Transcriptomic Analysis of Maize Inbred Lines with Different Leaf Shapes Reveals Candidate Genes and Pathways Involved in Density Tolerance
Abstract
1. Introduction
2. Materials and Methods
2.1. Plant Materials and Trait Survey
2.2. RNA Library Construction and Sequencing
2.3. Identification and Functional Annotation of DEGs
2.4. Gene Network Construction and Screening of Hub Genes
2.5. Quantitative RT-PCR Analysis
3. Results
3.1. Results of Leaf and Stalk Trait Analysis
3.2. Identification of DEGs in Leaves and Stalks between NL409 and WB665
3.3. GO Functional Enrichment Analysis and KEGG Pathway Enrichment Analysis of DEGs
3.4. Weighted Gene Co-Expression Network Analysis
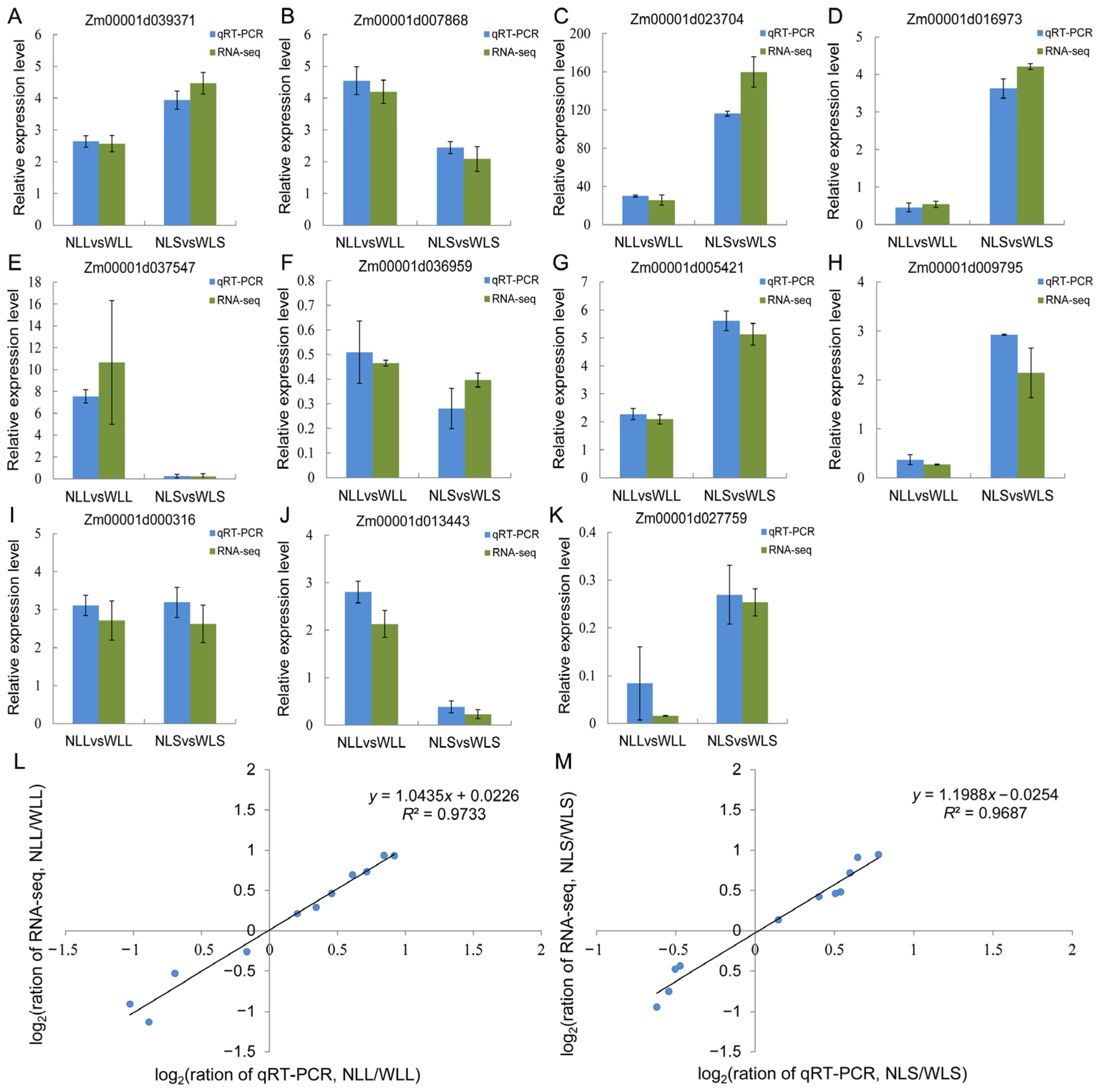
3.5. Validation of Differentially Expressed Genes by qRT-PCR
4. Discussion
4.1. Excellent Density Tolerance Contributes to High Maize Yields
4.2. Regulatory Pathways Affecting Leaf and Stalk Development and Formation
4.3. Important Functional Genes Related to Density Tolerance
5. Conclusions
Supplementary Materials
Author Contributions
Funding
Data Availability Statement
Conflicts of Interest
References
- Liu, G.Z.; Yang, H.S.; Xie, R.Z.; Yang, Y.S.; Liu, W.M.; Guo, X.X.; Xue, J.; Ming, B.; Wang, K.R.; Hou, P.; et al. Genetic gains in maize yield and related traits for high-yielding cultivars released during 1980s to 2010s in China. Field Crops Res. 2021, 270, 108223. [Google Scholar] [CrossRef]
- Xue, J.; Xie, R.Z.; Zhang, W.F.; Wang, K.R.; Hou, P.; Ming, B.; Gou, L.; Li, S.K. Research progress on reduced lodging of high-yield and-density maize. J. Integr. Agric. 2017, 16, 2717–2725. [Google Scholar] [CrossRef]
- Gou, L.; Huang, J.J.; Zhang, B.; Li, T.; Sun, R.; Zhao, M. Effects of population density on stalk lodging resistant mechanism and agronomic characteristics of Maize. Acta Agron. Sin. 2007, 33, 1688–1695. (In Chinese) [Google Scholar]
- Xue, J.; Gou, L.; Shi, Z.G.; Zhao, Y.S.; Zhang, W.F. Effect of leaf removal on photosynthetically active radiation distribution in maize canopy and stalk strength. J. Integr. Agric. 2017, 16, 85–96. [Google Scholar] [CrossRef]
- Baird, A.S.; Taylor, S.H.; Pasquet-Kok, J.; Vuong, C.; Zhang, Y.; Watcharamongkol, T.; Scoffoni, C.; Edwards, E.J.; Christin, P.A.; Osborne, C.P.; et al. Developmental and biophysical determinants of grass leaf size worldwide. Nature 2021, 592, 242–247. [Google Scholar] [CrossRef] [PubMed]
- Pan, L.; George-Jaeggli, B.; Borrell, A.; Jordan, D.; Koller, F.; Al-Salman, Y.; Ghannoum, O.; Cano, F.J. Coordination of stomata and vein patterns with leaf width underpins water-use efficiency in a C4 crop. Plant Cell Environ. 2021, 45, 1612–1630. [Google Scholar] [CrossRef] [PubMed]
- Evans, J.R.; Kaldenhoff, R.; Genty, B.; Terashima, I. Resistances along the CO2 diffusion pathway inside leaves. J. Exp. Bot. 2009, 60, 2235–2248. [Google Scholar] [CrossRef] [PubMed]
- Zhi, X.Y.; Hammer, G.; Borrell, A.; Tao, Y.F.; Wu, A.; Hunt, C.; Mace, E.; George-Jaeggli, B. Genetic basis of sorghum leaf width and its potential as a surrogate for transpiration efficiency. Theor. Appl. Genet. 2022, 135, 3057–3071. [Google Scholar] [CrossRef] [PubMed]
- Qi, J.; Qian, Q.; Bu, Q.Y.; Li, S.Y.; Chen, Q.; Sun, J.Q.; Liang, W.X.; Zhou, Y.H.; Chou, C.C.; Li, X.G.; et al. Mutation of the rice Narrow leaf1 gene, which encodes a novel protein, affects vein patterning and polar auxin transport. Plant Physiol. 2008, 147, 1947–1959. [Google Scholar] [CrossRef] [PubMed]
- Li, M.; Xiong, G.; Li, R.; Cui, J.; Tang, D.; Zhang, B.; Zhou, Y. Rice cellulose synthase-like D4 is essential for normal cell-wall biosynthesis and plant growth. Plant J. 2009, 60, 1055–1069. [Google Scholar] [CrossRef] [PubMed]
- Li, W.; Yang, Z.X.; Yao, J.Y.; Li, J.S.; Song, W.B.; Yang, X.H. Cellulose synthase-like D1 controls organ size in maize. BMC Plant Biol. 2018, 18, 239. [Google Scholar] [CrossRef]
- Jiang, F.; Guo, M.; Yang, F.; Duncan, K.; Jackson, D.; Rafalski, A.; Wang, S.C.; Li, B.L. Mutations in an AP2 Transcription Factor-Like Gene Affect Internode Length and Leaf Shape in Maize. PLoS ONE 2012, 7, e37040. [Google Scholar] [CrossRef] [PubMed]
- Phillips, K.A.; Skirpan, A.L.; Liu, X.; Christensen, A.; Slewinsk, T.L.; Hudson, C.; Barazesh, S.; Cohen, J.D.; Malcomber, S.; McSteen, P. vanishing tassel2 encodes a grass-specific tryptophan aminotransferase required for vegetative and reproductive development in maize. Plant Cell 2011, 23, 550–566. [Google Scholar] [CrossRef] [PubMed]
- Multani, D.S.; Briggs, S.P.; Chamberlin, M.A.; Murphy, A.S.; Jogal, A.G.S. Loss of an MDR transporter in compact stalks of maize br2 and sorghum dw3 mutants. Science 2003, 302, 81–84. [Google Scholar] [CrossRef] [PubMed]
- Carraro, N.; Forestan, C.; Canova, S.; Traas, J.; Varotto, S. ZmPIN1a and ZmPIN1b encode two novel putative candidates for polar auxin transport and plant architecture determination of maize. Plant Physiol. 2006, 142, 254–264. [Google Scholar] [CrossRef] [PubMed]
- Li, Z.X.; Zhang, X.R.; Zhao, Y.J.; Li, Y.J.; Zhang, G.F.; Peng, Z.H.; Zhang, J.R. Enhancing auxin accumulation in maize root tips improves root growth and dwarfs plant height. Plant Biotechnol. J. 2018, 16, 86–99. [Google Scholar] [CrossRef]
- He, L.; Zhang, S.; Qiu, Z.N.; Zhao, J.; Nie, W.D.; Lin, H.Y.; Zhu, Z.G.; Zeng, D.L.; Qian, Q.; Zhu, L. FRUCTOKINASE-LIKE PROTEIN 1 interacts with TRXz to regulate chloroplast development in rice. J. Integr. Plant Biol. 2018, 60, 94–111. [Google Scholar] [CrossRef]
- Lv, Y.S.; Shao, G.N.; Qiu, J.H.; Jiao, G.A.; Sheng, Z.H.; Xie, L.H.; Wu, Y.W.; Tang, S.Q.; Wei, X.J.; Hu, P.S. White Leaf and Panicle 2, encoding a PEP-associated protein, is required for chloroplast biogenesis under heat stress in rice. J. Exp. Bot. 2017, 68, 5147–5160. [Google Scholar] [CrossRef] [PubMed]
- Bae, K.D.; Um, T.Y.; Yang, W.T.; Parkc, T.H.; Hong, S.Y.; Kim, K.M. Characterization of dwarf and narrow leaf (dnl-4) mutant in rice. Plant Signal. Behav. 2021, 16, 1849490. [Google Scholar] [CrossRef] [PubMed]
- Han, L.L.; Jiang, C.G.; Zhang, W.; Wang, H.W.; Li, K.; Liu, X.G.; Liu, Z.F.; Wu, Y.J.; Huang, C.L.; Hu, X.J. Morphological Characterization and Transcriptome Analysis of New Dwarf and Narrow-Leaf (dnl2) Mutant in Maize. Int. J. Mol. Sci. 2022, 23, 795. [Google Scholar] [CrossRef]
- Wang, X.; Zhang, R.Y.; Shi, Z.; Zhang, Y.; Sun, X.; Ji, Y.L.; Zhao, Y.X.; Wang, J.D.; Zhang, Y.X.; Xing, J.F.; et al. Multi-omics analysis of the development and fracture resistance for maize internode. Sci. Rep. 2019, 9, 8183. [Google Scholar] [CrossRef] [PubMed]
- Romsdahl, T.B.; Cocuron, J.C.; Pearson, M.J.; Alonso, A.P.; Chapman, K.D. A lipidomics platform to analyze the fatty acid compositions of non-polar and polar lipid molecular species from plant tissues: Examples from developing seeds and seedlings of pennycress (Thlaspi arvense). Front. Plant Sci. 2022, 13, 1038161. [Google Scholar] [CrossRef] [PubMed]
- Zheng, S.; Su, M.; Shi, Z.F.; Gao, H.X.; Ma, C.; Zhu, S.; Zhang, L.; Wu, G.F.; Wang, J.; Zhang, J.P.; et al. Exogenous sucrose influences KEA1 and KEA2 to regulate abscisic acid-mediated primary root growth in Arabidopsis. Plant Sci. 2022, 317, 111209. [Google Scholar] [CrossRef] [PubMed]
- Brown, J.; Pirrung, M.; McCue, L.A. FQC Dashboard: Integrates FastQC results into a web-based, interactive, and extensible FASTQ quality control tool. Bioinformatics 2017, 33, 3137–3139. [Google Scholar] [CrossRef] [PubMed]
- Jiao, Y.; Peluso, P.; Shi, J.; Liang, T.; Stitzer, M.C.; Wang, B.; Campbell, M.S.; Stein, J.C.; Wei, X.; Chin, C.-S.; et al. Improved maize reference genome with single-molecule technologies. Nature 2017, 546, 524–527. [Google Scholar] [CrossRef] [PubMed]
- Kim, D.; Langmead, B.; Salzberg, S. HISAT: A fast spliced aligner with low memory requirements. Nat. Methods 2015, 12, 357–360. [Google Scholar] [CrossRef] [PubMed]
- Trapnell, C.; Williams, B.A.; Pertea, G.; Mortazavi, A.; Kwan, G.; Baren, M.J.; Woid, B.J.; Pachter, L. Transcript assembly and quantification by RNA-Seq reveals unannotated transcripts and isoform switching during cell differentiation. Nat. Biotechnol. 2010, 28, 511–515. [Google Scholar] [CrossRef] [PubMed]
- Love, M.; Huber, W.; Anders, S. Moderated estimation of fold change and dispersion for RNA-seq data with DESeq2. Genome Biol. 2014, 15, 550. [Google Scholar] [CrossRef] [PubMed]
- Yu, G.; Wang, L.; Han, Y.; He, Q. clusterProfiler: An R package for comparing biological themes among gene clusters. Omics-J. Integr. Biol. 2012, 16, 284–287. [Google Scholar] [CrossRef]
- Langfelder, P.; Horvath, S. WGCNA: An R package for weighted correlation network analysis. BMC Plant Biol. 2008, 9, 559. [Google Scholar] [CrossRef] [PubMed]
- Wang, X.T.; Wu, L.J.; Zhang, S.F.; Wu, L.C.; Ku, L.X.; Wei, X.M.; Chen, Y.H. Robust expression and association of ZmCCA1 with circadian rhythms in maize. Plant Cell Rep. 2011, 30, 1261–1272. [Google Scholar] [CrossRef] [PubMed]
- Livak, K.J.; Schmittgen, T.D. Analysis of relative gene expression data using real-time quantitative PCR and the 2−ΔΔCT method. Methods 2001, 25, 402–408. [Google Scholar] [CrossRef]
- Zhao, Y.T.; Zhang, S.; Lv, Y.J.; Ning, F.F.; Cao, Y.B.; Liao, S.H.; Wang, P.; Huang, S.B. Optimizing ear-plant height ratio to improve kernel number and lodging resistance in maize (Zea mays L.). Field Crops Res. 2022, 276, 108376. [Google Scholar] [CrossRef]
- Zhang, Z.H.; Zhang, X.; Lin, Z.L.; Wang, J.; Liu, H.Q.; Zhou, L.N.; Zhong, S.Y.; Li, Y.; Zhu, C.; Lai, J.S.; et al. A large transposon insertion in the stiff1 promoter increases stalk strength in maize. Plant Cell. 2020, 32, 152–165. [Google Scholar] [CrossRef]
- Manga-Robles, A.; Santiago, R.; Malvar, R.A.; Moreno-González, V.; Fornalé, S.; López, I.; Encina, A.; García-Angulo, P. Elucidating compositional factors of maize cell walls contributing to stalk strength and lodging resistance. Plant Sci. 2021, 307, 110882. [Google Scholar] [CrossRef] [PubMed]
- Zhang, X.H.; Liu, H.; Zhou, G.Y.; Ruan, H.Q.; Cui, H.W.; Pang, J.L.; Khan, U.S.; Zong, N.; Wang, R.Z.; Leng, P.F.; et al. Genome-wide association study and metabolic pathway prediction of barrenness in maize as a response to high planting density. J. Integr. Agric. 2022, 21, 3514–3523. [Google Scholar] [CrossRef]
- Dohmann, E.M.N.; Nill, C.; Schwechheimer, C. DELLA proteins restrain germination and elongation growth in Arabidopsis thaliana COP9 signalosome mutants. Eur. J. Cell Biol. 2010, 89, 163–168. [Google Scholar] [CrossRef] [PubMed]
- Li, P.H.; Ponnala, L.; Gandotra, N.; Wang, L.; Si, Y.Q.; Tausta, S.L.; Kebrom, T.H.; Provart, N.; Patel, R.; Myers, C.R.; et al. The developmental dynamics of the maize leaf transcriptome. Nat. Genet. 2010, 42, 1060–1067. [Google Scholar] [CrossRef]
- Wang, S.L.; Zhang, F.; Jiang, P.F.; Zhang, H.; Zhang, H.; Cheng, R.H.; Xu, Z.T.; Ikram, A.U.; Li, E.Z.; Xu, Z.S.; et al. SDG128 is involved in maize leaf inclination. Plant J. 2021, 108, 1597–1608. [Google Scholar] [CrossRef] [PubMed]
- Ren, Z.B.; Liu, Y.R.; Li, L.; Wang, X.; Zhou, Y.Y.; Zhang, M.C.; Li, Z.H.; Yi, F.; Duan, L.S. Deciphering transcriptional mechanisms of maize internodal elongation by regulatory network analysis. J. Exp. Bot. 2023, 74, 4503–4519. [Google Scholar] [CrossRef] [PubMed]
- Nicolas, M.; Cubas, P. The Role of TCP Transcription Factors in Shaping Flower Structure, Leaf Morphology, and Plant Architecture. In Plant Transcription Factors; Academic Press: Cambridge, MA, USA, 2016; pp. 249–267. [Google Scholar]
- Guo, Z.X.; Fujioka, S.; Blancaflor, E.B.; Miao, S.; Gou, X.P.; Li, J. TCP1 modulates brassinosteroid biosynthesis by regulating the expression of the key biosynthetic gene DWARF4 in Arabidopsis thaliana. Plant Cell 2010, 22, 1161–1173. [Google Scholar] [CrossRef] [PubMed]
- Nicolas, M.; Cubas, P. TCP factors: New kids on the signaling block. Curr. Opin. Plant Biol. 2016, 33, 33–41. [Google Scholar] [CrossRef]
- Schruff, M.C.; Spielman, M.; Tiwari, S.; Adams, S.; Fenby, N.; Scott, R.J. The AUXIN RESPONSE FACTOR 2 gene of Arabidopsis links auxin signalling, cell division, and the size of seeds and other organs. Development 2006, 133, 251–261. [Google Scholar] [CrossRef] [PubMed]
- Cancé, C.; Martin-Arevalillo, R.; Boubekeur, K.; Dumas, R. Auxin response factors are keys to the many auxin doors. New Phytol. 2022, 235, 402–419. [Google Scholar] [CrossRef]
- Jiao, S.P.; Hazebroek, J.P.; Chamberlin, M.A.; Perkins, M.; Sandhu, A.S.; Gupta, R.; Simcox, K.D.; Li, Y.H.; Prall, A.; Heetland, L.; et al. Chitinase-like Plays a Role in Stalk Tensile Strength in Maize. Plant Physiol. 2019, 181, 1127–1147. [Google Scholar] [CrossRef] [PubMed]
- Xie, Y.L.; Wen, D.; Wu, C.L.; Zhang, C.Q. Transcriptome analysis reveals the mechanism of internode development affecting maize stalk strength. BMC Plant Biol. 2022, 22, 49. [Google Scholar] [CrossRef]
- Nelissen, H.; Rymen, B.; Jikumaru, Y.; Demuynck, K.; Lijsebettens, M.V.; Kamiya, Y.; Inzé, D.; Beemster, G.T.S. A local maximum in gibberellin levels regulates maize leaf growth by spatial control of cell division. Curr. Biol. 2012, 22, 1183–1187. [Google Scholar] [CrossRef] [PubMed]
- Shi, Q.B.; Kong, F.; Zhang, H.S.; Jiang, Y.; Heng, S.Q.; Liang, R.; Liu, J.H.; Lu, X.D.; Li, P.H.; Li, G. Molecular mechanisms governing shade responses in maize. Biochem. Biophys. Res. Commun. 2019, 516, 112–119. [Google Scholar] [CrossRef]
- Le, L.; Guo, W.; Du, D.; Zhang, X.; Wang, W.; Yu, J.; Pu, L. A spatiotemporal transcriptomic network dynamically modulates stalk development in maize. Plant Biotechnol. J. 2022, 20, 2313–2331. [Google Scholar] [CrossRef]
- Ren, Z.Z.; Wu, L.C.; Ku, L.X.; Wang, H.T.; Zeng, H.; Su, H.H.; Zhang, D.L.; Han, S.B.; Chen, Y.H. ZmILI1 regulates leaf angle by directly affecting liguleless1 expression in maize. Plant Biotechnol. J. 2020, 18, 881–883. [Google Scholar] [CrossRef]
- Liu, X.G.; Hu, X.J.; Li, K.; Liu, Z.F.; Wu, Y.J.; Wang, H.W.; Huang, C.L. Genetic mapping and genomic selection for maize stalk strength. BMC Plant Biol. 2020, 20, 196. [Google Scholar] [CrossRef] [PubMed]
- Ding, L.; Milhiet, T.; Couvreur, V.; Nelissen, H.; Meziane, A.; Parent, B.; Aesaert, S.; Lijsebettens, M.V.; Inzé, D.; Tardieu, F.; et al. Modification of the expression of the aquaporin ZmPIP2; 5 affects water relations and plant growth. Plant Physiol. 2020, 182, 2154–2165. [Google Scholar] [CrossRef] [PubMed]
- Tu, X.; Mejía-Guerra, M.; Valdes Franco, J.; Tzeng, D.; Chu, P.; Shen, W.; Li, P.H.; Buckler, E.S.; Zhong, S.L. Reconstructing the maize leaf regulatory network using ChIP-seq data of 104 transcription factors. Nat. Commun. 2020, 11, 5089. [Google Scholar] [CrossRef] [PubMed]
- Chang, Y.M.; Lin, H.H.; Liu, W.Y.; Li, W.H. Comparative transcriptomics method to infer gene coexpression networks and its applications to maize and rice leaf transcriptomes. Proc. Natl. Acad. Sci. USA 2019, 116, 3091–3099. [Google Scholar] [CrossRef]
- Miao, X.X.; Zhu, W.C.; Jin, Q.X.; Song, Z.Z.; Li, L. ZmHOX32 is related to photosynthesis and likely functions in plant architecture of maize. Front. Plant Sci. 2023, 14, 1119678. [Google Scholar] [CrossRef]
- Chen, H.; Fang, R.Q.; Deng, R.F.; Li, J.X. The OsmiRNA166b-OsHox32 pair regulates mechanical strength of rice plants by modulating cell wall biosynthesis. Plant Biotechnol. J. 2021, 19, 1468–1480. [Google Scholar] [CrossRef] [PubMed]









| Trait | NL409 | WB665 |
|---|---|---|
| leaf width (cm) | 4.08 ± 0.16 A | 7.97 ± 0.36 B |
| leaf length (cm) | 62.07 ± 2.69 A | 51.06 ± 2.73 B |
| Leaf length-to-width ratio | 15.23 ± 0.58 A | 6.41 ± 0.27 B |
| Leaf puncture strength (N/mm2) | 6.33 ± 1.06 A | 7.50 ± 1.54 B |
| IAA (ng/g) | 25.60 ± 0.62 A | 49.61 ± 0.38 B |
| GA (μg/g) | 0.785 ± 0.01 A | 0.814 ± 0.01 B |
| BL (ng/g) | 0.009 ± 0.00 A | 0.022 ± 0.00 B |
| 6DCS (ng/g) | 0.046 ± 0.00 A | 1.379 ± 0.01 B |
| Stalk internode long (cm) | 14.49 ± 2.42 Aa | 12.91 ± 1.90 Ab |
| Stalk internode thickness (cm) | 6.61 ± 0.48 A | 5.83 ± 0.20 B |
| Internode length-to-thickness ratio | 2.21 ± 0.44 a | 2.22 ± 0.35 a |
| Plant height (cm) | 163.85 ± 10.43 A | 126.75 ± 6.91 B |
| Ear height (cm) | 49.50 ± 5.93 A | 55.03 ± 5.83 B |
| Plant height-to-ear position ratio | 0.30 ± 0.04 A | 0.43 ± 0.04 B |
| Stalk puncture strength (N/mm2) | 32.41 ± 4.00 A | 29.63 ± 3.53 B |
| Stalk breaking strength (N/mm2) | 296.35 ± 51.92 A | 218.77 ± 41.92 B |
| Lignin (mg/g) | 123.47 ± 17.54 a | 129.45 ± 17.13 a |
| Cellulose (mg/g) | 564.34 ± 37.32 A | 462.71 ± 40.37 B |
| Hemicellulose (mg/g) | 255.31 ± 21.99 A | 194.7 ± 34.14 B |
| Density | Yield (kg) | Yield Increase Ratio (%) | ||
|---|---|---|---|---|
| NL409 | WB665 | NL409 | WB665 | |
| 82,500 plants hm−2 | 2210.78 ± 5.77 A | 886.28 ± 2.96 B | 0 | 0 |
| 112,500 plants hm−2 | 2595.03 ± 4.68 A | 1022.46 ± 3.01 B | 17.38 | 15.36 |
| 150,000 plants hm−2 | 2804.92 ± 4.81 A | 1003.91 ± 1.85 B | 26.87 | 13.27 |
Disclaimer/Publisher’s Note: The statements, opinions and data contained in all publications are solely those of the individual author(s) and contributor(s) and not of MDPI and/or the editor(s). MDPI and/or the editor(s) disclaim responsibility for any injury to people or property resulting from any ideas, methods, instructions or products referred to in the content. |
© 2024 by the authors. Licensee MDPI, Basel, Switzerland. This article is an open access article distributed under the terms and conditions of the Creative Commons Attribution (CC BY) license (https://creativecommons.org/licenses/by/4.0/).
Share and Cite
Guo, S.; Guo, Y.; Zhang, J.; Song, Y.; Guo, J.; Wei, L.; Zhang, Q.; Wang, Z.; Han, Z.; Cao, L.; et al. Transcriptomic Analysis of Maize Inbred Lines with Different Leaf Shapes Reveals Candidate Genes and Pathways Involved in Density Tolerance. Agronomy 2024, 14, 1506. https://doi.org/10.3390/agronomy14071506
Guo S, Guo Y, Zhang J, Song Y, Guo J, Wei L, Zhang Q, Wang Z, Han Z, Cao L, et al. Transcriptomic Analysis of Maize Inbred Lines with Different Leaf Shapes Reveals Candidate Genes and Pathways Involved in Density Tolerance. Agronomy. 2024; 14(7):1506. https://doi.org/10.3390/agronomy14071506
Chicago/Turabian StyleGuo, Shulei, Yiyang Guo, Jun Zhang, Yinghui Song, Jinsheng Guo, Liangming Wei, Qianjin Zhang, Zhenhua Wang, Zanping Han, Liru Cao, and et al. 2024. "Transcriptomic Analysis of Maize Inbred Lines with Different Leaf Shapes Reveals Candidate Genes and Pathways Involved in Density Tolerance" Agronomy 14, no. 7: 1506. https://doi.org/10.3390/agronomy14071506
APA StyleGuo, S., Guo, Y., Zhang, J., Song, Y., Guo, J., Wei, L., Zhang, Q., Wang, Z., Han, Z., Cao, L., Zhang, X., & Lu, X. (2024). Transcriptomic Analysis of Maize Inbred Lines with Different Leaf Shapes Reveals Candidate Genes and Pathways Involved in Density Tolerance. Agronomy, 14(7), 1506. https://doi.org/10.3390/agronomy14071506

