Processed Manures with Added Zinc Improve Zinc Biofortification in Lentils under Saline Conditions
Abstract
1. Introduction
2. Materials and Methods
2.1. Experimental Site and Soil Analysis
2.2. Preparation of Processed/Acidified Animal Manure and Composts
2.3. Experimental Design and Treatments
2.4. Agronomic and Physiological Attributes
2.5. Grain Quality Assessment
2.6. Statistical Analysis
3. Results
3.1. Agronomic Attributes of Crop
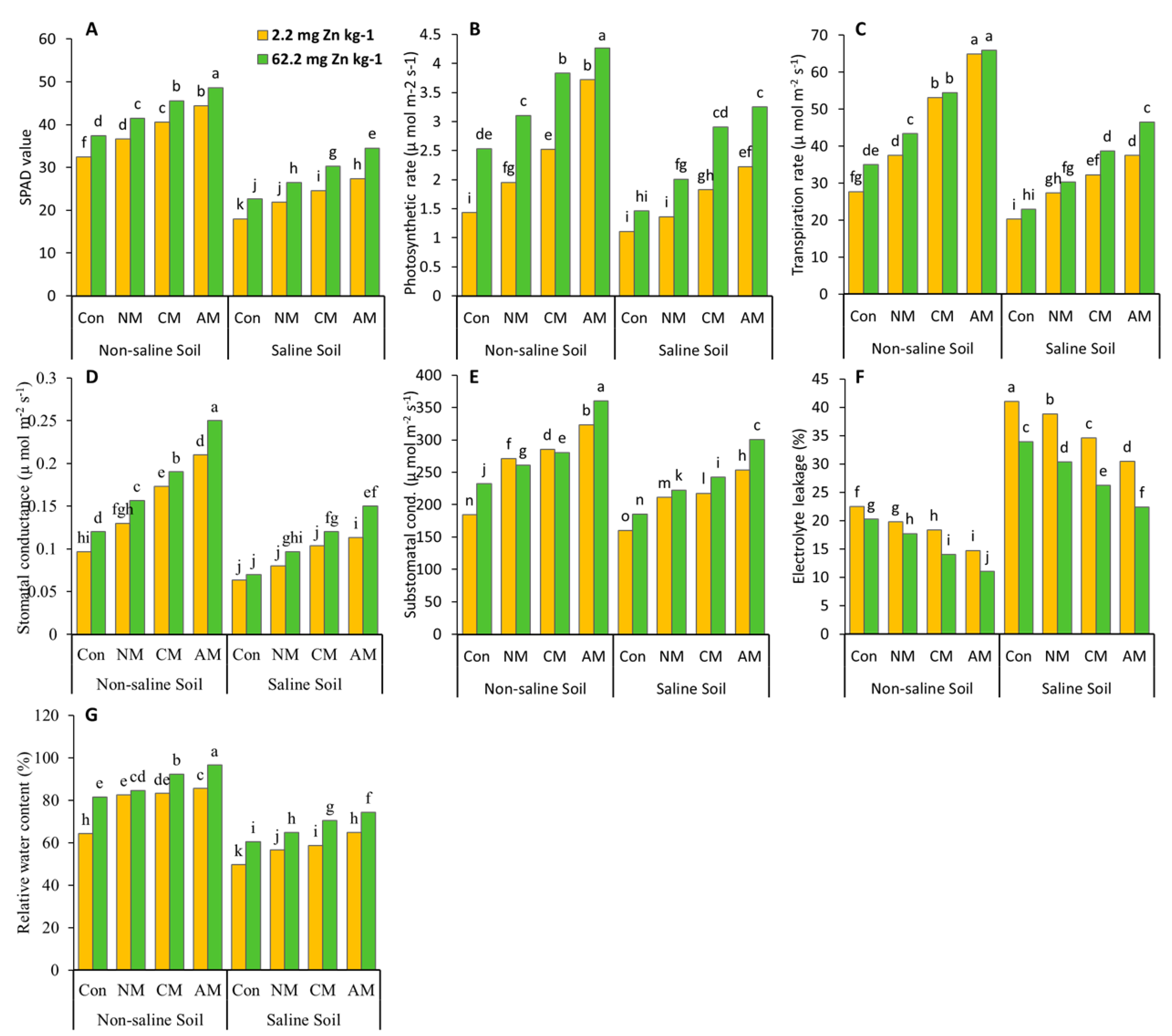
3.2. Physiological Attributes of Crop
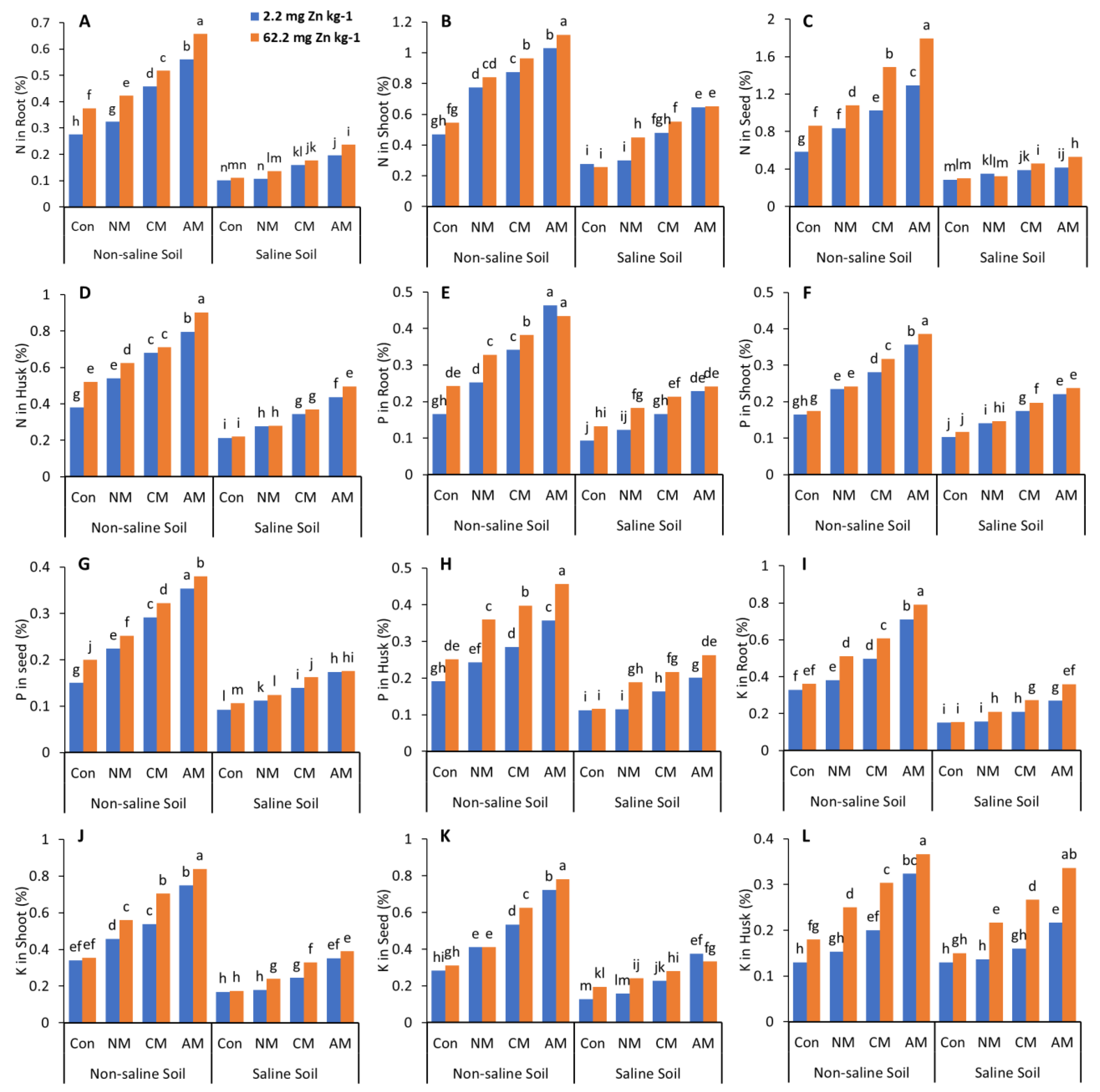
3.3. Grain Quality and Nutrient Analyses
3.4. Results from PCA and Correlation
4. Discussion
5. Conclusions
- Saline conditions most significantly affected plant growth, yield, and nutrient uptake in lentils. Applying zinc with various types of manure alleviated saline toxicity in lentils.
- Acidified manure with zinc (62.2 mg kg−1) showed the most significant increase in plant growth, physiology, yield, and nutrient uptake in lentils under saline and non-saline conditions.
- The treated zinc and acidified manure yielded higher N, P, K, and Zn contents, but the difference between sole and combined applications of these treatments was negligible. The Zn and acidified manure allowed plants to absorb the nutrients necessary to attain their sufficiency level.
- The pH of the soil dropped for a shorter length of time due to acidification by S oxidation, and this pH shock mobilized soil nutrients and made them highly accessible to the plants.
- On the other hand, the tested soil was equipped with a capacity for buffering pH changes; therefore, this product would be better used when the crop has its highest nutritional requirement.
Author Contributions
Funding
Data Availability Statement
Acknowledgments
Conflicts of Interest
References
- Nawaz, A.; Farooq, M.; Lal, R.; Rehman, A.; Rehman, H. Comparison of conventional and conservation rice-wheat systems in Punjab, Pakistan. Soil Tillage Res. 2017, 169, 35–43. [Google Scholar] [CrossRef]
- Mayer, J.E.; Pfeiffer, W.H.; Beyer, P. Biofortified crops to alleviate micronutrient malnutrition. Curr. Opin. Plant Biol. 2008, 11, 166–170. [Google Scholar] [CrossRef] [PubMed]
- Khush, G.S.; Lee, S.; Cho, J.I.; Jeon, J.S. Bio-fortification of crops for reducing malnutrition. Plant Biotech. Rep. 2012, 6, 195–202. [Google Scholar] [CrossRef]
- Kenzhebayeva, S.; Abekova, A.; Atabayeva, S.; Yernazarova, G.; Omirbekova, N.; Zhangand, G.; Wang, Y. Mutant lines of spring wheat with increased iron, zinc, and micronutrients in grains and enhanced bioavailability for human health. BioMed Res. Int. 2019, 2019, 9692053. [Google Scholar] [CrossRef] [PubMed]
- Veena, M.; Puthur, J.T. Seed nutripriming with zinc is an apt tool to alleviate malnutrition. Environ. Geochem. Health 2022, 44, 2355–2373. [Google Scholar] [CrossRef] [PubMed]
- World Health Report. Reducing Risks, Promoting Healthy Life; World Health Organization: Geneva, Switzerland, 2002. [Google Scholar]
- Bhutta, Z.A.; Jiwani, A.; Feroze, A.; Kissana, N.; Monasterio, I.O. Assessment of human zinc deficiency and determinants in Pakistan: Implications for interventions. Proceeding of the International Zinc Association Conference Zinc Crops 2007—Improving Crop Production and Human Health, Istanbul, Turkey, 24–26 May 2007. [Google Scholar]
- Hafeez, B.; Kanif, Y.M.; Saleem, M. Role of Zinc in plant nutrition—A review. Am. J. Exp. Agric. 2013, 3, 374–391. [Google Scholar] [CrossRef]
- Morshedi, A.; Farahbakhsh, H. Effects of potassium and zinc on grain protein contents and yield of two wheat genotypes under soil and water salinity and alkalinity stresses. Plant Ecophys. 2011, 2, 67–72. [Google Scholar]
- Rashid, A.; Ryan, J. Micronutrient constraints to crop production in soils with Mediterranean-type characteristics: A review. J. Plant Nutr. 2008, 27, 959–975. [Google Scholar] [CrossRef]
- Alloway, B.J. Zinc in Soils and Plant Nutrition, 2nd ed.; International Fertilizer Industry Association: Paris, France, 2008. [Google Scholar]
- Imran, M.; Arshad, M.; Khalid, A.; Kanwal, S.; Crowley, D.E. Perspectives of rhizosphere microflora for improving Zn bioavailability and acquisition by higher plants. Int. J. Agric. Biol. 2014, 16, 653–662. [Google Scholar]
- Kochian, L.V. Molecular physiology of mineral nutrient acquisition, transport, and utilization. Biochem. Mol. Biol. Plant 2000, 1204–1249. [Google Scholar]
- Hussain, S.; Maqsood, M.A.; Rahmatullah, M. Increasing grain zinc and yield of wheat for the developing world: A review. Emir. J. Food Agric. 2010, 22, 326–339. [Google Scholar] [CrossRef]
- Alloway, B.J. Zinc in Soils and Crop Nutrition; International Zinc Association: Brussels, Belgium, 2004. [Google Scholar]
- Kausar, M.; Chaudhry, F.; Rashid, A.; Latif, A.; Alam, S. Micronutrient availability to cereals from calcareous soils. Plant Soil 1976, 45, 397–410. [Google Scholar] [CrossRef]
- Cakmak, I. Bio-fortification of cereals with zinc and iron through fertilization strategy. In Proceedings of the 19th World Congress of Soil Science, Brisbane, Australia, 1–6 August 2010; pp. 1–6. [Google Scholar]
- Zhao, K.; Selim, H.M. Adsorption-desorption kinetics of Zn in soils: Influence of phosphate. Soil Sci. 2010, 175, 145–153. [Google Scholar] [CrossRef]
- Siddiq, M.; Uebersax, M.A.; Siddiq, F. Global production, trade, processing and nutritional profile of dry beans and other pulses. In Dry Beans and Pulses: Production, Processing, and Nutrition; John Wiley & Sons Ltd.: Hoboken, NJ, USA, 2022; pp. 1–28. [Google Scholar]
- Migliozzi, M.; Thavarajah, D.; Thavarajah, P.; Smith, P. Lentil and kale: Complementary nutrient-rich whole food sources to combat micronutrient and calorie malnutrition. Nutrients 2015, 7, 9285–9298. [Google Scholar] [CrossRef] [PubMed]
- Pirhayati, M.; Soltanizadeh, N.; Kadivar, M. Chemical and microstructural evaluation of ‘hard-to-cook’phenomenon in legumes (pinto bean and small-type lentil). Int. J. Food Sci. Techn. 2011, 46, 1884–1890. [Google Scholar] [CrossRef]
- Roy, F.; Boye, J.I.; Simpson, B.K. Bioactive proteins and peptides in pulse crops: Pea, chickpea and lentil. Food Res. Int. 2010, 43, 432–442. [Google Scholar] [CrossRef]
- Bouis, H.E.; Welch, R.M. Bio-fortification a sustainable agricultural strategy for reducing micronutrient malnutrition in the global south. Crops Sci. 2010, 50, 20–32. [Google Scholar]
- Anonymous. Zinc in Fertilizers, Essential for Crops; International Zinc Association: Brussels, Belgium, 2007. [Google Scholar]
- Strand, T.A. Zinc and Infectious Disease—Studies of Mice and Men. Doctoral Dissertation, Center for International Health, University of Bergen, Bergen, Norway, 2003. [Google Scholar]
- Imtiaz, M.; Alloway, B.J.; Khan, P.; Memon, M.Y.; Siddiqui, S.H.; Aslam, M.; Shah, K.H. Zinc deficiency in selected cultivars of wheat and barley as tested in solution culture. Commun. Soil Sci. Plant Anal. 2006, 23, 1703–1721. [Google Scholar] [CrossRef]
- Atilgan, A.; Coskan, A.; Alagoz, T.; Oz, H. Application level of chemical and organic fertilizers in the greenhouses of Mediterranean Region and its possible effects. Asian J. Chem. 2008, 20, 3702–3714. [Google Scholar]
- Naveed, S.; Rehim, A.; Imran, M.; Bashir, M.A.; Anwar, M.F.; Ahmad, F. Organic manures: An efficient move towards maize grain bio-fortification. Int. J. Recycl. Org. Waste Agric. 2018, 7, 189–197. [Google Scholar] [CrossRef]
- Hussain, A.; Zahir, Z.A.; Ditta, A.; Tahir, M.U.; Ahmad, M.; Mumtaz, M.Z.; Hayat, K.; Hussain, S. Production and implication of bio-activated organic fertilizer enriched with zinc-solubilizing bacteria to boost up maize (Zea mays L.) production and bio-fortification under two cropping seasons. Agronomy 2019, 10, 39. [Google Scholar] [CrossRef]
- Nelson, D.W.; Sommers, L.E. Total carbon, organic carbon, and organic matter. In Methods of Soil Analysis: Part 3 Chemical Methods; Soil Science Society of America: Madison, WI, USA, 1996; Volume 5, pp. 961–1010. [Google Scholar]
- Soltanpour, P.N.; Workman, S.M.; Schwab, A.P. Use of inductively-coupled plasma spectrometry for the simultaneous determination of macro-and micronutrients in NH4HCO3-DTPA extracts of soils. Soil Sci. Soc. Am. J. 1979, 43, 75–78. [Google Scholar] [CrossRef]
- Jackson, P.E.; Krol, J.; Heckenberg, A.L.; Mientijes, M.; Staal, W. Determination of total nitrogen in food, environmental and other samples by ion chromatography after Kjeldahl digestion. J. Chromatogr. A 1991, 546, 405–410. [Google Scholar] [CrossRef]
- Olsen, S.R.; Sommers, L.E. Phosphorus. In Methods of Soil Analysis: Part 2, 2nd ed.; Page, A.L., Ed.; Agronomy Monograph 9; American Society of Agronomy; Soil Science Society of America: Madison, WI, USA, 1982; pp. 403–430. [Google Scholar]
- Rashid, A.; Zia, M.; Ahmad, W. Micronutrient Fertilizer Use in Pakistan: Historical Perspective and 4r Nutrient Stewardship; CRC Press: Boca Raton, FL, USA, 2022. [Google Scholar]
- Arnon, D.I. Copper enzymes in isolated chloroplasts. Polyphenoloxidase in Beta vulgaris. Plant Physiol. 1949, 24, 1–15. [Google Scholar] [CrossRef] [PubMed]
- Teulat, B.; Zoumarou-Wallis, N.; Rotter, B.; Ben Salem, M.; Bahri, H.; This, D. QTL for relative water content in field-grown barley and their stability across Mediterranean environments. Theor. Appl. Genet. 2003, 108, 181–188. [Google Scholar] [CrossRef] [PubMed]
- Lutts, S.; Kinet, J.M.; Bouharmont, J. NaCl-induced senescence in leaves of rice (Oryza sativa L.) cultivars differing in salinity resistance. Ann. Bot. 2003, 78, 389–398. [Google Scholar] [CrossRef]
- Jones, D.B. Factors for Converting Percentages of Nitrogen in Foods and Feeds into Percentages of Proteins (No. 183); US Department of Agriculture: Washington, DC, USA, 1931. [Google Scholar]
- Ábrahám, E.; Hourton-Cabassa, C.; Erdei, L.; Szabados, L. Methods for determination of proline in plants. In Plant Stress Tolerance: Methods and Protocols; Humana Press: Totowa, NJ, USA, 2010; pp. 317–331. [Google Scholar]
- Wolf, B. The determination of boron in soil extracts, plant materials, composts, manures, water and nutrient solutions. Commun. Soil Sci. Plant Anal. 1971, 2, 363–374. [Google Scholar] [CrossRef]
- Steel, E.A.; Kennedy, M.C.; Cunningham, P.G.; Stanovick, J.S. Applied statistics in ecology: Common pitfalls and simple solutions. Ecosphere 2013, 4, 1–13. [Google Scholar] [CrossRef]
- Kimetu, J.M.; Lehmann, J.; Ngoze, S.O.; Mugendi, D.N.; Kinyangi, J.M.; Riha, S.; Verchot, L.; Recha, J.W.; Pell, A.N. Reversibility of soil productivity decline with organic matter of differing quality along a degradation gradient. Ecosystems 2008, 11, 726–739. [Google Scholar] [CrossRef]
- Fangueiro, D.; Hjorth, M.; Gioelli, F. Acidification of animal slurry—A review. J. Environ. Manag. 2015, 149, 46–56. [Google Scholar] [CrossRef]
- Christensen, M.L.; Hjorth, M.; Keiding, K. Characterization of pig slurry with reference to flocculation and separation. Water Res. 2009, 43, 773–783. [Google Scholar] [CrossRef] [PubMed]
- Figueiredo, D.D.; Barros, P.M.; Cordeiro, A.M.; Serra, T.S.; Lourenço, T.; Chander, S.; Oliveira, M.M.; Saibo, N.J. Seven zinc-finger transcription factors are novel regulators of the stress responsive gene OsDREB1B. J. Exp. Bot. 2012, 63, 3643–3656. [Google Scholar] [CrossRef] [PubMed]
- Marschner, H. Mineral Nutrition of Higher Plant, 2nd ed.; Academic Press: New York, NY, USA, 1995; p. 890. [Google Scholar]
- George, T.S.; French, A.S.; Brown, L.K.; Karley, A.J.; White, P.J.; Ramsay, L.; Daniell, T.J. Genotypic variation in the ability of landraces and commercial cereal varieties to avoid manganese deficiency in soils with limited manganese availability: Is there a role for root-exuded phytases? Physiol. Plant 2014, 151, 243–256. [Google Scholar] [CrossRef] [PubMed]
- Abbas, A.; Azeem, M.; Naveed, M.; Latif, A.; Bashir, S.; Ali, A.; Ali, L. Synergistic use of biochar and acidified manure for improving growth of maize in chromium contaminated soil. Int. J. Phytorem. 2020, 22, 52–61. [Google Scholar] [CrossRef] [PubMed]
- Kato, Y.; Sun, X.; Zhang, L.; Sakamoto, W. Cooperative D1 degradation in the photosystem II repair mediated by chloroplastic proteases in Arabidopsis. Plant Physiol. 2012, 159, 1428–1439. [Google Scholar] [CrossRef] [PubMed]
- Oliveira, H. Chromium as an environmental pollutant: Insights on induced plant toxicity. J. Botany 2012, 2012, 375843. [Google Scholar] [CrossRef]
- Movahhedi-Dehnavi, M. Effect of Foliar Application of Micronutrients (Zinc and Manganese) on the Quantitative and Qualitative Yield of Different Autumn Safflower Cultivars under Drought Stress in Isfahan. Ph. D. Thesis, Tarbiat Modarres University, Tehran, Iran, 2004. [Google Scholar]
- Cakmak, I. Possible roles of zinc in protecting plant cells from damage by reactive oxygen species. New Phytol. 2000, 146, 185–205. [Google Scholar] [CrossRef] [PubMed]
- Lebedev, N.; Timco, P.M. Protochlorophyllide photoreduction. Photosynth. Res. 1998, 58, 5–23. [Google Scholar] [CrossRef]
- Behtash, F.; Tabatabai, J.; Malakoti, M.; Sarvaradin, M.; Oostan, S.H. The effect of zinc and cadmium on growth, chlorophyll, photosynthesis, cadmium concentration in Red Beet. J. Soil Res. 2010, 24, 31–41. [Google Scholar]
- Monneveux, P.; Rekika, D.; Acevedo, E.; Merah, O. Effect of drought on leaf gas exchange, carbon isotope discrimination, transpiration efficiency and productivity in field grown durum wheat genotypes. Plant Sci. 2006, 170, 867–872. [Google Scholar] [CrossRef]
- Chaves, M.M.; Flexas, J.; Pinheiro, C. Photosynthesis under drought and salt stress: Regulation mechanisms from whole plant to cell. Ann. Bot. 2009, 103, 551–560. [Google Scholar] [CrossRef] [PubMed]
- Wang, H.; Jin, J.Y. Photosynthetic rate, chlorophyll fluorescence parameters, and lipid peroxidation of maize leaves as affected by zinc deficiency. Photosynthetica 2005, 43, 591–596. [Google Scholar] [CrossRef]
- Sikuku, P.A.; Netondo, G.W.; Onyango, J.C.; Musyimi, D.M. Chlorophyll fluorescence, protein and chlorophyll content of three nerica rainfed rice varieties under varying irrigation regimes. Sci. Agric. 2010, 10, 84–94. [Google Scholar]
- Saboor, A.; Ali, M.A.; Ahmed, N.; Skalicky, M.; Danish, S.; Fahad, S.; Datta, R. Biofertilizer-based zinc application enhances maize growth, gas exchange attributes, and yield in zinc-deficient soil. Agriculture 2021, 11, 310. [Google Scholar] [CrossRef]
- Blokhina, O.; Virolainen, E.; Fagerstedt, K.V. Antioxidants, oxidative damage and oxygen deprivation stress: A review. Ann. Bot. 2003, 91, 179–194. [Google Scholar] [CrossRef] [PubMed]
- Quan, R.; Shang, M.; Zhang, H.; Zhao, Y.; Zhang, J. Engineering of enhanced glycine betaine synthesis improves drought tolerance in maize. Plant Biotechn. J. 2004, 2, 477–486. [Google Scholar] [CrossRef] [PubMed]
- Edwards, G.E.; Mohamed, A.K. Reduction in carbonic anhydrase activity in zinc deficient leaves of Phaseolus vulgaris L. Crop Sci. 1973, 13, 351–354. [Google Scholar] [CrossRef]
- Huang, Y.H.; Shih, C.M.; Huang, C.J.; Lin, C.M.; Chou, C.M.; Tsai, M.L.; Liu, T.P.; Chiu, J.F.; Chen, C.T. Effects of cadmium on structure and enzymatic activity of Cu, Zn-SOD and oxidative status in neural cells. J. Cell. Biochem. 2006, 98, 577–589. [Google Scholar] [CrossRef]
- Ohki, K. Effect of zinc nutrition on photosynthesis and carbonic anhydrase activity in cotton. Physiol. Plant. 1976, 38, 300–304. [Google Scholar] [CrossRef]
- Fu, C.; Li, M.; Zhang, Y.; Zhang, Y.; Yan, Y.; Wang, Y.A. Morphology, photosynthesis, and internal structure alterations in field apple leaves under hidden and acute zinc deficiency. Sci. Hortic. 2015, 193, 47–54. [Google Scholar] [CrossRef]
- Pedersen, I.F.; Rubæk, G.H.; Sørensen, P. Cattle slurry acidification and application method can improve initial phosphorus availability for maize. Plant Soil 2017, 414, 143–158. [Google Scholar] [CrossRef]
- Tariq, A.; Anjum, S.A.; Randhawa, M.A.; Ullah, E.; Naeem, M.; Qamar, R.; Ashraf, U.; Nadeem, M. Influence of zinc nutrition on growth and yield behaviour of maize (Zea mays L.) Hybrids. Am. J. Plant Sci. 2014, 5, 2646–2654. [Google Scholar] [CrossRef]
- Verma, D.; Meena, R.H.; Sukhwal, A.; Jat, G.; Meena, S.C.; Upadhyay, S.K.; Jain, D. Effect of ZSB with graded levels of zinc fertilizer on yield and zinc uptake under maize cultivation. Proc. Natl. Acad. Sci. India Sect. B Biol. Sci. 2023, 93, 379–385. [Google Scholar] [CrossRef]
- Ziaeyan, A.H.; Rajaie, M. Combined effect of zinc and boron on yield and nutrients accumulation in corn. Int. J. Plant Prod. 2009, 3, 35–44. [Google Scholar]
- Reid, D.E.; Ferguson, B.J.; Hayashi, S.; Lin, Y.H.; Gresshoff, P.M. Molecular mechanisms controlling legume autoregulation of nodulation. Ann. Bot. 2011, 108, 789–795. [Google Scholar] [CrossRef] [PubMed]
- Singh, N.J.; Athokpam, H.S.; Patel, K.P.; Meena, M.C. Effect of nitrogen and phosphorus in conjunction with organic and micronutrients on yield and nutrient uptake by maize-wheat cropping sequences and soil fertility. Environ. Ecol. 2009, 27, 25–31. [Google Scholar]
- Somani, L.L. Micronutrients for Soil and Plant Health; Agrotech Publishing Academy: Udaipur, India, 2008; pp. 14–74. [Google Scholar]
- Uprety, D.; Hejcman, M.; Szakova, J.; Kunzova, E.; Tlustos, P. Concentration of trace elements in arable soil after long-term application of organic fertilizers. Nutr. Cycl. Agroecosyst. 2009, 85, 241–252. [Google Scholar] [CrossRef]
- Lisuma, J.B.; Semoka, J.M.R.; Semu, E. Maize yield response and nutrient uptake after micronutrient application on a volcanic soil. J. Agron. 2006, 98, 402–406. [Google Scholar] [CrossRef]
- Lana, A.M.Q.; Lana, R.M.Q.; Frigoni, A.S.; Trevisan, L.R. Dosages, sources and application period of micronutrients in corn crop. Magistra 2007, 19, 76–81. [Google Scholar]
- Havlin, J.L.; Tisdale, S.L.; Nelson, W.L.; Beaton, J.D. Soil Fertility and Fertilizers, 8th ed.; Mc Millon Publishing Co.: New York, NY, USA, 2016. [Google Scholar]
- Ullah, I.; Jilani, G.; Khan, K.S.; Akhtar, M.S.; Rasheed, M. Sulfur oxidizing bacteria from sulfur rich ecologies exhibit high capability of phosphorous solubilization. Int. J. Agric. Biol. 2014, 16, 550. [Google Scholar]
- Iqbal, M.; Puschenreiter, M.; Oburger, E.; Santner, J.; Wenzel, W.W. Sulfur aided phytoextraction of Cd and Zn by Salix smithiana combined with in situ metal immobilization by gravel sludge and red mud. Environ. Pollut. 2012, 170, 222–231. [Google Scholar] [CrossRef] [PubMed]
- McLaughlin, M.J.; Andrew, S.J.; Smart, M.K.; Smolders, E. Effects of sulfate on cadmium uptake by Swiss chard: I. Effects of complexation and calcium competition in nutrient solutions. Plant Soil. 1998, 202, 211–216. [Google Scholar] [CrossRef]
- Renella, G.; Landi, I.I.; Nannipieri, P. Degradation of low molecular weight organic acids complexed with heavy metals in soil. Geoderma 2004, 122, 311–315. [Google Scholar] [CrossRef]
- Tessier, A.; Campbell, P.G.C.; Bisson, M. Sequential extraction procedure for the speciation of particulate trace metals. Anal. Chem. 1979, 51, 844–851. [Google Scholar] [CrossRef]
- Schwertmann, U.; Susser, P.; Natsher, L. Proton buffer compounds in soil. J. Plant Nutr. Soil Sci. 1987, 150, 174–178. [Google Scholar] [CrossRef]
- Kayser, A.; Wenger, K.; Keller, A.; Attinger, W.; Felix, H.R.; Gupta, S.K.; Schulin, R. Enhancement of phytoextraction of Zn, Cd, and Cu from calcareous soil: The use of nta and sulfur amendments. Environ. Sci. Technol. 2000, 34, 1778–1783. [Google Scholar] [CrossRef]





| Parameters | Soil | FM | CM | AM |
|---|---|---|---|---|
| pH | 7.7 | 7.5 | 6.8 | 2.2 |
| ECe (normal soil) | 1.48 dS m−1 | - | - | - |
| ECe (saline soil) | 8.00 dS m−1 | - | - | - |
| Soil Texture | Sandy clay loam (plaggic) | - | - | - |
| CEC | 12.1 c molc kg−1 | - | - | - |
| Organic matter | 7.20 g kg−1 | - | - | - |
| Saturation percentage | 38% | - | - | - |
| Carbon | 2.37% | 46.30% | 24.60% | 56.30% |
| Nitrogen | 0.31 mg kg−1 | 0.47% | 0.52% | 0.49% |
| Potassium | 87 mg kg−1 | 0.25% | 0.27% | 0.26% |
| Phosphorus | 3.64 mg kg−1 | 0.56% | 0.60% | 0.69% |
| Zinc | 2–2.5 mg kg−1 | 40 mg kg−1 | 43 mg kg−1 | 47 mg kg−1 |
Disclaimer/Publisher’s Note: The statements, opinions and data contained in all publications are solely those of the individual author(s) and contributor(s) and not of MDPI and/or the editor(s). MDPI and/or the editor(s) disclaim responsibility for any injury to people or property resulting from any ideas, methods, instructions or products referred to in the content. |
© 2024 by the authors. Licensee MDPI, Basel, Switzerland. This article is an open access article distributed under the terms and conditions of the Creative Commons Attribution (CC BY) license (https://creativecommons.org/licenses/by/4.0/).
Share and Cite
Younas, N.; Naveed, M.; Yaseen, M.; Younas, M.; Mumtaz, M.Z.; Babar, M.H.; Nadeem, M.; Soysal, S.; Al-Ashkar, I.; Mustafa, A. Processed Manures with Added Zinc Improve Zinc Biofortification in Lentils under Saline Conditions. Agronomy 2024, 14, 1289. https://doi.org/10.3390/agronomy14061289
Younas N, Naveed M, Yaseen M, Younas M, Mumtaz MZ, Babar MH, Nadeem M, Soysal S, Al-Ashkar I, Mustafa A. Processed Manures with Added Zinc Improve Zinc Biofortification in Lentils under Saline Conditions. Agronomy. 2024; 14(6):1289. https://doi.org/10.3390/agronomy14061289
Chicago/Turabian StyleYounas, Noman, Muhammad Naveed, Muhammad Yaseen, Madeeha Younas, Muhammad Zahid Mumtaz, Muhammad Hussnain Babar, Muhammad Nadeem, Sipan Soysal, Ibrahim Al-Ashkar, and Adnan Mustafa. 2024. "Processed Manures with Added Zinc Improve Zinc Biofortification in Lentils under Saline Conditions" Agronomy 14, no. 6: 1289. https://doi.org/10.3390/agronomy14061289
APA StyleYounas, N., Naveed, M., Yaseen, M., Younas, M., Mumtaz, M. Z., Babar, M. H., Nadeem, M., Soysal, S., Al-Ashkar, I., & Mustafa, A. (2024). Processed Manures with Added Zinc Improve Zinc Biofortification in Lentils under Saline Conditions. Agronomy, 14(6), 1289. https://doi.org/10.3390/agronomy14061289

