen, H.; Zheng, C.; Qiao, Y.; Du, S.; Li, W.; Zhang, X.; Zhao, Z.; Cao, C.; Zhang, W. Long-term organic and inorganic fertilization alters the diazotrophic abundance, community structure, and co-occurrence patterns in a vertisol. Sci. Total Environ. 2020, 766, 142441. [Google Scholar] [CrossRef]
- Guo, Z.; Wan, S.; Hua, K.; Yin, Y.; Chu, H.; Wang, D.; Guo, X. Fertilization regime has a greater effect on soil microbial community structure than crop rotation and growth stage in an agroecosystem. Appl. Soil Ecol. 2020, 149, 103510. [Google Scholar] [CrossRef]
- Schmid, C.A.O.; Schröder, P.; Armbruster, M.; Schloter, M. Organic Amendments in a Long-term Field Trial—Consequences for the Bulk Soil Bacterial Community as Revealed by Network Analysis. Microb. Ecol. 2018, 76, 226–239. [Google Scholar] [CrossRef]
- Hartmann, M.; Widmer, F. Community structure analyses are more sensitive to differences in soil bacterial communities than anonymous diversity indices. Appl. Environ. Microb. 2006, 72, 7804–7812. [Google Scholar] [CrossRef]
- de Vries, F.T.; Griffiths, R.I.; Bailey, M.; Craig, H.; Girlanda, M.; Gweon, H.S.; Hallin, S.; Kaisermann, A.; Keit, A.M.; Kretzschmar, M.; et al. Soil bacterial networks are less stable under drought than fungal networks. Nat. Commun. 2018, 9, 3033. [Google Scholar] [CrossRef] [PubMed]
- Agler, M.T.; Ruhe, J.; Kroll, S.; Morhenn, C.; Kim, S.-T.; Weigel, D.; Kemen, E.M. Microbial hub taxa link host and abiotic factors to plant microbiome variation. PLoS Biol. 2016, 14, e1002352. [Google Scholar] [CrossRef] [PubMed]
- Banerjee, S.; Kirkby, C.A.; Schmutter, D.; Bissett, A.; Kirkegaard, J.A.; Richardson, A.E. Network analysis reveals functional redundancy and keystone taxa amongst bacterial and fungal communities during organic matter decomposition in an arable soil. Soil Biol. Biochem. 2016, 97, 188–198. [Google Scholar] [CrossRef]
- Hartman, K.; van der Heijden, M.G.A.; Wittwer, R.A.; Banerjee, S.; Walser, J.-C.; Schlaeppi, K. Cropping practices manipulate abundance patterns of root and soil microbiome members paving the way to smart farming. Microbiome 2018, 8, 66. [Google Scholar]
- Liu, Q.; Zhou, H.; Sun, M.; Li, Q.; Fan, H.; Chen, H.; Yang, R. Improvement of soil structure and bacterial composition by long-term application of seaweed fertilizer. J. Soil Sci. Plant Nutr. 2023, 23, 5122–5132. [Google Scholar]
- Liu, H.; Huang, X.; Tan, W.; Di, H.; Xu, J.; Li, Y. High manure load reduces bacterial diversity and network complexity in a paddy soil under erop rotations. Soil Ecol. Lett. 2020, 2, 104–119. [Google Scholar] [CrossRef]
- Gu, S.; Hu, Q.; Cheng, Y.; Bai, L.; Liu, Z.; Xiao, W.; Gong, Z.; Wu, Y.; Feng, K.; Deng, Y.; et al. Application of organic fertilizer improves microbial community diversity and alters microbial network structure in tea (Camellia sinensis) plantation soils. Soil Tillage Res. 2019, 195, 104356. [Google Scholar] [CrossRef]
- Jin, H.; Zhang, D.; Yan, Y.; Yang, C.; Fang, B.; Li, X.; Shao, Y.; Wang, H.; Yue, J.; Wang, Y.; et al. Short-term application of chicken manure under different nitrogen rates alters structure and co-occurrence pattern but not diversity of soil microbial community in wheat field. Front. Microbiol. 2022, 13, 975571. [Google Scholar] [CrossRef]
- Akhtar, K.; Wang, W.; Ren, G.; Khan, A.; Feng, Y.; Yang, G. Changes in soil enzymes, soil properties, and maize crop productivity under wheat straw mulching in Guanzhong, China. Soil Tillage Res. 2018, 182, 94–102. [Google Scholar] [CrossRef]
- Gong, X.; Liu, C.; Li, J.; Luo, Y.; Yang, Q.; Zhang, W.; Yang, P.; Feng, B. Responses of rhizosphere soil properties, enzyme activities and microbial diversity to intercropping patterns on the Loess Plateau of China. Soil Tillage Res. 2019, 195, 104355. [Google Scholar] [CrossRef]
- Chen, J.; Arafat, Y.; Wu, L.; Xiao, Z.; Li, Q.; Khan, M.A.; Khan, M.U.; Lin, S.; Lin, W. Shifts in soil microbial community, soil enzymes and crop yield under peanut/maize intercropping with reduced nitrogen levels. Appl. Soil Ecol. 2018, 124, 327–334. [Google Scholar] [CrossRef]
- Oluranti, O.B.; Chidinma, B.N.; Segun, A.A. Amplicon sequencing data profiling of bacterial community connected with the rhizospheric soil from sunflower plants. Data Brief 2022, 42, 108207. [Google Scholar]
- Deng, Y.; Jiang, Y.H.; Yang, Y.; He, Z.; Luo, F.; Zhou, J. Molecular ecological network analyses. BMC Bioinform. 2012, 13, 113. [Google Scholar] [CrossRef] [PubMed]
- Feng, K.; Peng, X.; Zhang, Z.; Gu, S.; He, Q.; Shen, W.; Wang, Z.; Wang, D.; Hu, Q.; Li, Y.; et al. iNAP: An integrated network analysis pipeline for microbiome studies. iMeta 2022, 1, e13. [Google Scholar] [CrossRef] [PubMed]
- Bastian, M.; Heymann, S.; Jacomy, M. Gephi: An open source software for exploring and manipulating networks. In Proceedings of the Third International Conference on Weblogs and Social Media, San Jose, CA, USA, 17–20 May 2009; pp. 17–20. [Google Scholar]
- Tang, H.; Li, C.; Xiao, X.; Shi, L.; Cheng, K.; Wen, L.; Li, W. Effects of short-term manure nitrogen input on soil microbial community structure and diversity in a double-cropping paddy field of southern China. Sci. Rep. 2020, 10, 13540. [Google Scholar] [CrossRef] [PubMed]
- Ge, Z.; Li, S.; Bol, R.; Zhu, P.; Peng, C.; An, T.; Cheng, N.; Liu, X.; Li, T.; Xu, Z.; et al. Differential long-term fertilization alters residue-derived labile organic carbon fractions and microbial community during straw residue decomposition. Soil Tillage Res. 2021, 213, 105120. [Google Scholar] [CrossRef]
- Du, M.; Zhang, J.; Wang, G.; Liu, C.; Wang, Z. Response of bacterial community composition and co-occurrence network to straw and straw biochar incorporation. Front. Microbiol. 2022, 13, 999399. [Google Scholar] [CrossRef]
- Zhao, M.; Zhao, J.; Yuan, J.; Hale, L.; Wen, T.; Huang, Q.; Vivanco, J.M.; Zhou, J.; Kowalchuk, G.A.; Shen, Q. Root exudates drive soil-microbe-nutrient feedbacks in response to plant growth. Plant Cell Environ. 2020, 44, 613–628. [Google Scholar] [CrossRef]
- Chernov, I.T.; Tkhakakhova, K.A.; Ivanova, A.E.; Kutovaya, O.V.; Turusov, V.I. Seasonal dynamics of the microbiome of chernozems of the long-term agrochemical experiment in Kamennaya Steppe. Eurasian Soil Sci. 2015, 48, 1349–1353. [Google Scholar] [CrossRef]
- Moulton-Brown, C.E.; Feng, T.; Kumar, S.S.; Xu, L.; Dytham, C.; Helgason, T.; Cooper, J.M.; Moirx, J.W.B. Long-term fertilization and tillage regimes have limited effects on structuring bacterial and denitrifier communities in a sandy loam UK soil. Environ. Microbiol. 2022, 24, 298–308. [Google Scholar] [CrossRef]
- Zhang, M.; Zhang, X.; Zhang, L.; Zeng, L.; Liu, Y.; Wang, X.; He, P.; Li, S.; Liang, G.; Zhou, W.; et al. The stronger impact of inorganic nitrogen fertilization on soil bacterial community than organic fertilization in short-term condition. Geoderma 2021, 382, 114752. [Google Scholar] [CrossRef]
- Liu, J.; Sui, Y.; Yu, Z.; Shi, Y.; Chu, H.; Jin, J.; Liu, X.; Wang, G. High throughput sequencing analysis of biogeographical distribution of bacterial communities in the black soils of northeast China. Soil Biol. Biochem. 2013, 70, 113–122. [Google Scholar] [CrossRef]
- Coyte, K.Z.S.J.; Foster, K.R. The ecology of the microbiome: Networks, competition, and stability. Science 2015, 350, 663–666. [Google Scholar] [CrossRef] [PubMed]
- de Vries, F.T.; Liiri, M.E.; Bjørnlund, L.; Bowker, M.A.; Christensen, S.; Setälä, H.M.; Bardgett, R.D. Land use alters the resistance and resilience of soil food webs to drought. Nat. Clim. Change 2012, 2, 276–280. [Google Scholar] [CrossRef]
- Yan, T.; Xue, J.; Zhou, Z.; Wu, Y. Biochar-based fertilizer amendments improve the soil microbial community structure in a karst mountainous area. Sci. Total Environ. 2021, 794, 148757. [Google Scholar] [CrossRef]
- Bai, Y.; Wang, G.; Cheng, Y.; Shi, P.; Yang, C.; Yang, H.; Xu, Z. Soil acidification in continuously cropped tobacco alters bacterial community structure and diversity via the accumulation of phenolic acids. Sci. Rep. 2019, 9, 12499. [Google Scholar] [CrossRef]
- Berry, D.; Widder, S. Deciphering microbial interactions and detecting keystone species with co-occurrence networks. Front. Microbiol. 2014, 5, 219. [Google Scholar] [CrossRef]
- Shi, S.; Nuccio, E.E.; Shi, Z.J.; He, Z.; Zhou, J.; Firestone, M.K. The interconnected rhizosphere: High network complexity dominates rhizosphere assemblages. Ecol. Lett. 2016, 19, 926–936. [Google Scholar] [CrossRef]
- Steele, J.A.; Countway, P.D.; Xia, L.; Vigil, P.D.; Beman, J.M.; Kim, D.Y.; Chow, C.-E.T.; Sachdeva, R.; Jones, A.C.; Schwalbach, M.S.; et al. Marine bacterial, archaeal and protistan association networks reveal ecological linkages. ISME J. 2011, 5, 1414–1425. [Google Scholar] [CrossRef]
- Li, M.; Song, Z.; Li, Z.; Qiao, R.; Zhang, P.; Ding, C.; Xie, J.; Chen, Y.; Guo, H. Populus root exudates are associated with rhizosphere microbial communities and symbiotic patterns. Front. Microbiol. 2022, 13, 1042944. [Google Scholar] [CrossRef]
- Matteoli, F.P.; Silva, A.M.M.; de Araújo, V.L.V.P.; Feiler, H.P.; Cardoso, E.J.B.N. Organic farming promotes the abundance of fungi keystone taxa in bacteria-fungi interkingdom networks. World J. Microbiol. Biotechnol. 2024, 40, 119. [Google Scholar] [CrossRef]
- Morais, M.C.; Ferrari, B.M.; Borges, C.D.; Cherubin, M.R.; Tsai, S.M.; Cerri, C.C.; Cerri, C.E.P.; Feigl, B.J. Does sugarcane straw removal change the abundance of soil microbes? Bioenergy Res. 2019, 12, 901–908. [Google Scholar] [CrossRef]
- Bao, Y.; Dolfing, J.; Guo, Z.; Chen, R.; Wu, M.; Li, Z.; Lin, X.; Feng, Y. Important ecophysiological roles of non-dominant Actinobacteria in plant residue decomposition, especially in less fertile soils. Microbiome 2021, 9, 84. [Google Scholar] [CrossRef] [PubMed]
- Newman, M.E.J. Modularity and community structure in networks. Proc. Natl. Acad. Sci. USA 2006, 103, 8577–8582. [Google Scholar] [CrossRef]
- Zhang, Y.; Shen, H.; He, X.; Thomas, B.W.; Lupwayi, N.Z.; Hao, X.; Thomas, M.C.; Shi, X. Fertilization shapes bacterial community structure by alteration of soil pH. Front. Microbiol. 2017, 8, 1325. [Google Scholar] [CrossRef] [PubMed]
- Cho, S.J.; Kim, M.H.; Lee, Y.O. Effect of pH on soil bacterial diversity. J. Ecol. Environ. 2016, 40, 10. [Google Scholar] [CrossRef]
- Suzuki, K.; Kashiwa, N.; Nomura, K.; Asiloglu, R.; Harada, N. Impacts of application of calcium cyanamide and the consequent increase in soil pH on N2O emissions and soil bacterial community compositions. Biol. Fertil. Soils 2021, 57, 269–279. [Google Scholar] [CrossRef]






| Sampling Stage | Treatment | Shannon Index | Chao Index | Ace Index |
|---|---|---|---|---|
| Apr | CK | 5.61 ± 0.27 a | 3055.60 ± 80.29 a | 3017.32 ± 101.88 a |
| OM | 5.80 ± 0.17 a | 3277.40 ± 88.40 a | 3224.94 ± 75.23 a | |
| MNPK | 5.74 ± 0.29 a | 3140.53 ± 112.99 a | 3112.28 ± 91.19 a | |
| NPK | 5.60 ± 0.24 a | 2918.28 ± 52.80 a | 2909.73 ± 85.71 a | |
| ST | 5.63 ± 0.20 a | 2937.61 ± 32.11 a | 2926.85 ± 96.15 a | |
| Jun | CK | 5.57 ± 0.25 a | 2018.61 ± 153.57 a | 2011.97 ± 160.26 a |
| OM | 5.69 ± 0.16 a | 2126.58 ± 53.09 a | 2140.88 ± 56.42 a | |
| MNPK | 5.31 ± 0.16 a | 1828.25 ± 325.44 a | 1835.37 ± 297.96 a | |
| NPK | 5.37 ± 0.28 a | 1995.70 ± 90.28 a | 2009.10 ± 83.44 a | |
| ST | 5.49 ± 0.15 a | 2054.54 ± 95.65 a | 2031.72 ± 112.41 a | |
| Sep | CK | 5.71 ± 0.16 a | 2409.10 ± 63.96 a | 2402.19 ± 50.54 a |
| OM | 5.73 ± 0.24 a | 2396.11 ± 246.65 a | 2379.84 ± 247.40 a | |
| MNPK | 5.52 ± 0.25 a | 2244.89 ± 37.92 a | 2231.48 ± 37.31 a | |
| NPK | 5.73 ± 0.17 a | 2177.08 ± 262.53 a | 2158.56 ± 237.07 a | |
| ST | 5.83 ± 0.07 a | 2480.82 ± 37.22 a | 2448.4 ± 45.81 a | |
| Dec | CK | 5.98 ± 0.10 a | 2801.47 ± 170.82 a | 2793.34 ± 113.26 a |
| OM | 6.21 ± 0.03 b | 3207.45 ± 12.98 b | 3193.98 ± 36.55 b | |
| MNPK | 6.19 ± 0.15 c | 3066.03 ± 131.43 ab | 3040.65 ± 150.75 ab | |
| NPK | 5.84 ± 0.29 a | 2892.22 ± 178.39 a | 2874.07 ± 172.95 a | |
| ST | 6.08 ± 0.03 abc | 3068.00 ± 101.91 ab | 3057.21 ± 93.89 ab | |
![]() | ||||
Disclaimer/Publisher’s Note: The statements, opinions and data contained in all publications are solely those of the individual author(s) and contributor(s) and not of MDPI and/or the editor(s). MDPI and/or the editor(s) disclaim responsibility for any injury to people or property resulting from any ideas, methods, instructions or products referred to in the content. |
© 2025 by the authors. Licensee MDPI, Basel, Switzerland. This article is an open access article distributed under the terms and conditions of the Creative Commons Attribution (CC BY) license (https://creativecommons.org/licenses/by/4.0/).
Share and Cite
Zhang, X.; Mu, Y.; Li, M.; Yang, X.; Zhang, D.; Wang, K.; Song, Y. Soil Bacterial Communities in a Tobacco Field Plantation and Under Different N Fertilizations in Central Yunnan, China. Agronomy 2025, 15, 655. https://doi.org/10.3390/agronomy15030655
Zhang X, Mu Y, Li M, Yang X, Zhang D, Wang K, Song Y. Soil Bacterial Communities in a Tobacco Field Plantation and Under Different N Fertilizations in Central Yunnan, China. Agronomy. 2025; 15(3):655. https://doi.org/10.3390/agronomy15030655
Chicago/Turabian StyleZhang, Xiaohua, Yifan Mu, Meiting Li, Xin Yang, Donghui Zhang, Keqin Wang, and Yali Song. 2025. "Soil Bacterial Communities in a Tobacco Field Plantation and Under Different N Fertilizations in Central Yunnan, China" Agronomy 15, no. 3: 655. https://doi.org/10.3390/agronomy15030655
APA StyleZhang, X., Mu, Y., Li, M., Yang, X., Zhang, D., Wang, K., & Song, Y. (2025). Soil Bacterial Communities in a Tobacco Field Plantation and Under Different N Fertilizations in Central Yunnan, China. Agronomy, 15(3), 655. https://doi.org/10.3390/agronomy15030655


