Soil Organic Carbon and Labile Organic Carbon Fractions Drive the Dynamics of Aggregate Composition and Stability in a Chronosequence of Tea Plantations
Abstract
1. Introduction
2. Materials and Methods
2.1. Study Area
2.2. Experiment Design
2.3. Sample Collection
2.4. Aggregate Classification
2.5. Soil Analysis
2.6. Data Processing
3. Results
3.1. Soil Aggregate Composition and Stability
3.2. Soil Aggregate-Associated Carbon Content
3.2.1. OC
3.2.2. ROC
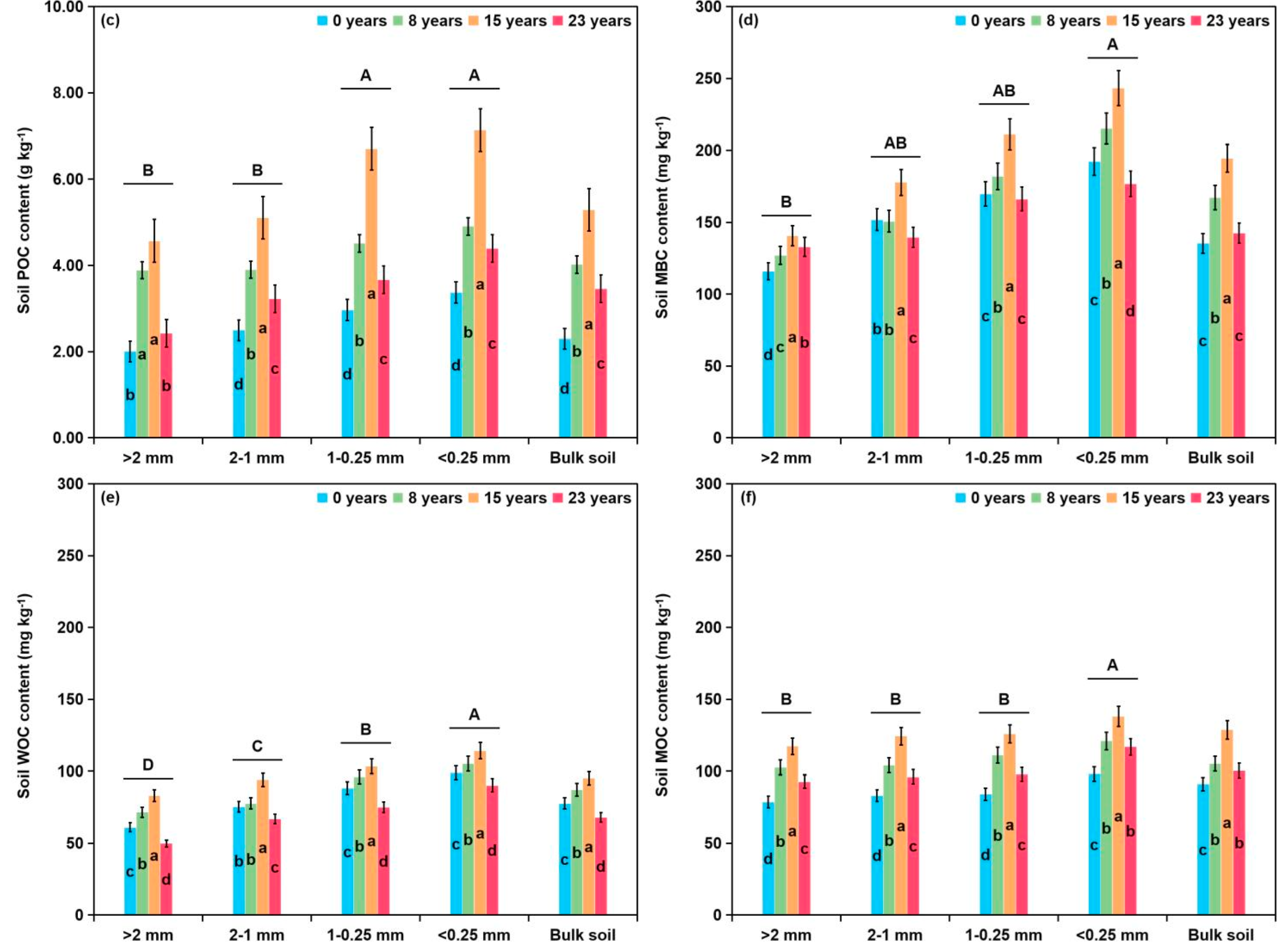
3.2.3. POC
3.2.4. MBC
3.2.5. WOC
3.2.6. MOC
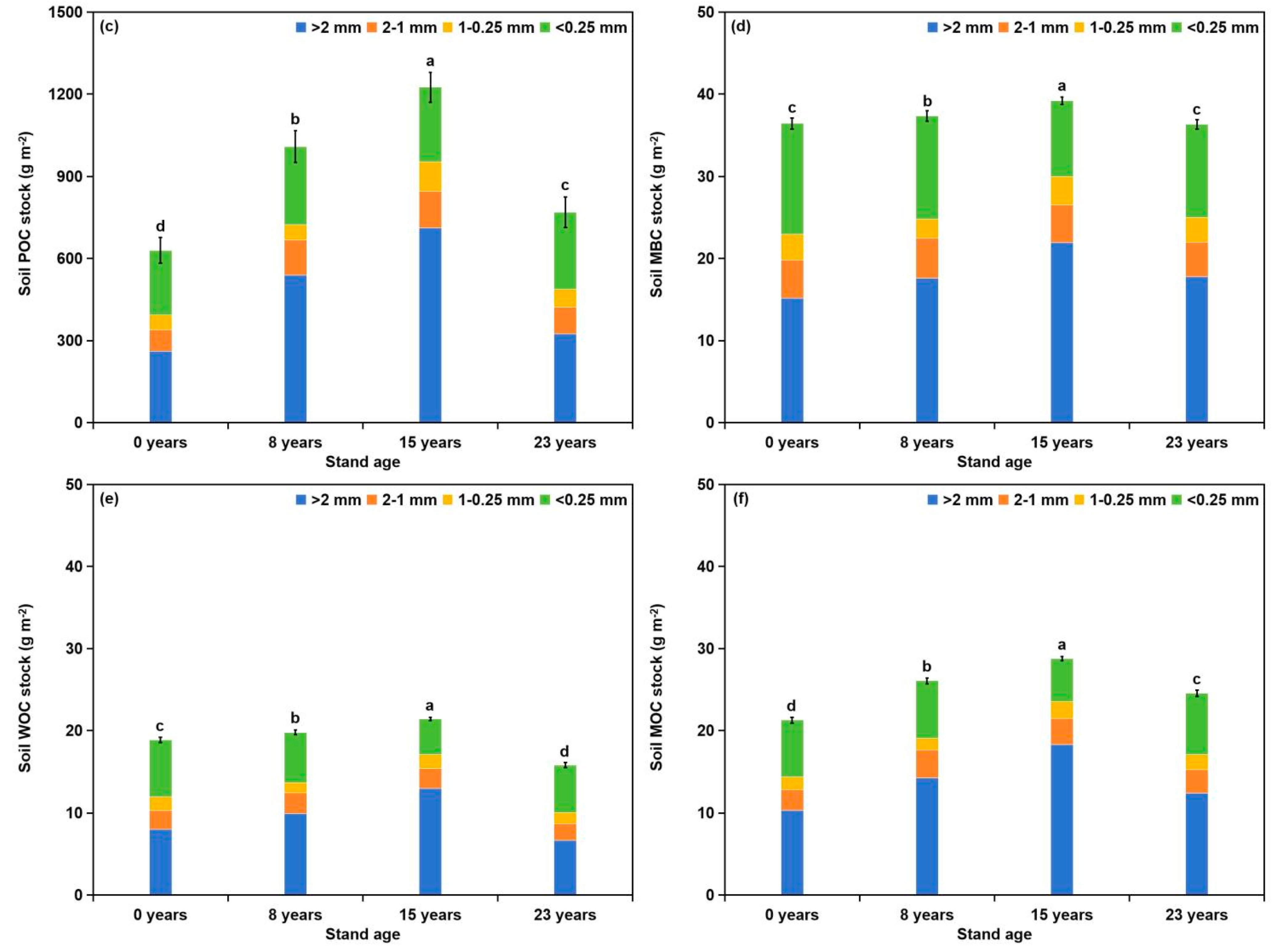
3.3. Soil Aggregate-Associated Carbon Stock
4. Discussion
4.1. Soil Aggregate Composition and Stability
4.2. Soil Aggregate-Associated Carbon Content
4.3. Soil Aggregate-Associated Carbon Stock
5. Conclusions
Author Contributions
Funding
Data Availability Statement
Acknowledgments
Conflicts of Interest
References
- Wang, S.; Zhang, Z.; Ye, S. Response of soil fertility characteristics in water-stable aggregates to tea cultivation age in hilly region of southern Guangxi, China. Catena 2020, 191, 104578. [Google Scholar] [CrossRef]
- Huang, P.; Broto, V.C.; Westman, L. Harnessing social innovation for a just transition: A case study of tea industrialization in China’s era of ecological civilization. Environ. Innov. Soc. Transit. 2024, 53, 100917. [Google Scholar] [CrossRef]
- Wang, S.; He, X.; Ye, S. Soil aggregation and aggregate-associated carbon, nitrogen, and phosphorus under different aged tea (Camellia sinensis L.) plantations in hilly region of southern Guangxi, China. Sci. Hortic. 2020, 262, 109007. [Google Scholar] [CrossRef]
- Jing, T.; Huang, Y. Analysis on the development status and trend of tea food industry in China. S. China Agric. 2024, 18, 12–18. [Google Scholar]
- Zhang, C.; He, X.; Ye, S.; Wang, S. Soil aggregate-associated carbon fraction dynamics during the process of tea (Camellia sinensis L.) planting in southern Guangxi, China. Forests 2021, 12, 1530. [Google Scholar] [CrossRef]
- Wang, S.; Yao, X.; Ye, S. Soil aggregate-related organic carbon and relevant enzyme activities as affected by tea (Camellia sinensis L.) planting age in hilly region of southern Guangxi, China. Appl. Soil Ecol. 2020, 150, 103444. [Google Scholar] [CrossRef]
- Sheng, H.; Zhou, P.; Zhang, Y.; Kuzyakov, Y.; Zhou, Q.; Ge, T.; Wang, C. Loss of labile organic carbon from subsoil due to land-use changes in subtropical China. Soil Biol. Biochem. 2015, 88, 148–157. [Google Scholar] [CrossRef]
- Blair, G.J.; Lefroy, R.D.B.; Lisle, L. Soil carbon fractions based on their degree of oxidation, and the development of a carbon management index for agricultural systems. Aust. J. Agric. Res. 1995, 46, 1459. [Google Scholar] [CrossRef]
- Cadisch, G.; Imhof, H.; Urquiaga, S.; Boddey, R.B.; Giller, K.E. Carbon turnover (δ13C) and nitrogen mineralization potential of particulate light soil organic matter after rainforest clearing. Soil Biol. Biochem. 1996, 28, 1555–1567. [Google Scholar] [CrossRef]
- Powlson, D.S.; Prookes, P.C.; Christensen, B.T. Measurement of soil microbial biomass provides an early indication of changes in total soil organic matter due to straw incorporation. Soil Biol. Biochem. 1987, 19, 159–164. [Google Scholar] [CrossRef]
- Schnabel, R.R.; Dell, C.J.; Shaffer, J.A. Filter, inoculum and time effects on measurements of biodegradable water soluble organic carbon in soil. Soil Biol. Biochem. 2002, 34, 737–739. [Google Scholar] [CrossRef]
- Zhao, M.; Zhou, J.; Kalbitz, K. Carbon mineralization and properties of water-extractable organic carbon in soils of the south Loess Plateau in China. Eur. J. Soil Biol. 2008, 44, 158–165. [Google Scholar] [CrossRef]
- Xiang, Y.; Yang, J.; Huang, Z.; Zhang, X.; Duan, H.; Yu, A.; Yang, H.; Fan, C.; Chen, G.; Li, X. Aboveground plants influence heterogeneously soil organic carbon (SOC) and its labile fractions after mixed afforestation: Three afforestation types of Masson’s pine in the Upper Yangtze River, China. Sci. Total Environ. 2024, 957, 177293. [Google Scholar] [CrossRef]
- Six, J.; Paustian, K. Aggregate-associated soil organic matter as an ecosystem property and a measurement tool. Soil Biol. Biochem. 2012, 68, 4–9. [Google Scholar] [CrossRef]
- Guo, Y.; Fan, R.; Zhang, X.; Zhang, Y.; Wu, D.; McLaughlin, N.; Zhang, S.; Chen, X.; Jia, S.; Liang, A. Tillage-induced effects on SOC through changes in aggregate stability and soil pore structure. Sci. Total Environ. 2020, 703, 134617. [Google Scholar] [CrossRef] [PubMed]
- Six, J.; Bossuyt, H.; Degryze, S.; Denef, K. A history of research on the link between (micro) aggregates, soil biota, and soil organic matter dynamics. Soil Tillage Res. 2004, 79, 7–31. [Google Scholar] [CrossRef]
- Tang, N.; Dultz, S.; Gerth, D.; Klumpp, E. Soil colloids as binding agents in the formation of soil microaggregates in wet-dry cycles: A case study for arable Luvisols under different management. Geoderma 2024, 443, 116830. [Google Scholar] [CrossRef]
- Lan, J.; Long, Q.; Huang, M.; Jiang, Y.; Hu, N. Afforestation-induced large macroaggregate formation promotes soil organic carbon accumulation in degraded karst area. For. Ecol. Manag. 2022, 505, 119884. [Google Scholar] [CrossRef]
- Zhu, X.; Shen, Y.; Yuan, X.; Singh, A.K.; Jin, L.; Yang, B.; Yuan, C.; Jiang, X.; Liu, W. Divergent responses of soil aggregate-associated organic carbon fractions and carbon flow pathways to land-use changes in karst ecosystems: Insights from δ13C signature. Catena 2025, 249, 108695. [Google Scholar] [CrossRef]
- IUSS Working Group. World reference base for soil resources. International soil classification system for naming soils and creating legends for soil maps. In World Soil Resources Reports No. 106; FAO: Rome, Italy, 2024. [Google Scholar]
- Pitol, M.N.S.; Nahid, M.I.; Islam, M.A.; Hasan, S.M.M.; Alam, S.M.R. Ecological influences on regeneration dynamics in the sundarbans, Bangladesh: Exploring biotic and abiotic factors across time and space. Glob. Ecol. Conserv. 2025, 57, e03403. [Google Scholar] [CrossRef]
- Bach, E.M.; Hofmockel, K.S. Soil aggregate isolation method affects measures of intra-aggregate extracellular enzyme activity. Soil Biol. Biochem. 2014, 69, 54–62. [Google Scholar] [CrossRef]
- Lu, R. Analysis of Soil Agrochemistry; Chinese Agricultural Science and Technology Press: Beijing, China, 2000. [Google Scholar]
- Nelson, D.W.; Sommers, L.E. Total carbon, organic carbon and organic matter. In Part 3. American Society of Agronomy; Sparks, D.L., Ed.; Monograph: Madison, WI, USA, 1996; pp. 961–1010. [Google Scholar]
- Liu, M.; Chang, Q.; Qi, Y.; Liu, J.; Chen, T. Aggregation and soil organic carbon fractions under different land uses on the tableland of the Loess Plateau of China. Catena 2014, 115, 19–28. [Google Scholar] [CrossRef]
- Cambardella, C.A.; Elliott, E.T. Carbon and nitrogen distribution in aggregates from cultivated and native grassland soils. Soil Sci. Soc. Am. J. 1993, 57, 1071–1076. [Google Scholar] [CrossRef]
- Vance, E.D.; Brookes, P.C.; Jenkinson, D.S. An extraction method for measuring soil microbial biomass C. Soil Biol. Biochem. 1987, 19, 703–707. [Google Scholar] [CrossRef]
- Yang, X.; Ren, W.; Sun, B.; Zhang, S. Effects of contrasting soil management regimes on total and labile soil organic carbon fractions in a loess soil in China. Geoderma 2012, 178, 49–56. [Google Scholar] [CrossRef]
- Wei, H.; Zhang, K.; Zhang, J.; Li, D.; Zhang, Y.; Xiang, H. Grass cultivation alters soil organic carbon fractions in a subtropical orchard of southern China. Soil Tillage Res. 2018, 181, 110–116. [Google Scholar] [CrossRef]
- Nsabimana, G.; Bao, Y.; He, X.; Nambajimana, J.D. Soil aggregate stability index independent from pre-stress aggregate size distribution: A test from soils affected by the water level fluctuation in the Three Gorges Reservoir, China. Geoderma 2024, 450, 117055. [Google Scholar] [CrossRef]
- Sarker, T.C.; Somenahally, A.C.; Romero, A.; Rouquette, M.J.; Smith, G.; Ganjegunte, G. Assessing organic carbon sequestration in soil aggregates for building high quality carbon stocks in improved grazing lands. Agric. Ecosyst. Environ. 2025, 380, 109403. [Google Scholar] [CrossRef]
- Afthanorhan, A.; Awang, Z.; Aimran, N. Five common mistakes for using partial least squares path modeling (PLS-PM) in management research. Contemp. Manag. Res. 2020, 16, 255–278. [Google Scholar] [CrossRef]
- Haenlein, M.; Kaplan, A.M. A beginner’s guide to partial least squares analysis. Underst. Stat. 2004, 3, 283–297. [Google Scholar] [CrossRef]
- Wang, B.; Xu, G.; Ma, T.; Chen, L.; Cheng, Y.; Li, P.; Li, Z.; Zhang, Y. Effects of vegetation restoration on soil aggregates, organic carbon, and nitrogen in the Loess Plateau of China. Catena 2023, 231, 107340. [Google Scholar] [CrossRef]
- Zhang, Y.; Zhen, Q.; Ma, W.; Jia, J.; Li, P.; Zhang, X. Dynamic responses of soil aggregate-associated organic carbon and nitrogen to different vegetation restoration patterns in an agro-pastoral ecotone in northern China. Ecol. Eng. 2023, 189, 106895. [Google Scholar] [CrossRef]
- Li, C.; Wang, Q.; Wu, H.; Zhang, Y.; Ma, S.; Xu, L. Effects of tree species composition in plantation forest on soil aggregate stability and organic carbon pools in northeastern China. Geoderma Reg. 2024, 39, e00899. [Google Scholar] [CrossRef]
- Zhu, Y.; Zhang, M.; Han, X.; Lu, X.; Chen, X.; Feng, H.; Wu, Z.; Liu, C.; Yan, J.; Zou, W. Evaluation of the soil aggregate stability under long term manure and chemical fertilizer applications: Insights from organic carbon and humic acid structure in aggregates. Agric. Ecosyst. Environ. 2024, 376, 109217. [Google Scholar] [CrossRef]
- Tian, Y.; Wang, J.; Liu, S.; Wei, Z.; Dodla, S.K.; Zhou, B.; Mitchell, C.C.; Zhang, Z. Soil organic carbon and aggregate characteristics in a subtropical cotton production field influenced by century-long crop rotation and fertility management. Pedosphere, 2024; in press. [Google Scholar] [CrossRef]
- Bucka, F.B.; Kölbl, A.; Uteau, D.; Peth, S.; Kögel-Knabner, I. Organic matter input determines structure development and aggregate formation in artificial soils. Geoderma 2019, 354, 113881. [Google Scholar] [CrossRef]
- Cooper, J.; Greenberg, I.; Ludwig, B.; Hippich, L.; Fischer, D.; Glaser, B.; Kaiser, M. Effect of biochar and compost on soil properties and organic matter in aggregate size fractions under field conditions. Agric. Ecosyst. Environ. 2020, 295, 106882. [Google Scholar] [CrossRef]
- Egan, G.; Crawley, M.J.; Fornara, D.A. Effects of long-term grassland management on the carbon and nitrogen pools of different soil aggregate fractions. Sci. Total Environ. 2018, 614, 810–819. [Google Scholar] [CrossRef]
- Wang, S.; Li, T.; Zheng, Z. Tea plantation age effects on soil aggregate-associated carbon and nitrogen in the hilly region of western Sichuan, China. Soil Tillage Res. 2018, 180, 91–98. [Google Scholar] [CrossRef]
- Krause, L.; Biesgen, D.; Treder, A.; Schweizer, S.A.; Klumpp, E.; Knief, C.; Siebers, N. Initial microaggregate formation: Association of microorganisms to montmorillonite-goethite aggregates under wetting and drying cycles. Geoderma 2019, 351, 250–260. [Google Scholar] [CrossRef]
- Li, T.; Zhang, Y.; Bei, S.; Li, X.; Reinsch, S.; Zhang, H.; Zhang, J. Contrasting impacts of manure and inorganic fertilizer applications for nine years on soil organic carbon and its labile fractions in bulk soil and soil aggregates. Catena 2020, 194, 104739. [Google Scholar] [CrossRef]
- Li, W.; Zheng, Z.; Li, T.; Zhang, X.; Wang, Y.; Yu, H.; He, S.; Liu, T. Effect of tea plantation age on the distribution of soil organic carbon fractions within water-stable aggregates in the hilly region of Western Sichuan, China. Catena 2015, 133, 198–205. [Google Scholar] [CrossRef]
- He, X.; Huang, Y.; Zhang, Q.; Ye, S.; Wang, S. Distribution of organic carbon fractions in soil aggregates in Chinese fir plantations with different stand ages. Ecol. Process. 2021, 10, 49. [Google Scholar] [CrossRef]
- Yu, P.; Li, Y.; Liu, S.; Liu, J.; Ding, Z.; Ma, M.; Tang, X. Afforestation influences soil organic carbon and its fractions associated with aggregates in a karst region of Southwest China. Sci. Total Environ. 2022, 814, 152710. [Google Scholar] [CrossRef]
- Wang, J.; Song, C.; Wang, X.; Song, Y. Changes in labile soil organic carbon fractions in wetland ecosystems along a latitudinal gradient in Northeast China. Catena 2012, 96, 83–89. [Google Scholar] [CrossRef]
- Wang, M.; Wang, S.; Cao, Y.; Jiang, M.; Wang, G.; Dong, Y. The effects of hummock-hollow microtopography on soil organic carbon stocks and soil labile organic carbon fractions in a sedge peatland in Changbai Mountain, China. Catena 2021, 201, 105204. [Google Scholar] [CrossRef]
- Gao, J.; Lei, G.; Zhang, X.; Wang, G. Can δ13C abundance, water-soluble carbon, and light fraction carbon be potential indicators of soil organic carbon dynamics in Zoigê wetland? Catena 2014, 119, 21–27. [Google Scholar] [CrossRef]
- Jastrow, J.D. Soil aggregate formation and the accrual of particulate and mineralassociated organic matter. Soil Biol. Biochem. 1996, 28, 665–676. [Google Scholar] [CrossRef]
- Edwards, A.P.; Bremner, J.M. Microaggregates in soils. J. Soil Sci. 1967, 18, 64–73. [Google Scholar] [CrossRef]
- Zeng, J.; Li, X.; Jian, J.; Xing, L.; Li, Y.; Wang, X.; Zhang, Q.; Ren, C.; Yang, G.; Han, X. Differences in the regulation of soil carbon pool quality and stability by leaf-litter and root-litter decomposition. Environ. Res. 2024, 263, 120285. [Google Scholar] [CrossRef]
- Wang, S.; Li, T.; Zheng, Z.; Zhang, X.; Chen, H. Soil organic carbon and nutrients associated with aggregate fractions in a chronosequence of tea plantations. Ecol. Indic. 2019, 101, 444–452. [Google Scholar] [CrossRef]
- Ugbaje, S.U.; Karunaratne, S.; Bishop, T.; Gregory, L.; Searle, R.; Coelli, K.; Farrell, M. Space-time mapping of soil organic carbon stock and its local drivers: Potential for use in carbon accounting. Geoderma 2024, 441, 116771. [Google Scholar] [CrossRef]
- Post, W.M.; Kwon, K.C. Soil carbon sequestration and land-use change: Processes and potential. Glob. Change Biol. 2000, 6, 317–327. [Google Scholar] [CrossRef]








| Sample | Item | Stand Age | |||
|---|---|---|---|---|---|
| 0 Years | 8 Years | 15 Years | 23 Years | ||
| Litter | Quantity (g m−2) | 102 ± 18 d | 318 ± 26 b | 443 ± 34 a | 212 ± 22 c |
| C/N ratio | 18.12 ± 1.47 a | 15.38 ± 1.98 c | 14.25 ± 2.01 d | 16.84 ± 1.77 b | |
| Soil | Bulk density (g cm−3) | 1.25 ± 0.01 a | 1.21 ± 0.02 b | 1.18 ± 0.03 c | 1.23 ± 0.02 ab |
| Sand (2–0.02 mm) (%) | 31.24 ± 0.21 a | 30.51 ± 0.17 a | 31.59 ± 0.23 a | 30.47 ± 0.47 a | |
| Silt (0.02–0.002 mm) (%) | 35.47 ± 0.18 a | 34.18 ± 0.20 a | 34.47 ± 0.38 a | 35.24 ± 0.30 a | |
| Clay (<0.002 mm) (%) | 33.29 ± 0.26 a | 35.31 ± 0.42 a | 33.94 ± 0.35 a | 34.29 ± 0.24 a | |
| Stand Age | Aggregate Stability | Aggregate Composition (%) | Effects of Aggregate Size and Stand Age on Aggregate Composition | |||||||||
|---|---|---|---|---|---|---|---|---|---|---|---|---|
| Aggregate Size (A), df = 3 | Stand age (S), df = 3 | A × S, df = 9 | ||||||||||
| MWD (mm) | GMD (mm) | >2 mm | 2–1 mm | 1–0.25 mm | <0.25 mm | F | p | F | p | F | p | |
| 0 years | 1.78 ± 0.14 d | 1.23 ± 0.18 d | 47.28 ± 12.14 c | 12.33 ± 6.45 a | 7.41 ± 2.13 a | 32.98 ± 8.74 a | 1241.41 | <0.0001 | 42.51 | <0.0001 | 34.58 | <0.0001 |
| 8 years | 2.24 ± 0.31 b | 1.62 ± 0.21 b | 57.31 ± 11.02 b | 13.47 ± 7.57 a | 5.24 ± 1.47 a | 23.98 ± 9.10 b | ||||||
| 15 years | 2.67 ± 0.22 a | 2.14 ± 0.16 a | 66.02 ± 13.47 a | 11.02 ± 6.49 a | 6.89 ± 2.31 a | 16.07 ± 7.68 c | ||||||
| 23 years | 2.03 ± 0.29 c | 1.46 ± 0.17 c | 54.28 ± 11.39 b | 12.33 ± 4.38 a | 7.34 ± 1.57 a | 26.05 ± 8.97 b | ||||||
| Mean | 57.47 ± 12.12 A | 12.29 ± 5.25 C | 6.72 ± 1.66 D | 23.52 ± 8.81 B | ||||||||
| Tea Cultivation Stage | Rate of Change in Soil Carbon Stock During Tea Cultivation (g m−2 year−1) | |||||
|---|---|---|---|---|---|---|
| OC | ROC | POC | MBC | WOC | MOC | |
| Early stage (0–8 years) | 73.30 | 0.41 | 47.38 | 0.11 | 0.11 | 0.60 |
| Middle stage (8–15 years) | 67.47 | −0.67 | 30.87 | 0.27 | 0.23 | 0.39 |
| Late stage (15–23 years) | −40.49 | −0.13 | −56.96 | −0.36 | −0.70 | −0.53 |
Disclaimer/Publisher’s Note: The statements, opinions and data contained in all publications are solely those of the individual author(s) and contributor(s) and not of MDPI and/or the editor(s). MDPI and/or the editor(s) disclaim responsibility for any injury to people or property resulting from any ideas, methods, instructions or products referred to in the content. |
© 2025 by the authors. Licensee MDPI, Basel, Switzerland. This article is an open access article distributed under the terms and conditions of the Creative Commons Attribution (CC BY) license (https://creativecommons.org/licenses/by/4.0/).
Share and Cite
Cheng, R.; Du, L.; Ye, S.; Wang, S. Soil Organic Carbon and Labile Organic Carbon Fractions Drive the Dynamics of Aggregate Composition and Stability in a Chronosequence of Tea Plantations. Agronomy 2025, 15, 501. https://doi.org/10.3390/agronomy15020501
Cheng R, Du L, Ye S, Wang S. Soil Organic Carbon and Labile Organic Carbon Fractions Drive the Dynamics of Aggregate Composition and Stability in a Chronosequence of Tea Plantations. Agronomy. 2025; 15(2):501. https://doi.org/10.3390/agronomy15020501
Chicago/Turabian StyleCheng, Rui, Lei Du, Shaoming Ye, and Shengqiang Wang. 2025. "Soil Organic Carbon and Labile Organic Carbon Fractions Drive the Dynamics of Aggregate Composition and Stability in a Chronosequence of Tea Plantations" Agronomy 15, no. 2: 501. https://doi.org/10.3390/agronomy15020501
APA StyleCheng, R., Du, L., Ye, S., & Wang, S. (2025). Soil Organic Carbon and Labile Organic Carbon Fractions Drive the Dynamics of Aggregate Composition and Stability in a Chronosequence of Tea Plantations. Agronomy, 15(2), 501. https://doi.org/10.3390/agronomy15020501

