Next Article in Journal
Transcriptomic Analysis of Maize Inbred Lines with Different Leaf Shapes Reveals Candidate Genes and Pathways Involved in Density Tolerance
Previous Article in Journal
Molecular Marker-Assisted Selection of a New Water-Saving and Drought-Resistant Rice (WDR) Restoration Line, Hanhui 8200, for Enhanced Resistance to Rice Blast
 
 
Font Type:
Arial Georgia Verdana
Font Size:
Aa Aa Aa
Line Spacing:
Column Width:
Background:
Article

Compatibility and Stability Analysis of Haploid Inducers under Different Source Germplasm and Seasons in Maize Using GGE Biplot

by
Abil Dermail
1,
Thomas Lübberstedt
2,
Willy Bayuardi Suwarno
3,
Sompong Chankaew
1,4,
Kamol Lertrat
4,
Vinitchan Ruanjaichon
5 and
Khundej Suriharn
1,4,*
1
Department of Agronomy, Faculty of Agriculture, Khon Kaen University, Khon Kaen 40002, Thailand
2
Department of Agronomy, Iowa State University, Ames, IA 50011, USA
3
Department of Agronomy and Horticulture, Faculty of Agriculture, IPB University, Bogor 16680, Indonesia
4
Plant Breeding Research Center for Sustainable Agriculture, Faculty of Agriculture, Khon Kaen University, Khon Kaen 40002, Thailand
5
National Center for Genetic Engineering and Biotechnology (BIOTEC), 113 Thailand Science Park, Pahonyothin Road, Khlong Nueng, Khlong Luang, Pathum Thani 12120, Thailand
*
Author to whom correspondence should be addressed.
Agronomy 2024, 14(7), 1505; https://doi.org/10.3390/agronomy14071505
Submission received: 23 June 2024 / Revised: 8 July 2024 / Accepted: 9 July 2024 / Published: 11 July 2024
(This article belongs to the Section Crop Breeding and Genetics)

Abstract

Multiple factors can affect the R1-nj purple kernel expression and seed set, reducing its efficiency in identifying haploids in maize. The complex interaction among the haploid inducer (HI), source germplasm (SG), and season (S) is inevitable in in vivo maize haploid induction but could be used through compatibility and stability tests. We tested five HI genotypes on 25 distinct source germplasm in two different seasons of tropical savanna in Thailand. The dry season was more suitable than the rainy season for haploid induction. We noticed varying degrees of R1-nj inhibition among the 25 tropical source germplasm, with some of them exhibiting significant issues with the R1-nj purple kernel expression. Therefore, using the R1-nj alone may not provide accurate ploidy identification in maize. Despite the intense R1-nj expression, haploid inducer BHI306 showed poor stability and compatibility with tropical source germplasm for pollination rate and seed set during the rainy season. The GGE biplot suggested KHI42 and KHI64 as the most compatible haploid inducers under their respective two different mega-source germplasm for the pollination rate and R1-nj seed set. These findings can guide breeders in selecting the most compatible and stable haploid inducers under varying conditions.

1. Introduction

To meet the growing demand for maize hybrid seeds, speed is crucial. Traditional breeding methods for developing inbred lines can take 3–4 years, making the process time-consuming and expensive. However, doubled haploid (DH) technology can create fully homozygous DH lines within a year. This involves haploid induction as the first step in in vivo DH, where haploid progenies are selected and then undergo genome doubling and DH0 self-pollination [1]. For in vivo haploid induction, two genotypes are required: haploid inducers (HI) and source germplasm (SG). HI are specific genotypes that can induce haploids, while SG are donor plants from which potential DH lines on targeted traits will be derived. If the maternal system is chosen, HI acts as the pollen source, while SG serves as the seed parent. The efficiency of haploid induction has been greatly improved, with the haploid induction rate (HIR) increasing from 2.3% to above 15.0% [2]. Multiple alleles responsible for high HIR, such as mtl [3,4,5], zmdmp [6], and zmpld3 [7], have been identified, which may explain this progress. It is possible to further increase the HIR since it is heritable and additively inherited [8,9].
There are many factors that affect the haploid induction rate (HIR) in maize. One important factor is the genetic background of the maternal seed parent, which is also known as inducibility [10]. Different seed parents may produce different HIRs when pollinated with the same HI, ranging from 0.8% to 33.0% [11]. Inducibility may occur when two or more seed parents differ in their local adaptation and elite nature [11], pedigree and heterotic pools [12], generations [13], cultivar types [14], seed shapes [15], and maize types [16]. Environmental conditions, such as seasonal variations, also affect haploid production. For instance, in subtropical Mexico, higher HIRs were observed in winter than in summer [12]. In temperate Iowa, warmer temperatures led to higher HIRs compared to cooler temperatures [11]. In the tropical savanna of Thailand, the dry season was more favorable than the rainy season for haploid induction and haploid inducer maintenance [17]. The rainy season is characterized by high precipitation and humidity, which leads to the onset of major tropical maize diseases and plant lodging, significantly impeding the growth and development of maize. Additionally, the heavy rainfall during the flowering stage reduces pollination efficiency due to low pollen production and a short pollen-shed duration. However, a comprehensive study evaluating the effect of HI genotype, SG genetic background, and their interaction with season on R1-nj purple kernel expression and seed set in tropical maize germplasm is lacking. Understanding these factors is important to optimize the DH process for tropical maize breeding programs.
The R1-nj purple kernel is a common haploid identification system in maize. It regulates kernel anthocyanin biosynthesis in the aleurone of the endosperm and the scutellum of the embryo [18,19]. It has been used in most maize HIs to simplify haploid identification at the kernel stage. However, it only works effectively when crossed with SG lacking natural anthocyanin pigmentation and inhibitor genes for the R1-nj. Unfortunately, partial-to-complete R1-nj suppression has been reported in tropical and flint maize [14,20], subtropical sweet maize [21], and tropical × subtropical waxy maize [22]. Thus, it is important to evaluate the R1-nj seed set and R1-nj purple kernel expression of each SG × HI cross in each season to determine whether inhibitor genes are present in our maize germplasm and to what extent the single R1-nj is reliable for haploid selection in a tropical maize background.
HI × SG × S interaction is inevitably complex in in vivo maize haploid induction. However, this interaction can be utilized through compatibility and stability tests. Several models of stability analysis are available, including the genotype main effects and genotype × environment interaction (GGE) biplot analysis [23]. This analysis allows users to evaluate genotypes with high performance and stability and identify informative and representative test environments [24]. In our case, we modified that concept by assigning genotype HI as tested genotypes and SG and S as testing environments. Our study aims (i) to investigate the main and HI × SG × S interaction effects on the pollination rate, R1-nj seed set, and R1-nj purple kernel expression; (ii) identify the ideal SG within a season for given traits; and (iii) evaluate the stability and compatibility of each HI across diverse SG within S using GGE models. The information obtained in this study would help breeders to optimize maternal haploid induction in tropical maize by understanding the HI × SG × S interaction. Single SG with high discriminating ability will be favorable as donor tester for HI per se evaluation to reduce the workload and increase the genetic gain per cycle.

2. Materials and Methods

2.1. Plant Materials: Haploid Inducers and Source Germplasm

Five maize haploid inducers assigned as pollen parents differed in cultivar types, gene pools, kernel types, R1-nj coverage, and HIR (Table 1). Three tropical inbred inducers, KHI42, KHI54, and KHI64 [25], and one tropical haploid inducer population, K7 [15], were developed by the Plant Breeding Research Center for Sustainable Agriculture of Khon Kaen University in Thailand. Those genotypes had Stock-6 as the founder parent for haploid induction ability. The temperate inbred haploid inducer BHI306 had haploid inducers RWS and RWK-76 as founder parents for haploid induction ability and was developed by the DH Facility of Iowa State University (DHF-ISU) (https://www.doubledhaploid.biotech.iastate.edu/, accessed on 12 March 2024). All those haploid inducers were equipped with dominant biomarker R1-nj expressing anthocyanin of the scutellum and the aleurone of seeds [18] for haploid identification, while BHI306 also carried the Pl1 red-root marker.
Twenty-five tropical source germplasm composed of nine field maize genotypes, eight waxy maize genotypes, and eight sweet maize genotypes were examined, representing existing cultivars and elite breeding materials for tropical maize breeding programs in Thailand. Those genotypes were distinguishable by their genetic backgrounds, maize and cultivar types, and kernel properties (type, size, and color) (Table 2). This study excluded any purple maize genotypes since their natural anthocyanin pigmentation in the seed pericarp will mask the R1-nj expression.
Three field maize inbred lines, Nei9008, Takfa1, Takfa7, and field maize F1 hybrid NS5 were developed by the Nakhon Sawan Research Center, Thailand. Two field maize F1 hybrids, P789 and S7328, were developed by the Pacific Seeds and Syngenta Seeds in Thailand, respectively. Five waxy maize inbred lines, 12C5-4, Tein5-5-5, KKU WX-1, Y.18W-6-4, RLW4, and waxy maize OPV Tein NS were developed by the Plant Breeding Research Center for Sustainable Agriculture of Khon Kaen University in Thailand. Two waxy maize F1 hybrids, CNW18178 and TSG1910, were developed by the Chai Nat Field Crops Research Center and Charoen Pokphand (CP) Seeds in Thailand, respectively. Five sweet maize inbred lines, TSC/H3-1-8, Pop. bt-5, W54/SQ, W54/DEL, Pop. se-6 and sweet maize OPV Wan Dok Khun, were developed by the Plant Breeding Research Center for Sustainable Agriculture of Khon Kaen University in Thailand. Sweet maize F1 hybrid Jumbo Sweet was developed by East-West Seed in Thailand.

2.2. Experimental Design and Haploid Induction

The experiment was conducted in Khon Kaen, Thailand, at the Agronomy Field Crop Station of Khon Kaen University (16°28′27.7″ N, 102°48′36.5″ E; 190 m above sea level), during the rainy season of 2021 and the dry season of 2021/2022. The experiment followed a split-plot design with two replications, with source germplasm assigned to main plots and haploid inducers to subplots. Each main plot consisted of six rows 5 m in length with 75 × 25 plant spacing, representing one-row subplots for test-cross with each haploid inducer and self-pollination. Five haploid inducers were laid out in a randomized complete block design with four replications adjacent to the experiment. The plot size for haploid inducers was 10 rows 5 m in length with 75 × 25 plant spacing.
To account for the variation in silking date among source germplasm, four staggered planting dates with 5–10-day intervals were used according to the number of replications. About ten induction crosses per subplot per replication per season were performed. At the early flowering stage, routine plant checking in the source germplasm plot was carried out by shoot bagging and detasseling to avoid pollen contamination. Crop field management followed the guidelines of the Department of Agriculture of Thailand [27], including fertilization, irrigation, and pest, disease, and weed control.

2.3. Data Collection

Five traits were observed in this study, including the pollination rate (PR), R1-nj seed set (RS), R1-nj intensity of endosperm (IED), R1-nj area marked of endosperm (AED), and R1-nj intensity of embryo (IEM). The pollination rate was observed to determine the ability of each haploid inducer (HI) to pollinate across diverse source germplasm (SG) in the different growing seasons (S). This parameter was determined by comparing the seed set ratio between donor ears that resulted from induction cross with HI and those that were self-pollinated.
The seeds from each donor ear were sorted manually using the R1-nj purple kernels [18], and the R1-nj seed set was further calculated as the ratio of seeds with R1-nj pigmentation of endosperm to the total seeds per ear [9]. The sample size for measuring these parameters was ten ears per plot. The plot was defined as the interaction between season, source germplasm, and haploid inducers (S × SG × I). Ten putative diploid seeds per ear of each plot were randomly selected to visually score three parameters: (i) R1-nj intensity of endosperm (IED) using a rating scale of 1 to 5, where 1 indicated no coloration and 5 indicated intense coloration; (ii) R1-nj area marked of endosperm (AED) using a rating scale of 1 to 5, where 1 indicated no marking and 5 indicated almost full coverage of the entire aleurone layer of the endosperm; and (iii) R1-nj intensity of embryo (IEM) using a rating scale of 1 to 5, where 1 indicated no coloration and 5 indicated intense coloration. All these parameters were measured according to the method described by Dermail et al. [25] and illustrated in Figure 1. Those four traits were observed to investigate the levels of R1-nj purple kernel expression in both the endosperm and embryo positions of the SG kernels after pollination with the HIs. As the SG differed in kernel color, shape, and size, we hypothesized that the degree of R1-nj purple kernel expression would vary.

2.4. Statistical Analysis

The data collected for all observed traits in each season were tested for homogeneity of variance using Bartlett’s test and for normality using the Shapiro–Wilk test. Then, a combined analysis of variance (ANOVA) was performed using a split-plot design in RCBD. All main and interaction factors were considered as fixed effects, except for the replication and the random error term, which were treated as random effects. This analysis was conducted using STAR 2.0.1 software [28].
Yijkl = µ + Si + rj(Si) + Gk + SiGk + Il + SiIl + GkIl + SiGkIl + γijk + εijkl
Here, µ represents the overall mean, Si represents the effect of season i, rj(Si) represents the effect of replication j within season i, Gk represents the effect of source germplasm k, SiGk represents the effect of the interaction between season i and source germplasm k, Il represents the effect of haploid inducer l, SiIl represents the effect of the interaction between season i and haploid inducer l, GkIl represents the interaction between source germplasm k and haploid inducer l, SiGkIl represents the interaction between season i, source germplasm k, and haploid inducer l, γijk represents the effect of experimental error for the main plot containing source germplasm k in replication j in season i, and εijkl represents the effect of experimental error for the subplot containing source germplasm k pollinated with haploid inducer l in replication j in season i.
To evaluate the stability of each HI over SG and S, several methods were used, including the yield and stability index [29], coefficient of variations [30], and regression of genotype mean yield on the environmental index [31]. Those analyses were performed using PBSTAT-GE 3.0.3 software (www.pbstat.com accessed on 4 April 2023). Additionally, GGE biplot analysis [23] was performed to identify the compatibility of each HI with specific SG and S clusters, using GEA-R 4.1 [32] software.

3. Results

3.1. Combined Analysis of Variance

The season had a significant effect on the intensity of embryo for R1-nj (IEM), but not on the other traits observed (Table 3). It implies that the misclassification rates of haploid identification via the R1-nj purple kernels could be inflated in some seasons, as haploids should have colorless embryos. On the other hand, the source germplasm (SG) and the haploid inducer (HI) were significant for all the traits observed. All interaction effects, including S × SG, SG × HI, S × HI, and S × SG × HI, were significant for all the observed traits, indicating that the performance of each HI varied under different SG and S values for the given traits. Therefore, a multivariate analysis is required to better understand the complex nature of this three-way interaction in in vivo haploid induction.
Regarding the relative percentage of the sum of squares of each source variation to the total sum of squares, the HI was the highest for the pollination rate (PR). This means that each SG had a similar potential seed set, but the HI was more likely to have issues, as each HI may have different abilities to pollinate overall SG. In contrast, the SG contributed largely to R1-nj seed set (RS), R1-nj area marked of endosperm (AED), R1-nj intensity of endosperm (IED), and IEM. The predominance effect of the SG over other factors for these traits implies that the testing SG used in in vivo haploid induction was diverse, and each of them not only provided unique expression of R1-nj but also had varying levels of R1-nj suppression from the inhibitor genes.

3.2. Effects of Season and Source Germplasm in In Vivo Haploid Induction

It was observed that there was a seasonal effect on PR, RS, AED, IED, and IEM in each SG, as indicated by the changes in both means and ranges when the same SG was compared over two seasons. In general, SG plots in the rainy season (Figure 2) had a wider range but a lower median for all given traits than in the dry season (Figure 3). For example, most SG plots during the rainy season had a “minimum” closer to zero for PR and below 40% for RS. In contrast, during the dry season, the “minimum” of most SG plots exceeded 20% for PR and 40% for RS. These results indicate that (1) five haploid inducers (HIs) tested in this study experienced significant issues with pollination and final seed set during the rainy season, and (2) the dry season was more suitable for all tested HIs to pollinate SG than the rainy season. However, the distribution of SG did not overlap across seasons, especially for traits related to the R1-nj expression (RS, AED, IED, IEM), indicating the minor effect of S ×SG for given traits as shown in Table 3.
In the rainy season, 8% of SG had null DSR while 92% of SG showed variations from low (8%), moderate (28%), and high (56%) (Figure 2). About 8% of SG lacked expression of R1-nj purple kernels on endosperm (AED and IED) and embryo (IEM) while 92% of SG had varying levels of AED, IED, and IEM. In the dry season, 8% of SG had null DSR while the rest of SG showed variations from low (4%), moderate (36%), and high (52%) (Figure 3). In both seasons, it can be inferred that two genotypes, Nei9008 and 12C5-4, were not suitable as donors in in vivo haploid induction due to a complete lack of R1-nj expression. Also, no genotypes showed full R1-nj seed set per induction cross and full R1-nj expression on the embryo. This indicates that the use of R1-nj purple kernels alone will not provide an accurate ploidy identification, as the suppressed seeds for R1-nj might be assumed to be outcrosses, resulting in increased false negatives and a reduced haploid induction rate (HIR).

3.3. Stability of Haploid Inducer across Source Germplasm and Season

In this study, haploid inducers performed best and were the most stable on given traits when they showed the highest average mean (Yi), mean and stability index (YSi), lowest coefficients of variation (CVi), and a regression coefficient (bi) closer to 1.
During the rainy season, KHI42 was the best performer for the pollination rate (PR) and was relatively stable, while KHI64 performed best in the dry season (Table 4). No haploid inducers showed complete stability across all source germplasm. For R1-nj seed set (RS), both KHI42 and KHI54 performed well in both seasons, with KHI54 showing better and more stable performance during the dry season. KHI42 and KHI54 displayed the highest performance and stability for the R1-nj area marked by endosperm (AED) during the rainy season, with KHI54 being more stable. KHI42 was superior and more stable during the dry season. KHI42 and KHI54 showed the highest performance and stability for R1-nj intensity of endosperm (IED) during the rainy season. KHI64 and K7 were more stable for this trait. During the dry season, KHI54 and BHI306 performed best for R1-nj intensity of endosperm (IED), but BHI306 was less stable. For R1-nj intensity of embryo (IEM), during the rainy season, KHI42 and BHI306 had the highest performance, but BHI306 was more stable. During the dry season, BHI306 showed the highest performance but poorer stability. These results suggest that no haploid inducers evaluated in this study demonstrated complete stability across two distinct seasons and twenty-five source germplasm. For practical application, it is recommended to use different haploid inducers in different seasons. For example, KHI54 could be used for haploid induction during the rainy season, while KHI42 could be used during the dry season.

3.4. Compatibility of Haploid Inducer across Source Germplasm via GGE Biplot

Regarding the pollination rate (PR), source germplasm (SG) were divided into four sectors and two mega-SG in both seasons (Figure 4). The GGE biplot identified specific HIs with high PR in each season, with some showing consistent compatibility across seasons. For instance, over both seasons, KHI42 and KHI64 showed their compatibility to obtain a high PR. However, their compatibility with specific SGs might differ in each season.
Regarding the R1-nj seed set (RS), all SG were divided into four sectors and two mega SG in both seasons (Figure 5). During the rainy season, KHI42 and K7 were the most compatible with most SG to obtain a high RS. On the contrary, in the dry season, BHI306 and KHI42 showed the highest compatibility with most SG for the given trait.
Over both seasons, the first mega-SG represented over 60% of total SG, and KHI42 showed the most promising and compatible HI for expressing a high R1-nj area marked of endosperm (AED) (Figure 6). KHI54 followed as the second most promising HI, whereas the other three haploid inducers were only compatible with a few SG for AED.
The first mega-SG of both seasons represented 62% of total SG, and BHI306 illustrated a high compatibility with most SG for expressing intense R1-nj purple coloration of endosperm (IED) (Figure 7). However, KHI64 and K7 were only compatible with a few SG during the rainy season and completely lacked compatibility with any SG in the dry season for expressing IED.
Genotypes BHI306 and KHI42 showed the most promising and compatible HIs in each mega-SG to express intense R1-nj purple coloration of embryo (IEM) during the rainy season (Figure 8). Meanwhile, during the dry season, BHI306 and KHI64 revealed the most compatible HIs in each mega-SG for the given trait. The result indicated that BHI306 displayed high compatibility with 42% of total SG over seasons for expressing intense IEM.

3.5. Discriminating Ability of Source Germplasm against Haploid Inducers via GGE Biplot

The GGE biplot for each observed trait (Figure 4, Figure 5, Figure 6, Figure 7 and Figure 8) showed only two mega-SG. To evaluate haploid inducers (HI) in each mega-SG, the ideal source germplasm (SG) should have high discriminating ability when used as a single tester. The discrimination levels can be identified by the SG vectors, which are the lines connecting the SG to the biplot origin. Longer SG vectors indicate more informative SG for discriminating among the tested HI. Our study, using the GGE biplot, revealed that different seasons showed different ideal SG within each mega-SG for each observed trait.
For PR, the ideal SG in the rainy season was donor S7328 (SG 6) and NS5-S (SG 7) for the first and the second mega-SG, respectively. In contrast, two donors, Pop. bt-5 (SG 24) and W54-del (SG 20), were ideal SG in the dry season for the first and second mega-SG, respectively. For RS, two donors, NS5-S (SG 7) and RLW4 (SG 17), were ideal SG in the rainy season for the first mega-SG. Donor S7328 was the ideal SG for the second mega-SG. The ideal SG in the dry season was donor Tein5-5-5 (SG 22) and TSG1910 for the first and the second mega-SG, respectively. The results indicate no ideal SG as testers in a routine breeding HI for a complete set of the traits evaluated. Thus, it is necessary to include at least two distinct SG within each mega-SG during testing HIs through in vivo haploid induction.

4. Discussion

4.1. Haploid Inducer Plays Important Roles Affecting Pollination Rate in In Vivo Haploid Induction

Haploid inducer (HI) was the most important among other sources of variation in the pollination rate, implying that each HI may have different abilities to pollinate overall source germplasm (SG). The pollination rate was derived from the ratio between the seed set of induction ear (SG × HI) and the seed set of self-pollination of the corresponding SG. Any bias that may come from the silk factor of SG can be prevented so that any reductions in the pollination rate among different induction crosses within the same SG may be solely due to the paternal side since manual pollinations were performed instead of utilizing wind pollination. Varying levels of pollination abilities among the five HIs evaluated in our study may be attributed to pollen production and pollen viability whereby HI with abundant amounts of viable pollen leads to a higher pollination rate. Previous studies reported the variability of the fertilization ability of pollen grains from various genetic sources, and genotypes carrying recessive allele were less effective in fertilization than genotypes carrying a dominant allele [33]. For instance, the pollen carrying a recessive allele at the sugary and waxy loci in maize was shown to be less effective in fertilization [34]. Among the five HI tested in this study, four genotypes carry the mtl allele, while BHI306 carries both mtl and zmdmp alleles. Those recessive alleles are mainly observed in anther, and the expression reaches its peak at pollen maturity [3,4,5,6]. Li et al. [7] found that haploid inducer genotypes accumulating multiple recessive alleles for HIR (mtl-zmdmp-zmpld3) seemed to have lower normal/viable pollen but higher aborted pollen, resulting in lower seed set. That report may explain why BHI306 had a lower pollination rate than other haploid inducer genotypes in our current study.
In addition to pollen viability, a poor pollination rate may also be caused by low pollen production. Westgate et al. [35] proposed that the maximum seed set and grain yield required a minimum threshold of pollen shed density per exposed silk. The kernel set was reduced at a rate of 0.4% per pollen grain when the pollen production was less than 227 pollen grains per cm2 per day [36]. The relationship between pollen grains per silk exposed and the proportion of maximum kernel set was significantly strong and followed an exponential model whereby at least two pollen grains should be available for each exposed silk to obtain a 95% kernel set [36]. Previous studies in maize suggested the linear relationship between tassel size and pollen production [37] whereby a higher tassel area index, which in turn has larger tassels, would produce many more pollen grains per tassel [38]. The tassel area index has been proposed as an indirect selection variable for predicting pollen production per plant in field maize due to practical, rapid, and non-destructive measurements and cost-effectiveness [38,39]. Therefore, further genetic improvements in haploid inducers for an enhanced pollination rate should be emphasized on individual genotypes with a higher tassel area index. Although the correlations between tassel size and yield components were negative [39] and the trends of modern maize hybrids are having smaller tassels to compensate for more efficient grain-filling and final yields [40,41] by reducing canopy shading and increasing net photosynthate [42], it does not matter for haploid inducers. In in vivo maternal haploid induction, haploid inducers act as pollen-source genotypes, and any genome from haploid inducers will not be inherited to the haploid progenies [43], implying that “maleness” ideotypes should be genetically improved for optimum pollination and seed set despite lower “femaleness” ideotypes. Trentin et al. [44] mentioned higher plant stature, larger tassel size, higher pollen production, and longer pollen-shed duration as selection criteria of “maleness” for breeding haploid inducers. In addition, haploid inducers showing high tillering ability are preferred. Our previous experience elucidated that the temperate-derived tropical haploid inducers illustrated two to three tillers per plant, each of which produced tassels and shed pollen. Instead of removing these additional tillers, users are encouraged to keep them in the field. Using this information, users can increase the number of tassels per plant, improve pollen production, and prolong the pollen-shedding period of their haploid inducers during in vivo haploid induction via hand-pollination. For in vivo haploid induction in isolated fields, the use of hybrid haploid inducers via wind pollination can be considered. The hybrid haploid inducers can benefit from heterosis, making them more vigorous than the inbred haploid inducers. Trentin et al. [45] found remarkable estimates of heterosis for plant height, ear height, and tassel size among hybrid haploid inducers in temperate Iowa. Similarly, Dermail et al. [9] reported that both tropical x tropical and tropical x temperate hybrid haploid inducers revealed positive heterosis for most important agronomic traits and yield components. Therefore, the adoption of hybrid haploid inducers can enhance the success rates of pollination and reduce the workload and resources required in induction nurseries.

4.2. The Importance of Source Germplasm on R1-nj Seed Set and R1-nj Expression as a Selectable Marker for Haploid Identification

Source germplasm (SG) was the most important source of variation for R1-nj seed set and R1-nj expression in both the endosperm and embryo. This implied that our testing SG was diverse, and perhaps each of them not only provided unique expression of R1-nj but also had varying levels of R1-nj suppression from the inhibitor genes. Our finding confirmed that tropical and subtropical maize germplasm had serious issues with the R1-nj purple kernel expression. Chaikam et al. [20] noticed that the R1-nj is not expressed in a large proportion (~25–30%) of tropical field maize CIMMYT germplasm, while the other 40% of them showed partial R1-nj suppression. Likewise, Gain et al. [46] found that 23.6% and 37.1% of 178 subtropically adapted field maize inbreds did not express any R1-nj coloration in the endosperm and embryo, respectively. In contrast, Khulbe et al. [47] reported only 2.4% of 41 tropical field maize genotypes comprising early maturing hybrids, and their corresponding parents showed partial R1-nj suppression, while the other 2.4% had complete R1-nj inhibition. It was surprising to note that our two SG, Nei9008 and 12C5-4, totally lacked R1-nj expression. Nei9008 is an elite tropical field maize inbred line derived from Suwan race and is popular genetic stock for possessing multiple alleles resistant to downy mildew [48]. This genotype has been assigned as a tester in routine field maize hybrid testing in Indonesia, and even some Indonesian public field maize hybrids have Nei9008 as their corresponding parents [49].
Lacking SG showing full R1-nj seed set per induction cross and complete R1-nj expression on the embryo indicated that the use of R1-nj alone will not provide an accurate haploid induction rate (HIR) since the suppressed seeds for R1-nj might be assumed as outcrosses, resulting in increased false negatives and reduced HIR. The poor R1-nj expression may be caused by the presence of dominant anthocyanin inhibitor genes such as C1-I, C2-ldf, and in-1D [50]. If haploid identification still relies on the R1-nj, it is important to pre-screen targeted source germplasm for the presence of C1-I via molecular markers prior to haploid induction. Chaikam et al. [20] developed a combination of two gene-specific markers, 8 bp C1-I InDel and C1-I SNP, that can predict the presence of anthocyanin color inhibition in tropical germplasm with high accuracy ranging from 79% to 84%. Gain et al. [46] also developed two C1-I specific breeder-friendly markers (MGU-CI-InDel8 and MGU-C1-SNP1) covering 8 bp InDel and A to G SNP that can predict the presence of C1-I allele with 92.9% and 84.7% accuracy, respectively. Deploying those markers can assist breeders in excluding any source germplasm containing C1-I alleles from haploid induction crosses, or if those germplasms are still of importance for breeding programs like Nei9008, such genotypes can be further purified with selection for the wild-type C1 allele by discarding derivatives with the C1-I allele to enable R1-nj anthocyanin expression.
However, when molecular tools are not available, breeders may apply alternative haploid identification systems such as red root and reduced vigor. Thawarorit et al. [15] proposed a stratified haploid identification system through the R1-nj purple kernel and reduced seedling vigor in maize haploid sorting. First, putative haploids were classified via R1-nj, and the selected putative haploids were further validated via reduced seedling vigor at the V2/V3 stage to obtain true haploids. Trentin et al. [16] applied Pl-1 red root coloration to validate haploids at the seedling stage.

4.3. GGE Biplot and Stability Indices Are Useful Tools for Dissecting the Complex Interaction between Season, Source Germplasm, and Haploid Inducer

The GGE biplot analysis consists of a series of biplot interpretations, one of which is the “which-won-where” polygon view [23]. This visualization is effective in multi-environment trials as the model can address triple purposes including (i) mega-environment analysis; (ii) test environment evaluation; and (iii) genotype evaluation [51]. Prior to interpreting the graph, it is necessary to assess the goodness of fit as the sum of PC1 and PC2, whereby a higher value indicates a more reliable model. In general, the goodness of fit of the model on each trait observed in our study ranged from 71.06% to 89.95%, indicating that most of the G + GE variation can be explained by the GGE biplot. Many breeders and agronomists found that the GGE biplot is useful to select superior maize genotypes with either broad or specific adaptation in specific tropical agro-ecologies, for instance, in Indonesia [52], India [53], South Africa, Zimbabwe [54], Nigeria, and Ghana [55]. In the GGE biplot, G refers to crop genotypes evaluated while E refers to testing environments. However, in our case, the “genotypes” refer to maize haploid inducers (HI), and the “testing environment” is maize source germplasm (SG) and season (S).
Learning from GGE biplot models, all 25 SG in each season fell to two mega-SG for each trait observed; however, the composition of SG within each mega-SG was divergent among different seasons and traits. The pattern of those compositions could not be recognized as the members within mega-SG were a mixture from different maize types, cultivar types, and seed properties, indicating the crossover HI-SG. Moreover, we inferred that there were no single haploid inducers compatible with all testing source germplasm for the given traits. Each haploid inducer performed well with certain germplasm but not with the other germplasm. Perhaps further improvements of R1-nj biomarkers integrated in haploid inducers are required. Seeking alternative R1-nj anthocyanins as biomarkers at the kernel stage is important to achieve more efficient and accurate haploid identification. Chen et al. [56] developed two versions of novel haploid inducer, Maize Anthocyanin Gene InduCer 1 (MAGIC1) and MAGIC2, by utilizing the co-expression of two transcription factor genes (ZmC1 and ZmR2) that can activate anthocyanin biosynthesis in the embryo and aleurone layer during early seed development. MAGIC1 could identify haploids at 12 days after pollination (DAP) in most source germplasm and effectively works in germplasms carrying C1-I. The upgraded version, MAGIC2, could identify haploids from diploids due to differential anthocyanin accumulation in immature embryos, coleoptiles, sheaths, roots, leaves, and dry seeds. Instead of the anthocyanin synthesis pathway for haploid identification, Wang et al. [57] utilized the RUBY reporter, a betalain biosynthesis system, as a new biomarker. They found that the expression of RUBY could result in deep betalain pigmentation in maize embryos as early as 10 DAP and enabled 100% accuracy of immature haploid embryo identification. The RUBY was also effective in germplasms carrying C1-I because the inhibitor C1-I could not prevent the synthesis of betalain.

4.4. Limitations of the Study and Potential Future Research Directions

In our current research, we found that there was significant inhibition of the R1-nj purple kernel expression among 25 tropical maize source germplasm (SG). Even though these SG represented the elite breeding materials for each type of maize (sweet, waxy, and dent), we suggest further investigations involving a more diverse set of SG as testers in in vivo haploid induction to validate our results. Additionally, it is important to consider whether the levels of R1-nj inhibition would significantly impact the actual haploid induction rate (HIR). Therefore, future studies should assess both the HIR and the visual scores of R1-nj purple kernel expression for each testcross combination (SG × HI).
Another important finding of the study is that all HIs evaluated showed specific adaptation and compatibility. It is crucial to expand the evaluation of these HIs across different seasons, locations, and years to analyze more complex traits such as agronomic traits and HIR to determine the feasibility of these HIs in in vivo haploid induction.

5. Conclusions

All possible interaction effects, including season × source germplasm, source germplasm × haploid inducer, season × haploid inducer, and season × source germplasm × haploid inducer, on the pollination rate, R1-nj seed set, and R1-nj purple kernel expression were significant. Haploid inducer was the major contributor to the pollination rate, while source germplasm was the most important factor altering R1-nj seed set, R1-nj area marked of endosperm, R1-nj intensity of endosperm, and R1-nj intensity of embryo. Low-to-complete R1-nj inhibition was noticed among tropical source germplasm. Haploid inducer BHI306 lacked tropical adaptation, especially in the rainy season, regarding poor mean, stability, and compatibility against tropical source germplasm for the pollination rate, although it performed intense R1-nj expression on both endosperm and embryo and was compatible with more than half of the source germplasm tested. The GGE biplot suggested KHI42 and KHI64 as the most compatible haploid inducers under two different mega-source germplasm for the pollination rate and R1-nj seed set. Using compatible haploid inducers along with corresponding mega-source germplasm can improve the effectiveness of haploid induction and identification, eventually resulting in efficient DH production in tropical maize breeding programs.

Author Contributions

Conceptualization, A.D., K.L. and K.S.; methodology, A.D., K.S. and W.B.S.; formal analysis, A.D. and W.B.S.; investigation, A.D.; writing—original draft preparation, A.D. and K.S.; writing—review and editing, T.L., S.C. and V.R.; visualization, A.D. and W.B.S.; supervision, K.S., S.C. and K.L.; project administration, K.S. and V.R.; funding acquisition, K.S. and V.R. All authors have read and agreed to the published version of the manuscript.

Funding

This research was funded by the National Research Council of Thailand through the Royal Golden Jubilee Ph.D. Program (NRCT5-RGJ63003-070), the National Science and Technology Development Agency (NSTDA) (Grant No. P-20-50493, P-20-52286, P-21-50610, P-23-51489), and the Post Doctoral Training for Frontier Research from Khon Kaen University, Thailand (Grant No. PD2567-01).

Data Availability Statement

The data that support the findings of this study are available from the corresponding author upon reasonable request.

Acknowledgments

This work has received scholarship under the Post Doctoral Training for Frontier Research from Khon Kaen University, Thailand (Grant No. PD2567-01). This acknowledgement is extended to the following institutions for providing plant materials: the Plant Breeding Research Center for Sustainable Agriculture, Faculty of Agriculture, Khon Kaen University, Thailand for four haploid inducers, six waxy maize genotypes, and six sweet maize genotypes; the DH Facility at Iowa State University, USA for genotype BHI306; the Nakhon Sawan Field Crops Research Center, Thailand for three maize inbred lines (Nei9008, Takfa1, and Takfa7) and a maize F1 hybrid (NS5); the Chai Nat Field Crops Research Center, Thailand for genotype CNW18178; the Syngenta Seeds, Thailand for genotype S7328; the Pacific Seeds, Thailand for genotype P789; the Charoen Pokphand Seeds, Thailand for genotype TSG1910; and the East-West Seeds, Thailand for genotype Jumbo Sweet.

Conflicts of Interest

The authors declare no conflicts of interest. The funders had no role in the design of the study; in the collection, analyses, or interpretation of data; in the writing of the manuscript; or in the decision to publish the results.

References

  1. Chaikam, V.; Molenaar, W.; Melchinger, A.E.; Prasanna, M.B. Doubled haploid technology for line development in maize: Technical advances and prospects. Theor. Appl. Genet. 2019, 132, 3227–3243. [Google Scholar] [CrossRef] [PubMed]
  2. Liu, Z.; Wang, Y.; Jiaojiao, H.; Mei, M.; Frei, U.; Trampe, B.; Lübberstedt, T. Maize doubled haploids. Plant Breed. Rev. 2016, 40, 123–166. [Google Scholar] [CrossRef]
  3. Gilles, L.M.; Khaled, A.; Laffaire, J.B.; Chaignon, S.; Gendrot, G.; Laplaige, J.; Bergès, H.; Beydon, G.; Bayle, V.; Barret, P.; et al. Loss of pollen-specific phospholipase NOT LIKE DAD triggers gynogenesis in maize. EMBO J. 2017, 36, 707–717. [Google Scholar] [CrossRef] [PubMed]
  4. Kelliher, T.; Starr, D.; Richbourg, L.; Chintamanani, S.; Delzer, B.; Nuccio, M.L.; Green, J.; Chen, Z.; McCuiston, J.; Wang, W.; et al. MATRILINEAL, a sperm-specific phospholipase, triggers maize haploid induction. Nature 2017, 542, 105–109. [Google Scholar] [CrossRef]
  5. Liu, C.; Li, X.; Meng, D.; Zhong, Y.; Chen, C.; Dong, X.; Xu, X.; Chen, B.; Li, W.; Li, L.; et al. A 4-bp insertion at ZmPLA1 encoding a putative phospholipase A generates haploid induction in maize. Mol. Plant 2017, 10, 520–522. [Google Scholar] [CrossRef]
  6. Zhong, Y.; Liu, C.; Qi, X.; Jiao, Y.; Wang, D.; Wang, Y.; Liu, Z.; Chen, C.; Chen, B.; Tian, X.; et al. Mutation of ZmDMP enhances haploid induction in maize. Nat. Plants 2019, 5, 575–580. [Google Scholar] [CrossRef]
  7. Li, Y.; Lin, Z.; Yue, Y.; Zhao, H.; Fei, X.; Lizhu, E.; Liu, L.; Liu, C.; Chen, S.; Lai, J.; et al. Loss-of-function alleles of ZmPLD3 cause haploid induction in maize. Nat. Plants 2021, 7, 1579–1588. [Google Scholar] [CrossRef]
  8. Almeida, V.C.; Trentin, H.U.; Frei, U.K.; Lübberstedt, T. Genomic prediction of maternal haploid induction rate in maize. Plant Genome 2020, 13, e20014. [Google Scholar] [CrossRef]
  9. Dermail, A.; Lübberstedt, T.; Suwarno, W.B.; Chankaew, S.; Lertrat, K.; Ruanjaichon, V.; Suriharn, K. Combining ability of tropical× temperate maize inducers for haploid induction rate, R1-nj seed set, and agronomic traits. Front. Plant Sci. 2023, 14, 1154905. [Google Scholar] [CrossRef]
  10. Wu, P.; Li, H.; Ren, J.; Chen, S. Mapping of maternal QTLs for in vivo haploid induction rate in maize (Zea mays L.). Euphytica 2014, 196, 413–421. [Google Scholar] [CrossRef]
  11. De La Fuente, G.N.; Frei, U.K.; Trampe, B.; Nettleton, D.; Zhang, W.; Lübberstedt, T. A diallel analysis of a maize donor population response to in vivo maternal haploid induction: I. Inducibility. Crop Sci. 2018, 58, 1830–1837. [Google Scholar] [CrossRef]
  12. Kebede, A.Z.; Dhillon, B.S.; Schipprack, W.; Araus, J.L.; Bänziger, M.; Semagn, K.; Alvarado, G.; Melchinger, A.E. Effect of source germplasm and season on the in vivo haploid induction rate in tropical maize. Euphytica 2011, 180, 219–226. [Google Scholar] [CrossRef]
  13. Couto, E.G.d.O.; Cury, M.N.; E Souza, M.B.; Granato, Í.S.C.; Vidotti, M.S.; Garbuglio, D.D.; Crossa, J.; Burgueño, J.; Fritsche-Neto, R. Effect of F1 and F2 generations on genetic variability and working steps of doubled haploid production in maize. PLoS ONE 2019, 14, e0224631. [Google Scholar] [CrossRef] [PubMed]
  14. Prigge, V.; Sánchez, C.; Dhillon, B.S.; Schipprank, W.; Araus, J.L.; Bänziger, M.; Melchinger, A.E. Doubled haploids in tropical maize: I. Effect of inducers and source germplasm on in vivo haploid induction rates. Crop Sci. 2011, 51, 1498–1506. [Google Scholar] [CrossRef]
  15. Thawarorit, A.; Dermail, A.; Lertrat, K.; Chankaew, S.; Suriharn, K. Stratified haploid identification system through the R1-nj kernel and reduced seedling vigor in tropical maize germplasm. Biodiversitas 2023, 24, 4262–4268. [Google Scholar] [CrossRef]
  16. Trentin, H.U.; Batîru, G.; Frei, U.K.; Dutta, S.; Lübberstedt, T. Investigating the effect of the interaction of maize inducer and donor backgrounds on haploid induction rates. Plants 2022, 11, 1527. [Google Scholar] [CrossRef]
  17. Sintanaparadee, P.; Dermail, A.; Lübberstedt, T.; Lertrat, K.; Chankaew, S.; Ruanjaichon, V.; Phakamas, N.; Suriharn, K. Seasonal variation of tropical savanna altered agronomic adaptation of Stock-6-derived inducer lines. Plants 2022, 11, 2902. [Google Scholar] [CrossRef] [PubMed]
  18. Nanda, D.K.; Chase, S.S. An embryo marker for detecting monoploids of maize (Zea mays L.). Crop Sci. 1966, 6, 213–215. [Google Scholar] [CrossRef]
  19. Dermail, A.; Mitchell, M.; Foster, T.; Fakude, M.; Chen, Y.R.; Suriharn, K.; Frei, U.K.; Lübberstedt, T. Haploid identification in maize. Front. Plant Sci. 2024, 15, 1378421. [Google Scholar] [CrossRef]
  20. Chaikam, V.; Nair, S.K.; Babu, R.; Martinez, L.; Tejomurtula, J.; Prasanna, M.B. Analysis of effectiveness of R1-nj anthocyanin marker for in vivo haploid identification in maize and molecular markers for predicting the inhibition of R1-nj expression. Theor. Appl. Genet. 2015, 128, 159–171. [Google Scholar] [CrossRef]
  21. Yu, W.; Birchler, J.A. A green fluorescent protein-engineered haploid inducer line facilitates haploid mutant screens and doubled haploid breeding in maize. Mol. Breed. 2016, 36, 5. [Google Scholar] [CrossRef]
  22. Dang, N.C.; Munsch, M.; Aulinger, I.; Renlai, W.; Stamp, P. Inducer line generated double haploid seeds for combined waxy and opaque 2 grain quality in subtropical maize (Zea mays L.). Euphytica 2012, 183, 153–160. [Google Scholar] [CrossRef]
  23. Yan, W.; Hunt, L.A.; Sheng, Q.; Szlavnics, Z. Cultivar evaluation and mega-environment investigation based on the GGE biplot. Crop Sci. 2000, 40, 597–605. [Google Scholar] [CrossRef]
  24. Yan, W.; Tinker, N.A. Biplot analysis of multi-environment trial data: Principles and applications. Can. J. Plant Sci. 2006, 86, 623–645. [Google Scholar] [CrossRef]
  25. Dermail, A.; Chankaew, S.; Lertrat, K.; Lübberstedt, T.; Suriharn, K. Selection gain of maize haploid inducers for the tropical savanna environments. Plants 2021, 10, 2812. [Google Scholar] [CrossRef] [PubMed]
  26. De La Fuente, G.N. Improvement to the Maize (Zea mays L.) In Vivo Maternal Doubled Haploid System. Ph.D. Thesis, Iowa State University, Ames, Iowa, 2015. [Google Scholar]
  27. Thai Agricultural Practice. Available online: http://www.doa.go.th (accessed on 7 August 2022).
  28. Kang, M.S. Simultaneous selection for yield and stability in crop performance trials: Consequences for growers. Agron. J. 1993, 85, 754–757. [Google Scholar] [CrossRef]
  29. Francis, T.R.; Kannenberg, L.W. Yield stability studies in short-season maize. I. A descriptive method for grouping genotypes. Can. J. Plant Sci. 1978, 58, 1029–1034. [Google Scholar] [CrossRef]
  30. Finlay, K.W.; Wilkinson, G.N. The analysis of adaptation in a plant-breeding programme. Aust. J. Agric. Res. 1963, 14, 742–754. [Google Scholar] [CrossRef]
  31. STAR. Statistical Tool for Agricultural Research (STAR), version 2.0.1; Biometrics and Breeding Informatics, PBGB Division, International Rice Research Institute: Los Baños, Philippine, 2014.
  32. Pacheco, A.; Vargas, M.; Alvarado, G.; Rodríguez, F.; López, M.; Crossa, J.; Burgueño, J. GEA-R (Genotype x Environment Analysis with R for Windows.), version 4.1; International Maize and Wheat Improvement Center: El Batan, Mexico, 2016. [Google Scholar]
  33. Pfahler, P.L. Fertilization ability of maize pollen grains. I. Pollen sources. Genetics 1965, 52, 513. [Google Scholar] [CrossRef]
  34. Sprague, G.F. Pollen tube establishment and the deficiency of waxy seeds in certain maize crosses. Proc. Natl. Acad. Sci. USA 1933, 19, 838–841. [Google Scholar] [CrossRef]
  35. Westgate, M.E.; Lizaso, J.; Batchelor, W. Quantitative relationships between pollen shed density and grain yield in maize. Crop Sci. 2003, 43, 934–942. [Google Scholar] [CrossRef]
  36. Uribelarrea, M.; Cárcova, J.; Otegui, M.E.; Westgate, M.E. Pollen production, pollination dynamics, and kernel set in maize. Crop Sci. 2002, 42, 1910–1918. [Google Scholar] [CrossRef]
  37. Duvick, D.N. What is Yield: Developing Drought and Low N-Tolerant Maize; CIMMYT: El Batan, Mexico, 1997. [Google Scholar]
  38. Fonseca, A.E.; Westgate, M.E.; Grass, L.; Dornbos, D.L., Jr. Tassel morphology as an indicator of potential pollen production in maize. Crop Manag. 2003, 2, 1–15. [Google Scholar] [CrossRef]
  39. Bódi, Z.; Pepó, P.; Kovács, A. Morphology of tassel components and their relationship to some quantitative features in maize. Cereal Res. Commun. 2008, 36, 353–360. [Google Scholar] [CrossRef]
  40. Duvick, D.N.; Smith, J.S.C.; Cooper, M. Long-term selection in a commercial hybrid maize breeding program. Plant Breed. Rev. 2004, 24, 109–151. [Google Scholar] [CrossRef]
  41. Ci, X.; Li, M.; Xu, J.; Lu, Z.; Bai, P.; Ru, G.; Liang, X.; Zhang, D.; Li, X.; Bai, L.; et al. Trends of grain yield and plant traits in Chinese maize cultivars from the 1950s to the 2000s. Euphytica 2012, 185, 395–406. [Google Scholar] [CrossRef]
  42. Ma, D.L.; Xie, R.Z.; Yu, X.F.; Li, S.K.; Gao, J.L. Historical trends in maize morphology from the 1950s to the 2010s in China. J. Integr. Agric. 2022, 21, 2159–2167. [Google Scholar] [CrossRef]
  43. Qiu, F.; Liang, Y.; Li, Y.; Liu, Y.; Wang, L.; Zheng, Y. Morphological, cellular and molecular evidences of chromosome random elimination in vivo upon haploid induction in maize. Curr. Plant Biol. 2014, 1, 83–90. [Google Scholar] [CrossRef]
  44. Trentin, H.U.; Frei, U.K.; Lübberstedt, T. Breeding maize maternal haploid inducers. Plants 2020, 9, 614. [Google Scholar] [CrossRef]
  45. Trentin, H.U.; Yavuz, R.; Dermail, A.; Frei, U.K.; Dutta, S.; Lübberstedt, T. A comparison between inbred and hybrid maize haploid inducers. Plants 2023, 12, 1095. [Google Scholar] [CrossRef]
  46. Gain, N.; Chhabra, R.; Chandra, S.; Zunjare, R.U.; Dutta, S.; Chand, G.; Sarika, K.; Devi, E.L.; Kumar, A.; Madhavan, J.; et al. Variation in anthocyanin pigmentation by R1-navajo gene, development and validation of breeder-friendly markers specific to C1-inhibitor locus for in-vivo haploid production in maize. Mol. Biol. Rep. 2023, 50, 2221–2229. [Google Scholar] [CrossRef] [PubMed]
  47. Khulbe, R.K.; Pattanayak, A.; Panday, V. R1-nj expression in parental inbreds as a predictor of amenability of maize hybrids to R1-nj-based doubled haploid development. Indian J. Genet. Plant Breed. 2019, 79, 678–684. [Google Scholar] [CrossRef]
  48. Jampatong, C.; Jampatong, S.; Balla, C.; Grudloyma, P.; Jompuk, C.; Prodmatee, N. QTL Mapping for Downy Mildew (Peronosclerospora sorghi) Resistance in Maize. In Maize for Asia: Emerging Trends and Technologies. Proceeding of the 10th Asian Regional Maize Workshop, Makassar, Indonesia, 20–23 October 2008; Zaidi, P.H., Azrai, M., Pixley, K.V., Eds.; CIMMYT: Mexico City, Mexico, 2008; pp. 291–298. [Google Scholar]
  49. Mejaya, M.J.; Takdir, A.; Iriany, N.; Yasin, M.H.G. Development of Improved Maize Varieties in Indonesia. In Maize for Asia: Emerging Trends and Technologies. Proceeding of the 10th Asian Regional Maize Workshop, Makassar, Indonesia, 20–23 October 2008; Zaidi, P.H., Azrai, M., Pixley, K.V., Eds.; CIMMYT: Mexico City, Mexico, 2008; pp. 110–113. [Google Scholar]
  50. Stinard, P.S.; Sachs, M.M. The identification and characterization of two dominant r1 haplotype-specific inhibitors of aleurone color in Zea mays. J. Hered. 2002, 93, 421–428. [Google Scholar] [CrossRef] [PubMed]
  51. Yan, W.; Kang, M.S. GGE Biplot Analysis: A Graphical Tool for Breeders, Geneticists, and Agronomists; CRC Press: Boca Raton, FL, USA, 2003. [Google Scholar]
  52. Azrai, M.; Efendi, R.; Muliadi, A.; Aqil, M.; Suwarti; Zainuddin, B.; Syam, A.; Junaedi; Syah, U.T.; Dermail, A.; et al. Genotype by environment interaction on tropical maize hybrids under normal irrigation and waterlogging conditions. Front. Sustain. Food Syst. 2022, 6, 913211. [Google Scholar] [CrossRef]
  53. Singamsetti, A.; Shahi, J.P.; Zaidi, P.H.; Seetharam, K.; Vinayan, M.T.; Kumar, M.; Singla, S.; Shikha, K.; Madankar, K. Genotype× environment interaction and selection of maize (Zea mays L.) hybrids across moisture regimes. Field Crops Res. 2021, 270, 108224. [Google Scholar] [CrossRef]
  54. Mushayi, M.; Shimelis, H.; Derera, J.; Shayanowako, A.I.; Mathew, I. Multi-environmental evaluation of maize hybrids developed from tropical and temperate lines. Euphytica 2020, 216, 84. [Google Scholar] [CrossRef]
  55. Oyekunle, M.; Haruna, A.; Badu-Apraku, B.; Usman, I.S.; Mani, H.; Ado, S.G.; Olaoye, G.; Obeng-Antwi, K.; Abdulmalik, R.O.; Ahmed, H.O. Assessment of early-maturing maize hybrids and testing sites using GGE biplot analysis. Crop Sci. 2017, 57, 2942–2950. [Google Scholar] [CrossRef]
  56. Chen, C.; Liu, X.; Li, S.; Liu, C.; Zhang, Y.; Luo, L.; Miao, L.; Yang, W.; Xiao, Z.; Zhong, Y.; et al. Co-expression of transcription factors ZmC1 and ZmR2 establishes an efficient and accurate haploid embryo identification system in maize. Plant J. 2022, 111, 1296–1307. [Google Scholar] [CrossRef]
  57. Wang, D.; Zhong, Y.; Feng, B.; Qi, X.; Yan, T.; Liu, J.; Guo, S.; Wang, Y.; Liu, Z.; Cheng, D.; et al. The RUBY reporter enables efficient haploid identification in maize and tomato. Plant Biotechnol. J. 2023, 21, 1707–1715. [Google Scholar] [CrossRef]
Figure 1. The phenotypic variation of R1-nj purple kernel expressions in maize at the physiological maturity stage. (a) R1-nj intensity of endosperm (IED) using a rating scale of 1 to 5. (b) R1-nj intensity of embryo (IEM) using a rating scale of 1 to 5. (c) R1-nj area marked of endosperm (AED) using a rating scale of 1 to 5.
Figure 1. The phenotypic variation of R1-nj purple kernel expressions in maize at the physiological maturity stage. (a) R1-nj intensity of endosperm (IED) using a rating scale of 1 to 5. (b) R1-nj intensity of embryo (IEM) using a rating scale of 1 to 5. (c) R1-nj area marked of endosperm (AED) using a rating scale of 1 to 5.
Agronomy 14 01505 g001
Figure 2. The distributions of five haploid inducers in each source germplasm for pollination rate (%), R1-nj seed set (%), and R1-nj purple kernel expression in the rainy season of 2021. 1: Nei9008; 2: Takfa1; 3: Takfa7; 4: P789; 5: P789-S; 6: S7328; 7: NS5-S; 8: P789/NS5; 9: NS5/P789; 10: Y.18W-6-4; 11: 12C5-4; 12: Wan Dok Khun; 13: Jumbo Sweet; 14: Jumbo Sweet-S; 15: CNW18178; 16: TSG1910; 17: RLW4; 18: KKU WX-1; 19: W54/SQ; 20: W54/DEL; 21: TSC/H3-1-8; 22: Tein5-5-5; 23: Tein NS; 24: Pop. bt-5; 25: Pop. se-6.
Figure 2. The distributions of five haploid inducers in each source germplasm for pollination rate (%), R1-nj seed set (%), and R1-nj purple kernel expression in the rainy season of 2021. 1: Nei9008; 2: Takfa1; 3: Takfa7; 4: P789; 5: P789-S; 6: S7328; 7: NS5-S; 8: P789/NS5; 9: NS5/P789; 10: Y.18W-6-4; 11: 12C5-4; 12: Wan Dok Khun; 13: Jumbo Sweet; 14: Jumbo Sweet-S; 15: CNW18178; 16: TSG1910; 17: RLW4; 18: KKU WX-1; 19: W54/SQ; 20: W54/DEL; 21: TSC/H3-1-8; 22: Tein5-5-5; 23: Tein NS; 24: Pop. bt-5; 25: Pop. se-6.
Agronomy 14 01505 g002
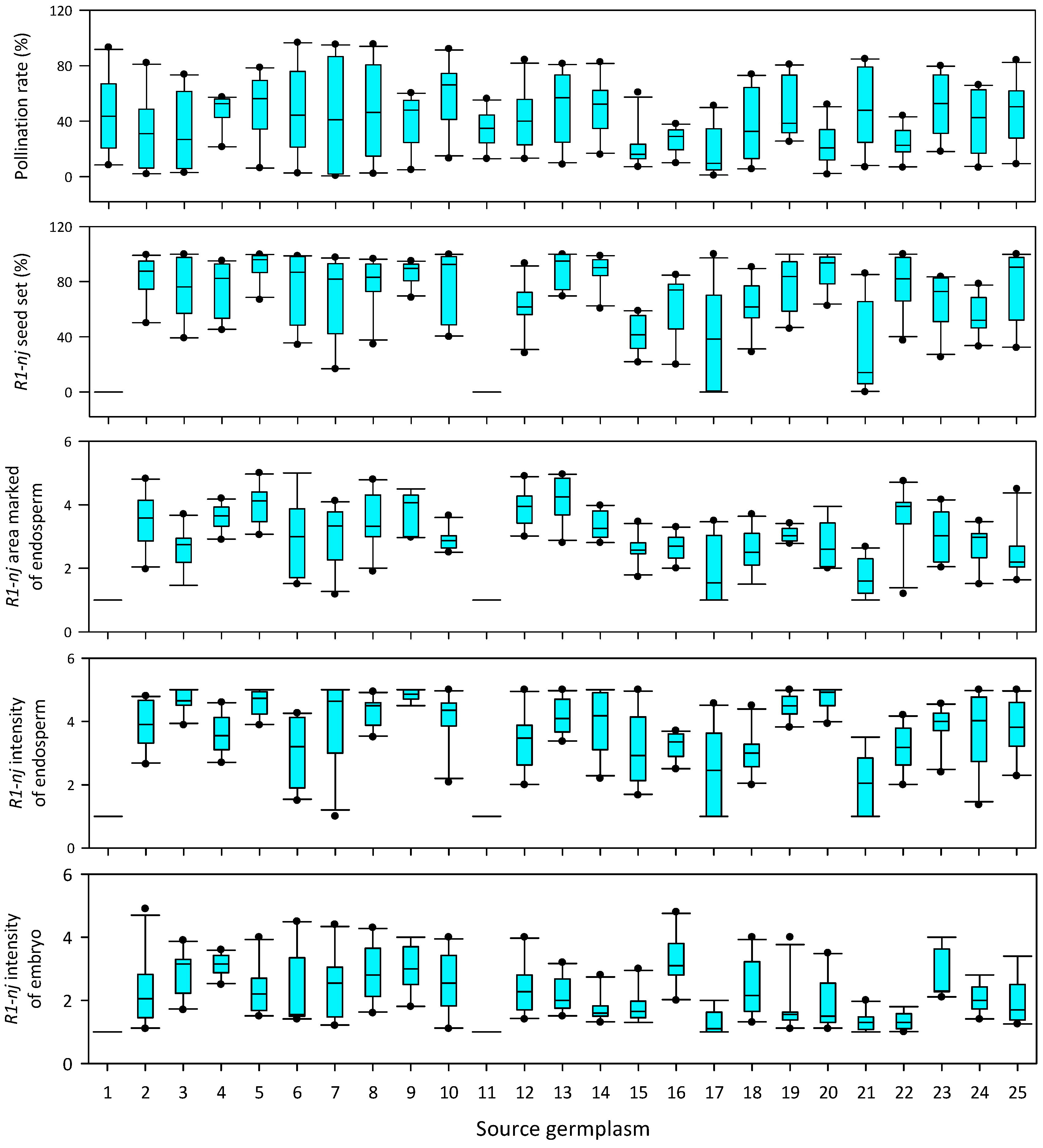
Figure 3. The distributions of five haploid inducers in each source germplasm for pollination rate (%), R1-nj seed set (%), and R1-nj purple kernel expression in the dry season of 2021/2022. 1: Nei9008; 2: Takfa1; 3: Takfa7; 4: P789; 5: P789-S; 6: S7328; 7: NS5-S; 8: P789/NS5; 9: NS5/P789; 10: Y.18W-6-4; 11: 12C5-4; 12: Wan Dok Khun; 13: Jumbo Sweet; 14: Jumbo Sweet-S; 15: CNW18178; 16: TSG1910; 17: RLW4; 18: KKU WX-1; 19: W54/SQ; 20: W54/DEL; 21: TSC/H3-1-8; 22: Tein5-5-5; 23: Tein NS; 24: Pop. bt-5; 25: Pop. se-6.
Figure 3. The distributions of five haploid inducers in each source germplasm for pollination rate (%), R1-nj seed set (%), and R1-nj purple kernel expression in the dry season of 2021/2022. 1: Nei9008; 2: Takfa1; 3: Takfa7; 4: P789; 5: P789-S; 6: S7328; 7: NS5-S; 8: P789/NS5; 9: NS5/P789; 10: Y.18W-6-4; 11: 12C5-4; 12: Wan Dok Khun; 13: Jumbo Sweet; 14: Jumbo Sweet-S; 15: CNW18178; 16: TSG1910; 17: RLW4; 18: KKU WX-1; 19: W54/SQ; 20: W54/DEL; 21: TSC/H3-1-8; 22: Tein5-5-5; 23: Tein NS; 24: Pop. bt-5; 25: Pop. se-6.
Agronomy 14 01505 g003
Figure 4. GGE biplot of 5 haploid inducers (HIs, blue numbers) evaluated in 25 source germplasm (SG, red numbers) in the rainy season (left) and dry season (right) for the pollination rate (%). Perpendicular lines (black dotted lines) are drawn to each side of the polygon (blue dotted lines), dividing the biplot into sectors. The vertex number in each sector is the best HI for the given trait in SG that fell in the sector. The SG vectors (green lines), which are the lines connecting the SG to the biplot origin, indicate discrimination levels. Numbers in blue: 1: KHI42; 2: KHI54; 3: KHI64; 4: K7; 5: BHI306. Numbers in red: 1: Nei9008; 2: Takfa1; 3: Takfa7; 4: P789; 5: P789-S; 6: S7328; 7: NS5-S; 8: P789/NS5; 9: NS5/P789; 10: Y.18W-6-4; 11: 12C5-4; 12: Wan Dok Khun; 13: Jumbo Sweet; 14: Jumbo Sweet-S; 15: CNW18178; 16: TSG1910; 17: RLW4; 18: KKU WX-1; 19: W54/SQ; 20: W54/DEL; 21: TSC/H3-1-8; 22: Tein5-5-5; 23: Tein NS; 24: Pop. bt-5; 25: Pop. se-6.
Figure 4. GGE biplot of 5 haploid inducers (HIs, blue numbers) evaluated in 25 source germplasm (SG, red numbers) in the rainy season (left) and dry season (right) for the pollination rate (%). Perpendicular lines (black dotted lines) are drawn to each side of the polygon (blue dotted lines), dividing the biplot into sectors. The vertex number in each sector is the best HI for the given trait in SG that fell in the sector. The SG vectors (green lines), which are the lines connecting the SG to the biplot origin, indicate discrimination levels. Numbers in blue: 1: KHI42; 2: KHI54; 3: KHI64; 4: K7; 5: BHI306. Numbers in red: 1: Nei9008; 2: Takfa1; 3: Takfa7; 4: P789; 5: P789-S; 6: S7328; 7: NS5-S; 8: P789/NS5; 9: NS5/P789; 10: Y.18W-6-4; 11: 12C5-4; 12: Wan Dok Khun; 13: Jumbo Sweet; 14: Jumbo Sweet-S; 15: CNW18178; 16: TSG1910; 17: RLW4; 18: KKU WX-1; 19: W54/SQ; 20: W54/DEL; 21: TSC/H3-1-8; 22: Tein5-5-5; 23: Tein NS; 24: Pop. bt-5; 25: Pop. se-6.
Agronomy 14 01505 g004
Figure 5. GGE biplot of 5 haploid inducers (HIs, blue numbers) evaluated in 25 source germplasm (SG, red numbers) in the rainy season (left) and dry season (right) for the R1-nj seed set (%). Perpendicular lines (black dotted lines) are drawn to each side of the polygon (blue dotted lines), dividing the biplot into sectors. The vertex number in each sector is the best HI for the given trait in SG that fell in the sector. The SG vectors (green lines), which are the lines connecting the SG to the biplot origin, indicate discrimination levels. Numbers in blue: 1: KHI42; 2: KHI54; 3: KHI64; 4: K7; 5: BHI306. Numbers in red: 1: Nei9008; 2: Takfa1; 3: Takfa7; 4: P789; 5: P789-S; 6: S7328; 7: NS5-S; 8: P789/NS5; 9: NS5/P789; 10: Y.18W-6-4; 11: 12C5-4; 12: Wan Dok Khun; 13: Jumbo Sweet; 14: Jumbo Sweet-S; 15: CNW18178; 16: TSG1910; 17: RLW4; 18: KKU WX-1; 19: W54/SQ; 20: W54/DEL; 21: TSC/H3-1-8; 22: Tein5-5-5; 23: Tein NS; 24: Pop. bt-5; 25: Pop. se-6.
Figure 5. GGE biplot of 5 haploid inducers (HIs, blue numbers) evaluated in 25 source germplasm (SG, red numbers) in the rainy season (left) and dry season (right) for the R1-nj seed set (%). Perpendicular lines (black dotted lines) are drawn to each side of the polygon (blue dotted lines), dividing the biplot into sectors. The vertex number in each sector is the best HI for the given trait in SG that fell in the sector. The SG vectors (green lines), which are the lines connecting the SG to the biplot origin, indicate discrimination levels. Numbers in blue: 1: KHI42; 2: KHI54; 3: KHI64; 4: K7; 5: BHI306. Numbers in red: 1: Nei9008; 2: Takfa1; 3: Takfa7; 4: P789; 5: P789-S; 6: S7328; 7: NS5-S; 8: P789/NS5; 9: NS5/P789; 10: Y.18W-6-4; 11: 12C5-4; 12: Wan Dok Khun; 13: Jumbo Sweet; 14: Jumbo Sweet-S; 15: CNW18178; 16: TSG1910; 17: RLW4; 18: KKU WX-1; 19: W54/SQ; 20: W54/DEL; 21: TSC/H3-1-8; 22: Tein5-5-5; 23: Tein NS; 24: Pop. bt-5; 25: Pop. se-6.
Agronomy 14 01505 g005
Figure 6. GGE biplot of 5 haploid inducers (HIs, blue numbers) evaluated in 25 source germplasm (SG, red numbers) in the rainy season (left) and dry season (right) for the R1-nj area marked of endosperm. Perpendicular lines (black dotted lines) are drawn to each side of the polygon (blue dotted lines), dividing the biplot into sectors. The vertex number in each sector is the best HI for the given trait in SG that fell in the sector. The SG vectors (green lines), which are the lines connecting the SG to the biplot origin, indicate discrimination levels. Numbers in blue: 1: KHI42; 2: KHI54; 3: KHI64; 4: K7; 5: BHI306. Numbers in red: 1: Nei9008; 2: Takfa1; 3: Takfa7; 4: P789; 5: P789-S; 6: S7328; 7: NS5-S; 8: P789/NS5; 9: NS5/P789; 10: Y.18W-6-4; 11: 12C5-4; 12: Wan Dok Khun; 13: Jumbo Sweet; 14: Jumbo Sweet-S; 15: CNW18178; 16: TSG1910; 17: RLW4; 18: KKU WX-1; 19: W54/SQ; 20: W54/DEL; 21: TSC/H3-1-8; 22: Tein5-5-5; 23: Tein NS; 24: Pop. bt-5; 25: Pop. se-6.
Figure 6. GGE biplot of 5 haploid inducers (HIs, blue numbers) evaluated in 25 source germplasm (SG, red numbers) in the rainy season (left) and dry season (right) for the R1-nj area marked of endosperm. Perpendicular lines (black dotted lines) are drawn to each side of the polygon (blue dotted lines), dividing the biplot into sectors. The vertex number in each sector is the best HI for the given trait in SG that fell in the sector. The SG vectors (green lines), which are the lines connecting the SG to the biplot origin, indicate discrimination levels. Numbers in blue: 1: KHI42; 2: KHI54; 3: KHI64; 4: K7; 5: BHI306. Numbers in red: 1: Nei9008; 2: Takfa1; 3: Takfa7; 4: P789; 5: P789-S; 6: S7328; 7: NS5-S; 8: P789/NS5; 9: NS5/P789; 10: Y.18W-6-4; 11: 12C5-4; 12: Wan Dok Khun; 13: Jumbo Sweet; 14: Jumbo Sweet-S; 15: CNW18178; 16: TSG1910; 17: RLW4; 18: KKU WX-1; 19: W54/SQ; 20: W54/DEL; 21: TSC/H3-1-8; 22: Tein5-5-5; 23: Tein NS; 24: Pop. bt-5; 25: Pop. se-6.
Agronomy 14 01505 g006
Figure 7. GGE biplot of 5 haploid inducers (HIs, blue numbers) evaluated in 25 source germplasm (SG, red numbers) in the rainy season (left) and dry season (right) for the R1-nj intensity of endosperm. Perpendicular lines (black dotted lines) are drawn to each side of the polygon (blue dotted lines), dividing the biplot into sectors. The vertex number in each sector is the best HI for the given trait in SG that fell in the sector. The SG vectors (green lines), which are the lines connecting the SG to the biplot origin, indicate discrimination levels. Numbers in blue: 1: KHI42; 2: KHI54; 3: KHI64; 4: K7; 5: BHI306. Numbers in red: 1: Nei9008; 2: Takfa1; 3: Takfa7; 4: P789; 5: P789-S; 6: S7328; 7: NS5-S; 8: P789/NS5; 9: NS5/P789; 10: Y.18W-6-4; 11: 12C5-4; 12: Wan Dok Khun; 13: Jumbo Sweet; 14: Jumbo Sweet-S; 15: CNW18178; 16: TSG1910; 17: RLW4; 18: KKU WX-1; 19: W54/SQ; 20: W54/DEL; 21: TSC/H3-1-8; 22: Tein5-5-5; 23: Tein NS; 24: Pop. bt-5; 25: Pop. se-6.
Figure 7. GGE biplot of 5 haploid inducers (HIs, blue numbers) evaluated in 25 source germplasm (SG, red numbers) in the rainy season (left) and dry season (right) for the R1-nj intensity of endosperm. Perpendicular lines (black dotted lines) are drawn to each side of the polygon (blue dotted lines), dividing the biplot into sectors. The vertex number in each sector is the best HI for the given trait in SG that fell in the sector. The SG vectors (green lines), which are the lines connecting the SG to the biplot origin, indicate discrimination levels. Numbers in blue: 1: KHI42; 2: KHI54; 3: KHI64; 4: K7; 5: BHI306. Numbers in red: 1: Nei9008; 2: Takfa1; 3: Takfa7; 4: P789; 5: P789-S; 6: S7328; 7: NS5-S; 8: P789/NS5; 9: NS5/P789; 10: Y.18W-6-4; 11: 12C5-4; 12: Wan Dok Khun; 13: Jumbo Sweet; 14: Jumbo Sweet-S; 15: CNW18178; 16: TSG1910; 17: RLW4; 18: KKU WX-1; 19: W54/SQ; 20: W54/DEL; 21: TSC/H3-1-8; 22: Tein5-5-5; 23: Tein NS; 24: Pop. bt-5; 25: Pop. se-6.
Agronomy 14 01505 g007
Figure 8. GGE biplot of 5 haploid inducers (HIs, blue numbers) evaluated in 25 source germplasm (SG, red numbers) in the rainy season (left) and dry season (right) for the R1-nj intensity of embryo. Perpendicular lines (black dotted lines) are drawn to each side of the polygon (blue dotted lines), dividing the biplot into sectors. The vertex number in each sector is the best HI for the given trait in SG that fell in the sector. The SG vectors (green lines), which are the lines connecting the SG to the biplot origin, indicate discrimination levels. Numbers in blue: 1: KHI42; 2: KHI54; 3: KHI64; 4: K7; 5: BHI306. Numbers in red: 1: Nei9008; 2: Takfa1; 3: Takfa7; 4: P789; 5: P789-S; 6: S7328; 7: NS5-S; 8: P789/NS5; 9: NS5/P789; 10: Y.18W-6-4; 11: 12C5-4; 12: Wan Dok Khun; 13: Jumbo Sweet; 14: Jumbo Sweet-S; 15: CNW18178; 16: TSG1910; 17: RLW4; 18: KKU WX-1; 19: W54/SQ; 20: W54/DEL; 21: TSC/H3-1-8; 22: Tein5-5-5; 23: Tein NS; 24: Pop. bt-5; 25: Pop. se-6.
Figure 8. GGE biplot of 5 haploid inducers (HIs, blue numbers) evaluated in 25 source germplasm (SG, red numbers) in the rainy season (left) and dry season (right) for the R1-nj intensity of embryo. Perpendicular lines (black dotted lines) are drawn to each side of the polygon (blue dotted lines), dividing the biplot into sectors. The vertex number in each sector is the best HI for the given trait in SG that fell in the sector. The SG vectors (green lines), which are the lines connecting the SG to the biplot origin, indicate discrimination levels. Numbers in blue: 1: KHI42; 2: KHI54; 3: KHI64; 4: K7; 5: BHI306. Numbers in red: 1: Nei9008; 2: Takfa1; 3: Takfa7; 4: P789; 5: P789-S; 6: S7328; 7: NS5-S; 8: P789/NS5; 9: NS5/P789; 10: Y.18W-6-4; 11: 12C5-4; 12: Wan Dok Khun; 13: Jumbo Sweet; 14: Jumbo Sweet-S; 15: CNW18178; 16: TSG1910; 17: RLW4; 18: KKU WX-1; 19: W54/SQ; 20: W54/DEL; 21: TSC/H3-1-8; 22: Tein5-5-5; 23: Tein NS; 24: Pop. bt-5; 25: Pop. se-6.
Agronomy 14 01505 g008
Table 1. Brief descriptions of five haploid inducers used in this study.
Table 1. Brief descriptions of five haploid inducers used in this study.
CodeHaploid InducerCultivar TypePedigreeKernel TypeR1-nj CoverageHaploid Induction Rate
1KHI42InbredTL/Stock6-S(C6)-S3-IL1B-93-B-9FlintModerateLow (4–7%) 1
2KHI54InbredWST/Stock6-S(C6)-S3-IL2A-34-1-14FlintHighLow (4–78%) 1
3KHI64InbredNS3/Stock6-S(C6)-S3-IL2B-21-B-9DentLowLow (2–78%) 1
4K7F3 populationTBL/Stock6-5B-B3FlintModeratePoor (2–73%) 2
5BHI306InbredA632.75/(RWS/RWK-76)-PCPOP562-1-460-01FlintHighHigh (11–714%) 3,4
1 Dermail et al. [25]; 2 Thawarorit et al. [15]; 3 De La Fuente [26]; 4 Liu et al. [2].
Table 2. Brief descriptions of 25 source germplasm used in this study.
Table 2. Brief descriptions of 25 source germplasm used in this study.
CodeGenotypeCultivar TypeRecessive Allele
(sh2, bt, su, se, and wx)
Kernel
Type
Kernel SizeKernel Color
Field maize
1Nei9008Inbred-flintmediumyellow
2Takfa1Inbred-flintmediumorange
3Takfa7Inbred-dentmediumorange
4P789F1 hybrid-dentbigorange
5P789-SF2-semi-dentbigorange
6S7328F1 hybrid-semi-dentbigorange
7NS5-SF2-dentbigorange
8P789/NS5Double-cross hybrid-dentbigorange
9NS5/P789Double-cross hybrid-dentbigorange
Waxy maize
1112C5-4Inbredwxflintsmallorange
22Tein5-5-5Inbredwxflintsmallwhite-op
18KKU WX-1Inbredwxflintsmallwhite-tr
10Y.18W-6-4Inbredwxsemi-flintmediumwhite-op
17RLW4Inbred wxsemi-flintlargewhite-op
23Tein NSOPVwxflintsmallyellow
15CNW18178F1 hybridwxdentbigwhite-op
16TSG1910F1 hybridbt and wxdent-shrunkenbigwhite-op
Sweet maize
21TSC/H3-1-8Inbredsh2shrunkenextra smallorange
24Pop. bt-5Inbredbtshrunkensmallpale white
19W54/SQInbredsusugarysmallwhite
20W54/DELInbredsusugarysmallorange
25Pop. se-6Inbredsesugarysmallorange
12Wan Dok KhunOPVsh2shrunkenbiglight yellow
13Jumbo SweetF1 hybridsh2shrunkenbigdark yellow
14Jumbo Sweet-SF2sh2shrunkenbigdark yellow
white-op: white opaque.
Table 3. Relative contributions of sum of squares in combined analysis of variance in split-plot RCBD over seasons for pollination rate, R1-nj seed set, and R1-nj purple kernel expression.
Table 3. Relative contributions of sum of squares in combined analysis of variance in split-plot RCBD over seasons for pollination rate, R1-nj seed set, and R1-nj purple kernel expression.
Source of VariationdfPRRSAEDIEDIEM
Season (S)13.3 ns0.04 ns1.6 ns0.06 ns3.0 *
Source germplasm (SG)2410.6 **64.82 **61.5 **67.39 **48.8 **
S × SG2410.6 **2.84 **3.7 **2.37 *3.8 **
Pooled error (a)483.61.321.52.471.8
Haploid inducer (HI)434.2 **3.52 **8.2 **2.65 **5.7 **
SG × HI9612.9 **11.27 **12.6 **13.56 **18.5 **
S × HI40.8 *1.65 **0.6 **0.53 **0.7 **
S × SG × HI9610.7 **8.36 **5.2 **4.99 **9.7 **
Pooled error (b)20011.86.154.95.537.9
cv (a), % 32.716.613.216.917.1
cv (b), % 29.117.611.712.417.4
PR pollination rate; RS R1-nj seed set; AED R1-nj area marked of endosperm; IED R1-nj intensity of endosperm; IEM R1-nj intensity of embryo. ** data significant at p ≤ 0.01; * data significant at p ≤ 0.05; ns data non-significant at p ≤ 0.05.
Table 4. Stability parameters of each haploid inducer (HI) across 25 source germplasm within season for pollination rate, R1-nj seed set, and R1-nj expression.
Table 4. Stability parameters of each haploid inducer (HI) across 25 source germplasm within season for pollination rate, R1-nj seed set, and R1-nj expression.
HIPollination Rate (%)
RainyDry
YiYSiCVibiYiYSiCVibi
KHI4257.96037.141.16 **59.39−1 +32.181.48 **
KHI5443.024 +44.441.38 **53.23−332.801.32 **
KHI6448.812 +39.301.22 **61.680 +23.890.66 **
K738.39139.270.84 **45.42−826.470.73 **
BHI30613.26−278.350.41 **25.18−2 +41.380.80 **
HIR1-nj seed set (%)
RainyDry
YiYSiCVibiYiYSiCVibi
KHI4278.438 +35.841.03 ns70.80−2 +37.450.99 ns
KHI5470.085 +39.631.01 ns71.517 +36.431.02 ns
KHI6466.070 +43.421.01 ns62.21−841.100.91 **
K760.70−853.971.12 **61.69−1041.810.91 **
BHI30652.89−1048.770.82 **67.81−451.191.17 **
HIR1-nj area marked of endosperm
RainyDry
YiYSiCVibiYiYSiCVibi
KHI423.370 +32.681.13 **3.460 +25.951.02 ns
KHI543.06−2 +30.180.97 ns3.357 +26.701.06 *
KHI642.87−635.231.06 *3.13−727.120.98 ns
K72.68−4 +34.490.98 ns3.20−426.380.97 ns
BHI3062.49−1036.260.85 **2.61−1038.420.97 ns
HIR1-nj intensity of endosperm
RainyDry
YiYSiCVibiYiYSiCVibi
KHI423.701 +29.400.92 **3.51−627.040.89 **
KHI543.634 +28.820.93 **3.81−1 +26.330.94 *
KHI643.40−734.400.98 ns3.32−1030.120.96 *
K73.16−938.471.02 ns3.45−828.530.93 **
BHI3063.74−1 +36.301.15 **3.840 +38.291.28 **
HIR1-nj intensity of embryo
RainyDry
YiYSiCVibiYiYSiCVibi
KHI422.44−1.5 +41.061.24 **2.502 +30.371.02 ns
KHI541.920 +35.220.84 **2.34−2 +29.710.92 **
KHI642.27−446.321.37 **2.64−2 +29.981.05 ns
K71.77−230.350.67 **2.25−1027.220.79 **
BHI3062.44−1.5 +36.490.87 **2.680 +41.301.23 **
Yi: average means. YSi: mean and stability index [28] (+: greater than the average). CVi: the coefficient of variations [29]. Bi: regression coefficient of average genotype on environmental index [30] (** and * significantly different from bi = 1.0 at p < 0.01 and p < 0.05, respectively; ns: non-significant).
Disclaimer/Publisher’s Note: The statements, opinions and data contained in all publications are solely those of the individual author(s) and contributor(s) and not of MDPI and/or the editor(s). MDPI and/or the editor(s) disclaim responsibility for any injury to people or property resulting from any ideas, methods, instructions or products referred to in the content.

Share and Cite

MDPI and ACS Style

Dermail, A.; Lübberstedt, T.; Suwarno, W.B.; Chankaew, S.; Lertrat, K.; Ruanjaichon, V.; Suriharn, K. Compatibility and Stability Analysis of Haploid Inducers under Different Source Germplasm and Seasons in Maize Using GGE Biplot. Agronomy 2024, 14, 1505. https://doi.org/10.3390/agronomy14071505

AMA Style

Dermail A, Lübberstedt T, Suwarno WB, Chankaew S, Lertrat K, Ruanjaichon V, Suriharn K. Compatibility and Stability Analysis of Haploid Inducers under Different Source Germplasm and Seasons in Maize Using GGE Biplot. Agronomy. 2024; 14(7):1505. https://doi.org/10.3390/agronomy14071505

Chicago/Turabian Style

Dermail, Abil, Thomas Lübberstedt, Willy Bayuardi Suwarno, Sompong Chankaew, Kamol Lertrat, Vinitchan Ruanjaichon, and Khundej Suriharn. 2024. "Compatibility and Stability Analysis of Haploid Inducers under Different Source Germplasm and Seasons in Maize Using GGE Biplot" Agronomy 14, no. 7: 1505. https://doi.org/10.3390/agronomy14071505

APA Style

Dermail, A., Lübberstedt, T., Suwarno, W. B., Chankaew, S., Lertrat, K., Ruanjaichon, V., & Suriharn, K. (2024). Compatibility and Stability Analysis of Haploid Inducers under Different Source Germplasm and Seasons in Maize Using GGE Biplot. Agronomy, 14(7), 1505. https://doi.org/10.3390/agronomy14071505

Note that from the first issue of 2016, this journal uses article numbers instead of page numbers. See further details here.

Article Metrics

Back to TopTop