Distribution Characteristics and Ecological Risk Assessment of Pharmaceutical and Personal Care Products (PPCPs) in Different Water Sources, Soil Profiles and Rice Crops Under Rural Domestic Reclaimed Water Irrigations
Abstract
1. Introduction
2. Materials and Methods
2.1. Experimental Site
2.2. Experimental Design
2.3. Sampling Method
2.4. Indicators and Measurements
2.5. Statistical Analysis
- Reduction rate calculation of PPCPs
- 2.
- Calculation of bio-concentration factor
- 3.
- Calculation of risk quotient
3. Results
3.1. PPCPs Distribution in Irrigation Water Sources
3.2. PPCPs Distribution in Soil Profiles
3.3. PPCPs Distribution in Rice Grains
3.4. PPCPs Migration in Soil-Crops
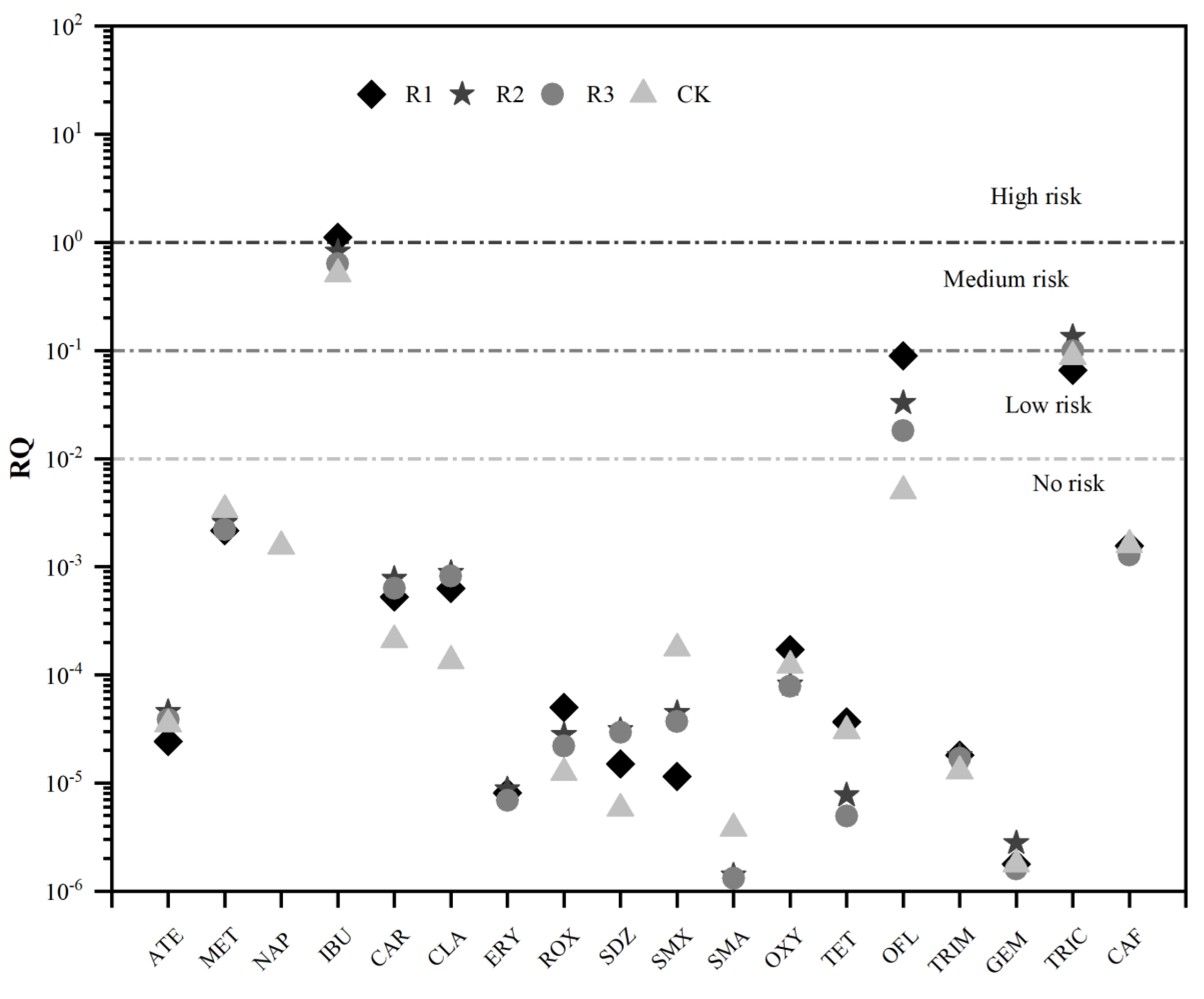
3.5. Ecological Risk Assessment
4. Discussion
4.1. Accumulation of PPCPs in Rice Field Systems Under RDRW Irrigation
4.2. Ecological Risk of PPCPs Under RDRW Irrigation
5. Conclusions
- A total of 21 PPCPs were detected in RDRW and CK. Compared with CK, the total concentration of PPCPs in RDRW was higher, and in R1, R2 and R3 sources it was 5.6 times, 2.4 times, and 1.5 times higher than that in CK, respectively. The effect of irrigation water sources on the PPCPs content in soil profile and rice grain was significant, while the water level regulation was not significant.
- The reduction rate of 15 kinds of PPCPs in soil was greater than 85%, and the BCF of PPCPs in rice grain was less than 0.1. The migration ability of PPCPs in soil-rice plants system was not significantly affected by RDRW irrigation. Through the ecological risk assessment of 18 kinds of PPCPs, it was found that ibuprofen (IBU) was a high-risk substance pollutant, triclocarban (TRIC) was a medium-risk pollutant, ofloxacin (OFL) was a low-risk pollutant, and other PPCPs were all risk-free pollutants.
- The primary and secondary treatment water (R1, R2) of RDRW had a cumulative effect on soil profiles and rice grains, which deserves special attention. It was suggested that R3 water sources can be selected for agricultural irrigation, while direct irrigation of R1 and R2 water sources should be avoided.
Author Contributions
Funding
Data Availability Statement
Conflicts of Interest
References
- Sun, J. Research on Intelligent Irrigation System Based on Fuzzy Control. Master’s Thesis, Shandong University, Jinan, China, 2014. [Google Scholar]
- Zhong, L.; Ding, J.; Wu, T.; Zhao, Y.L.; Pang, J.W.; Jiang, J.P.; Jiang, J.Q.; Li, Y.; Ren, N.Q.; Yang, S.S. Bibliometric overview of research progress, challenges, and prospects of rural domestic sewage: Treatment techniques, resource recovery, and ecological risk. J. Water Process Eng. 2023, 51, 103389. [Google Scholar] [CrossRef]
- Yu, Q.; Liu, R.; Chen, J.; Chen, L. Electrical conductivity in rural domestic sewage: An indication for comprehensive concentrations of influent pollutants and the effectiveness of treatment facilities. Int. Biodeterior. Biodegrad. 2019, 143, 104719. [Google Scholar] [CrossRef]
- Becerra-Castro, C.; Lopes, A.R.; Vaz-Moreira, I.; Silva, E.F.; Manaia, C.M.; Nunes, O.C. Wastewater reuse in irrigation: A microbiological perspective on implications in soil fertility and human and environmental health. Environ. Int. 2015, 75, 117–135. [Google Scholar] [CrossRef]
- Cirelli, G.; Consoli, S.; Licciardello, F.; Aiello, R.; Giuffrida, F.; Leonardi, C. Treated municipal wastewater reuse in vegetable production. Agric. Water Manag. 2012, 104, 163–170. [Google Scholar] [CrossRef]
- Ramirez, K.S.; Craine, J.M.; Fierer, N. Consistent effects of nitrogen amendments on soil microbial communities and processes across biomes. Glob. Change Biol. 2012, 18, 1918–1927. [Google Scholar] [CrossRef]
- Bastida, F.; Torres, I.; Romero-Trigueros, C.; Baldrian, P.; Větrovský, T.; Bayona, J.; Alarcón, J.; Hernández, T.; García, C.; Nicolás, E. Combined effects of reduced irrigation and water quality on the soil microbial community of a citrus orchard under semi-arid conditions. Soil Biol. Biochem. 2017, 104, 226–237. [Google Scholar] [CrossRef]
- Wu, W.; Ma, M.; Hu, Y.; Yu, W.; Liu, H.; Bao, Z. The fate and impacts of pharmaceuticals and personal care products and microbes in agricultural soils with long term irirgation with reclaimed water. Agric. Water Manag. 2021, 251, 106862. [Google Scholar] [CrossRef]
- Huang, X.; Xiong, W.; Liu, W.; Guo, X. Effect of reclaimed water effluent on bacterial community structure in the Typha angustifolia L. rhizosphere soil of urbanized riverside wetland, China. J. Environ. Sci. 2017, 55, 58–68. [Google Scholar] [CrossRef]
- Jurado, A.; López-Serna, R.; Vázquez-Suné, E.; Carrera, J.; Pujades, E.; Petrovic, M.; Barceló, D. Occurrence of carbamazepine and five metabolites in an urban aquifer. Chemosphere 2014, 115, 47–53. [Google Scholar] [CrossRef]
- Cui, Y.; Wang, Y.; Pan, C.; Li, R.; Xue, R.; Guo, J.; Zhang, R. Spatiotemporal distributions, source apportionment and potential risks of 15 pharmaceuticals and personal care products (PPCPs) in Qinzhou Bay, South China. Mar. Pollut. Bull. 2019, 141, 104–111. [Google Scholar] [CrossRef]
- Liu, N.; Jin, X.; Feng, C.; Wang, Z.; Wu, F.; Johnson, A.C.; Xiao, H.; Hollert, H.; Giesy, J.P. Ecological risk assessment of fifty pharmaceuticals and personal care products (PPCPs) in Chinese surface waters: A proposed multiple-level system. Environ. Int. 2020, 136, 105454. [Google Scholar] [CrossRef] [PubMed]
- Li, A.; Wu, Z.; Wang, T.; Hou, S.; Huang, B.; Kong, X.; Li, X.; Guan, Y.; Qiu, R.; Fang, J. Kinetics and mechanisms of the degradation of PPCPs by zero-valent iron (Fe degrees) activated peroxydisulfate (PDS) system in groundwater. J. Hazard. Mater. 2018, 357, 207–216. [Google Scholar] [CrossRef] [PubMed]
- Qu, J.; Wang, H.; Wang, K.; Yu, G.; Ke, B.; Yu, H.-Q.; Ren, H.; Zheng, X.; Li, J.; Li, W.-W.; et al. Municipal wastewater treatment in China: Development history and future perspectives. Front. Environ. Sci. Eng. 2019, 13, 88. [Google Scholar] [CrossRef]
- Qin, Q.; Chen, X.; Zhuang, J. The Fate and Impact of Pharmaceuticals and Personal Care Products in Agricultural Soils Irrigated with Reclaimed Water. Crit. Rev. Environ. Sci. Technol. 2015, 45, 1379–1408. [Google Scholar] [CrossRef]
- Xiao, M.; Li, Y. Distribution characteristics and ecological risk assessment of heavy metals under reclaimed water irrigation and water level regulations in paddy field. Pol. J. Environ. Stud. 2022, 31, 2355–2365. [Google Scholar] [CrossRef]
- GB18918-2002; Discharge Standard of Pollutants for Municipal Wastewater Treatment Plants. SEPAIQ (State Environmental Protection Administration, Inspection and Quarantine of the People’s Republic of China). National Standards of the People’s Republic of China: Beijing, China, 2002.
- GB5084-2021; Standards for Irrigation Water Quality. MEESAMR (Ministry of Ecology and Environment, State Administration for Market Regulation). National Standards of the People’s Republic of China: Beijing, China, 2021.
- Xiao, M.; Li, Y.; Jia, Y.; Wang, J. Effect on water consumption and non-point source pollutants loss under different water and nitrogen regulation of paddy field in southern China. Pol. J. Environ. Stud. 2022, 31, 1389–1398. [Google Scholar] [CrossRef]
- Hattab, S.; Bougattass, I.; Hassine, R.; Dridi-Al-Mohandes, B. Metals and micronutrients in some edible crops and their cultivation soils in eastern-central region of Tunisia: A comparison between organic and conventional farming. Food Chem. 2019, 270, 293–298. [Google Scholar] [CrossRef]
- Yang, Y.; Zhou, X.; Tie, B.; Peng, L.; Li, H.; Wang, K.; Zeng, Q. Comparison of three types of oil crop rotation systems for effective use and remediation of heavy metal contaminated agricultural soil. Chemosphere 2017, 188, 148–156. [Google Scholar] [CrossRef]
- Lin, K.; Wang, R.; Han, T.; Tan, L.; Yang, X.; Wan, M.; Chen, Y.; Zhao, T.; Jiang, S.; Wang, J. Seasonal variation and ecological risk assessment of Pharmaceuticals and Personal Care Products (PPCPs) in a typical semi-enclosed bay—The Bohai Bay in northern China. Sci. Total Environ. 2022, 857, 159682. [Google Scholar] [CrossRef]
- Yu, X.; Yu, F.; Li, Z.; Zhan, J. Occurrence, distribution, and ecological risk assessment of pharmaceuticals and personal care products in the surface water of the middle and lower reaches of the Yellow River (Henan section). J. Hazard. Mater. 2022, 443, 130369. [Google Scholar] [CrossRef]
- Matamoros, V.; Arias, C.; Brix, H.; Bayona, J.M. Removal of pharmaceuticals and personal care products (PPCPs) from urban wastewater in a pilot vertical flow constructed wetland and a sand filter. Environ. Sci. Technol. 2007, 41, 8171–8177. [Google Scholar] [CrossRef] [PubMed]
- Huang, D.; He, J.; Yang, L. Distribution characteristics of pharmaceuticals and personal care products in water and soil environment in reclaimed water irrigation area of a city. China Environ. Sci. 2016, 36, 2614–2623. [Google Scholar]
- Bax, R. Antibiotic resistance—A view from the pharmaceutical industry. Pharmacochem. Libr. 1998, 29, 237–241. [Google Scholar]
- Herklotz, P.A.; Gurung, P.; Heuvel, B.V.; Kinney, C.A. Uptake of human pharmaceuticals by plants grown under hydroponic conditions. Chemosphere 2010, 78, 1416–1421. [Google Scholar] [CrossRef]
- Chen, W.; Xu, J.; Lu, S.; Jiao, W.; Wu, L.; Chang, A.C. Fates and transport of PPCPs in soil receiving reclaimed water irrigation. Chemosphere 2013, 93, 2621–2630. [Google Scholar] [CrossRef]
- Maddela, N.R.; Ramakrishnan, B.; Kakarla, D.; Venkateswarlu, K.; Megharaj, M. Major contaminants of emerging concern in soils: A perspective on potential health risks. RSC Adv. 2022, 12, 12396–12415. [Google Scholar] [CrossRef]
- Chen, F.; Ying, G.-G.; Kong, L.-X.; Wang, L.; Zhao, J.-L.; Zhou, L.-J.; Zhang, L.-J. Distribution and accumulation of endocrine-disrupting chemicals and pharmaceuticals in wastewater irrigated soils in Hebei, China. Environ. Pollut. 2011, 159, 1490–1498. [Google Scholar] [CrossRef]
- Al Falahi, O.A.; Abdullah, S.R.S.; Abu Hasan, H.; Othman, A.R.; Ewadh, H.M.; Kurniawan, S.B.; Imron, M.F. Occurrence of pharmaceuticals and personal care products in domestic wastewater, available treatment technologies, and potential treatment using constructed wetland: A review. Process Saf. Environ. Prot. 2022, 168, 1067–1088. [Google Scholar] [CrossRef]
- Yang, Y.; Ok, Y.S.; Kim, K.-H.; Kwon, E.E.; Tsang, Y.F. Occurrences and removal of pharmaceuticals and personal care products (PPCPs) in drinking water and water/sewage treatment plants: A review. Sci. Total Environ. 2017, 596, 303–320. [Google Scholar] [CrossRef]
- Chen, J.; Liu, Y.S.; Deng, W.J.; Ying, G.G. Removal of steroid hormones and biocides from rural wastewater by an integrated constructed wetland. Sci. Total Environ. 2019, 660, 358–365. [Google Scholar] [CrossRef]
- Guedes-Alonso, R.; Montesdeoca-Esponda, S.; Herrera-Melián, J.A.; Rodríguez-Rodríguez, R.; Ojeda-González, Z.; Landívar-Andrade, V.; Sosa-Ferrera, Z.; Santana-Rodríguez, J.J. Pharmaceutical and personal care product residues in a macrophyte pond-constructed wetland treating wastewater from a university campus: Presence, removal and ecological risk assessment. Sci. Total Environ. 2019, 703, 135596. [Google Scholar] [CrossRef] [PubMed]
- Verlicchi, P.; Zambello, E. How efficient are constructed wetlands in removing pharmaceuticals from untreated and treated urban wastewaters? A review. Sci. Total Environ. 2014, 470, 1281–1306. [Google Scholar] [CrossRef]
- Hu, Y.; Li, L.; Li, B.; Peng, L.; Xu, Y.; Zhou, X.; Li, R.; Song, K. Spatial variations and ecological risks assessment of pharmaceuticals and personal care products (PPCPs) in typical lakes of Wuhan, China. Process Saf. Environ. Prot. 2023, 174, 828–837. [Google Scholar] [CrossRef]
- Liu, Z.H.; Ma, Q.G.; Dai, L.; Dang, Z. Occurrence, removal and risk evaluation of ibuprofen and acetaminophen in municipal wastewater treatment plants: A critical review. Sci. Total Environ. 2023, 891, 164600. [Google Scholar]










| Water Control | Upper and Lower Limit | TG | ET | LT | JB | HF | MK |
|---|---|---|---|---|---|---|---|
| W1 | Upper limit of sewage | 0 | 3–5 days exposing field | 1–2 days exposing field | 1–2 days exposing field | 1–2 days exposing field | 3–5 days exposing field |
| Lower limit of sewage | 30 | 30 | exposing field | 40 | 40 | 30 | |
| Upper limit of storage | 50 | 70 | 80 | 80 | 60 | ||
| W2 | Upper limit of sewage | 0 | 10 | 10 | 10 | 10 | 10 |
| Lower limit of sewage | 30 | 50 | exposing field | 50 | 50 | 50 | |
| Upper limit of storage | 50 | 70 | 100 | 100 | 100 | ||
| W3 | Upper limit of sewage | 0 | 40 | 40 | 40 | 40 | 10 |
| Lower limit of sewage | 30 | 60 | exposing field | 60 | 60 | 60 | |
| Upper limit of storage | 50 | 100 | 150 | 150 | 100 | ||
| Classification | Compound | Abbreviation | CAS | Molecular Structure |
|---|---|---|---|---|
| β Receptor Blockers | Atenolol | ATE | 29122-68-7 | C14H22N2O3 |
| Metoprolol | MET | 37350-58-6 | C15H25NO3 | |
| Non-steroidal anti-inflammatory drugs | Naproxen | NAP | 22204-53-1 | C14H14O3 |
| Ibuprofen | IBU | 15687-27-1 | C13H18O2 | |
| Acetaminophen | ACE | 1219798-53-4 | C8H9NO2 | |
| antipsychotic drug | Carbamazepine | CAR | 298-46-4 | C15H12N2O |
| Macrolide antibiotic | Clarithromycin | CLA | 81103-11-9 | C38H69NO13 |
| Erythromycin | ERY | 114-07-8 | C37H67NO13 | |
| Roxithromycin | ROX | 80214-83-1 | C41H76N2O15 | |
| Sulfamide antibiotics | Sulfadiazine | SDZ | 68-35-9 | C10H10N4O2S |
| Sulfamethoxazole | SMX | 723-46-6 | C10H11N3O3S | |
| Sulfamethazine | SMA | 57-68-1 | C12H14N4O2S | |
| Tetracycline antibiotics | Oxytetracycline | OXY | 79-57-2 | C22H24N2O9 |
| Tetracycline | TET | 60-54-8 | C22H24N2O8 | |
| New tetracycline antibiotics | Minocycline | MIN | 10118-90-8 | C23H27N3O7 |
| Doxycycline | DOX | 100929-47-3 | C22H25ClN2O8 | |
| Quinolone antibiotics | Ofloxacin | OFL | 82419-36-1 | C18H20FN3O4 |
| Sulfamide synergist | Trimethoprim | TRIM | 738-70-5 | C14H18N4O3 |
| Lipid-regulating drugs | Gemfibrozil | GEM | 25812-30-0 | C15H22O3 |
| Bacteriostatic agent | Triclocarban | TRIC | 101-20-2 | C13H9Cl3N2O |
| Stimulants | Caffeine | CAF | 58-08-2 | C8H10N4O2 |
| Penicillin antibiotics | Penicillin G | PEG | 61-33-6 | C16H18N2O4S |
| Water Sources | Indicator | Maximum Value | Minimum Value | Standard Deviation | Mean Value | Kurtosis | Skewness |
|---|---|---|---|---|---|---|---|
| R1 | COD | 84 | 15 | 26.794 | 29.5 | 5.855 | 2.410 |
| LAS | 0.88 | 0.06 | 0.315 | 0.25 | 5.199 | 2.247 | |
| NH4+-N | 11.9 | 8.25 | 1.645 | 9.647 | −1.782 | 0.916 | |
| NO3+-N | 0.061 | 0.016 | 0.019 | 0.034 | −1.452 | 0.642 | |
| R2 | COD | 59 | 10 | 16.783 | 24.1 | 0.719 | 1.291 |
| LAS | 0.16 | 0 | 0.058 | 0.048 | −0.425 | 0.827 | |
| NH4+-N | 11.9 | 3.52 | 2.837 | 7.712 | −0.946 | −0.174 | |
| NO3+-N | 6.25 | 0.01 | 2.455 | 1.364 | 1.238 | 1.687 | |
| R3 | COD | 62 | 11 | 12.735 | 24.15 | 0.710 | 1.553 |
| LAS | 0.32 | 0 | 0.132 | 0.042 | −1.215 | 0.826 | |
| NH4+-N | 5.45 | 2.34 | 0.634 | 4.415 | 0.478 | 0.473 | |
| NO3+-N | 3.16 | 0.345 | 0.928 | 0.823 | 1.382 | 1.275 | |
| CK | COD | 56 | 7 | 15.712 | 23.45 | 0.710 | 1.251 |
| LAS | 0.1 | 0 | 0.041 | 0.035 | −1.875 | 0.418 | |
| NH4+-N | 1.49 | 0.116 | 0.394 | 0.711 | 0.143 | 0.393 | |
| NO3+-N | 2.56 | 0.624 | 0.578 | 1.048 | 4.680 | 2.078 |
| Treatment | ATE | MET | ACE | CAR | ERY | SDZ | SMX | SMA | OXY | MIN | TET | DOX | OFL | CAF | GEM |
|---|---|---|---|---|---|---|---|---|---|---|---|---|---|---|---|
| R1 | 93% | 95% | 100% | 97% | 100% | 97% | 96% | 90% | 92% | 99% | 98% | 98% | 100% | 100% | 87% |
| R2 | 98% | 99% | 100% | 99% | 100% | 99% | 99% | 97% | 94% | 100% | 98% | 100% | 100% | 100% | 95% |
| R3 | 98% | 97% | 100% | 98% | 100% | 100% | 100% | 92% | 97% | 100% | 85% | 99% | 100% | 100% | 97% |
| CK | 97% | 98% | 100% | 96% | 99% | 99% | 100% | 96% | 99% | 100% | 98% | 100% | 100% | 100% | 98% |
| Treatment | ATE | MET | ACE | CAR | ERY | SDZ | SMX | SMA | OXY | MIN | TET | DOX | OFL | CAF | GEM |
|---|---|---|---|---|---|---|---|---|---|---|---|---|---|---|---|
| R1 | 0.0123 ± 0.0009 | 0.0140 ± 0.0009 | 0.0063 ± 0.0004 | 0.0217 ± 0.0010 | 0.0146 ± 0.0003 | 0.0296 ± 0.0017 | 0.0125 ± 0.0007 | 0.0191 ± 0.0010 | 0.0176 ± 0.0010 | 0.0329 ± 0.0003 | 0.0182 ± 0.0009 | 0.0071 ± 0.0003 | 0.0126 ± 0.0004 | 0.0038 ± 0.0001 | 0.0022 ± 0.0001 |
| R2 | 0.0140 ± 0.0007 | 0.0397 ± 0.0016 | 0.0084 ± 0.0006 | 0.0156 ± 0.0008 | 0.0131 ± 0.0007 | 0.0040 ± 0.0002 | 0.0167 ± 0.0008 | 0.0067 ± 0.0002 | 0.0234 ± 0.0014 | 0.0118 ± 0.0002 | 0.0138 ± 0.0008 | 0.0667 ± 0.0017 | 0.0157 ± 0.0008 | 0.0223 ± 0.0007 | 0.0167 ± 0.0007 |
| R3 | 0.0139 ± 0.0007 | 0.0115 ± 0.0008 | 0.0306 ± 0.0004 | 0.0039 ± 0.0003 | 0.0143 ± 0.0007 | 0.0200 ± 0.0009 | 0.0300 ± 0.0020 | 0.0030 ± 0.0002 | 0.0768 ± 0.0026 | 0.0065 ± 0.0004 | 0.0100 ± 0.0004 | 0.0216 ± 0.0004 | 0.0199 ± 0.0010 | 0.0118 ± 0.0007 | 0.0500 ± 0.0009 |
| CK | 0.0110 ± 0.0005 | 0.0102 ± 0.0004 | 0.0319 ± 0.0002 | 0.0043 ± 0.0002 | 0.0423 ± 0.0022 | 0.0225 ± 0.0015 | 0.0300 ± 0.0007 | 0.0038 ± 0.0002 | 0.0072 ± 0.0003 | 0.0121 ± 0.0007 | 0.0031 ± 0.0002 | 0.0217 ± 0.0006 | 0.0260 ± 0.0011 | 0.0150 ± 0.0004 | 0.0700 ± 0.0043 |
| Compound | Sensitive Species | EC50/LC50/NOEC/LOEC/EC10 | Toxicity Concentration (mg/L) | AF | PNEC (μg/L) |
|---|---|---|---|---|---|
| ATE | flatworm | LC50 | 500 | 1000 | 500 |
| MET | water flea | EC50 | 9.32 | 1000 | 9.32 |
| NAP | water flea | LC50 | 82 | 1000 | 82 |
| IBU | water flea | NOEC | 0.01 | 100 | 0.1 |
| CAR | fathead minnow | NOEC | 0.86 | 100 | 8.6 |
| CLA | fairy shrimp | LC50 | 33.6 | 1000 | 33.6 |
| ERY | water flea | NOEC | 150 | 100 | 1500 |
| ROX | Crescent algae | NOEC | 40 | 100 | 400 |
| SDZ | daphnia magna | EC10 | 8.8 | 100 | 88 |
| SMX | Rotifera | LC50 | 26.27 | 1000 | 26.27 |
| SMA | daphnia magna | NOEC | 50 | 100 | 500 |
| OXY | fairy shrimp | LC50 | 25 | 1000 | 25 |
| TET | Rotifera | NOEC | 5 | 100 | 50 |
| OFL | flatworm | LC50 | 32.5 | 1000 | 32.5 |
| TRIM | hydra | LC50 | 100 | 1000 | 100 |
| GEM | green algae | LC50 | 56 | 1000 | 56 |
| TRIC | daphnia magna | NOEC | 0.0016 | 100 | 0.016 |
| CAF | fathead minnow | EC50 | 70 | 1000 | 70 |
Disclaimer/Publisher’s Note: The statements, opinions and data contained in all publications are solely those of the individual author(s) and contributor(s) and not of MDPI and/or the editor(s). MDPI and/or the editor(s) disclaim responsibility for any injury to people or property resulting from any ideas, methods, instructions or products referred to in the content. |
© 2025 by the authors. Licensee MDPI, Basel, Switzerland. This article is an open access article distributed under the terms and conditions of the Creative Commons Attribution (CC BY) license (https://creativecommons.org/licenses/by/4.0/).
Share and Cite
Xiao, M.; Yang, C.; Wang, L.; Zheng, S.; Xiong, L.; Kong, P.; Cai, J. Distribution Characteristics and Ecological Risk Assessment of Pharmaceutical and Personal Care Products (PPCPs) in Different Water Sources, Soil Profiles and Rice Crops Under Rural Domestic Reclaimed Water Irrigations. Agronomy 2025, 15, 343. https://doi.org/10.3390/agronomy15020343
Xiao M, Yang C, Wang L, Zheng S, Xiong L, Kong P, Cai J. Distribution Characteristics and Ecological Risk Assessment of Pharmaceutical and Personal Care Products (PPCPs) in Different Water Sources, Soil Profiles and Rice Crops Under Rural Domestic Reclaimed Water Irrigations. Agronomy. 2025; 15(2):343. https://doi.org/10.3390/agronomy15020343
Chicago/Turabian StyleXiao, Menghua, Caijie Yang, Lei Wang, Shizong Zheng, Ling Xiong, Peipei Kong, and Jiafang Cai. 2025. "Distribution Characteristics and Ecological Risk Assessment of Pharmaceutical and Personal Care Products (PPCPs) in Different Water Sources, Soil Profiles and Rice Crops Under Rural Domestic Reclaimed Water Irrigations" Agronomy 15, no. 2: 343. https://doi.org/10.3390/agronomy15020343
APA StyleXiao, M., Yang, C., Wang, L., Zheng, S., Xiong, L., Kong, P., & Cai, J. (2025). Distribution Characteristics and Ecological Risk Assessment of Pharmaceutical and Personal Care Products (PPCPs) in Different Water Sources, Soil Profiles and Rice Crops Under Rural Domestic Reclaimed Water Irrigations. Agronomy, 15(2), 343. https://doi.org/10.3390/agronomy15020343

