Effects of Nitrogen Fertilizer and Planting Density on Growth, Nutrient Characteristics, and Chlorophyll Fluorescence in Silage Maize
Abstract
1. Introduction
2. Materials and Methods
2.1. Experimental Materials
2.2. Experimental Design
2.3. Field Sampling and Laboratory Analysis
2.3.1. Measurement of the Agronomic Traits and Whole-Plant Yield
2.3.2. Measurement of the Leaf Chlorophyll Fluorescence Characteristics
2.3.3. Measurement of the Nutrient Characteristics
2.4. Data Analysis
2.4.1. Nitrogen Accumulation Amount (NAA), Nitrogen Agronomic Efficiency (NAE), and Nitrogen Use Efficiency (NEE) Analyses
2.4.2. Statistical Analysis
3. Results
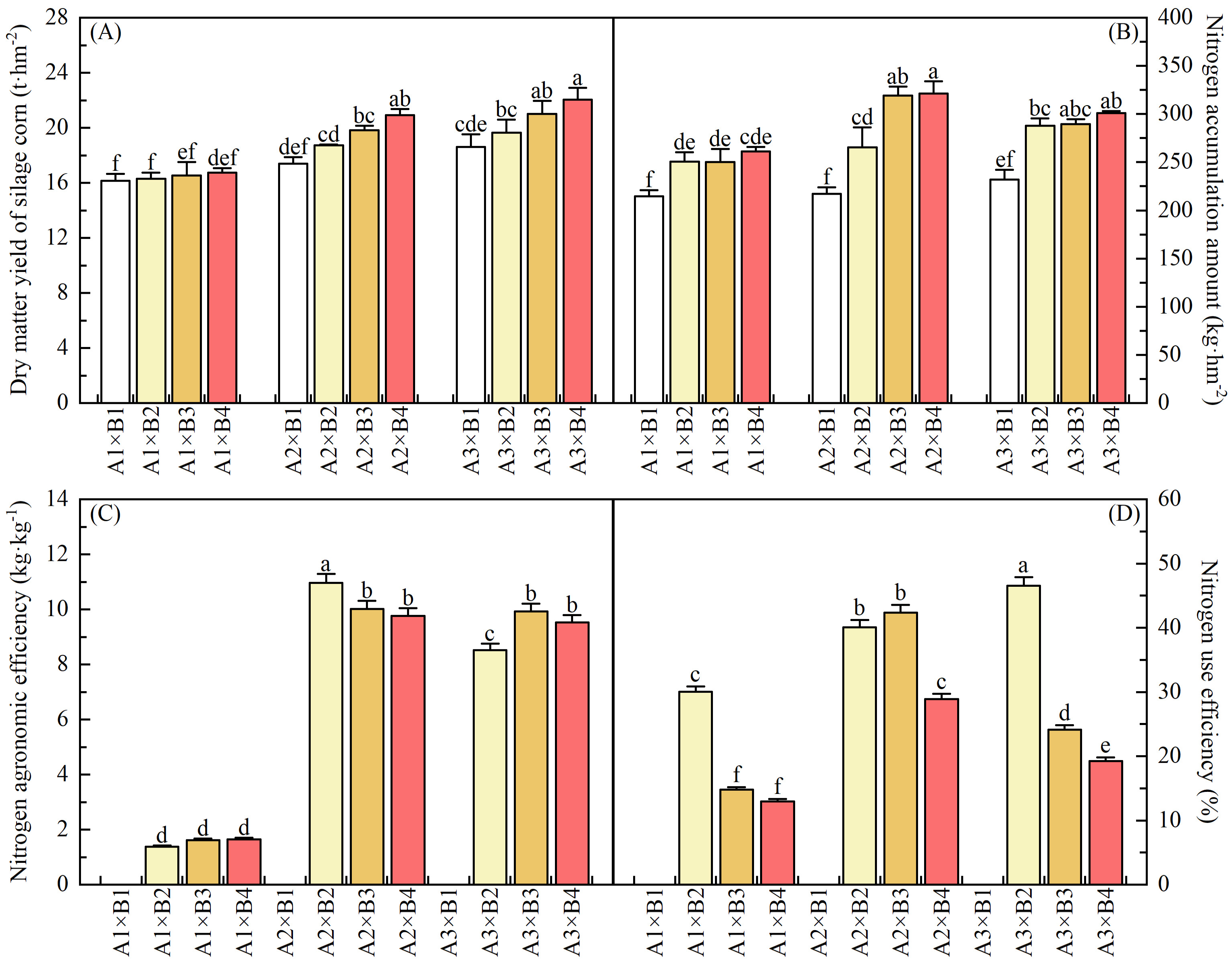
3.1. Yield and Nitrogen Utilization
3.2. Growth Characteristics
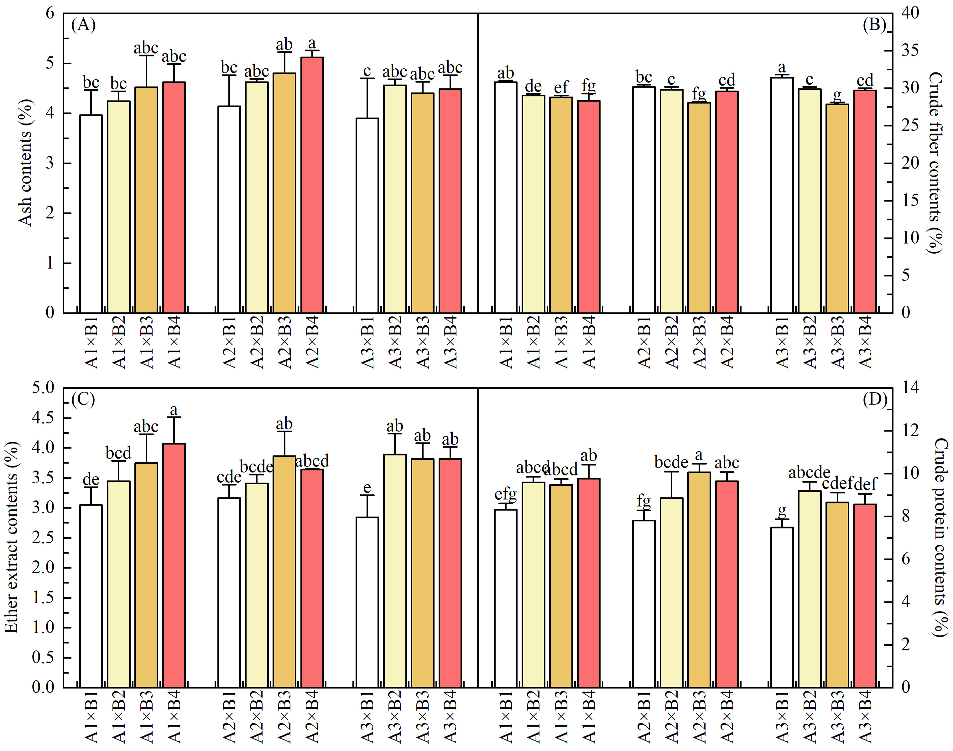
3.3. Nutritional Characteristics
3.4. Chlorophyll Fluorescence Parameters
3.5. Chlorophyll Fluorescence Parameter Correlations with Silage Maize Characteristics
3.6. Silage Maize Yield Structural Equation
4. Discussion
4.1. Effects of Nitrogen Application Rate and Planting Density on Silage Maize Yield
4.2. Effects of Nitrogen Application Rate and Planting Density on Silage Maize Nutrient Characteristics
4.3. Effects of Nitrogen Application Rate and Planting Density on Silage Maize Chlorophyll Fluorescence Parameters
5. Conclusions
Supplementary Materials
Author Contributions
Funding
Data Availability Statement
Acknowledgments
Conflicts of Interest
References
- van Dijk, M.; Morley, T.; Rau, M.L.; Saghai, Y. A meta-analysis of projected global food demand and population at risk of hunger for the period 2010–2050. Nat. Food 2021, 2, 494–501. [Google Scholar] [CrossRef]
- Karnatam, K.S.; Mythri, B.; Un Nisa, W.; Sharma, H.; Meena, T.K.; Rana, P.; Vikal, Y.; Gowda, M.; Dhillon, B.S.; Sandhu, S. Silage maize as a potent candidate for sustainable animal husbandry development-perspectives and strategies for genetic enhancement. Front. Genet. 2023, 14, 1150132. [Google Scholar] [CrossRef]
- Zhao, M.; Feng, Y.; Shi, Y.; Shen, H.; Hu, H.; Luo, Y.; Xu, L.; Kang, J.; Xing, A.; Wang, S.; et al. Yield and quality properties of silage maize and their influencing factors in China. Sci. China Life Sci. 2022, 65, 1655–1666. [Google Scholar] [CrossRef]
- Hou, S.; Ren, H.; Fan, F.; Zhao, M.; Zhou, W.; Zhou, B.; Li, C. The effects of plant density and nitrogen fertilization on maize yield and soil microbial communities in the black soil region of Northeast China. Geoderma 2023, 430, 116325. [Google Scholar] [CrossRef]
- Djaman, K.; Allen, S.; Djaman, D.S.; Koudahe, K.; Irmak, S.; Puppala, N.; Darapuneni, M.K.; Angadi, S.V. Planting date and plant density effects on maize growth, yield and water use efficiency. Environ. Chall. 2022, 6, 100417. [Google Scholar] [CrossRef]
- Meng, C.; Wang, Z.; Cai, Y.; Du, F.; Chen, J.; Xiao, C. Effects of planting density and nitrogen (n) application rate on light energy utilization and yield of maize. Sustainability 2022, 14, 16707. [Google Scholar] [CrossRef]
- Chen, G.; Wu, P.; Wang, J.; Zhou, Y.; Ren, L.; Cai, T.; Zhang, P.; Jia, Z. How do different fertilization depths affect the growth, yield, and nitrogen use efficiency in rain-fed summer maize? Field Crops Res. 2023, 290, 108759. [Google Scholar] [CrossRef]
- Bassi, D.; Menossi, M.; Mattiello, L. Nitrogen supply influences photosynthesis establishment along the sugarcane leaf. Sci. Rep. 2018, 8, 2327. [Google Scholar] [CrossRef]
- Gao, Y.; Cabrera Serrenho, A. Greenhouse gas emissions from nitrogen fertilizers could be reduced by up to one-fifth of current levels by 2050 with combined interventions. Nat. Food 2023, 4, 170–178. [Google Scholar] [CrossRef]
- Ren, K.; Xu, M.; Li, R.; Zheng, L.; Liu, S.; Reis, S.; Wang, H.; Lu, C.; Zhang, W.; Gao, H.; et al. Optimizing nitrogen fertilizer use for more grain and less pollution. J. Clean. Prod. 2022, 360, 132180. [Google Scholar] [CrossRef]
- Zhang, D.; Sun, Z.; Feng, L.; Bai, W.; Yang, N.; Zhang, Z.; Du, G.; Feng, C.; Cai, Q.; Wang, Q.; et al. Maize plant density affects yield, growth and source-sink relationship of crops in maize/peanut intercropping. Field Crops Res. 2020, 257, 107926. [Google Scholar] [CrossRef]
- Liu, G.Y.; Zhou, D.L.; Liang, H.H.; Shi, W.; Chang, S.H.; Jia, O.M.; Hou, F.J. Regulation of density and nitrogen fertilizer on physiological characteristics, yield, and quality of silage maize using a ridge-furrow rainfall harvesting system in Longdong Region. Pratacult. Sci. 2022, 39, 960–976. [Google Scholar]
- Xu, C.; Huang, S.; Tian, B.; Ren, J.; Meng, Q.; Wang, P. Manipulating planting density and nitrogen fertilizer application to improve yield and reduce environmental impact in Chinese maize production. Front. Plant Sci. 2017, 8, 1234. [Google Scholar] [CrossRef]
- Zhang, G.; Shen, D.; Xie, R.; Ming, B.; Hou, P.; Xue, J.; Li, R.; Chen, J.; Wang, K.; Li, S. Optimizing planting density to improve nitrogen use of super high-yield maize. Agron. J. 2020, 112, 4147–4158. [Google Scholar] [CrossRef]
- Dong, N.Q.; Lin, H.X. Higher yield with less nitrogen fertilizer. Nat. Plants 2020, 6, 1078–1079. [Google Scholar] [CrossRef]
- Chen, X.; Cui, Z.; Fan, M.; Vitousek, P.; Zhao, M.; Ma, W.; Wang, Z.; Zhang, W.; Yan, X.; Yang, J.; et al. Producing more grain with lower environmental costs. Nature 2014, 514, 486–489. [Google Scholar] [CrossRef]
- Cui, Z.; Zhang, H.; Chen, X.; Zhang, C.; Ma, W.; Huang, C.; Zhang, W.; Mi, G.; Miao, Y.; Li, X.; et al. Pursuing sustainable productivity with millions of smallholder farmers. Nature 2018, 555, 363–366. [Google Scholar] [CrossRef]
- Ren, H.; Cheng, Y.; Li, R.; Yang, Q.; Liu, P.; Dong, S.; Zhang, J.; Zhao, B. Integrating density and fertilizer management to optimize the accumulation, remobilization, and distribution of biomass and nutrients in summer maize. Sci. Rep. 2020, 10, 11777. [Google Scholar] [CrossRef]
- Ma, D.; Li, S.; Zhai, L.; Yu, X.; Xie, R.; Gao, J. Response of maize barrenness to density and nitrogen increases in Chinese cultivars released from the 1950s to 2010s. Field Crops Res. 2020, 250, 107766. [Google Scholar] [CrossRef]
- Gou, L.; Xue, J.; Qi, B.; Ma, B.; Zhang, W.F. Morphological variation of maize cultivars in response to elevated plant densities. Agronomy 2017, 109, 1443–1453. [Google Scholar] [CrossRef]
- Gao, J.; Lei, M.; Yang, L.; Wang, P.; Tao, H.; Huang, S. Reduced row spacing improved yield by optimizing root distribution in maize. Eur. J. Agron. 2021, 127, 126291. [Google Scholar] [CrossRef]
- Qian, Y.; Ma, Q.; Ren, Z.; Zhu, G.; Zhu, X.; Zhou, G. Optimizing the growth of silage maize by adjusting planting density and nitrogen application rate based on farmers’ conventional planting habits. Agronomy 2023, 13, 2785. [Google Scholar] [CrossRef]
- Testa, G.; Reyneri, A.; Blandino, M. Maize grain yield enhancement through high plant density cultivation with different inter-row and intra-row spacings. Eur. J. Agron. 2016, 72, 28–37. [Google Scholar] [CrossRef]
- Zhang, J.; Iwaasa, A.D.; Han, G.; Gu, C.; Wang, H.; Jefferson, P.G.; Kusler, J. Utilizing a multi-index decision analysis method to overall assess forage yield and quality of C3 grasses in the western Canadian prairies. Field Crops Res. 2018, 222, 12–25. [Google Scholar] [CrossRef]
- Kirchgessner, M.; Kürzinger, H.; Schwarz, F.J. Digestibility of crude nutrients in different feeds and estimation of their energy content for carp (Cyprinus carpio L.). Aquaculture 1986, 58, 185–194. [Google Scholar] [CrossRef]
- Taner, A.; Mahmut, K.; Nami, S.H.; Ahmet, G. Effects of different liquid-manure treatments on yield and quality parameters of second-crop silage corn under reduced tillage conditions. Rom. Agric. Res. 2014, 31, 193–203. [Google Scholar]
- Kaplan, M.; Baran, O.; Unlukara, A.; Kale, H.; Arslan, M.; Kara, K.; Beyzi, S.B.; Konca, Y.; Ulas, A. The effects of different nitrogen doses and irrigation levels on yield, nutritive value, fermentation and gas production of corn silage. Turk. J. Field Crops 2016, 21, 100–108. [Google Scholar] [CrossRef]
- Aydin, I.; Uzun, F. Nitrogen and phosphorus fertilization of rangelands affects yield, forage quality and the botanical composition. Eur. J. Agron. 2005, 23, 8–14. [Google Scholar] [CrossRef]
- Ballard, C.S.; Thomas, E.D.; Tsang, D.S.; Mandebvu, P.; Sniffen, C.J.; Endres, M.I.; Carter, M.P. Effect of corn silage hybrid on dry matter yield, nutrient composition, in vitro digestion, intake by dairy heifers, and milk production by dairy cows. J. Dairy Sci. 2001, 84, 442–452. [Google Scholar] [CrossRef]
- Sheaffer, C.C.; Halgerson, J.L.; Jung, H.G. Hybrid and N fertilization affect corn silage yield and quality. J. Agron. Crop Sci. 2006, 192, 278–283. [Google Scholar] [CrossRef]
- Mandic, V.; Krnjaja, V.; Bijelic, Z.; Tomic, Z.; Simic, A.; Stanojkovic, A.; Petricevic, M.; Caro-Petrovic, V. The effect of crop density on yield of forage maize. Biotechnol. Anim. Husb. 2015, 31, 567–575. [Google Scholar] [CrossRef]
- Guyader, J.; Baron, V.; Beauchemin, K. Corn forage yield and quality for silage in short growing season areas of the Canadian prairies. Agronomy 2018, 8, 164. [Google Scholar] [CrossRef]
- Lu, C.; Zhang, J. Photosynthetic CO2 assimilation, chlorophyll fluorescence and photoinhibition as affected by nitrogen deficiency in maize plants. Plant Sci. 2000, 151, 135–143. [Google Scholar] [CrossRef] [PubMed]
- Qiu, R.; Zhang, M.; He, Y. Field estimation of maize plant height at jointing stage using an RGB-D camera. Crop J. 2022, 10, 1274–1283. [Google Scholar] [CrossRef]
- Xing, H.; Zhou, W.; Wang, C.; Li, L.; Li, X.; Cui, N.; Hao, W.; Liu, F.; Wang, Y. Excessive nitrogen application under moderate soil water deficit decreases photosynthesis, respiration, carbon gain and water use efficiency of maize. Plant Physiol. Biochem. 2021, 166, 1065–1075. [Google Scholar] [CrossRef] [PubMed]
- Yan, Y.; Duan, F.; Li, X.; Zhao, R.; Hou, P.; Zhao, M.; Li, S.; Wang, Y.; Dai, T.; Zhou, W. Photosynthetic capacity and assimilate transport of the lower canopy influence maize yield under high planting density. Plant Physiol. 2024, kiae204. [Google Scholar] [CrossRef]
- Carotti, L.; Pistillo, A.; Zauli, I.; Meneghello, D.; Martin, M.; Pennisi, G.; Gianquinto, G.; Orsini, F. Improving water use efficiency in vertical farming: Effects of growing systems, far-red radiation and planting density on lettuce cultivation. Agric. Water Manag. 2023, 285, 108365. [Google Scholar] [CrossRef]





| Treatment | Plant Height (cm) | Stem Diameter (mm) | Leaf Length (cm) | Leaf Width (cm) | Flag Leaf Areas (cm2) | Ear Length (cm) | Ear Diameter (mm) | No. of Leaves Ear−1 | Ear Height (cm) |
|---|---|---|---|---|---|---|---|---|---|
| A1 × B1 | 284 ab | 17.6 a | 63.8 abcd | 8.07 ab | 386 ab | 25.6 ab | 43.4 a | 7.40 ab | 130 ab |
| A1 × B2 | 273 ab | 18.5 a | 61.6 abcd | 7.64bc | 354 abc | 26.9 ab | 48.0 a | 7.30 ab | 133 a |
| A1 × B3 | 270 ab | 18.4 a | 65.2 abc | 8.62 a | 421 a | 23.6 ab | 47.2 a | 7.02 ab | 130 ab |
| A1 × B4 | 260 ab | 19.2 a | 68.2 a | 8.16 ab | 417 a | 25.2 ab | 44.8 a | 6.63 b | 112 b |
| A2 × B1 | 277 ab | 17.5 a | 55.9 cd | 7.55 bc | 317 bc | 29.0 a | 47.0 a | 7.73 a | 124 ab |
| A2 × B2 | 284 ab | 17.4 a | 65.9 ab | 7.82 abc | 386 ab | 23.4 ab | 47.0 a | 7.18 ab | 130 ab |
| A2 × B3 | 292 a | 18.6 a | 62.7 abcd | 8.08 ab | 380 ab | 24.5 ab | 46.2 a | 7.25 ab | 135 a |
| A2 × B4 | 290 a | 16.7 a | 63.9 abcd | 7.81 abc | 374 abc | 22.9 ab | 46.6 a | 7.33 ab | 137 a |
| A3 × B1 | 252 b | 16.7 a | 64.3 abcd | 7.56 bc | 365 abc | 23.8 ab | 47.3 a | 7.82 a | 132 a |
| A3 × B2 | 285 a | 17.1 a | 55.1 d | 7.17 c | 296 c | 27.3 ab | 44.8 a | 7.65 a | 123 ab |
| A3 × B3 | 279 ab | 17.0 a | 56.6 bcd | 7.32 bc | 312 bc | 25.9 ab | 47.6 a | 7.57 a | 120 ab |
| A3 × B4 | 280 ab | 17.2 a | 55.7 cd | 7.30 bc | 304 bc | 21.2 b | 47.9 a | 7.74 a | 135 a |
| A1 | 272 A | 18.4 A | 64.7 A | 8.12 A | 395 A | 25.3 A | 45.9 A | 7.09 B | 127 A |
| A2 | 286 A | 17.5 AB | 62.1 AB | 7.82 A | 365 A | 24.9 A | 46.7 A | 7.37 AB | 132 A |
| A3 | 274 A | 17.0 B | 57.9 B | 7.34 B | 320 B | 24.6 A | 46.9 A | 7.69 A | 128 A |
| B1 | 271 A | 17.3 A | 61.3 A | 7.73 A | 357 A | 26.2 A | 45.9 A | 7.65 A | 129 A |
| B2 | 281 A | 17.7 A | 60.9 A | 7.54 A | 346 A | 25.8 A | 46.6 A | 7.37 A | 129 A |
| B3 | 281 A | 18.0 A | 61.5 A | 8.01 A | 372 A | 24.6 A | 47.0 A | 7.28 A | 129 A |
| B4 | 277 A | 17.7 A | 62.6 A | 7.76 A | 366 A | 23.1 A | 46.4 A | 7.23 A | 129 A |
| Statistics | |||||||||
| A × B | ns | ns | * | ns | * | ns | ns | ns | * |
| Phi2 | PhiNO | PhiNPQ | Relative Chlorophyll Content | |
|---|---|---|---|---|
| Planting density | ns | ns | ns | ns |
| Nitrogen fertilizer application rate | * | ns | ** | ** |
| Growth period | *** | ns | *** | ns |
| Planting density × Nitrogen fertilizer application rate | ns | *** | ns | ns |
| Planting density × Growth period | ** | ** | * | ns |
| Nitrogen fertilizer application rate × Growth period | ns | * | ns | * |
| Planting density × Nitrogen fertilizer application rate × Growth period | ns | ns | ns | ns |
Disclaimer/Publisher’s Note: The statements, opinions and data contained in all publications are solely those of the individual author(s) and contributor(s) and not of MDPI and/or the editor(s). MDPI and/or the editor(s) disclaim responsibility for any injury to people or property resulting from any ideas, methods, instructions or products referred to in the content. |
© 2024 by the authors. Licensee MDPI, Basel, Switzerland. This article is an open access article distributed under the terms and conditions of the Creative Commons Attribution (CC BY) license (https://creativecommons.org/licenses/by/4.0/).
Share and Cite
Han, X.; Xiao, X.; Zhang, J.; Shao, M.; Jie, Y.; Xing, H. Effects of Nitrogen Fertilizer and Planting Density on Growth, Nutrient Characteristics, and Chlorophyll Fluorescence in Silage Maize. Agronomy 2024, 14, 1352. https://doi.org/10.3390/agronomy14071352
Han X, Xiao X, Zhang J, Shao M, Jie Y, Xing H. Effects of Nitrogen Fertilizer and Planting Density on Growth, Nutrient Characteristics, and Chlorophyll Fluorescence in Silage Maize. Agronomy. 2024; 14(7):1352. https://doi.org/10.3390/agronomy14071352
Chicago/Turabian StyleHan, Xinran, Xu Xiao, Jiamin Zhang, Mingyu Shao, Yucheng Jie, and Hucheng Xing. 2024. "Effects of Nitrogen Fertilizer and Planting Density on Growth, Nutrient Characteristics, and Chlorophyll Fluorescence in Silage Maize" Agronomy 14, no. 7: 1352. https://doi.org/10.3390/agronomy14071352
APA StyleHan, X., Xiao, X., Zhang, J., Shao, M., Jie, Y., & Xing, H. (2024). Effects of Nitrogen Fertilizer and Planting Density on Growth, Nutrient Characteristics, and Chlorophyll Fluorescence in Silage Maize. Agronomy, 14(7), 1352. https://doi.org/10.3390/agronomy14071352

