Effects of a Single Biochar Application on Soil Carbon Storage and Water and Fertilizer Productivity of Drip-Irrigated, Film-Mulched Maize Production
Abstract
1. Introduction
2. Materials and Methods
2.1. Study Site
2.2. Experimental Design
2.3. Measurements
2.3.1. Soil Water Storage and Actual Evapotranspiration (ETa)
2.3.2. Maize Yield and Water and Fertilizer Productivity
2.3.3. Gas Flux Calculation
2.3.4. Soil Organic Carbon Content (SOC)
2.4. Data Analysis
3. Results
3.1. Soil Moisture and Water–Fertilizer Productivity
3.2. Soil CO2 and CH4 Emissions
3.3. Soil Organic Carbon
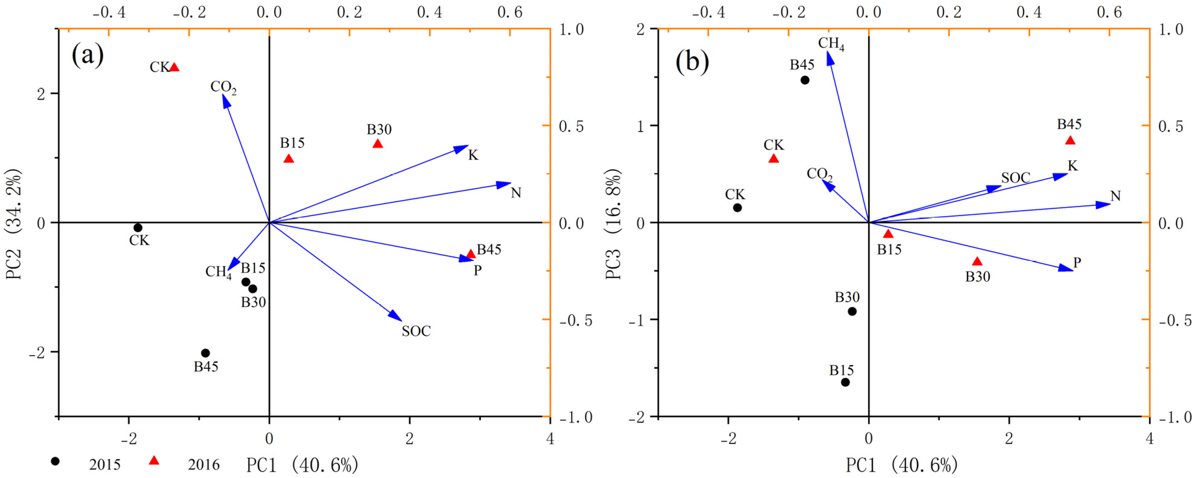
3.4. Synergistic Impacts of Biochar on Greenhouse Gas Emissions, Soil Fertility, and Organic Matter Levels
4. Discussion
4.1. Effects of Biochar on Crop Yield and Water Productivity
4.2. Effects of Biochar on Fertilizer Productivity
4.3. Effects of Biochar on SOC and Greenhouse Gas Emissions
4.4. The Regulation Mechanism of Biochar in Compensating Soil Carbon Loss
4.5. Prospects for Future Research
5. Conclusions
Author Contributions
Funding
Data Availability Statement
Acknowledgments
Conflicts of Interest
Nomenclature
| SOC | Soil Organic Carbon |
| CO2 | Carbon Dioxide |
| CH4 | Methane |
| HID | The Hetao Irrigation District |
| GHG | Soil Greenhouse Gas Emissions |
| CWP | Crop Water Productivity |
| PFP | Partial Fertilizer Productivity |
| N | Nitrogen |
| P | Phosphorus |
| K | Potassium |
References
- Das, S.; Kim, P.J.; Nie, M.; Chabbi, A. Soil Organic Matter in the Anthropocene: Role in Climate Change Mitigation, Carbon Sequestration, and Food Security. Agric. Ecosyst. Environ. 2024, 375, 109180. [Google Scholar] [CrossRef]
- Acharya, P.; Ghimire, R.; Acosta-Martínez, V. Cover Crop-Mediated Soil Carbon Storage and Soil Health in Semi-Arid Irrigated Cropping Systems. Agric. Ecosyst. Environ. 2024, 361, 108813. [Google Scholar] [CrossRef]
- Hu, M.; Qu, Z.; Li, Y.; Xiong, Y.; Huang, G. Contrasting Effects of Different Straw Return Modes on Net Ecosystem Carbon Budget and Carbon Footprint in Saline-Alkali Arid Farmland. Soil Tillage Res. 2024, 239, 106031. [Google Scholar] [CrossRef]
- Zhang, H.; Xing, L.; Liang, H.; Liu, S.; Ding, W.; Zhang, J.; Xu, C. Preparation and Characterization of Biochar-Based Slow-Release Nitrogen Fertilizer and Its Effect on Maize Growth. Ind. Crops Prod. 2023, 203, 117227. [Google Scholar] [CrossRef]
- Lal, R. Soil Carbon Dynamics in Cropland and Rangeland. Environ. Pollut. 2002, 116, 353–362. [Google Scholar] [CrossRef] [PubMed]
- Naorem, A.; Jayaraman, S.; Sinha, N.K.; Mohanty, M.; Chaudhary, R.S.; Hati, K.M.; Mandal, A.; Thakur, J.K.; Patra, A.K.; Srinivasarao, C.; et al. Eight-Year Impacts of Conservation Agriculture on Soil Quality, Carbon Storage, and Carbon Emission Footprint. Soil Tillage Res. 2023, 232, 105748. [Google Scholar] [CrossRef]
- Li, C.; Xiong, Y.; Qu, Z.; Xu, X.; Huang, Q.; Huang, G. Impact of Biochar Addition on Soil Properties and Water-Fertilizer Productivity of Tomato in Semi-Arid Region of Inner Mongolia, China. Geoderma 2018, 331, 100–108. [Google Scholar] [CrossRef]
- Ding, Y.; Li, C.; Li, Z.; Liu, S.; Zou, Y.; Gao, X.; Cai, Y.; Siddique, K.H.; Wu, P.; Zhao, X. Greenhouse Gas Emission Responses to Different Soil Amendments on the Loess Plateau, China. Agric. Ecosyst. Environ. 2023, 342, 108233. [Google Scholar] [CrossRef]
- Zhang, T.; Tang, Y.; Li, H.; Hu, W.; Cheng, J.; Lee, X. A Bibliometric Review of Biochar for Soil Carbon Sequestration and Mitigation from 2001 to 2020. Ecotoxicol. Environ. Saf. 2023, 264, 115438. [Google Scholar] [CrossRef]
- Wang, D.; Li, C.; Parikh, S.J.; Scow, K.M. Impact of Biochar on Water Retention of Two Agricultural Soils—A Multi-Scale Analysis. Geoderma 2019, 340, 185–191. [Google Scholar] [CrossRef]
- do Nascimento, Í.V.; Fregolente, L.G.; de Araújo Pereira, A.P.; do Nascimento, C.D.; Mota, J.C.; Ferreira, O.P.; de Freitas Sousa, H.H.; da Silva, D.G.; Simões, L.R.; Souza Filho, A.G.; et al. Biochar as a Carbonaceous Material to Enhance Soil Quality in Drylands Ecosystems: A Review. Environ. Res. 2023, 233, 116489. [Google Scholar] [CrossRef]
- Su, Z.; Liu, X.; Wang, Z.; Wang, J. Biochar Effects on Salt-Affected Soil Properties and Plant Productivity: A Global Meta-Analysis. J. Environ. Manag. 2024, 366, 121653. [Google Scholar] [CrossRef] [PubMed]
- Lehmann, J.; Gaunt, J.; Rondon, M. Bio-Char Sequestration in Terrestrial Ecosystems—A Review. Mitig. Adapt. Strat. Glob. Chang. 2006, 11, 403–427. [Google Scholar] [CrossRef]
- Dewi, R.K.; Gong, Y.; Huang, Q.; Li, P.; Hashimi, R.; Komatsuzaki, M. Addition of Biochar Decreased Soil Respiration in a Permanent No-till Cover Crop System for Organic Soybean Production. Soil Tillage Res. 2024, 237, 105977. [Google Scholar] [CrossRef]
- Wang, L.; Chen, D.; Zhu, L. Biochar Carbon Sequestration Potential Rectification in Soils: Synthesis Effects of Biochar on Soil CO, CH and NO Emissions242. Sci. Total Environ. 2023, 904, 167047. [Google Scholar] [CrossRef]
- Yang, W.; Zhang, R.; Yang, Y.; Ji, W.; Zhang, X.; Zhang, D.; Wang, L.; Qu, Z. Evaluation of Net Carbon Sequestration and Ecological Benefits from Single Biochar-Incorporated Sorghum Farmland Systems in Saline-Alkali Areas of Inner Mongolia, China. J. Environ. Manag. 2024, 351, 119979. [Google Scholar] [CrossRef] [PubMed]
- Liu, H.; Li, J.; Li, X.; Zheng, Y.; Feng, S.; Jiang, G. Mitigating Greenhouse Gas Emissions through Replacement of Chemical Fertilizer with Organic Manure in a Temperate Farmland. Sci. Bull. 2015, 60, 598–606. [Google Scholar] [CrossRef]
- Zhou, Y.; Zhao, Z.; Li, D.; Wu, L.; Chen, Z.; An, N.; Yang, J.; Wang, Y. Effects of Combined Biochar and Maize Straw Applications on Soil Greenhouse Gas Emissions. Appl. Soil Ecol. 2024, 202, 105540. [Google Scholar] [CrossRef]
- Zhang, N.; Ye, X.; Gao, Y.; Liu, G.; Liu, Z.; Zhang, Q.; Liu, E.; Sun, S.; Ren, X.; Jia, Z.; et al. Environment and Agricultural Practices Regulate Enhanced Biochar-Induced Soil Carbon Pools and Crop Yield: A Meta-Analysis. Sci. Total Environ. 2023, 905, 167290. [Google Scholar] [CrossRef]
- Zhao, H.; Liu, G.; Dou, Y.; Yang, H.; Wang, T.; Wang, Z.; Malhi, S.; Khan, A.A. Plastic Mulch Increases Dryland Wheat Yield and Water-Use Productivity, While Straw Mulch Increases Soil Water Storage. J. Integr. Agric. 2024, 23, 3174–3185. [Google Scholar] [CrossRef]
- Wang, Y.-J.; Xie, Z.K.; Li, F.-M.; Zhang, Z.-S. The Effect of Supplemental Irrigation on Watermelon (Citrullus lanatus) Production in Gravel and Sand Mulched Fields in the Loess Plateau of Northwest China. Agric. Water Manag. 2004, 69, 29–41. [Google Scholar] [CrossRef]
- Fernández, J.E.; Alcon, F.; Diaz-Espejo, A.; Hernandez-Santana, V.; Cuevas, M.V. Water Use Indicators and Economic Analysis for On-Farm Irrigation Decision: A Case Study of a Super High Density Olive Tree Orchard. Agric. Water Manag. 2020, 237, 106074. [Google Scholar] [CrossRef]
- Li, X.; Long, A.; Ji, X.; Wang, X.; Wang, Z.; Gong, X.; Zhang, W.; Qi, H.; Jiang, Y.; Sun, Z.; et al. Straw Return and Nitrogen Fertilizer Application Regulate the Efficient Use of Radiation, Water, Nitrogen and Maize Productivity in Northeast China. Agric. Water Manag. 2024, 301, 108973. [Google Scholar] [CrossRef]
- Cai, Z.; Xing, G.; Yan, X.; Xu, H.; Tsuruta, H.; Yagi, K.; Minami, K. Methane and Nitrous Oxide Emissions from Rice Paddy Fields as Affected by Nitrogen Fertilisers and Water Management. Plant Soil 1997, 196, 7–14. [Google Scholar] [CrossRef]
- Soussana, J.F.; Allard, V.; Pilegaard, K.; Ambus, P.; Amman, C.; Campbell, C.; Ceschia, E.; Clifton-Brown, J.; Czobel, S.; Domingues, R.; et al. Full Accounting of the Greenhouse Gas (CO2, N2O, CH4) Budget of Nine European Grassland Sites. Agric. Ecosyst. Environ. 2007, 121, 121–134. [Google Scholar] [CrossRef]
- Lou, Y.; Xu, M.; Chen, X.; He, X.; Zhao, K. Stratification of Soil Organic C, N and C: N Ratio as Affected by Conservation Tillage in Two Maize Fields of China. Catena 2012, 95, 124–130. [Google Scholar] [CrossRef]
- Huang, C.; Chen, Y.; Jin, L.; Yang, B. Properties of Biochars Derived from Different Straw at 500 °C Pyrolytic Temperature: Implications for Their Use to Improving Acidic Soil Water Retention. Agric. Water Manag. 2024, 301, 108953. [Google Scholar] [CrossRef]
- Zhang, J.; Amonette, J.E.; Flury, M. Effect of Biochar and Biochar Particle Size on Plant-Available Water of Sand, Silt Loam, and Clay Soil. Soil Tillage Res. 2021, 212, 104992. [Google Scholar] [CrossRef]
- de Sousa Lima, J.R.; de Moraes Silva, W.; de Medeiros, E.V.; Duda, G.P.; Corrêa, M.M.; Martins Filho, A.P.; Clermont-Dauphin, C.; Antonino, A.C.D.; Hammecker, C. Effect of Biochar on Physicochemical Properties of a Sandy Soil and Maize Growth in a Greenhouse Experiment. Geoderma 2018, 319, 14–23. [Google Scholar] [CrossRef]
- Adhikari, S.; Timms, W.; Mahmud, M.A.P. Optimising Water Holding Capacity and Hydrophobicity of Biochar for Soil Amendment—A Review. Sci. Total Environ. 2022, 851, 158043. [Google Scholar] [CrossRef]
- Sarma, H.; Shyam, S.; Zhang, M.; Guerriero, G. Nano-Biochar Interactions with Contaminants in the Rhizosphere and Their Implications for Plant-Soil Dynamics. Soil Environ. Health 2024, 2, 100095. [Google Scholar] [CrossRef]
- Xia, F.; Zhang, Z.; Zhang, Q.; Huang, H.; Zhao, X. Life Cycle Assessment of Greenhouse Gas Emissions for Various Feedstocks-Based Biochars as Soil Amendment. Sci. Total Environ. 2024, 911, 168734. [Google Scholar] [CrossRef] [PubMed]
- Nelson, D.W.; Sommers, L.E. Total Carbon, Organic Carbon, and Organic Matter. In Methods of Soil Analysis; John Wiley & Sons, Ltd.: Hoboken, NJ, USA, 1996; pp. 961–1010. ISBN 978-0-89118-866-7. [Google Scholar]
- Yang, W.; Feng, G.; Miles, D.; Gao, L.; Jia, Y.; Li, C.; Qu, Z. Impact of Biochar on Greenhouse Gas Emissions and Soil Carbon Sequestration in Corn Grown under Drip Irrigation with Mulching. Sci. Total Environ. 2020, 729, 138752. [Google Scholar] [CrossRef] [PubMed]
- Purakayastha, T.J.; Bhaduri, D.; Singh, P. Role of Biochar on Greenhouse Gas Emissions and Carbon Sequestration in Soil: Opportunities for Mitigating Climate Change. In Soil Science: Fundamentals to Recent Advances; Rakshit, A., Singh, S.K., Abhilash, P.C., Biswas, A., Eds.; Springer: Singapore, 2021; pp. 237–260. ISBN 9789811609169. [Google Scholar]
- Liu, R.; Hu, Y.; Zhan, X.; Zhong, J.; Zhao, P.; Feng, H.; Dong, Q.; Siddique, K.H.M. The Response of Crop Yield, Carbon Sequestration, and Global Warming Potential to Straw and Biochar Applications: A Meta-Analysis. Sci. Total Environ. 2024, 907, 167884. [Google Scholar] [CrossRef]
- Zhang, K.; Liang, X.; Zhang, Y.; Liu, X.; Cao, Q.; Zhu, Y.; Cao, W.; Chen, D.; Tian, Y. Unveiling the Environmental and Socioeconomic Benefits of Precision Nitrogen Management for Paddy Fields in Subtropical China. Eur. J. Agron. 2023, 142, 126663. [Google Scholar] [CrossRef]
- Genesio, L.; Miglietta, F.; Lugato, E.; Baronti, S.; Pieri, M.; Vaccari, F.P. Surface Albedo Following Biochar Application in Durum Wheat. Environ. Res. Lett. 2012, 7, 014025. [Google Scholar] [CrossRef]
- Liang, J.; Li, Y.; Si, B.; Wang, Y.; Chen, X.; Wang, X.; Chen, H.; Wang, H.; Zhang, F.; Bai, Y.; et al. Optimizing Biochar Application to Improve Soil Physical and Hydraulic Properties in Saline-Alkali Soils. Sci. Total Environ. 2021, 771, 144802. [Google Scholar] [CrossRef]
- Abhishek, K.; Shrivastava, A.; Vimal, V.; Gupta, A.K.; Bhujbal, S.K.; Biswas, J.K.; Singh, L.; Ghosh, P.; Pandey, A.; Sharma, P.; et al. Biochar Application for Greenhouse Gas Mitigation, Contaminants Immobilization and Soil Fertility Enhancement: A State-of-the-Art Review. Sci. Total Environ. 2022, 853, 158562. [Google Scholar] [CrossRef]
- Oral, B.; Coşgun, A.; Günay, M.E.; Yıldırım, R. Machine Learning-Based Exploration of Biochar for Environmental Management and Remediation. J. Environ. Manag. 2024, 360, 121162. [Google Scholar] [CrossRef]
- El-Naggar, A.; Lee, S.S.; Awad, Y.M.; Yang, X.; Ryu, C.; Rizwan, M.; Rinklebe, J.; Tsang, D.C.W.; Ok, Y.S. Influence of Soil Properties and Feedstocks on Biochar Potential for Carbon Mineralization and Improvement of Infertile Soils. Geoderma 2018, 332, 100–108. [Google Scholar] [CrossRef]
- Hou, J.; Wan, H.; Liang, K.; Cui, B.; Ma, Y.; Chen, Y.; Liu, J.; Wang, Y.; Liu, X.; Zhang, J.; et al. Biochar Amendment Combined with Partial Root-Zone Drying Irrigation Alleviates Salinity Stress and Improves Root Morphology and Water Use Efficiency in Cotton Plant. Sci. Total Environ. 2023, 904, 166978. [Google Scholar] [CrossRef] [PubMed]
- Graber, E.R.; Meller Harel, Y.; Kolton, M.; Cytryn, E.; Silber, A.; Rav David, D.; Tsechansky, L.; Borenshtein, M.; Elad, Y. Biochar Impact on Development and Productivity of Pepper and Tomato Grown in Fertigated Soilless Media. Plant Soil 2010, 337, 481–496. [Google Scholar] [CrossRef]
- Xie, Z.; Xu, Y.; Liu, G.; Liu, Q.; Zhu, J.; Tu, C.; Amonette, J.E.; Cadisch, G.; Yong, J.W.H.; Hu, S. Impact of Biochar Application on Nitrogen Nutrition of Rice, Greenhouse-Gas Emissions and Soil Organic Carbon Dynamics in Two Paddy Soils of China. Plant Soil 2013, 370, 527–540. [Google Scholar] [CrossRef]
- Maucieri, C.; Zhang, Y.; McDaniel, M.D.; Borin, M.; Adams, M.A. Short-Term Effects of Biochar and Salinity on Soil Greenhouse Gas Emissions from a Semi-Arid Australian Soil after Re-Wetting. Geoderma 2017, 307, 267–276. [Google Scholar] [CrossRef]
- Ameloot, N.; De Neve, S.; Jegajeevagan, K.; Yildiz, G.; Buchan, D.; Funkuin, Y.N.; Prins, W.; Bouckaert, L.; Sleutel, S. Short-Term CO2 and N2O Emissions and Microbial Properties of Biochar Amended Sandy Loam Soils. Soil Biol. Biochem. 2013, 57, 401–410. [Google Scholar] [CrossRef]
- Muro, J.; Linstädter, A.; Magdon, P.; Wöllauer, S.; Männer, F.A.; Schwarz, L.-M.; Ghazaryan, G.; Schultz, J.; Malenovský, Z.; Dubovyk, O. Predicting Plant Biomass and Species Richness in Temperate Grasslands across Regions, Time, and Land Management with Remote Sensing and Deep Learning. Remote Sens. Environ. 2022, 282, 113262. [Google Scholar] [CrossRef]
- Zhang, P.; Li, L.; Fu, Q.; Zhang, Z.; Li, H.; Zhao, L.; Liu, W.; Wang, Y.; Li, M.; Yang, A. Sustainable Management of Water, Nitrogen and Biochar Resources for Soybean Growth Considering Economic, Environmental and Resource Use Efficiency Aspects: An Integrated Modeling Approach. J. Clean. Prod. 2023, 428, 139236. [Google Scholar] [CrossRef]
- Keshavarz Afshar, R.; Cabot, P.; Ippolito, J.A.; Dekamin, M.; Reed, B.; Doyle, H.; Fry, J. Corn Productivity and Soil Characteristic Alterations Following Transition from Conventional to Conservation Tillage. Soil Tillage Res. 2022, 220, 105351. [Google Scholar] [CrossRef]
- Yang, W.; Feng, G.; Jia, Y.; Yang, Y.; Gao, X.; Gao, L.; Qu, Z. Impact of Single Biochar Application on Maize Growth and Water-Fertilizer Productivity under Different Irrigation Regimes. Front. Plant Sci. 2022, 13, 1006827. [Google Scholar] [CrossRef]
- Aquije, C.; Schmidt, H.-P.; Draper, K.; Joseph, S.; Ladd, B. Low Tech Biochar Production Could Be a Highly Effective Nature-Based Solution for Climate Change Mitigation in the Developing World. Plant Soil 2022, 479, 77–83. [Google Scholar] [CrossRef]
- Chen, J.; Chen, D.; Xu, Q.; Fuhrmann, J.J.; Li, L.; Pan, G.; Li, Y.; Qin, H.; Liang, C.; Sun, X. Organic Carbon Quality, Composition of Main Microbial Groups, Enzyme Activities, and Temperature Sensitivity of Soil Respiration of an Acid Paddy Soil Treated with Biochar. Biol. Fertil. Soils 2019, 55, 185–197. [Google Scholar] [CrossRef]







| Unit | Sandy Loam | Biochar | |
|---|---|---|---|
| Bulk density | (g cm−3) | 1.39 | 0.59 |
| pH | / | 8.5 | 9.1 |
| EC | (μS cm−1) | 318.5 | NA |
| Organic carbon | (g kg−1) | 14.47 | 925.74 |
| Alkali-hydrolysable N | (mg kg−1) | 14.47 | 159.15 |
| Available Phosphorus | (mg kg−1) | 5.3 | 394.18 |
| Available Potassium | (mg kg−1) | 184 | 783.98 |
| C mass fraction | (g kg−1) | NA | 47.17 |
| N mass fraction | (g kg−1) | NA | 0.71 |
| H mass fraction | (g kg−1) | NA | 3.83 |
| C/N | % | NA | 67.03 |
| Phosphorus (kg ha−1) | Potassium (kg ha−1) | Nitrogen (kg ha−1) | |||||||
|---|---|---|---|---|---|---|---|---|---|
| Prior to Seeding | Prior to Seeding | Prior to Seeding | Late-June | Mid-July | Late-July | Mid-August | Late-August | Total | |
| CK | 192 | 19 | 164 | 35 | 35 | 35 | 35 | 35 | 339 |
| B15 | 192 | 19 | 164 | 35 | 35 | 35 | 35 | 35 | 339 |
| B30 | 192 | 19 | 164 | 35 | 35 | 35 | 35 | 35 | 339 |
| B45 | 192 | 19 | 164 | 35 | 35 | 35 | 35 | 35 | 339 |
| Year | Treatment | Irrigation Amount (mm) | Precipitation (mm) | Recharge of Groundwater (mm) | Soil Water Storage (mm) | ETa (mm) |
|---|---|---|---|---|---|---|
| 2015 | CK | 369.6 | 73.4 | 74.4 | 84.1 c | 601.5 c |
| B15 | 369.6 | 73.4 | 74.4 | 85.9 b | 603.3 b | |
| B30 | 369.6 | 73.4 | 74.4 | 87.6 a | 605.0 a | |
| B45 | 369.6 | 73.4 | 74.4 | 85.9 b | 603.3 b | |
| 2016 | CK | 278.1 | 119.1 | 34.6 | 61.0 c | 492.8 c |
| B15 | 278.1 | 119.1 | 34.6 | 73.7 a | 505.5 a | |
| B30 | 278.1 | 119.1 | 34.6 | 69.2 a | 501.0 b | |
| B45 | 278.1 | 119.1 | 34.6 | 70.1 b | 501.9 b |
| Year | Treatment | PC1 | PC2 | PC3 | The Composite Score |
|---|---|---|---|---|---|
| 2015 | CK | −1.87 | −0.08 | 0.15 | −0.76 |
| B15 | −0.33 | −0.92 | −1.65 | −0.73 | |
| B30 | −0.23 | −1.03 | −0.92 | −0.60 | |
| B45 | −0.91 | −2.02 | 1.47 | −0.81 | |
| 2016 | CK | −1.35 | 2.39 | 0.65 | 0.38 |
| B15 | 0.28 | 0.97 | −0.13 | 0.43 | |
| B30 | 1.55 | 1.20 | −0.41 | 0.97 | |
| B45 | 2.87 | −0.50 | 0.84 | 1.13 |
Disclaimer/Publisher’s Note: The statements, opinions and data contained in all publications are solely those of the individual author(s) and contributor(s) and not of MDPI and/or the editor(s). MDPI and/or the editor(s) disclaim responsibility for any injury to people or property resulting from any ideas, methods, instructions or products referred to in the content. |
© 2024 by the authors. Licensee MDPI, Basel, Switzerland. This article is an open access article distributed under the terms and conditions of the Creative Commons Attribution (CC BY) license (https://creativecommons.org/licenses/by/4.0/).
Share and Cite
Jia, Y.; Xu, Z.; Zhang, D.; Yang, W.; Ding, Y.; Li, C.; Gao, L.; Siddique, K.H.M.; Qu, Z. Effects of a Single Biochar Application on Soil Carbon Storage and Water and Fertilizer Productivity of Drip-Irrigated, Film-Mulched Maize Production. Agronomy 2024, 14, 2028. https://doi.org/10.3390/agronomy14092028
Jia Y, Xu Z, Zhang D, Yang W, Ding Y, Li C, Gao L, Siddique KHM, Qu Z. Effects of a Single Biochar Application on Soil Carbon Storage and Water and Fertilizer Productivity of Drip-Irrigated, Film-Mulched Maize Production. Agronomy. 2024; 14(9):2028. https://doi.org/10.3390/agronomy14092028
Chicago/Turabian StyleJia, Yonglin, Zhe Xu, Dongliang Zhang, Wei Yang, Yanhong Ding, Changjian Li, Lihua Gao, Kadambot H. M. Siddique, and Zhongyi Qu. 2024. "Effects of a Single Biochar Application on Soil Carbon Storage and Water and Fertilizer Productivity of Drip-Irrigated, Film-Mulched Maize Production" Agronomy 14, no. 9: 2028. https://doi.org/10.3390/agronomy14092028
APA StyleJia, Y., Xu, Z., Zhang, D., Yang, W., Ding, Y., Li, C., Gao, L., Siddique, K. H. M., & Qu, Z. (2024). Effects of a Single Biochar Application on Soil Carbon Storage and Water and Fertilizer Productivity of Drip-Irrigated, Film-Mulched Maize Production. Agronomy, 14(9), 2028. https://doi.org/10.3390/agronomy14092028

