Photosynthetic Efficiency and Water Status as Determinants for the Performance of Semiarid-Adapted Cotton Cultivars Under Drought in Greenhouse
Abstract
1. Introduction
2. Materials and Methods
2.1. Experimental Area
2.2. Growing Conditions and Treatments
2.3. Irrigation Management
2.4. Dry Mass, Leaf Area, and Relative Drought Tolerance
2.5. Leaf Succulence and Osmotic Potential
2.6. Gas Exchanges
2.7. Quantification of Photosynthetic Pigments
2.8. Membrane Lipid Peroxidation
2.9. Statistical Analysis
3. Results
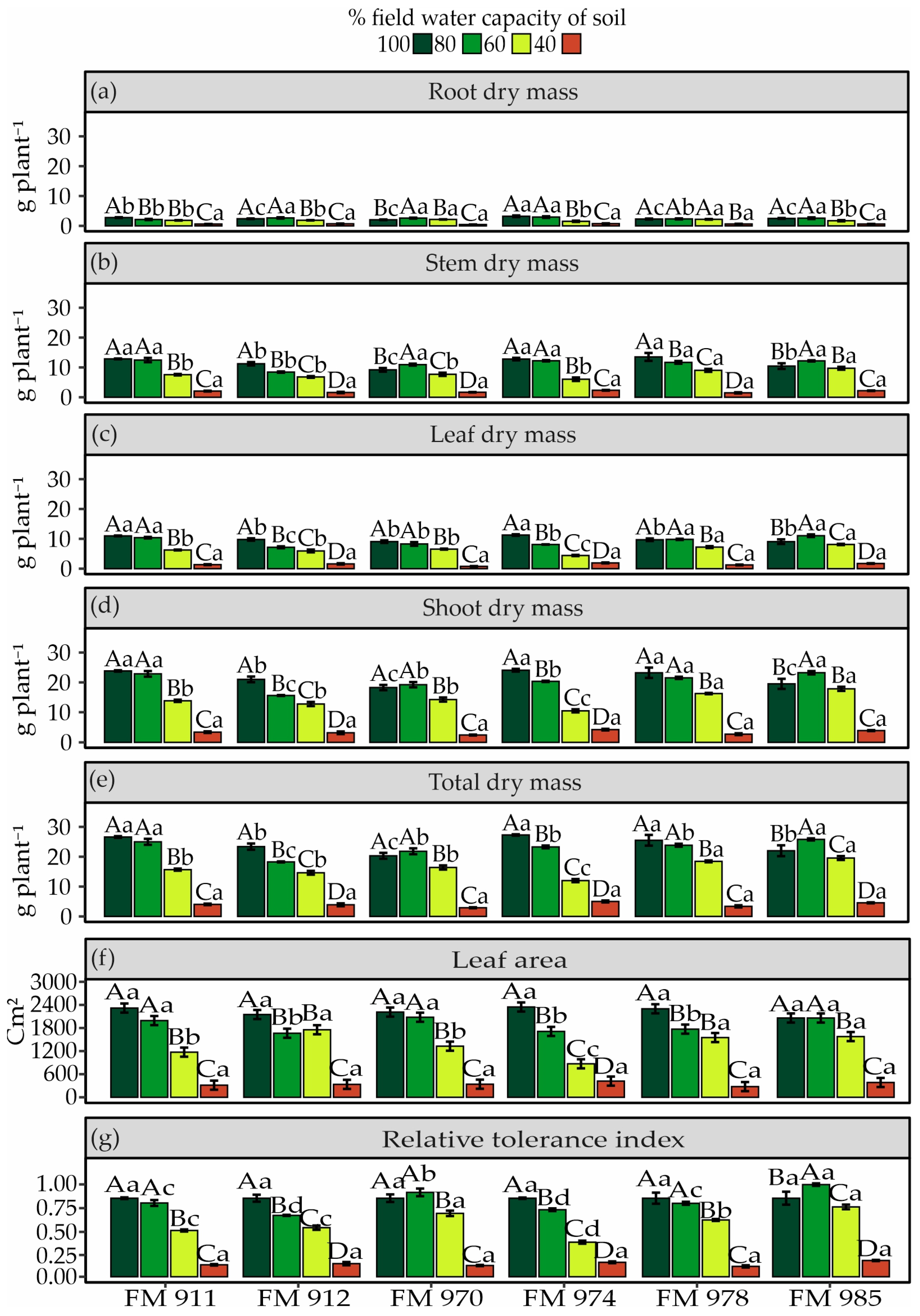
3.1. Biomass Accumulation, Leaf Area, and Relative Tolerance to Drought
3.2. Osmotic Potential, Leaf Succulence, and Lipid Peroxidation
3.3. Photosynthetic Efficiency
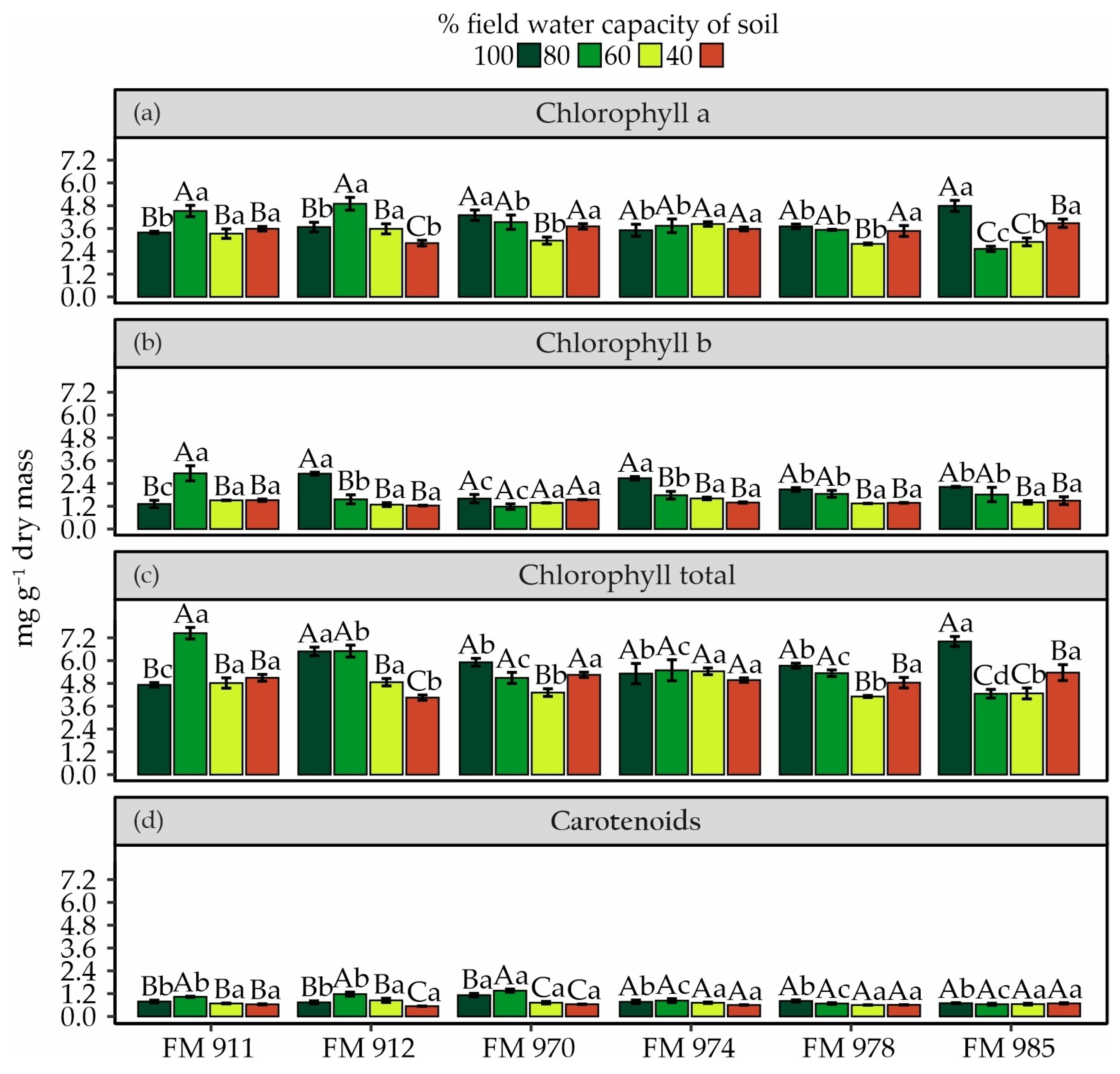
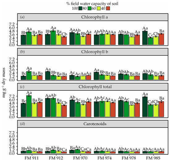
3.4. Photosynthetic Pigments
3.5. Principal Component Analysis
4. Discussion
4.1. Cotton Plants Exhibit a Tolerance Threshold to Water Deficit Depending on the Water Regime
4.2. Photosynthetic Machinery Efficiency Appears to Be a Determinant for Better Cotton Performance Under Water Deficit Conditions
4.3. The Reduction in Oxidative Damage in Cotton Appears to Be More Relevant for Stress Tolerance than Osmotic Adjustment
5. Conclusions
Supplementary Materials
Author Contributions
Funding
Data Availability Statement
Acknowledgments
Conflicts of Interest
Abbreviations
| ROS | Reactive oxygen species |
| FC | Field capacity |
| DAS | Days after sowing |
| LS | Leaf succulence |
| SFM | Fresh mass of the shoot |
| SDM | Dry mass of the shoot |
| LA | Leaf area |
| Chl a | Chlorophyll a |
| Chl b | Chlorophyll b |
| Chl total | Chlorophyll total |
| MDA | Malondialdehyde |
| ANOVA | Analysis of variance |
| PCA | Principal Component Analysis |
| PS | photosystem |
References
- Khan, M.A.; Wahid, A.; Ahmad, M.; Tahir, M.T.; Ahmed, M.; Ahmad, S.; Hasanuzzaman, M. World cotton production and consumption: An overview. In Cotton Production and Uses: Agronomy, Crop Protection, and Postharvest Technologies; Springer: Singapore, 2020; Volume 1, pp. 1–7. [Google Scholar] [CrossRef]
- Jans, Y.; von Bloh, W.; Schaphoff, S.; Müller, C. Global cotton production under climate change—Implications for yield and water consumption. Hydrol. Earth Syst. Sci. 2021, 25, 2027. [Google Scholar] [CrossRef]
- Tarazi, R.; Jimenez, J.L.S.; Vaslin, M.F. Biotechnological solutions for major cotton (Gossypium hirsutum) pathogens and pests. Biotechnol. Res. Innov. 2019, 3, 19–26. [Google Scholar] [CrossRef]
- Luo, X.; Were, P.; Hou, Z.; Gou, Y. Determination of shale osmotic pressure using spontaneous potential log. Environ. Earth Sci. 2017, 76, 19. [Google Scholar] [CrossRef]
- Khattak, W.A.; He, J.; Sun, J.; Ali, I.; Bilal, W.; Zahoor, Z.; Zhou, Z. Foliar melatonin ameliorates drought-induced alterations in enzyme activities of sugar and nitrogen metabolisms in cotton leaves. Physiol. Plant. 2023, 175, 14011. [Google Scholar] [CrossRef] [PubMed]
- Majeed, S.; Rana, I.A.; Mubarik, M.S.; Atif, R.M.; Yang, S.H.; Chung, G.; Azhar, M.T. Heat stress in cotton: A review on predicted and unpredicted growth-yield anomalies and mitigating breeding strategies. Agronomy 2021, 11, 1825. [Google Scholar] [CrossRef]
- Bozorov, T.A.; Usmanov, R.M.; Yang, H.; Hamdullaev, S.A.; Musayev, S.; Shavkiev, J.; Nabiev, S.; Zhang, D.; Abdullaev, A.A. Effect of water deficit on the relationship between metabolism, physiology, biomass and productivity of upland cotton (Gossypium hirsutum L.). J. Arid Land 2018, 10, 441–456. [Google Scholar] [CrossRef]
- Kumar, S.; Beena, A.S.; Awana, M.; Singh, A. Physiological, biochemical, epigenetic and molecular analyzes of wheat (Triticum aestivum) genotypes with contrast. Front. Plant Sci. 2017, 8, 1151. [Google Scholar] [CrossRef] [PubMed]
- Chen, T.; Zhang, B. Measurements of proline and malondialdehyde content and antioxidant enzyme activities in drought-stressed cotton leaves. Bio-Protocol 2016, 6, e1913. [Google Scholar] [CrossRef]
- Xie, H.; Li, M.; Chen, Y.; Zhou, Q.; Liu, W.; Liang, G.; Jia, Z. Important physiological changes due to drought stress on oat. Front. Ecol. Evol. 2021, 9, 644726. [Google Scholar] [CrossRef]
- Mihaljević, I.; Viljevac Vuletić, M.; Šimić, D.; Tomaš, V.; Horvat, D.; Josipović, M.; Vuković, D. Comparative study of drought stress effects on traditional and modern apple cultivars. Plants 2021, 10, 561. [Google Scholar] [CrossRef] [PubMed]
- Anjum, S.A.; Ashraf, U.; Tanveer, M.; Khan, I.; Hussain, S.; Shahzad, B.; Wang, L.C. Drought induced changes in growth, osmolyte accumulation and antioxidant metabolism of three maize hybrids. Front. Plant Sci. 2017, 8, 69. [Google Scholar] [CrossRef] [PubMed]
- Carvalho, L.C.; Amâncio, S. Cutting the gordian knot of abiotic stress in grapevine: From the test tube to climate change adaptation. Physiol. Plant. 2019, 165, 330–342. [Google Scholar] [CrossRef]
- He, M.; Ding, N.Z. Plant unsaturated fatty acids: Multiple roles in stress response. Front. Plant Sci. 2020, 11, 562785. [Google Scholar] [CrossRef] [PubMed]
- Mukarram, M.; Choudhary, S.; Kurjak, D.; Petek, A.; Khan, M. Drought: Sensing, signalling, effects and tolerance in higher plants. Physio. Plant. 2021, 172, 1291. [Google Scholar] [CrossRef] [PubMed]
- Iqbal, S.; Wang, X.; Mubeen, I.; Kamran, M.; Kanwal, I.; Díaz, G.; Abbas, A.; Parveen, A.; Atiq, M.; Alshaya, H.; et al. Phytohormones trigger drought tolerance in crop plants: Outlook and future perspectives. Front. Plant Sci. 2022, 12, 799318. [Google Scholar] [CrossRef]
- Miranda, R.S.; Fonseca, B.S.F.; Pinho, D.S.; Batista, J.Y.N.; Brito, R.R.; Silva, E.M.; Ferreira, W.S.; Costa, J.H.; Lopes, M.S.; Sousa, R.H.B.; et al. Selection of soybean and cowpea cultivars with superior performance under drought using growth and biochemical aspects. Plants 2023, 12, 3134. [Google Scholar] [CrossRef] [PubMed]
- Souza, D.M.G.; Lobato, E. Cerrado: Correção do Solo e Adubação, 2nd ed.; Embrapa Informação Tecnológica: Brasília, Brazil, 2014; 416p. [Google Scholar]
- Silva, A.C.; Brito, F.M.; Santos, A.S.; Brito, R.R.; Lacerda, J.J.; Alcântara Neto, F.; Costa, J.H.; Paula-Marinho, S.P.; Silva, R.R.; Miranda, R.S. Cowpea (Vigna unguiculata [L.] Walp.). Arch. Agron. Soil Sci. 2023, 69, 355. [Google Scholar] [CrossRef]
- Miranda, R.S.; Souza, F.I.L.; Alves, A.F.; Souza, R.R.; Mesquita, R.O.; Ribeiro, M.I.D.; Santana-Filho, J.A.; Gomes-Filho, E. Salt-acclimation physiological mechanisms at the vegetative stage of cowpea cultivars in soils from a semiarid region. J. Soil Sci. Plant Nut. 2021, 21, 3530–3543. [Google Scholar] [CrossRef]
- Mantovani, A. A method to improve leaf succulence quantification. Braz. Arch. Biol. Technol. 2011, 42. [Google Scholar] [CrossRef]
- Bao, A.K.; Wang, Y.W.; Xi, J.J.; Liu, C.; Zhang, J.L.; Wang, S.M. Co-expression of xerophyte Zygophyllum xanthoxylum ZxNHX and ZxVP1-1 enhances salt and drought tolerance in transgenic Lotus corniculatus by increasing cations accumulation. Funct. Plant Biol. 2014, 41, 203–214. [Google Scholar] [CrossRef]
- Wellburn, A.R. The spectral determination of chlorophylls a and b, as well as total carotenoids, using various solvents with spectrophotometers of different resolution. J. Plant Physiol. 1994, 144, 307–313. [Google Scholar] [CrossRef]
- Heath, R.L.; Packer, L. Photoperoxidation in isolated chloroplasts: I. Kinetics and stoichiometry of fatty acid peroxidation. Arch. Biochem. Biophys. 1968, 125, 189–198. [Google Scholar] [CrossRef] [PubMed]
- Begna, T. Impact of drought stress on crop production and its management options. Asian J. Plant Sci. Res. 2023, 13, 90. [Google Scholar] [CrossRef]
- Barros Junior, U.O.; Lima, M.D.; Alsahli, A.A.; Lobato, A.K. Unraveling the roles of brassinosteroids in alleviating drought stress in young Eucalyptus urophylla plants: Implications on redox homeostasis and photosynthetic apparatus. Physiol. Plant. 2021, 172, 748–761. [Google Scholar] [CrossRef] [PubMed]
- John, G.; Henry, C.; Sack, L. Leaf rehydration capacity: Associations with other indices of drought tolerance and environment. Plant Cell Environ. 2018, 41, 2638–2653. [Google Scholar] [CrossRef] [PubMed]
- Guo, B.; Arndt, S.K.; Miller, R.E.; Szota, C.; Farrell, C. How does leaf succulence relate with plant drought resistance in woody shrubs? Tree Physiol. 2023, 43, 1501. [Google Scholar] [CrossRef]
- Ahmad, A.; Ilyas, M.Z.; Aslam, Z.; Roman, M.; Ali, A.; Naeem, S.; Rehman, S. Physiological screening of cotton (Gossypium hirsutum L.) genotypes against drought tolerance. Pure Appl. Biol. 2020, 9, 140–147. [Google Scholar] [CrossRef]
- Zhao, W.; Liu, L.; Shen, Q.; Yang, J.; Han, X.; Tian, F.; Wu, J. Effects of water stress on photosynthesis, yield and water use efficiency in winter wheat. Water 2020, 12, 2127. [Google Scholar] [CrossRef]
- Liu, H.; Song, S.; Zhang, H.; Li, Y.; Niu, L.; Zhang, J.; Wang, W. Signaling transduction of ABA, ROS, and Ca2+ in plant stomatal closure in response to drought. Int. J. Mol. Sci. 2022, 23, 14824. [Google Scholar] [CrossRef] [PubMed]
- Abdulbaki, A.S.; Alsamadany, H.; Alzahrani, Y.; Olayinka, B.U. Rubisco and abiotic stresses in plants: Current assessment. Turk. J. Bot. 2022, 46, 541–552. [Google Scholar] [CrossRef]
- Baker, N.R. Chlorophyll fluorescence: A probe of photosynthesis in vivo. Annu. Rev. Plant Biol. 2008, 59, 89–113. [Google Scholar] [CrossRef] [PubMed]
- Shekoofa, A.; Safikhan, S.; Snider, J.L.; Raper, T.B.; Bourland, F.M. Variation in stomatal conductance responses of cotton cultivars to high vapour pressure deficit under controlled and rainfed environments. J. Agron. Crop Sci. 2021, 207, 332–343. [Google Scholar] [CrossRef]
- Lichtenthaler, H.K.; Babani, F. Contents of photosynthetic pigments and ratios of chlorophyll a/b and chlorophylls to carotenoids (a+b)/(x+c) in C4 plants as compared to C3 plants. Photosynthetica 2022, 60, 3–9. [Google Scholar] [CrossRef] [PubMed]
- Morales, M.; Munné-Bosch, S. Malondialdehyde: Facts and artifacts. Plant Physiol. 2019, 180, 1246–1250. [Google Scholar] [CrossRef]
- Khaleghi, A.; Naderi, R.; Brunetti, C.; Maserti, B.E.; Salami, S.A.; Babalar, M. Morphological, physicochemical and antioxidant responses of Maclura pomifera to water stress. Sci. Rep. 2019, 9, 19250. [Google Scholar] [CrossRef] [PubMed]
- Khodabin, G.; Tahmasebi-Sarvestani, Z.; Rad, A.H.S.; Modarres-Sanavy, S.A.M. Effect of water stress on some morphological and physiological characteristics of a resistant and sensitive canola cultivar. Chem. Biodivers. 2020, 17, e1900399. [Google Scholar] [CrossRef] [PubMed]
- Iqbal, A.; Dong, Q.; Wang, X.; Gui, H.; Zhang, H.; Zhang, X.; Song, M. High nitrogen enhances drought tolerance in cotton through antioxidant enzymatic activities, nitrogen metabolism and osmotic adjustment. Plants 2020, 9, 178. [Google Scholar] [CrossRef] [PubMed]
- Hura, T.; Hura, K.; Ostrowska, A. Drought-stress induced physiological and molecular changes in plants. Int. J. Mol. Sci. 2022, 23, 4698. [Google Scholar] [CrossRef] [PubMed]





Disclaimer/Publisher’s Note: The statements, opinions and data contained in all publications are solely those of the individual author(s) and contributor(s) and not of MDPI and/or the editor(s). MDPI and/or the editor(s) disclaim responsibility for any injury to people or property resulting from any ideas, methods, instructions or products referred to in the content. |
© 2025 by the authors. Licensee MDPI, Basel, Switzerland. This article is an open access article distributed under the terms and conditions of the Creative Commons Attribution (CC BY) license (https://creativecommons.org/licenses/by/4.0/).
Share and Cite
Sousa, R.O.d.; Jesus, J.F.d.; da Silva, M.N.; Paula-Marinho, S.d.O.; Alcântara Neto, F.d.; Carvalho, H.H.d.; Costa, J.H.; Silva, R.F.d.; Dauala, G.A.; Silveira, M.V.d.S.; et al. Photosynthetic Efficiency and Water Status as Determinants for the Performance of Semiarid-Adapted Cotton Cultivars Under Drought in Greenhouse. Agronomy 2025, 15, 500. https://doi.org/10.3390/agronomy15020500
Sousa ROd, Jesus JFd, da Silva MN, Paula-Marinho SdO, Alcântara Neto Fd, Carvalho HHd, Costa JH, Silva RFd, Dauala GA, Silveira MVdS, et al. Photosynthetic Efficiency and Water Status as Determinants for the Performance of Semiarid-Adapted Cotton Cultivars Under Drought in Greenhouse. Agronomy. 2025; 15(2):500. https://doi.org/10.3390/agronomy15020500
Chicago/Turabian StyleSousa, Renato Oliveira de, Jeane Ferreira de Jesus, Manderson Nunes da Silva, Stelamaris de Oliveira Paula-Marinho, Francisco de Alcântara Neto, Humberto Henrique de Carvalho, José Hélio Costa, Rodrigo Fonseca da Silva, Gonçalves Albino Dauala, Maria Valnice de Souza Silveira, and et al. 2025. "Photosynthetic Efficiency and Water Status as Determinants for the Performance of Semiarid-Adapted Cotton Cultivars Under Drought in Greenhouse" Agronomy 15, no. 2: 500. https://doi.org/10.3390/agronomy15020500
APA StyleSousa, R. O. d., Jesus, J. F. d., da Silva, M. N., Paula-Marinho, S. d. O., Alcântara Neto, F. d., Carvalho, H. H. d., Costa, J. H., Silva, R. F. d., Dauala, G. A., Silveira, M. V. d. S., Silva, T. B. d., & Miranda, R. d. S. (2025). Photosynthetic Efficiency and Water Status as Determinants for the Performance of Semiarid-Adapted Cotton Cultivars Under Drought in Greenhouse. Agronomy, 15(2), 500. https://doi.org/10.3390/agronomy15020500

