Abstract
The aim of this study was to investigate the effects of different N application rates on the yield, N accumulation, and grain quality of triticale and provide a theoretical basis for selecting the best N application rate for sowing triticale in the loess parent material area. This experiment was conducted at the experimental station of Shanxi Agricultural University in Jinzhong City, Shanxi Province, China, from 2021 to 2023 to study the effects and differences of different N application rates (N application rates 180, 210, 240, 270, and 300 kg ha−1) on the yield formation, N utilization, and quality of the two triticale varieties Donghei10 (DH10) and Taizi6336 (TZ6336). The results showed that, compared with other N application rates, N240 increased the number of spikes and grains per spike of triticale and increased the yield by 6–19%. The yield increased most significantly when the N application range was 210–240 kg ha−1; the yield change rate per 2 kg of N increase was the largest within this range, and the continued increase in yield with increasing N application was slow. N240 also improved the NUE, NUPE, nutritional quality, and processing quality of triticale. The results of the pathway analysis showed that the N application rate affected the spike number, grain number per spike, and 1000-grain weight of triticale. N accumulation at the anthesis and maturity stages affected GS and GOGAT activities in the flag leaf and grain, thus affecting the N efficiency, yield, and protein content. Overall, a N application at 240 kg ha−1 increased the yield, nitrogen efficiency, and quality of triticale, and there was no significant difference in yield between DH10 and TZ6336.
1. Introduction
Triticale (Triticosecale Wittm.) is bred by the hybridization of rye as the male parent and wheat as the female parent. It has both the disease and stress resistance of rye, and wheat’s high yield potential and quality. Because its seed coat color is purple, dark purple, or purple–blue, it has natural pigments and in vitro antioxidant substances. With the rapid progress of global breeding and cultivation techniques, the annual global yield of triticale has increased to 12.8 million tons [1], and China is one of the major producers outside of Europe [2]. Crop yield and benefit cannot be improved synchronously with increasing amounts of N fertilizer, and the excessive application of N fertilizer leads to a low N utilization rate, resulting in greenhouse gas emissions, soil acidification, and groundwater pollution. Therefore, the rational application of N fertilizer is an effective way to improve the crop yield and N use efficiency.
Reasonable N application has a significant positive effect on crop yields [3]. In one study, compared with no N application, 240 kg ha−1 of N application significantly increased the triticale yield by 179%, with it reaching 7800 kg ha−1 [4]. Compared with 180 kg ha−1 of N application, 240 kg ha−1 of N application significantly increased the grain number per spike of triticale in the Loess Plateau and increased the yield by 24.5%, with it reaching 7889.8 kg ha−1 [5]. When the N application rate was 0–300 kg ha−1 in the Huang Huai Hai region, the N accumulation of triticale increased with the increasing N application rate, and the yield showed a trend of increasing and then decreasing and reached a maximum of 7841 kg ha−1 with 240 kg ha−1 of N application [6]. In the North China Plain, a N application of 180 kg ha−1 was beneficial for increasing the N accumulation in plants at the maturity stage, promoting N transport from various organs to grains, increasing the yield to 7670 kg ha−1, and significantly improving the NUE, NUTE, and NPFP [7].
In addition, urea is commonly used as a N fertilizer in agricultural production; the crop can directly absorb a small amount of urea, and most of it is hydrolyzed by soil-rich urease into NH4+, which is then converted into NO3− by nitrification [8]. NO3− and NH4+ are assimilated into amino acids through the GS/GOGAT cycle, and amino acids are plants’ main form of the N compound [9]. Appropriate N application rates can increase the activity of GS in grain after anthesis [10]. Compared with other N application rates, a N application rate of 150 kg ha−1 increases triticale’s GS activity in grain after anthesis [11]. Elevated GS activity enhances N re-assimilation, thereby increasing the albumin, globulin, gliadin, and glutelin contents, improving the grain protein content and processing quality [10]. In one investigation, when the N application rate was 0–225 kg ha−1, plant glutenin, gliadin, and grain protein content increased with an increasing N application rate, and the N application rate of 225 kg ha−1 significantly increased the grain protein content by 4.9–37%, while the wet gluten content was positively correlated with the N application level [11].
The N application rate also has certain effects on the antioxidant substances in triticale grain. Studies have shown that triticale is rich in active materials such as total phenolics and total flavonoids, and anthocyanins are mainly present in bran, and their content directly affects the grains’ nutritional quality [12]. Compared with no nitrogen application, 150 kg ha−1 N of application significantly increases the total phenolic content of plants [13].
Different N application rates significantly affect crop N absorption, assimilation, and utilization and change its physiological parameters and processes, resulting in significant crop yield and quality differences. The systematic evaluation of the N application rate on the yield, quality, and N utilization of triticale is still insufficient compared with that of wheat. Therefore, in this study, a field plot experiment was conducted in the loess matrices area of China to explore the effects of N application rates on the yield, composition, N accumulation and utilization, and N metabolism enzyme activity of flag leaf and grain after anthesis, as well as grain antioxidant substances in flag leaf and grain at the maturity stage, and the content of protein and its components and processing quality in triticale, to provide a theoretical basis for the selection of suitable N application rates for triticale production in this area and provide a reference for the loess parent material area.
2. Materials and Methods
2.1. Site Description
This experiment was conducted at the experimental station of Shanxi Agricultural University in Jinzhong City, Shanxi Province, China (37°42′ N, 112°53′ E), from 2021 to 2023. The region belongs to the warm temperate continental monsoon climate, semi-arid region, with an altitude of 791 m, frost-free period of 159–167 d, average annual sunshine hours of 2500–2600 h, average yearly precipitation of about 458 mm, and average annual temperature of 10.4 °C. In 2021–2023, the rainfall in the growing season was 193.4 mm and 302.78 mm, respectively, and the average day temperature in the growing season was 7.86 °C and 7.84 °C, respectively (Figure 1). In 2021–2023, prior to conducting the experiment, the topsoil (0–20 cm) contained the essential nutrients seen in Table 1. In the topsoil, the content of organic matter was medium, the content of total N, Olsen P, and available K was high, and the soil was weakly alkaline.
Figure 1.
Temperature and rainfall of triticale sowing season in 2021–2023.
Table 1.
Soil nutrients before sowing in the experimental field in 2021–2022 and 2022–2023.
2.2. Field Experiments
The experiment was conducted in a split-plot design with three replications. The main area was of two triticale varieties, Donghei 10 (DH10) and Taizi 6336 (TZ6336). The sub-area was the amount of N application and the specific amount of N fertilizer application in Table 2. DH10, a winter variety, has strong cold resistance, drought tolerance, a strong tillering ability, a medium spike rate, and the growth period was about 270 days; TZ6336, a winter variety, has strong tiller ability, a compact pant type, good stem elasticity, and the growth period is about 251 days. The suitable sowing date of the two triticale varieties is from late September to early October, and both are suitable for sowing in the water field of the late-maturing winter wheat area in central Shanxi Province, China. In this experiment, the triticale was sown on 18 October 2021 and 28 September 2022, with wide uniform seeding and a sowing rate of 315 kg ha−1, and both were harvested on the 1st of July in the following year. Calcium super phosphate (150 kg ha−1 12%P2O5) and potassium chloride (90 kg ha−1 60%K2O) were applied as the base fertilizer, and urea (46%N) was applied as the base fertilizer (60%) and topdressing (40%), respectively. The topdressing was carried out at the jointing stage (Z31) [14] in triticale with the specific amount of topdressing (Table 2). The plot size was 2.2 × 7 m2, and the space between plots was 30 cm.
Table 2.
The specific N fertilizer application rates in 2021–2023.
2.3. Determination Parameters and Methods
2.3.1. Soil Properties
The high-temperature combustion method was used to determine the soil organic matter content, weighing 0.1 g of air-dried and sieved soil samples in a ceramic boat, using about 10% dilute hydrochloric acid to remove the inorganic carbon in the soil samples, and then drying and placing them into the HT1300 (Analytik Jena AG, Jena, Germany) at high-temperature combustion to determine the soil organic carbon, which was ×1.724 to obtain the soil organic matter content [15]. The soil samples were digested by sulphuric acid-hydrogen peroxide digestion, and the soil total N content was determined using continuous flow analysis. Determination of the soil’s Olsen P content was conducted using the 0.5 moL L−1 NaHCO3 method [16] and determination of available K by the NH4Oac digestion flame photometric method [16].
2.3.2. Yield and Yield Components
At the maturity stage (Z91) [14], a 1 m2 area of triticale with uniform growth was selected in each plot to count the effective spike number (≥5 grains/spike). Then, 20 spikes were taken next to the harvesting sample plot to count the grain number per spike, and all the rest of the triticale in the plot were harvested and threshed after natural drying to determine the water content, 1000-grain weight, and grain weight, and the grain yield was measured at 13% moisture content. The following equations were used to calculate the rate of change in yield at different N fertilizer gradients and the rate of change in yield per 2 kg increase in N fertilizer:
where RY is the yield change rate (%); RYT is the yield change rate per 2 kg increase in N (%); Y1 is the actual yield after the increase in N application (kg ha−1); Y2 is the actual yield before the increase in N application (kg ha−1); and Y3 is the actual yield after the increase in N fertilizer per 2 kg (kg ha−1).
2.3.3. N Content and N Utilization
Dried samples of triticale were pulverized with a powder sampler. Determination of the N content was conducted according to the principle of the H2SO4-H2O2-indophenolic blue colorimetric method. N utilization and other relevant parameters were calculated using the following equations [17,18]:
where NUPE is the N uptake efficiency (%); NUTE is the N utilization efficiency (kg kg−1); NUE is the N use efficiency (kg kg−1); NHI is the N harvest index (%); Y is the triticale grain yield (kg ha−1); FN is the N application rate (kg ha−1); SAN is the soil available N supply (kg ha−1); TN is the N accumulation of triticale above-ground at maturity in all treatments (kg ha−1); YN is the N accumulation of the triticale grain at matured stage (kg ha−1); NAO is the amount of N accumulated in various organs (kg ha−1); DMO is the amount of dry matter in various organs (kg ha−1); and NC is the N content of the plant (%).
2.3.4. N Metabolism Enzyme Activity After Anthesis
At 9:00 a.m. or 5:00 p.m. during the anthesis stage (Z61) [14], plants with uniform spike sizes that were flowering on the same day were marked in each plot. From 5 to 35 days after anthesis, 20 samples of spikes and flag leaves of the marked plants were taken every 5 days, quickly placed into liquid N, and stored in a refrigerator at −80 °C. N metabolizing enzyme activities were measured spectrophotometrically in the flag leaf and grain 5–35 days after anthesis, and the main measurements were GS and GOGAT [19].
2.3.5. Anthocyanin Content, Total Phenolic Content, and Total Flavonoid Content
Anthocyanin content [20]: The harvested triticale grains were ground and determined using the PH differential method. Accurately weigh 1 g of the sample, add 48 mL of 80% ethanol solution (Kemiou, Tianjin, China), shake well, ultrasonically extract for 2 h at 40 °C, then centrifuge the extract, and the supernatant is the sample extract. The 2 mL extraction solution was accurately taken, and 8 mL of KCl-HCl buffer (pH 1.0) and CH3COONa buffer (pH 4.5) were added, respectively. The absorbance values of the reaction solution at 530 nm and 700 nm wavelengths were measured, and the anthocyanin extraction amount was calculated.
Total phenolic content [21]: The harvested triticale grains were ground and determined according to the Folin–Ciocalteu colorimetric method.
Total flavonoid content [22]: The harvested triticale grains were ground and determined by the colorimetric method, as described previously.
2.3.6. Grain Protein and Its Components Content
The mature triticale grains were placed in an oven at 105 °C for 30 min and then dried to a constant weight at 75 °C. The N content was determined by the H2SO4-H2O2-indophenolic blue colorimetric method. The protein content was obtained by N content ×5.7, while the contents of albumin, globulin, gliadin, and glutenin in grain protein were determined by the continuous extraction method [23].
2.3.7. Processing Quality
Wet gluten content and gluten index: The harvested triticale grains were ground, and the wet gluten content and gluten index were determined according to GB/T 5506.1-2008 [24] and GB/T5506.1-2008/ISO 21415-3:2006 [25].
Powder Characteristics: The harvested triticale grains were ground, and referring to GB/T 14614-2019 [26], the powder characteristics were determined by the powder meter (Brabender Boulder, Duisburg, Germany).
Tensile property: The harvested triticale grains were ground and referred to GB/T 14615-2019 [27] to determine the tensile properties.
2.4. Statistical Analysis
The experiment was conducted using Excel 2010 for data processing, Origin 2024 for graphing, and SPSS 26.0 for pathway and statistical analyses. Multiple comparisons of each indicator under different treatments were performed using the LSD method with a significant probability level of 0.05.
3. Results
3.1. Effects of N Application Rate on Yield and N Efficiency in Triticale
3.1.1. Yield Composition
Increasing the N fertilizer within a certain range helps to optimize the yield composition in triticale. With the increase in the N application rate, the yield of DH10 and TZ6336 reached the highest at N240 (Table 3; Figure 2). The N application range was 180–240 kg ha−1, and compared with other N treatments, N240 significantly increased the spike number and grain number per spike of DH10 and TZ6336 and increased the yield by 6.2–16.6% and 8–19.1%, reaching 6324.13 kg ha−1, 6773.52 kg ha−1 in 2021–2022, and 6183.77 kg ha−1, 6651.49 kg ha−1 in 2022–2023. With the application of N210–240 kg ha−1, the yield of DH10 and TZ6336 increased the most; the yield growth rate per 2 kg increase in N fertilizer was 0.41% and 0.53%, promoting an increase in the yield change rate. With a continued increase in the application of N fertilizer (270–300 kg ha−1), the yield of triticale decreases (Table 4). The yield increase in DH10 and TZ6336 was mainly due to the highest yield change rate of N210-N240, which promotes the synergistic growth of the spike number and grain number per spike to achieve yield increases. The grain number per spike, 1000-grain weight, and yield of TZ6336 were higher than DH10.
Table 3.
Effects of N application rate on yield and yield components in triticale.
Figure 2.
The change trend of the yield with the increase in nitrogen application rate. The error bar indicates standard error based on 2 data.
Table 4.
Yield changes in triticale under different triticale varieties and N fertilizer gradients.
The N240 was beneficial to DH10 and TZ6336 for increasing the spike number and grain number per spike, realizing the yield improvement, and TZ6336 has a higher yield.
3.1.2. N Use Efficiency
Compared with other N treatments, N240 improves the NUE by 6.2–16.6% and 7.9–19.1%, and NUPE by 15.6–43.9% and 13.5–72.2% in DH10 and TZ6336. NUE and NUPE gradually decreased with N240 kg ha−1 (Table 5; Figure 3). N240 promotes the absorption and utilization of N by DH10 and TZ6336, reduces volatilization and loss, ensures the plant’s normal growth metabolism, and improves N use efficiency. The NUE, NUTE, and NHI of TZ6336 were higher than DH10.
Table 5.
Effects of N application rate on N utilization in triticale.
Figure 3.
The change trend of NUE and NUPE with the increase in nitrogen application rate. The error bar indicates standard error based on 2 data.
It can be seen that N240 is beneficial for improving the NUE and NUPE of DH10 and TZ6336, and TZ6336 has better N utilization capacity.
3.2. N Accumulation and Post-Anthesis N Metabolism in Triticale
3.2.1. Triticale N Accumulation in Various Organs
The N accumulation of various organs in triticale at the anthesis and maturity stages increased with an increasing N application at a certain range of N application (Figure 4 and Figure 5). The N application range was 180–240 kg ha−1, and compared with other N treatments, N240 significantly increased the N accumulation in various organs of DH10 and TZ6336 at the anthesis and maturity stages. An N application of more than 240 kg ha−1 had no significant effects on N accumulation in various organs at the anthesis and maturity stages. N240 ensured a balance between vegetative growth and reproductive growth of the two triticale varieties, enhanced the transport and distribution of nutrients in the plants, ensured the effective transport of N from leaf to grain, prolonged the life of the organs at the maturity stage, and promoted the accumulation of N in various organs. The N accumulation of stems at the anthesis stage and organs at the maturity stage of DH10 was higher than TZ6336.
Figure 4.
Effects of N application rate on N accumulation in different organs of triticale at anthesis and maturity stages in 2021–2022. The different lowercase letters indicate significant differences (p < 0.05) between treatments. The error bar indicates standard error based on 2 data.
Figure 5.
Effects of N application rate on N accumulation in different organs of triticale at anthesis and maturity stages in 2022–2023. The different lowercase letters indicate significant differences (p < 0.05) between treatments. The error bar indicates standard error based on 2 data.
N240 was beneficial for increasing the N accumulation of various organs of DH10 and TZ6336 at the anthesis and maturity stages and promoting the N accumulation of grains, and the N accumulation of various organs of DH10 at the maturity stage is higher.
3.2.2. N Metabolizing Enzyme Activities in Flag Leaf and Grain After Anthesis
With the advancement of days after anthesis, GS activity in the flag leaf of DH10 and TZ6336 showed a trend of increasing and then decreasing, with the highest activity at 15 days after anthesis and a decreasing trend in flag leaf GOGAT, grain GOGAT, and GS activities (Figure 6 and Figure 7). Compared with other N treatments, N240 increased GS and GOGAT activities in the flag leaf and grain of DH10 and TZ6336 every 5 days after anthesis, and a N application above 240 kg ha−1 was not beneficial for increasing the GS and GOGAT activities in triticale. N240 promotes N redistribution in the senescent organs of DH10 and TZ6336, induces GS and GOGAT expression, and increases GS and GOGAT synthesis, thereby improving GS and GOGAT activities in flag leaf and grain. GS and GOGAT activities in the flag leaf and grain after anthesis in DH10 were higher than TZ6336.
Figure 6.
Effect of N application rate on GS activity in flag leaf and grain of triticale in 2021–2023. The error bar indicates standard error based on 2 data.
Figure 7.
Effect of N application rate on GOGAT activity in flag leaf and grain of triticale in 2021–2023. The error bar indicates standard error based on 2 data.
N240 was conducive to increasing GS and GOGAT activities in the flag leaf and grain of DH10 and TZ6336, promoting post-anthesis N metabolism and laying the foundation for quality enhancement, and the GS and GOGAT activities in the flag leaf and grain of DH10 are higher.
3.3. Effect of N Application on the Quality in Triticale
3.3.1. Antioxidant Substances in Grain at Maturity Stage
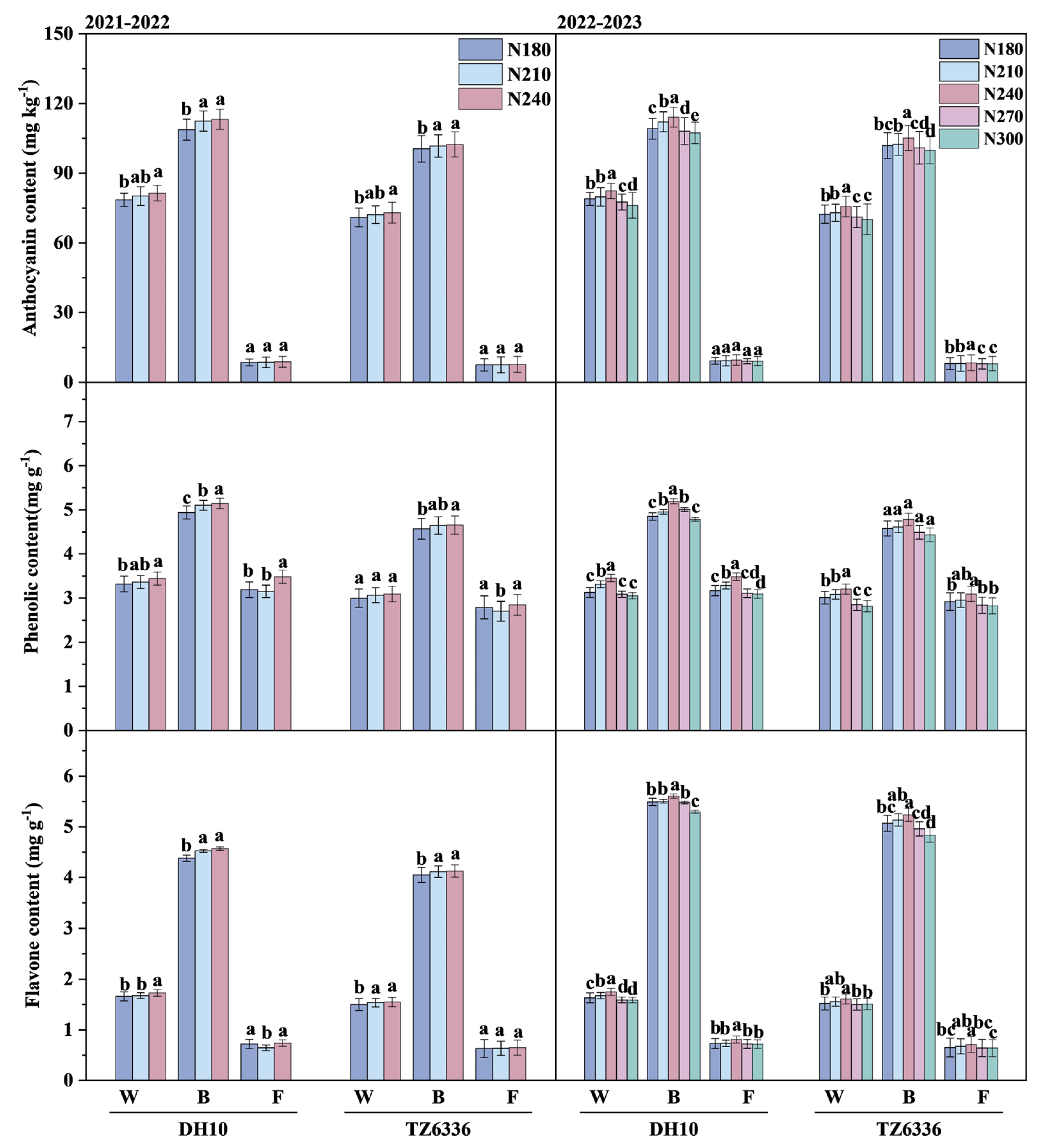
At a certain range of N application, triticale grain antioxidants at the maturity stage increased with an increasing N application (Figure 8). The N application range was 180–300 kg ha−1, the contents of anthocyanins, total phenolic, and total flavonoid in whole wheat flour, bran, and flour of the two triticale were the highest at N240, and the N application rate exceeded 240 kg ha−1, with no significant effect on improving the content of antioxidant substances in grain. N240 promotes the secondary metabolism of DH10 and TZ6336, thereby increasing the content of secondary metabolites anthocyanins, total phenolics, and total flavonoids. The content of anthocyanins, total phenolics, and total flavonoids of DH10 was higher than TZ6336, and the anthocyanins, total phenolics, and total flavonoids were mainly stored in the bran.
Figure 8.
Effect of N application rate on antioxidant substances of triticale at maturity stage in 2021–2023. The different lowercase letters indicate significant differences (p < 0.05) between treatments. The error bar indicates standard error based on 2 data. F: flour; B: bran; W: whole wheat flour.
N240 favors the accumulation of anthocyanins, total phenolics, and total flavonoids in whole wheat flour, bran, and flour of DH10 and TZ6336 and improves the antioxidant capacity and promotes the nutritional value, and the content of antioxidant substances in the grain was higher in the maturity stage of DH10.
3.3.2. Protein Content and Composition
The increase in the N application rate and the grain protein content of triticale showed an upward trend (Table 6; Figure 9). Compared with other N treatments, N240 increased the albumin content, globulin content, gliadin content, and glutenin content of DH10 and TZ6336, and the grain protein content was highest at N300 and was not significantly different from 240 kg ha−1. The N application rate of more than 240 kg ha−1 had no significant effect on the grain protein content of two triticale varieties. N240 improves the overall nutritional status of DH10 and TZ6336, promotes plants to carry out post-anthesis N metabolism, and induces grain protein synthesis. Compared with TZ6336, DH10 increased the albumin, globulin, gliadin, and glutenin contents and significantly increased the grain protein content by 6.8% and 4.8%.
Table 6.
Effect of N application rate on protein and components content in triticale.
Figure 9.
The change trend of grain protein content with the increase in nitrogen application rate. The error bar indicates standard error based on 2 data.
3.3.3. Grain Processing Quality
N fertilizer application effectively improved triticale’s processing quality (Table 7). Compared with other N treatments, N240 increased the water absorption rate, dough development time, stability time, extensibility, maximum tensile resistance, wet gluten content, and dough index of DH10 and TZ6336 whole wheat flour. A N application above 240 kg ha−1 did not significantly improve the processing quality of the two triticale varieties. N240 increased the protein contents of DH10 and TZ6336, enhanced the extensibility of whole wheat flour, promoted an increased gluten index, and optimized the processing quality. The water absorption, dough development time, stability time, and gluten index of TZ6336 whole wheat flour were higher than DH10.
Table 7.
Effects of N application rate on processing quality in triticale whole wheat flour.
DH10 and TZ6336 are more favorable to improving the processing quality of whole wheat flour at N240, and TZ6336 has a better processing quality.
3.4. Pathway Analysis
Pathway analysis was performed based on the relationship between the N application rate and grain protein content, and N efficiency and yield components (Figure 10). The N application rate affects the spike number, grain number per spike, and 1000-grain weight. The N accumulation in the leaf, spike at the anthesis stage, glume + spike, stem, and grain at the maturity stage had an extremely significant positive effect on the grain number per spike (p < 0.001). The spike number had an extremely significant positive effect on N accumulation in the stem, leaf at the anthesis stage, and various organs at the maturity stage and had a significant positive effect on the yield (p < 0.01). The N accumulation in the spike at the anthesis stage and leaf at the maturity stage had an extremely significant positive effect on the 1000-grain weight, and the N accumulation of grain at the maturity stage had a significant positive effect on the 1000-grain weight, and the glume + spike at the maturity stage had a significant negative effect on the 1000-grain weight. Grain N accumulation at the maturity stage had a significant positive effect on GS activity in grain. The N accumulation in the stem at the anthesis stage and various organs at the maturity stage had an extremely significant positive effect on GS activity in the flag leaf, and the N accumulation in the leaf and spike at the anthesis stage had a significant positive effect on GS activity in the flag leaf. The N accumulation in the spike at the anthesis stage and leaf, glume + spike, and stem at the maturity stage had a significant positive effect on GOGAT activity in grain; the N accumulation in grain at the maturity stage had an extremely significant positive effect on the GOGAT activity in grain. The N accumulation in the stem, leaf at the anthesis stage, and leaf at the maturity stage had an extremely significant positive effect on GOGAT activity in the flag leaf. The activities of GS and GOGAT in grain had extremely significant positive effects on the grain protein content and NUPE. The activities of GS and GOGAT in the flag leaf and GOGAT in grain had extremely significant positive effects on the NUE, and the activity of GS in grain had significant positive effects on the NUE. The activity of GS and GOGAT in the flag leaf and the activity of GOGAT in grain had an extremely significant positive effect on the yield, and the activity of GS in grain had a significant positive effect on the yield.
Figure 10.
Pathway analysis of N application rate on yield, quality, and N efficiency in triticale. GSG: GS activity in grain; GSL: GS activity in leaf; GOGATG: GOGAT activity in grain; GOGATL: GOGAT activity in leaf; NAS stem: N accumulation in the stem at anthesis stage; NAS spike: N accumulation in spike at anthesis stage; NAS leaf: N accumulation in leaf at anthesis stage; NMS spike + glume: N accumulation in spike + glume at maturity stage; NMS stem: N accumulation in the stem at maturity stage; NMS leaf: N accumulation in leaf at maturity stage; NMS grain: N accumulation in grain at maturity stage; GPC: grain protein contents. The blue and red arrows of different solid lines and dotted lines indicate positive and negative effects; the number above the arrow represents the normalized path coefficient: **: p < 0.01, *: p < 0.05.
The N application rate affects the spike number, grain number per spike, and 1000-grain weight in triticale. The spike number and grain number per spike are positively correlated with the N accumulation in various organs at the anthesis and maturity stages. The N accumulation in various organs at the anthesis and maturity stages affects the grain protein content, NUPE, NUE, and yield by affecting the GS and GOGAT activities in flag leaf and grain.
4. Discussion
4.1. Triticale Grain Yield
As a new and healthy grain crop in China, triticale is cultivated and sowed for its high nutritional value. It is of great significance for production to harmonize its yield components to achieve yield improvement. N is the main driving force and important factor in crop production, and a rational application of N fertilizer can optimize wheat’s population structure and significantly increase wheat grain yields [28]. Wheat is very sensitive with its response to N, and an appropriate increase in N application can promote plant growth and development, which is conducive to regulating the occurrence and extinction of tillers in wheat populations [29].
The results showed that compared with the 115 kg ha−1 N application rate, the 217 kg ha−1 N application rate could significantly increase the spike number of triticale to achieve a yield increase and obtain a higher harvest index [30]. When the N application rate was 180–300 kg ha−1, the N application rate of 240 kg ha−1 was more conducive to the rational construction of the wheat population structure, which could increase the population by 2–23 104 hm−2 and achieve yield increases [7]. The grain yield of wheat is highly correlated with the grain number per spike. Increasing the application of N fertilizer within a certain range can help to increase the spike number per unit area and grain number per spike to increase the yield [31,32].
The results of this experiment showed that within a certain range of N application, an increase in N application could effectively improve the spike number and grain number per spike of two triticale varieties to achieve yield increases, which was due to the effect of the nitrogen application on the number of spikes and grains per spike of triticale. The N240 caused DH10 and TZ6336 yield to reach the maximum, and a N application of 210–240 kg ha−1 per 2 kg of N fertilizer yield growth rate was the largest. With a continued increase in the amount of N fertilizer, the yield of the two triticale varieties gradually declined. The yields of DH10 and TZ6336 in the growing season of 2021–2022 increased by 5% and 4%, respectively, compared with that of the growing season of 2022–2023, which was due to the heavy rainfall in autumn in Jinzhong, Shanxi Province, in 2021, which provided better moisture for the growth of triticale in the following year, while the heavy snowfall in the spring of 2023 led, in part, to the triticale internode fracture phenomenon, which reduced the yield of the second growing season.
4.2. N Accumulation and Utilization in Triticale
Crop accumulation of N is necessary for establishing high yields and quality and improving N efficiency [33]. Obtaining high yields of grains is the ultimate goal in agricultural production, and the redistribution of N accumulation in pre-anthesis nutrient organs accounts for about 90% of the total N accumulation in the grains, which is the main source of N content in the grains at the maturity stage [34]. This study showed that the two triticale varieties had the highest N accumulation in spikes and stems at the anthesis stage and provided more N to the grain at the maturity stage in N translocation after anthesis; the grain N content of N180 was the lowest at maturity stage, which was due to the accelerated senescence process of plants under a low N application rate, resulting in a rapid decline in N transport and absorption capacity (Figure 4 and Figure 5). The leaf is the main organ for N storage [35] (Figure 4 and Figure 5); wheat flag leaf N accumulates about 18% of the grain, which makes it one of the most important sources of N for the grain [36]. The present study also showed that the triticale leaf and stem acted as source reservoirs and that the leaf and stem continuously transported N sources to the grains, leading to a continuous decrease in N content in both while promoting N accumulation in the grains at the maturity stage.
N application can promote plant growth and increase the accumulation of substances in various organs, thus improving plant N accumulation [37]. The results of this study showed that compared with other N application treatments, N240 could promote the accumulation of N in stems, leaves, and spikes at the anthesis and maturity stages, advance the allocation and operation of N from various organs to the grain, and increase the amount of N accumulation in the grain.
N use efficiency (NUE) is influenced by a plant’s uptake of N from the soil (NUPE) and plant use of the uptaken N for grain production (NUTE) [17]. At a certain level of N application, increasing the NUE reduces N losses.
Under the conditions of this experiment, compared with other N treatments, N240 could increase the NUE by 6.2–16.6% and 7.9–19.1%, and NUPE by 15.6–43.9% and 13.5–72.2% of DH10 and TZ6336. Excessive N application will cause N loss and environmental pollution, resulting in a decrease in the N use efficiency of wheat, which is consistent with previous studies [38]. When the N application rate was low, the plants lacked N after anthesis, and the N accumulation was low, so the N re-transfer was relatively early, the NUE and NUPE were higher, and the NUTE was reduced [33]; this study is inconsistent with the results of previous studies. This study showed that N180 reduced NUPE and NUE and increased NUTE and NHI when the N application range was 180–240 kg ha−1. This may be due to the fact that although the N application rate of 240 kg ha−1 promoted the transport of N from various organs to grains, it also led to a large amount of N residues in vegetative organs at the maturity stage, resulting in a decrease in NUTE and NHI.
4.3. Nutritional and Processing Qualities in Triticale
Grain antioxidant substances are one of the important indicators used to measure the nutritional quality in triticale. Previous studies have shown that the content of grain antioxidants in triticale bran was higher than that in whole wheat flour and flour, in which the content of anthocyanin in bran was significantly higher than that in whole wheat flour [39]. The results of this study are consistent with the results of previous studies. Application of N fertilizer could increase the total phenolic content of wheat grain, and the anthocyanin content of wheat whole wheat flour was the highest when the N application rate was 210 kg ha−1 [40]. A N application at 240 kg ha−1 significantly increased the total phenolic and total flavonoid contents of the grains and differed significantly from other N application treatments [41]. The results of this study showed that when the nitrogen application range was 180–300 kg ha−1, the contents of anthocyanins, total phenolics, and total flavonoids in whole wheat flour, bran, and flour of the two triticales were the highest at N240, and the nitrogen application rate exceeded 240 kg ha−1, which showed no significant effect on the content of antioxidants in grains.
The grain protein content and its components are the main factors that determine the quality of triticale. There are significant differences in the grain protein content between wheat varieties because they are regulated by their genes and less by exogenous N supply [42], and the results of this study are consistent with previous studies. The N levels also had a significant effect on the grain protein content [43,44,45]. Within a certain range, the grain protein content increased significantly with the increase in N application rate [37]. The grain protein content of DH10 and TZ6336 increased with an increase in the N application rate in the range of 180–300 kg ha−1 and reached the maximum when the N application rate was 300 kg ha−1, but there was no significant difference with the N application rate of 240 kg ha−1. This is due to the N accumulation of each organ in the anthesis and maturity stages of triticale being the highest with the N240, which promoted an increase in GS and GOGAT activities in flag leaf and grain after anthesis, induced protein synthesis and then increased the grain protein content, and reduced the difference in grain protein content between 300 kg ha−1 and 240 kg ha−1(Table 6; Figure 9). Gliadin and glutelin have different biological and physical properties; gliadin determines the viscosity of dough, while glutelin determines the elasticity and strength of dough [46]. As storage proteins, gliadin and glutelin can form a continuous network around starch granules, thus forming the main body of gluten [16], which is an important factor in wheat grain processing quality. N provides long-lasting nitrate N and ammonium N for wheat, and high molecular weight glutenin subunits and gliadin composed of glutamic acid and proline are strong reservoirs of wheat that absorb N [32]. Wieser [47] showed that increasing the level of N application can improve wheat processing quality by increasing the total protein content by 44–68% and gliadin and glutelin by twofold and onefold, respectively. The results of this study show that the N application range of 180–300 kg ha−1 N240 increased the content of protein components in triticale grains compared to other N applications, and the grain protein content was not significantly different from the N application of 300 kg ha−1. This was attributed to the fact that N240 increased the activity of post-anthesis GS and GOGAT enzymes in the flag leaf and grain and promoted the accumulation of gliadins and glutenins, which in turn increased the grain protein content and optimized the processing quality (Figure 6 and Figure 7, Table 6 and Table 7).
5. Conclusions
Under the conditions of this experiment, N240 improved yields, N efficiency, and the quality of triticale. The N application of 240 kg ha−1 in DH10 and TZ6336 could increase the N accumulation in various organs at the anthesis and maturity stages, increase the rate of change in yield per a 2 kg increase in N fertilizer, promote the formation of spike numbers and grain numbers per spike, improve the NUE and NUPE, increase the content of antioxidant substances, grain protein and its components, and optimize the processing quality of whole wheat flour, so as to achieve a synergistic improvement in the yield, N efficiency, and quality. Increasing or decreasing the N application rate had no significant effect on improving the yield, N utilization, or quality of triticale. On the basis of this experiment, it is advisable to split the nitrogen application in order to find the best nitrogen application period and proportion of triticale to be carried out.
Author Contributions
Conceptualization, D.M. and M.S.; literature search, Z.Z. and X.Z.; software, Z.Z. and X.Z.; data curation, Z.Z. and X.Z.; data analysis, D.M., Z.Z. and X.Z.; investigation, Z.Z. and X.Z.; formal analysis, D.M., Z.Z. and X.Z.; validation, Z.Z. and X.Z.; visualization, D.M., Z.Z. and X.Z.; writing—original draft preparation, D.M.; project administration, A.R.; Writing—review and editing, A.R., M.S. and Z.G.; supervision, M.S.; funding acquisition, Y.R. and M.S.; resources, Y.R. All authors have read and agreed to the published version of the manuscript.
Funding
This work was supported by the China Agriculture Research System (No. CARS-03-01-24), the 2023 Annual Science and Technology Innovation Projects of Shanxi National Agricultural High-Tech Zone (Taigu National Science and Technology Innovation Center), the Key Program of Linfen Key R&D Plan (2339), the Key Laboratory of Crop Ecology and Water Efficient Utilization in Shanxi Province (201705D111007), and the Technology Innovation Team of Shanxi Province (No. 201605D131041).
Data Availability Statement
The data that support the findings of this study are available from the corresponding author.
Acknowledgments
The authors thank Junyi Mu, Wenbo Zhai, and Ruiwen Huo for their guidance in revising this manuscript.
Conflicts of Interest
The authors declare no conflicts of interest.
References
- Food and Agriculture Organization of the United Nations (FAO). Statistical Databases. 2018. Available online: https://faostat.fao.org/ (accessed on 5 October 2024).
- Statistics Division of Food and Agriculture Organization of the United Nations (FAOSTAT). Available online: https://faostat3.fao.org/browse/Q/QC/E (accessed on 5 October 2024).
- Wang, L.F.; Sun, J.T.; Zhang, Z.B.; Xu, P.; Shang, G.; Zhou, P. Winter wheat grain yield in response to different production practices and soil fertility in northern China. Soil Tillage Res. 2018, 176, 10–17. [Google Scholar] [CrossRef]
- Kong, W.; Huo, R.; Lu, Y.; Fan, Z.; Yue, R.; Ren, A.; Li, L.; Ding, P.; Ren, Y.; Gao, Z.; et al. N Application Can Optimize Form of Selenium in Soil in Selenium-Rich Areas to Affect Selenium Absorption and Accumulation in Black Wheat. Plants 2023, 12, 4160. [Google Scholar] [CrossRef] [PubMed]
- Fan, Z.J.; Mi, D.M.; Huo, R.W.; Kong, W.L.; Noor, H.; Ren, A.X.; Ding, P.C.; Li, L.H.; Ren, Y.K.; Sun, M.; et al. Effects of N Application Amount on Soil Selenium Speciations, Physiological Characteristics and Yield of Triticales in Selenium-Enriched Area. Russ. J. Plant Physiol. 2023, 70, 207. [Google Scholar] [CrossRef]
- Duan, J.; Shao, Y.; He, L.; Li, X.; Hou, G.; Li, S.; Feng, W.; Zhu, Y.; Wang, Y.; Xie, Y. Optimizing N management to achieve high yield, high N efficiency and low N emission in winter wheat. Sci. Total Environ. 2019, 697, 134088. [Google Scholar] [CrossRef]
- Zheng, X.J.; Yu, Z.W.; Zhang, Y.L.; Shi, Y. Nitrogen supply modulates nitrogen remobilization and nitrogen use of wheat under supplemental irrigation in the North China Plain. Sci. Rep. 2020, 10, 3305. [Google Scholar] [CrossRef]
- Tegeder, M.; Masclaux-Daubresse, C. Source and sink mechanisms of N transport and use. New Phytol. 2018, 217, 35–53. [Google Scholar] [CrossRef]
- Oaks, A. Primary N assimilation in higher plants and its regulation. Can. J. Bot. 1994, 72, 739–750. [Google Scholar] [CrossRef]
- Zhang, M.W. Responses of glutamine synthetase activity and gene expression to N levels in winter wheat cultivars with different grain protein content. J. Cereal Sci. 2017, 74, 187–193. [Google Scholar] [CrossRef]
- Zheng, T.; Qi, P.F.; Cao, Y.L. Mechanisms of wheat grain storage proteins in response to N application and its impacts on processing quality. Sci. Rep. 2018, 8, 11928. [Google Scholar] [CrossRef]
- Liu, Q.; Qiu, Y.; Beta, T. Comparison of antioxidant activities of different colored wheat grains and analysis of phenolicic compounds. J. Agric. Food Chem. 2010, 58, 9235. [Google Scholar] [CrossRef]
- Engert, N.; John, A.; Henning, W.; Honermeier, B. Effect of sprouting on the concentration of phenolicic acids and antioxidative capacity in wheat cultivars (Triticum aestivum ssp. aestivum L.) in dependency of nitrogen fertilization. J. Appl. Bot. Food Qual. 2011, 84, 111–118. [Google Scholar]
- Zadoks, J.C.; Chang, T.T.; Konzak, C.F. A decimal code for the growth stages of cereals. Weed Res. 1974, 14, 415–421. [Google Scholar] [CrossRef]
- Kazem, N.; Collins, A.L. A soil quality index for evaluation of degradation under land use and soil erosion categories in a small mountainous catchment, Iran. J. Mt. Sci. 2019, 16, 2577–2590. [Google Scholar]
- Belton, P.S. Mini review: On the elasticity of wheat gluten. J. Cereal Sci. 1999, 29, 103–107. [Google Scholar] [CrossRef]
- Moll, R.H.; Kamprath, E.J.; Jackson, W.A. Analysis and interpretation of factors which contribute to efficiency of nitrogen utilization. Agron. J. 1982, 74, 562–564. [Google Scholar] [CrossRef]
- Delogu, G.; Cattivelli, L.; Pecchioni, N.; De Falcis, D.; Maggiore, T.; Stanca, A.M. Uptake and agronomic efficiency of nitrogen in winter barley and winter wheat. Eur. J. Agron. 1998, 9, 11–20. [Google Scholar] [CrossRef]
- Lin, C.C.; Kao, C.H. Distributed ammonium assimilation is associated with growth inhibition of roots in rice seedlings caused by NaCl. J. Plant Growth Regul. 1996, 18, 233–238. [Google Scholar] [CrossRef]
- Geng, R.; Liu, G.Q.; Wang, H.Z.; Wei, Z.M.; Li, M.Y.; Song, Y.; Geng, Y.Y.; Li, H.M. Determination of Anthocyanins in Whole Black Wheat Flour by pH Differential Method and Its Antioxidant Activity In Vitro. Sci. Technol. Food Ind. 2020, 41, 6–11. [Google Scholar]
- Ainsworth, E.; Gillespie, K. Estimation of total phenolic content and other oxidation substrates in plant tissues using Folin–Ciocalteu reagent. Nat Protoc. 2007, 2, 875–877. [Google Scholar] [CrossRef]
- Gorinstein, S.; Vargas, O.J.; Jaramillo, N.O.; Salas, I.A.; Ayala, A.L.; Arancibia-Avila, P.; Toledo, F.; Katrich, E.; Trakhtenberg, S. The total polyphenols and the antioxidant potentials of some selected cereals and pseudocereals. Eur. Food Res. Technol. 2007, 225, 321–328. [Google Scholar] [CrossRef]
- Zhang, X.X.; Shi, Z.Q.; Jiang, D.; Högy, P.; Fangmeier, A. Independent and combined effects of elevated CO2 and post-anthesis heat stress on protein quantity and quality in spring wheat grains. Food Chem. 2019, 277, 524–530. [Google Scholar] [CrossRef] [PubMed]
- GB/T 5506.1-2008; Wheat and Wheat Flour Gluten Content Part 1: Determination of Wet Gluten by Hand Washing. The Standardization Administration of China: Beijing, China, 2008.
- GB/T 5506.1-2008/ISO 21415-3:2006; Wheat and Wheat Flour Gluten Content Part 3: Determination of Dry Noodles by Oven Drying Method Tendons. The Standardization Administration of China: Beijing, China, 2006.
- GB/T 14614-2019; Grain and Oil Test Wheat Flour Dough Rheological Properties Test Farinograph Method. The Standardization Administration of China: Beijing, China, 2019.
- GB/T 14615-2019; Grain and Oil Test Wheat Flour Dough Rheological Properties Test Extensometer Method. The Standardization Administration of China: Beijing, China, 2019.
- Koutroubas, S.D.; Fotiadis, S.; Damalas, C.A. Biomass and N accumulation and translocation in spelt (Triticum spelta) grown in a Mediterranean area. Field Crops Res. 2012, 127, 1–8. [Google Scholar] [CrossRef]
- Zhang, L.; He, X.; Liang, Z.; Zhang, W.; Zou, C.; Chen, X. Tiller development affected by N fertilization in a high-yielding wheat production system. Crop Sci. 2020, 60, 1034–1047. [Google Scholar] [CrossRef]
- Estrada-Campuzano, G.; Slafer, G.A.; Miralles, D.J. Differences in yield, biomass and their components between triticale and wheat grown under contrasting water and N environments. Field Crops Res. 2012, 128, 167–179. [Google Scholar] [CrossRef]
- Si, Z.; Zain, M.; Mehmood, F. Effects of N application rate and irrigation regime on growth, yield, and water-N use efficiency of drip-irrigated winter wheat in the North China Plain. Agric. Water Manag. 2020, 231, 106002. [Google Scholar] [CrossRef]
- Xu, X.; Zhang, M.; Li, J.; Liu, Z.; Zhao, Z.; Zhang, Y.; Zhou, S.; Wang, Z. Improving water use efficiency and grain yield of winter wheat by optimizing irrigations in the North China Plain. Field Crops Res. 2018, 221, 219–227. [Google Scholar] [CrossRef]
- Cui, H.; Luo, Y.; Li, C.; Chang, Y.; Jin, M.; Li, Y.; Wang, Z. Effects of N forms on N utilization, yield, and quality of two wheat varieties with different gluten characteristics. Eur. J. Agron. 2023, 149, 126919. [Google Scholar] [CrossRef]
- Kichey, T.; Hirel, B.; Heumez, E.; Dubois, F.; Le Gouis, J. In winter wheat (Triticum aestivum L.), post-anthesis N uptake and remobilisation to the grain correlates with agronomic traits and N physiological markers. Field Crops Res. 2007, 102, 22–32. [Google Scholar] [CrossRef]
- Ntanos, D.A.; Koutroubas, S.D. Dry matter and N accumulation and translocation for Indica and Japonica rice under Mediterranean conditions. Field Crops Res. 2002, 74, 93–101. [Google Scholar] [CrossRef]
- Wang, H.; McCaig, T.N.; DePauw, R.M.; Clarke, J.W. Flag leaf physiological traits in two high-yielding Canada Western Red Spring wheat cultivars. Can. J. Plant Sci. 2008, 88, 35–42. [Google Scholar] [CrossRef]
- Gaju, O.; Allard, V.; Martre, P.; Le Gouis, J.; Moreau, D.; Bogard, M.; Hubbart, S.; Foulkes, M.J. N partitioning and remobilization in relation to leaf senescence, grain yield and grain N concentration in wheat cultivars. Field Crops Res. 2014, 155, 213–223. [Google Scholar] [CrossRef]
- Wang, Q.; Li, F.; Zhao, L. Effects of irrigation and N application rates on nitrate N distribution and fertilizer N loss, wheat yield and N uptake on a recently reclaimed sandy farmland. Planta 2010, 337, 325–339. [Google Scholar]
- Abdel- AalE, S.; Hucl, P. A rapid method for quantifying total anthocyanins in blue aleurone and purple pericarp wheats. Cereal Chem. 1999, 76, 350–354. [Google Scholar] [CrossRef]
- Konopka, l.; Tanska, M.; Faron, A.; Stepien, A.; Wojtkowiak, K. Comparison of the phenolicic compounds, carotenoids and tocochromanols content in wheat grain under organic and mineral fertilization regimes. Molecules 2012, 17, 12341–12355. [Google Scholar] [CrossRef]
- Sun, D.X.; Ma, D.Y.; Wang, C.Y. Effects of different water and N treatments on antioxidant content in grains of Yumai 49-198. Crop Sci. Rep. 2014, 40, 2046–2051. [Google Scholar]
- Raymbek, A.; Saunikov, E.; Kenenbayev, S.; Perović, V.; Čakmak, D.; Ramazanova, S.B. Protein content changes in wheat grain as influenced by nitrogen fertilization. Agrochimica 2017, 61, 180–189. [Google Scholar] [CrossRef]
- Luo, J.; Wei, B.; Han, J.; Liao, Y.; Liu, Y. Spermidine increases the sucrose content in inferior grain of wheat and thereby promotes its grain filling. Front. Recent. Dev. Plant Sci. 2019, 10, 1309. [Google Scholar] [CrossRef]
- Song, C.; Guan, Y.; Wang, D.; Zewudie, D.; Li, F.M. Palygorskite-coated fertilizers with a timely release of nutrients increase potato productivity in a rain-fed cropland. Field Crops Res. 2014, 166, 10–17. [Google Scholar] [CrossRef]
- Wu, W.; Ma, B.L.; Fan, J.J.; Sun, M.; Yi, Y.; Guo, W.S.; Voldeng, H.D. Management of N fertilization to balance reducing lodging risk and increasing yield and protein content in spring wheat. Field Crops Res. 2019, 241, 107584. [Google Scholar] [CrossRef]
- Dier, M.; Hüther, L.; Schulze, W.X.; Erbs, M.; Köhler, P.; Weigel, H.J.; Manderscheid, R.; Zörb, C. Elevated atmospheric CO2 concentration has limited effect on wheat grain quality regardless of N supply. J. Agric. Food Chem. 2020, 68, 3711–3721. [Google Scholar] [CrossRef]
- Wieser, H.; Seilmeier, W. The influence of N fertilisation on quantities and proportions of different protein types in wheat flour. J. Sci. Food Agric. 1998, 76, 49–55. [Google Scholar] [CrossRef]
Disclaimer/Publisher’s Note: The statements, opinions and data contained in all publications are solely those of the individual author(s) and contributor(s) and not of MDPI and/or the editor(s). MDPI and/or the editor(s) disclaim responsibility for any injury to people or property resulting from any ideas, methods, instructions or products referred to in the content. |
© 2025 by the authors. Licensee MDPI, Basel, Switzerland. This article is an open access article distributed under the terms and conditions of the Creative Commons Attribution (CC BY) license (https://creativecommons.org/licenses/by/4.0/).









