After-Ripening and Stratification Improve the Germination of the Cakile maritima Scop. (Brassicaceae) from the Apulia Region, Italy
Abstract
1. Introduction
2. Materials and Methods
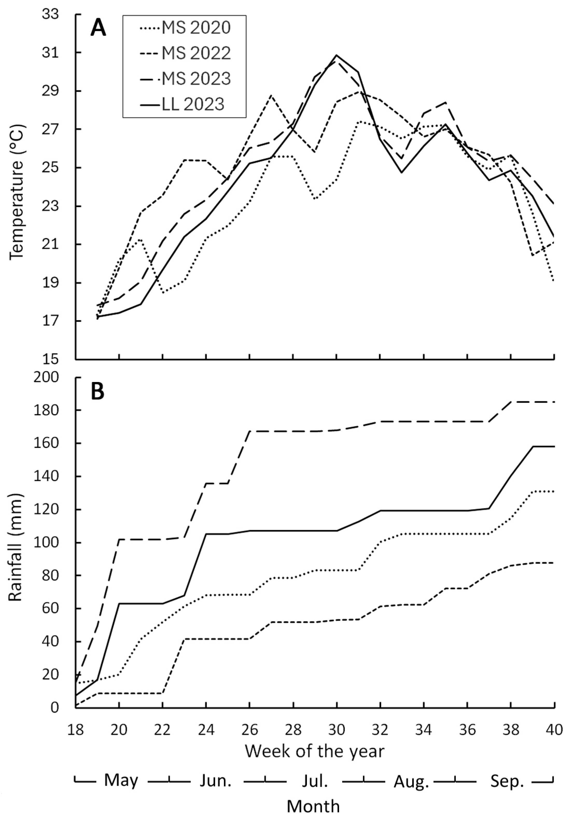
2.1. Fruit Collection Sites and Climatic Features
2.2. Germination of the Extracted Seeds of C. maritima
- Trial 1
- Trial 2
2.3. Seedling Emergence of the Stratified Fruits of C. maritima
- Trial 3
- Trial 4
2.4. Statistical Analysis
3. Results
3.1. Germination of the Extracted Seed of C. maritima
3.2. Seedling Emergence from Stratified Fruits of C. maritima
4. Discussion
4.1. Effect of Fruit Pericarp on Seed Germination of C. maritima
4.2. Effect of Harvest Year on Unshelled Seed Germination of C. maritima
4.3. Effect of Moist Stratification on Shelled Seeds
4.4. Effect of After-Ripening and Salinity on Shelled Seeds
5. Conclusions
Supplementary Materials
Author Contributions
Funding
Data Availability Statement
Acknowledgments
Conflicts of Interest
References
- Conversa, G.; Botticella, L.; Lazzizera, C.; Bonasia, A.; Elia, A. Ecophysiological and Nutritional Characterisation of Two Morphotypes of Cakile maritima subsp. maritima Scop. from Puglia Region, Southern Italy. Front. Plant Sci. 2024, 15, 1397852. [Google Scholar] [CrossRef] [PubMed]
- Arbelet-Bonnin, D.; Ben-Hamed-Louati, I.; Laurenti, P.; Abdelly, C.; Ben-Hamed, K.; Bouteau, F. Cakile maritima, a Promising Model for Halophyte Studies and a Putative Cash Crop for Saline Agriculture. Adv. Agron. 2019, 155, 45–78. [Google Scholar] [CrossRef]
- Agudelo, A.; Carvajal, M.; Martinez-Bellesta, M.d.C. Halophytes of the Mediterranean Basin—Underutilized Species Climate Change. Foods 2021, 10, 119. [Google Scholar] [CrossRef] [PubMed]
- Petropoulos, S.; Fernandes, Â.; Barros, L.; Ferreira, I.C.F.R. Chemical Composition, Nutritional Value and Antioxidant Properties of Mediterranean Okra Genotypes in Relation to Harvest Stage. Food Chem. 2018, 242, 466–474. [Google Scholar] [CrossRef] [PubMed]
- Stanković, M.; Jakovljević, D.; Stojadinov, M.; Stevanović, Z.D. Halophyte Species as a Source of Secondary Metabolites with Antioxidant Activity. In Ecophysiology, Abiotic Stress Responses and Utilization of Halophytes; Hasanuzzaman, M., Nahar, K., Öztürk, M., Eds.; Springer: Singapore, 2019; pp. 289–312. [Google Scholar] [CrossRef]
- Lombardi, T.; Bertacchi, A.; Pistelli, L.; Pardossi, A.; Pecchia, S.; Toffanin, A.; Sanmartin, C. Biological and Agronomic Traits of the Main Halophytes Widespread in the Mediterranean Region as Potential New Vegetable Crops. Horticulturae 2022, 8, 195. [Google Scholar] [CrossRef]
- Corrêa, R.C.G.; Di Gioia, F.; Ferreira, I.C.F.R.; Petropoulos, S.A. Halophytes for future horticulture: The case of small-scale farming in the Mediterranean Basin. In Handbook of Halophytes: From Molecules to Ecosystems towards Biosaline Agriculture; Grigore, M., Ed.; Springer International Publishing: Cham, Switzerland, 2020; pp. 2367–2393. [Google Scholar] [CrossRef]
- Castañeda-Loaiza, V.; Rodrigues, M.J.; Fernandes, E.; Custódio, L. A Comparative Study of the Influence of Soil and Non-Soil Factors on Seed Germination of Edible Salt-Tolerant Species. Horticulturae 2024, 10, 872. [Google Scholar] [CrossRef]
- Khan, M.A.; Gul, B. Halophyte Seed Germination. In Ecophysiology of High Salinity Tolerant Plants; Khan, M.A., Weber, D.J., Eds.; Springer: Dordrecht, The Netherlands, 2006; pp. 11–30. [Google Scholar]
- Gul, B.; Ansari, R.; Flowers, T.J.; Khan, M.A. Germination Strategies of Halophyte Seeds under Salinity. Environ. Exp. Bot. 2013, 92, 4–18. [Google Scholar] [CrossRef]
- Baskin, C.C.; Baskin, J.M. Germinating Seeds of Wildflowers, an Ecological Perspective. Hortechnology 2004, 14, 467–473. [Google Scholar] [CrossRef]
- Vercellino, R.B.; Pandolfo, C.E.; Cerrota, A.; Cantamutto, M.; Presotto, A. The Roles of Light and Pericarp on Seed Dormancy and Germination in Feral Raphanus sativus (Brassicaceae). Weed Res. 2019, 59, 396–406. [Google Scholar] [CrossRef]
- Baskin, J.M.; Baskin, C.C. Seeds: Ecology, Biogeography, and Evolution of Dormancy and Germination, 2nd ed.; Elsevier Academic Press: San Diego, CA, USA, 2014. [Google Scholar]
- Lu, J.J.; Zhou, Y.M.; Tan, D.Y.; Baskin, C.C.; Baskin, J.M. Seed Dormancy in Six Cold Desert Brassicaceae Species with Indehiscent Fruits. Seed Sci. Res. 2015, 25, 276–285. [Google Scholar] [CrossRef]
- Zhou, Y.M.; Lu, J.J.; Tan, D.Y.; Baskin, C.C.; Baskin, J.M. Seed Germination Ecology of the Cold Desert Annual Isatis Violascens (Brassicaceae): Two Levels of Physiological Dormancy and Role of the Pericarp. PLoS ONE 2015, 10, e0140983. [Google Scholar] [CrossRef] [PubMed]
- Davy, A.J.; Scott, R.; Cordazzo, C.V. Biological Flora of the British Isles: Cakile maritima Scop. J. Ecol. 2006, 94, 695–711. [Google Scholar] [CrossRef]
- Benvenuti, S. Seed Ecology of Mediterranean Hind Dune Wildflowers. Ecol. Eng. 2016, 91, 282–293. [Google Scholar] [CrossRef]
- Debez, A.; Ben Hamed, K.; Grignon, C.; Abdelly, C. Salinity Effects on Germination, Growth, and Seed Production of the Halophyte Cakile maritima. Plant Soil 2004, 262, 179–189. [Google Scholar] [CrossRef]
- Debez, A.; Braun, H.P.; Pich, A.; Taamalli, W.; Koyro, H.W.; Abdelly, C.; Huchzermeyer, B. Proteomic and Physiological Responses of the Halophyte Cakile maritima to Moderate Salinity at the Germinative and Vegetative Stages. J. Proteom. 2012, 75, 5667–5694. [Google Scholar] [CrossRef]
- Debez, A.; Belghith, I.; Pich, A.; Taamalli, W.; Abdelly, C.; Braun, H.P. High Salinity Impacts Germination of the Halophyte Cakile maritima but Primes Seeds for Rapid Germination upon Stress Release. Physiol. Plant 2018, 164, 134–144. [Google Scholar] [CrossRef]
- Ghars, M.A.; Debez, A.; Abdelly, C. Interaction between Salinity and Original Habitat during Germination of the Annual Seashore Halophyte Cakile maritima. Commun. Soil Sci. Plant Anal. 2009, 40, 3170–3180. [Google Scholar] [CrossRef]
- Del Vecchio, S.; Porceddu, M.; Fantinato, E.; Acosta, A.T.R.; Buffa, G.; Bacchetta, G. Germination Responses of Mediterranean Populations of Cakile maritima to Light, Salinity and Temperature. Folia Geobot. 2018, 53, 417–428. [Google Scholar] [CrossRef]
- Conversa, G.; Elia, A. Effect of Seed Age, Stratification, and Soaking on Germination of Wild Asparagus (Asparagus acutifolius L.). Sci. Hortic 2009, 119, 241–245. [Google Scholar] [CrossRef]
- SAS Institute. SAS/STAT User’s Guide, Version 7–1; SAS Institute Inc.: Cary, NC, USA, 1990; Volume 3. [Google Scholar]
- Finch-Savage, W.E.; Leubner-Metzger, G. Seed Dormancy and the Control of Germination. New Phytol. 2006, 171, 501–523. [Google Scholar] [CrossRef]
- Geneve, R. Impact of temperature on seed dormancy. HortScience 2003, 3, 336–341. [Google Scholar] [CrossRef]
- Leubner-Metzger, G. β-1,3-Glucanase Gene Expression in Low-Hydrated Seeds as a Mechanism for Dormancy Release during Tobacco After-Ripening. Plant J. 2005, 41, 133–145. [Google Scholar] [CrossRef] [PubMed]
- Bair, N.B.; Meyer, S.E.; Allen, P.S. A Hydrothermal After-Ripening Time Model for Seed Dormancy Loss in Bromus tectorum L. Seed Sci. Res. 2006, 16, 17–28. [Google Scholar] [CrossRef]
- Canella, M.; Rossi, G.; Mondoni, A.; Guzzon, F. Promoting Seed Germination of Bunias erucago, a Mediterranean Leafy Vegetable. Seed Sci. Technol. 2020, 48, 189–199. [Google Scholar] [CrossRef]
- Chauhan, B.S.; Gill, G.S.; Preston, C. Tillage System Effects on Weed Ecology, Herbicide Activity and Persistence: A Review. Aust. J. Exp. Agric. 2006, 46, 1557–1570. [Google Scholar] [CrossRef]
- Lu, J.J.; Tan, D.Y.; Baskin, C.C.; Baskin, J.M. Role of Indehiscent Pericarp in Formation of Soil Seed Bank in Five Cold Desert Brassicaceae Species. Plant Ecol. 2017, 218, 1187–1200. [Google Scholar] [CrossRef]
- Mekenian, M.R.; Willemsen, R.W. Germination Characteristics of Raphanus raphanistrum. I. Laboratory Studies. Bull. Torrey Bot. Club 1975, 102, 243–252. [Google Scholar] [CrossRef]
- Lu, J.J.; Tan, D.Y.; Baskin, C.C.; Baskin, J.M. Effects of Germination Season on Life History Traits and on Transgenerational Plasticity in Seed Dormancy in a Cold Desert Annual. Sci. Rep. 2016, 6, 25076. [Google Scholar] [CrossRef]
- Cousens, R.D.; Young, K.R.; Tadayyon, A. The Role of the Persistent Fruit Wall in Seed Water Regulation in Raphanus raphanistrum (Brassicaceae). Ann. Bot. 2010, 105, 101–108. [Google Scholar] [CrossRef]
- Sperber, K.; Steinbrecher, T.; Graeber, K.; Scherer, G.; Clausing, S.; Wiegand, N.; Hourston, J.E.; Kurre, R.; Leubner-Metzger, G.; Mummenhoff, K. Fruit Fracture Biomechanics and the Release of Lepidium Didymum Pericarp-Imposed Mechanical Dormancy by Fungi. Nat. Commun. 2017, 8, 1868. [Google Scholar] [CrossRef]
- Megdiche, W.; Ben Amor, N.; Debez, A.; Hessini, K.; Ksouri, R.; Zuily-Fodil, Y.; Abdelly, C. Salt Tolerance of the Annual Halophyte Cakile maritima as Affected by the Provenance and the Developmental Stage. Acta Physiol. Plant 2007, 29, 375–384. [Google Scholar] [CrossRef]
- Conversa, G.; Lazzizera, C.; Elia, A. Effects of After-Ripening, Stratification and GA3 on Dormancy Release and on Germination of Wild Asparagus (Asparagus acutifolius L.) Seeds. Sci. Hortic 2010, 125, 196–202. [Google Scholar] [CrossRef]
- Gómez-Maqueo, X.; Figueroa-Corona, L.; Martínez-Villegas, J.A.; Soriano, D.; Gamboa-Debuen, A. The Relevance of a Physiological-Stage Approach Study of the Molecular and Environmental Factors Regulating Seed Germination in Wild Plants. Plants 2021, 10, 1084. [Google Scholar] [CrossRef] [PubMed]
- Yang, X.; Baskin, C.C.; Baskin, J.M.; Zhang, W.; Huang, Z. Degradation of Seed Mucilage by Soil Microflora Promotes Early Seedling Growth of a Desert Sand Dune Plant. Plant Cell Environ. 2012, 35, 872–883. [Google Scholar] [CrossRef] [PubMed]
- Fernández-Pascual, E.; Pérez-Arcoiza, A.; Alberto Prieto, J.; Díaz, T.E. Environmental Filtering Drives the Shape and Breadth of the Seed Germination Niche in Coastal Plant Communities. Ann. Bot. 2017, 119, 1169–1177. [Google Scholar] [CrossRef]




| Trial 1 | Trial 2 | Trial 3 | Trial 4 | ||
|---|---|---|---|---|---|
| Year of the Germination Trial | |||||
| 2022 | 2023 | 2022 | 2023 | ||
| Collecting site | Collecting year | Lot code (*) | |||
| MS | 2020 | 20S_AR2 | 20S_AR3 | 20F_AR2 | 20F_AR3 |
| MS | 2022 | 22S_AR0 | 22S_AR1 | 22F_AR0 | 22F_AR1 |
| MS | 2022 | 22F_AR0S | |||
| MS | 2020 | 20F_AR2 | - | - | - |
| MS | 2022 | 22F_AR0 | - | - | - |
| MS | 2023 | - | 23S_AR0 | - | 23F_AR0 |
| LL | 2023 | - | LL-23S_AR0 | - | LL-23F_AR0 |
| Seed Lot (1) | Germination | T50 | Weibull’s Function Parameters | ||
|---|---|---|---|---|---|
| (%) | (Days) | a | b | q | |
| 20S_AR3 | 41.0 b (2) | 4.0 a | 41.3 d | 1.7 a | 12.2 a |
| 22S_AR1 | 50.0 b | 4.3 a | 50.3 bc | 1.9 a | 12.1 a |
| 23S_AR0 | 64.0 a | 3.0 b | 63.1 ab | 4.0 a | 6.0 b |
| LL-23S_AR0 | 66.9 a | 2.9 b | 66.1 a | 2.5 a | 7.4 b |
| Significance (3) | ** | * | * | ns | ** |
| Seed Lot (1) | Emergence | T50 | Weibull’s Function Parameters | ||
|---|---|---|---|---|---|
| (%) | (Days) | a | b | q | |
| 20F_AR2 | 61.1 a (2) | 22.2 a | 69.3 a | 2.0 a | 62.5 a |
| 22F_AR0 | 34.0 b | 24.4 a | 32.6 b | 3.0 a | 44.1 b |
| 22F_AR0S | 23.9 b | 28.4 a | 20.8 b | 2.0 a | 64.7 a |
| Significance (3) | * | ns | * | ns | ** |
| Emergence | T50 | Weibull’s Function Parameters | ||||||||
|---|---|---|---|---|---|---|---|---|---|---|
| Seed Lot (1) | (%) | (Days) | Phase 1 | Phase 2 | ||||||
| Phase1 | Phase2 | Phase1 | Phase2 | a | b | q | a | b | q | |
| 20AR3 | 25.3 b (2) | 62.7 c | 16.9 a | 90.0 a | 25.3 c | 2.3 a | 37.9 a | 65.8 b | 3.9 a | 149.9a |
| 22AR1 | 28.5 b | 69.0 bc | 11.6 b | 89.7 a | 27.7 bc | 2.9 a | 25.3 ab | 72.1 ab | 4.1 a | 143.6a |
| 23AR0 | 44.0 ab | 80.0 ab | 10.9 b | 79.5a | 44.1 ab | 2.8 a | 19.2 b | 81.3 a | 3.3 a | 143.8a |
| LL-23AR0 | 50.0 a | 82.5 a | 8.3 b | 76.3 a | 48.7 a | 2.9 a | 22.4 ab | 83.8 a | 3.3 a | 141.7a |
| Significance (3) | * | * | * | ns | * | ns | * | * | ns | ns |
Disclaimer/Publisher’s Note: The statements, opinions and data contained in all publications are solely those of the individual author(s) and contributor(s) and not of MDPI and/or the editor(s). MDPI and/or the editor(s) disclaim responsibility for any injury to people or property resulting from any ideas, methods, instructions or products referred to in the content. |
© 2024 by the authors. Licensee MDPI, Basel, Switzerland. This article is an open access article distributed under the terms and conditions of the Creative Commons Attribution (CC BY) license (https://creativecommons.org/licenses/by/4.0/).
Share and Cite
Conversa, G.; Botticella, L.; Elia, A. After-Ripening and Stratification Improve the Germination of the Cakile maritima Scop. (Brassicaceae) from the Apulia Region, Italy. Agronomy 2024, 14, 2127. https://doi.org/10.3390/agronomy14092127
Conversa G, Botticella L, Elia A. After-Ripening and Stratification Improve the Germination of the Cakile maritima Scop. (Brassicaceae) from the Apulia Region, Italy. Agronomy. 2024; 14(9):2127. https://doi.org/10.3390/agronomy14092127
Chicago/Turabian StyleConversa, Giulia, Lucia Botticella, and Antonio Elia. 2024. "After-Ripening and Stratification Improve the Germination of the Cakile maritima Scop. (Brassicaceae) from the Apulia Region, Italy" Agronomy 14, no. 9: 2127. https://doi.org/10.3390/agronomy14092127
APA StyleConversa, G., Botticella, L., & Elia, A. (2024). After-Ripening and Stratification Improve the Germination of the Cakile maritima Scop. (Brassicaceae) from the Apulia Region, Italy. Agronomy, 14(9), 2127. https://doi.org/10.3390/agronomy14092127

