Phosphorus Alleviates Cadmium Damage by Reducing Cadmium Accumulation and Enhancing Antioxidant Enzymes at the Vegetative Phase in Soybean
Abstract
1. Introduction
2. Materials and Methods
2.1. Plant Materials
2.2. Cadmium and Phosphorus Treatments
2.3. Phenotyping and Physiological Measurement
2.4. Determination of SOD, POD, and CAT Activity
2.5. Metabolomics Analysis
2.6. RNA Isolation and Transcriptomics Sequencing
2.7. Preprocessing and De Novo Assembly
2.8. Quantification of Gene Expression Levels and Differential Expression Analysis
2.9. Quantitative Real-Time PCR (qRT-PCR)
2.10. Statistical Analysis
3. Results
3.1. Physiological Measurement
3.2. Transcriptome and Metabolic Analyses
3.3. Differently Expressed Genes (DEGs) and Differential Metabolomes Analysis
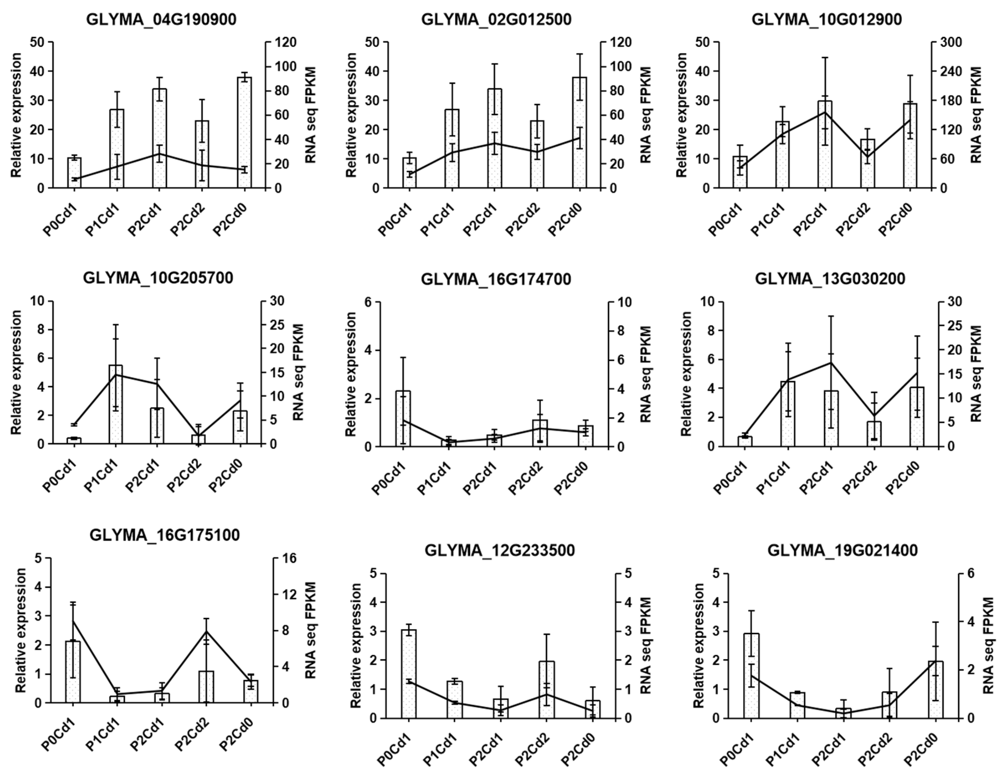
3.4. Verification of DEGs Involved in Different Cadmium and Phosphorus Treatments
4. Discussion
4.1. Impact of Cadmium on Soybean Growth and Physiology
4.2. Transcriptomic and Metabolic Responses to Cadmium and Phosphorus Treatment
4.3. Gene-Environment Interactions and Phosphorus’s Role in Stress Tolerance
4.4. Differential Metabolites and Gene Expression Validation
5. Conclusions and Implications for Agricultural Practices
Supplementary Materials
Author Contributions
Funding
Data Availability Statement
Conflicts of Interest
References
- Bojorquez, M.G.; Frias-Espericueta, D.; Voltolina, D. Removal of cadmium and lead by adapted strains of Pseudomonas aeruginosa and Enterobacter cloacae. Rev. Int. Contam. Ambient. 2016, 32, 407–412. [Google Scholar] [CrossRef]
- Clemens, S.; Ma, J.F. Toxic heavy metal and metalloid accumulation in crop plants and foods. Annu. Rev. Plant Biol. 2016, 67, 489–512. [Google Scholar] [CrossRef]
- Bashir, A.; Rizwan, M.; Ali, S.; Adrees, M.; Rehman, M.Z.U.; Qayyum, M.F. Effect of composted organic amendments and zinc oxide nanoparticles on growth and cadmium accumulation by wheat: A life cycle study. Environ. Sci. Pollut. Res. 2020, 27, 23926–23936. [Google Scholar] [CrossRef]
- Rizwan, M.; Ali, S.; Adrees, M.; Rizvi, H.; Zia-ur-Rehman, M.; Hannan, F.; Qayyum, M.F.; Hafeez, F.; Ok, Y.S. Cadmium stress in rice: Toxic effects, tolerance mechanisms, and management: A critical review. Environ. Sci. Pollut. Res. 2016, 23, 17859–17879. [Google Scholar] [CrossRef]
- Liu, L.; Shang, Y.K.; Li, L.; Chen, Y.H.; Qin, Z.Z.; Zhou, L.J.; Yuan, M.; Ding, C.B.; Liu, J.; Huang, Y.; et al. Cadmium stress in Dongying wild soybean seedlings: Growth, Cd accumulation, and photosynthesis. Photosynthetica 2018, 56, 1346–1352. [Google Scholar] [CrossRef]
- Wang, P.; Chen, H.; Kopittke, P.M.; Zhao, F.-J. Cadmium contamination in agricultural soils of China and the impact on food safety. Environ. Pollut. 2019, 249, 1038–1048. [Google Scholar] [CrossRef]
- Satheesh, V.; Tahir, A.; Li, J.; Lei, M. Plant phosphate nutrition: Sensing the stress. Stress Biol. 2022, 2, 16. [Google Scholar] [CrossRef]
- Yoshitake, Y.; Yoshimoto, K. Intracellular phosphate recycling systems for survival during phosphate starvation in plants. Front. Plant Sci. 2023, 13, 1088211. [Google Scholar] [CrossRef]
- Jia, H.; Hou, D.; O’Connor, D.; Pan, S.; Zhu, J.; Bolan, N.S.; Mulder, J. Exogenous phosphorus treatment facilitates chelation-mediated cadmium detoxification in perennial ryegrass (Lolium perenne L.). J. Hazard. Mater. 2020, 389, 121849. [Google Scholar] [CrossRef]
- Lee, Y.; Jang, J.; Jeon, Y.; Kim, H.; Jang, G.; Yoon, Y. Assessing the effects of accumulated Cd(II) on seed germination and root development of Arabidopsis thaliana. Appl. Biol. Chem. 2021, 64, 87. [Google Scholar] [CrossRef]
- Haider, F.U.; Liqun, C.; Coulter, J.A.; Cheema, S.A.; Wu, J.; Zhang, R.; Wenjun, M.; Farooq, M. Cadmium toxicity in plants: Impacts and remediation strategies. Ecotoxicol. Environ. Saf. 2021, 211, 111887. [Google Scholar] [CrossRef]
- Parmar, P.; Kumari, N.; Sharma, V. Structural and functional alterations in photosynthetic apparatus of plants under cadmium stress. Bot. Stud. 2013, 54, 45. [Google Scholar] [CrossRef]
- Andresen, E.; Lyubenova, L.; Hubáček, T.; Bokhari, S.N.H.; Matoušková, Š.; Mijovilovich, A.; Rohovec, J.; Küpper, H. Chronic exposure of soybean plants to nanomolar cadmium reveals specific additional high-affinity targets of cadmium toxicity. J. Exp. Bot. 2020, 71, 1628–1644. [Google Scholar] [CrossRef]
- Ali, M.; Muazu, L. A Review on the Effects of Cadmium Stress on Growth and Development of Plants. South Asian Res. J. Biol. Appl. Biosci. 2020, 2, 33–37. [Google Scholar] [CrossRef]
- Lai, X.; Yang, X.; Rao, S.; Zhu, Z.; Cong, X.; Ye, J.; Zhang, W.; Liao, Y.; Cheng, S.; Xu, F. Advances in physiological mechanisms of selenium to improve heavy metal stress tolerance in plants. Plant Biol. 2022, 24, 913–919. [Google Scholar] [CrossRef]
- Niu, L.; Li, C.; Wang, W.; Zhang, J.; Scali, M.; Li, W.; Liu, H.; Tai, F.; Hu, X.; Wu, X. Cadmium tolerance and hyperaccumulation in plants—A proteomic perspective of phytoremediation. Ecotoxicol. Environ. Saf. 2023, 256, 114882. [Google Scholar] [CrossRef]
- Lynch, J.P. Root phenes for enhanced soil exploration and phosphorus acquisition: Tools for future crops. Plant Physiol. 2011, 180, 529–540. [Google Scholar] [CrossRef]
- Zhang, M.; Jin, Z.; Zhang, X.; Wang, G.; Li, R.; Qu, J.; Jin, Y. Alleviation of Cd phytotoxicity and enhancement of rape seedling growth by plant growth–promoting bacterium Enterobacter sp. Zm-123. Environ. Sci. Pollut. Res. 2020, 27, 33192–33203. [Google Scholar] [CrossRef]
- Khan, F.; Siddique, A.B.; Shabala, S.; Zhou, M.; Zhao, C. Phosphorus plays key roles in regulating plants’ physiological responses to abiotic stresses. Plants 2023, 12, 2861. [Google Scholar] [CrossRef]
- Nouairi, I.; Jalali, K.; Essid, S.; Zribi, K.; Mhadhbi, H. Alleviation of cadmium-induced genotoxicity and cytotoxicity by calcium chloride in faba bean (Vicia faba L. var. minor) roots. Physiol. Mol. Biol. Plants 2019, 25, 921–931. [Google Scholar] [CrossRef]
- Grant, C.A. Influence of phosphate fertilizer on cadmium in agriculture soils and crops. Pedologist 2011, 54, 143–155. [Google Scholar]
- Lennicke, C.; Cochemé, H.M. Redox metabolism: ROS as specific molecular regulators of cell signaling and function. Mol. Cell 2021, 81, 3691–3707. [Google Scholar] [CrossRef] [PubMed]
- Cui, G.; Ai, S.; Chen, K.; Wang, X. Arbuscular mycorrhiza augments cadmium tolerance in soybean by altering accumulation and partitioning of nutrient elements, and related gene expression. Ecotoxicol. Environ. Saf. 2019, 171, 231–239. [Google Scholar] [CrossRef] [PubMed]
- Wei, X.; Fu, Y.; Yu, R.; Wu, L.; Wu, Z.; Tian, P.; Li, S.; Yang, X.; Yang, M. Comprehensive sequence and expression profile analysis of the phosphate transporter gene family in soybean. Sci. Rep. 2022, 12, 20883. [Google Scholar] [CrossRef] [PubMed]
- Wang, Q.; Wang, J.; Yang, Y.; Du, W.; Zhang, D.; Yu, D.; Cheng, H. A genome-wide expression profile analysis reveals active genes and pathways coping with phosphate starvation in soybean. BMC Genom. 2016, 17, 192. [Google Scholar] [CrossRef]
- Hasin, Y.; Seldin, M.; Lusis, A. Multi-omics approaches to disease. Genome Biol. 2017, 18, 83. [Google Scholar] [CrossRef]
- Maan, K.; Baghel, R.; Dhariwal, S.; Sharma, A.; Bakhshi, R.; Rana, P. Metabolomics and transcriptomics based multi-omics integration reveals radiation-induced altered pathway networking and underlying mechanism. NPJ Syst. Biol. Appl. 2023, 9, 42. [Google Scholar] [CrossRef]
- Mersha, T.B. From Mendel to multi-omics: Shifting paradigms. Eur. J. Hum. Genet. 2024, 32, 139–142. [Google Scholar] [CrossRef]
- Yan, Q.; Zhang, G.; Zhang, X.; Huang, L. A review of transcriptomics and metabolomics in plant quality and environmental response: From bibliometric analysis to science mapping and future trends. Metabolites 2024, 14, 272. [Google Scholar] [CrossRef]
- Yang, A.; Kong, L.; Wang, H.; Yao, X.; Xie, F.; Wang, H.; Ao, X. Response of Soybean Root to Phosphorus Deficiency under Sucrose Feeding: Insight from Morphological and Metabolome Characterizations. BioMed Res. Int. 2020, 2020, 2148032. [Google Scholar] [CrossRef]
- Zhao, H.; Yang, A.; Kong, L.; Xie, F.; Wang, H.; Ao, X. Proteome characterization of two contrasting soybean genotypes in response to different phosphorus treatments. AoB Plants 2021, 13, plab019. [Google Scholar] [CrossRef] [PubMed]
- Lin, K.; Williams, D.V.; Zeng, M.; Ahmed, I.M.; Dai, H.; Cao, F.; Wu, F. Identification of low grain cadmium accumulation genotypes and its physiological mechanism in maize (Zea mays L.). Environ. Sci. Pollut. Res. 2022, 29, 20721–20730. [Google Scholar] [CrossRef]
- Gill, S.S.; Khan, N.A.; Tuteja, N. Cadmium at high dose perturbs growth, photosynthesis, and nitrogen metabolism while at low dose it upregulates sulfur assimilation and antioxidant machinery in garden cress (Lepidium sativum L.). Plant Sci. 2012, 182, 112–120. [Google Scholar] [CrossRef] [PubMed]
- Beyer Jr, W.F.; Fridovich, I. Assaying for superoxide dismutase activity: Some large consequences of minor changes in conditions. Anal. Biochem. 1987, 161, 559–566. [Google Scholar] [CrossRef] [PubMed]
- Aebi, H. Catalase in vitro. Methods Enzymol. 1984, 105, 121–126. [Google Scholar]
- Beffa, R.; Martin, H.V.; Pilet, P.E. In vitro oxidation of indoleacetic acid by soluble auxin-oxidases and peroxidases from maize roots. Plant Physiol. 1990, 94, 485–491. [Google Scholar] [CrossRef]
- Chen, C.; Chen, H.; Zhang, Y.; Thomas, H.R.; Frank, M.H.; He, Y.; Xia, R. TBtools: An Integrative Toolkit Developed for Interactive Analyses of Big Biological Data. Mol. Plant. 2020, 13, 1194–1202. [Google Scholar] [CrossRef] [PubMed]
- Livak, K.J.; Schmittgen, T.D. Analysis of relative gene expression data using real-time quantitative PCR and the 2(-Delta Delta C(T)) Method. Methods 2001, 25, 402–408. [Google Scholar] [CrossRef]
- Song, J.; Sun, Z.; Saud, S.; Fahad, S.; Nawaz, T. Exploring the deleterious effects of heavy metal cadmium on antioxidant defense and photosynthetic pathways in higher plants. Plant Stress 2024, 15, 100716. [Google Scholar] [CrossRef]
- Shamsi, I.H.; Wei, K.; Jilani, G.; Zhang, G.P. Interactions of cadmium and aluminum toxicity in their effect on growth and physiological parameters in soybean. J. Zhejiang Univ. Sci. B 2007, 8, 181–188. [Google Scholar] [CrossRef]
- Muradoglu, F.; Gundogdu, M.; Ercisli, S.; Encu, T.; Balta, F.; Jaafar, H.Z.; Zia-Ul-Haq, M. Cadmium toxicity affects chlorophyll a and b content, antioxidant enzyme activities and mineral nutrient accumulation in strawberry. Biol. Res. 2015, 48, 11. [Google Scholar] [CrossRef] [PubMed]
- Jung, H.I.; Lee, B.R.; Chae, M.J.; Lee, E.J.; Lee, T.G.; Jung, G.B.; Kim, M.S.; Lee, J. Ascorbate-mediated modulation of cadmium stress responses: Reactive oxygen species and redox status in Brassica napus. Front. Plant Sci. 2020, 11, 586547. [Google Scholar] [CrossRef] [PubMed]
- Yang, S.; Xie, J.; Li, Q. Oxidative response and antioxidative mechanism in germinating soybean seeds exposed to cadmium. Int. J. Environ. Res. Public Health 2012, 9, 2827–2838. [Google Scholar] [CrossRef]
- Chen, Q.; Hu, Y.; Yang, L.; Zhu, B.; Luo, F. Phosphorus regulates the level of signaling molecules in rice to reduce cadmium toxicity. Curr. Issues Mol. Biol. 2022, 44, 4070–4086. [Google Scholar] [CrossRef] [PubMed]
- Maqbool, A.; Rizwan, M.; Yasmeen, T.; Arif, M.S.; Hussain, A.; Mansha, A.; Ali, S.; Alshaya, H.; Okla, M.K. Phosphorus fertilizers enhance the phytoextraction of cadmium through Solanum nigrum L. Plants 2022, 11, 236. [Google Scholar] [CrossRef]
- Chen, C.; Wu, Y.; Li, J.; Wang, X.; Zeng, Z.; Xu, J.; Liu, Y.; Feng, J.; Chen, H.; He, Y.; et al. TBtools-II: A “one for all, all for one” bioinformatics platform for biological big-data mining. Mol. Plant 2023, 16, 1733–1742. [Google Scholar] [CrossRef]
- Anwar, A.; Wang, Y.; Chen, M.; Zhang, S.; Wang, J.; Feng, Y.; Xue, Y.; Zhao, M.; Su, W.; Chen, R.; et al. Zero-valent iron (nZVI) nanoparticles mediate SlERF1 expression to enhance cadmium stress tolerance in tomato. J. Hazard. Mater. 2024, 468, 133829. [Google Scholar] [CrossRef]
- Qin, S.; Liu, H.; Nie, Z.; Rengel, Z.; Gao, W.; Li, C.; Zhao, P. Toxicity of cadmium and its competition with mineral nutrients for uptake by plants: A review. Pedosphere 2020, 30, 168–180. [Google Scholar] [CrossRef]
- Li, J.; Han, G.; Sun, C.; Sui, N. Research advances of MYB transcription factors in plant stress resistance and breeding. Plant Signal. Behav. 2019, 14, 1613131. [Google Scholar] [CrossRef]
- Guo, J.; Sun, B.; He, H.; Zhang, Y.; Tian, H.; Wang, B. Current understanding of bHLH transcription factors in plant abiotic stress tolerance. Int. J. Mol. Sci. 2021, 22, 4921. [Google Scholar] [CrossRef]
- Dhalaria, R.; Kumar, D.; Kumar, H.; Nepovimova, E.; Kuča, K.; Torequl Islam, M.; Verma, R. Arbuscular Mycorrhizal Fungi as Potential Agents in Ameliorating Heavy Metal Stress in Plants. Agronomy 2020, 10, 815. [Google Scholar] [CrossRef]
- Banerjee, S.; Agarwal, P.; Choudhury, S.R.; Roy, S. MYB4, a member of R2R3-subfamily of MYB transcription factor functions as a repressor of key genes involved in flavonoid biosynthesis and repair of UV-B induced DNA double strand breaks in Arabidopsis. Plant Physiol. Biochem. PPB 2024, 211, 108698. [Google Scholar] [CrossRef] [PubMed]
- Ma, D.; Guo, Y.; Ali, I.; Lin, J.; Xu, Y.; Yang, M. Accumulation characteristics of plant flavonoids and effects of cultivation measures on their biosynthesis: A review. Plant Physiol. Biochem. PPB 2024, 215, 108960. [Google Scholar] [CrossRef]
- Cuypers, A.; Vanbuel, I.; Iven, V.; Kunnen, K.; Vandionant, S.; Huybrechts, M.; Hendrix, S. Cadmium-induced oxidative stress responses and acclimation in plants require fine-tuning of redox biology at subcellular level. Free. Radic. Biol. Med. 2023, 199, 81–96. [Google Scholar] [CrossRef] [PubMed]










Disclaimer/Publisher’s Note: The statements, opinions and data contained in all publications are solely those of the individual author(s) and contributor(s) and not of MDPI and/or the editor(s). MDPI and/or the editor(s) disclaim responsibility for any injury to people or property resulting from any ideas, methods, instructions or products referred to in the content. |
© 2025 by the authors. Licensee MDPI, Basel, Switzerland. This article is an open access article distributed under the terms and conditions of the Creative Commons Attribution (CC BY) license (https://creativecommons.org/licenses/by/4.0/).
Share and Cite
Jia, S.; Zhao, X.; Huang, J.; Yao, X.; Xie, F. Phosphorus Alleviates Cadmium Damage by Reducing Cadmium Accumulation and Enhancing Antioxidant Enzymes at the Vegetative Phase in Soybean. Agronomy 2025, 15, 637. https://doi.org/10.3390/agronomy15030637
Jia S, Zhao X, Huang J, Yao X, Xie F. Phosphorus Alleviates Cadmium Damage by Reducing Cadmium Accumulation and Enhancing Antioxidant Enzymes at the Vegetative Phase in Soybean. Agronomy. 2025; 15(3):637. https://doi.org/10.3390/agronomy15030637
Chicago/Turabian StyleJia, Sen, Xiang Zhao, Junxia Huang, Xingdong Yao, and Futi Xie. 2025. "Phosphorus Alleviates Cadmium Damage by Reducing Cadmium Accumulation and Enhancing Antioxidant Enzymes at the Vegetative Phase in Soybean" Agronomy 15, no. 3: 637. https://doi.org/10.3390/agronomy15030637
APA StyleJia, S., Zhao, X., Huang, J., Yao, X., & Xie, F. (2025). Phosphorus Alleviates Cadmium Damage by Reducing Cadmium Accumulation and Enhancing Antioxidant Enzymes at the Vegetative Phase in Soybean. Agronomy, 15(3), 637. https://doi.org/10.3390/agronomy15030637

