Dependence of Metolachlor Adsorption by Biochar on Soil Properties in South China
Abstract
1. Introduction
2. Materials and Methods
2.1. Soils and Biochar Addition
2.2. Biochar
2.3. Adsorption Experiments
2.4. Fitting of Adsorption Isotherm Equation
2.5. Analytical Methods
2.6. Data Processing and Statistics
3. Results
3.1. Isothermal Adsorption Characteristics in the 22 Soils without Biochar Additions
3.2. Isothermal Adsorption Characteristics in the 22 Soils with Biochar Additions
| Freundlich | Langmuir | |||||
|---|---|---|---|---|---|---|
| Kf (mg1−n Ln kg−1) | n | R2 | b (L mg−1) | Qm (mg g−1) | R2 | |
| GZ-1 | 33.80 ± 1.41 | 1.17 ± 0.01 | 1.00 | 141.62 ± 9.32 | 3540.73 ± 125.24 | 1.00 |
| GZ-2 | 82.27 ± 1.11 | 0.41 ± 0.01 | 0.94 | 19.01 ± 1.25 | 583.34 ± 85.42 | 0.93 |
| TS-1 | 21.00 ± 0.98 | 0.85 ± 0.02 | 0.98 | 2.53 ± 0.05 | 13.09 ± 0.85 | 0.94 |
| TS-2 | 56.35 ± 1.03 | 1.77 ± 0.02 | 0.73 | 39.87 ± 0.25 | 945.86 ± 69.32 | 0.78 |
| TS-3 | 23.75 ± 0.78 | 0.89 ± 0.04 | 0.95 | 2.20 × 1015 ± 0.01 × 1015 | 8.11 × 1016 ± 0.02 × 1016 | 0.94 |
| HZ-1 | 0.80 ± 0.21 | 0.56 ± 0.02 | 0.97 | 1.33 × 1016 ± 0.01 × 1016 | 2.02 × 1017 ± 0.01 × 1017 | 0.81 |
| HZ-2 | 32.23 ± 0.23 | 1.63 ± 0.05 | 0.92 | 51.12 ± 0.35 | 735.25 ± 99.25 | 0.95 |
| HZ-3 | 60.29 ± 0.14 | 1.10 ± 0.04 | 0.88 | 148.25 ± 8.25 | 8000.36 ± 253.41 | 0.89 |
| DG-1 | 30.06 ± 0.11 | 1.81 ± 0.04 | 0.95 | 40.70 ± 0.69 | 487.18 ± 17.32 | 0.97 |
| DG-2 | 28.99 ± 0.14 | 0.95 ± 0.02 | 0.99 | 3.42 × 1015 ± 1.41 × 1015 | 1.17 × 1017 ± 0.02 × 1017 | 0.99 |
| HZ-4 | 13.23 ± 0.11 | 0.84 ± 0.03 | 0.84 | 6.29 × 1014 ± 0.02 × 1014 | 1.67 × 1016 ± 0.01 × 1016 | 0.91 |
| HZ-5 | 22.58 ± 0.09 | 1.30 ± 0.05 | 0.93 | 129.07 ± 1.41 | 1648.12 ± 154.25 | 0.91 |
| GZ-3 | 11.62 ± 0.11 | 0.77 ± 0.07 | 1.00 | 1.19 × 1016 ± 0.04 × 1016 | 3.84 × 1017 ± 0.02 × 1017 | 0.95 |
| GZ-4 | 23.58 ± 0.15 | 1.44 ± 0.11 | 0.96 | 78.34 ± 1.58 | 926.29 ± 142.31 | 0.97 |
| GZ-5 | 30.59 ± 0.12 | 0.95 ± 0.08 | 0.89 | 1.68 × 1004 ± 0.08 × 1004 | 6.14 × 105 ± 0.02 × 105 | 0.88 |
| HS-1 | 29.10 ± 0.08 | 2.16 ± 0.14 | 0.94 | 27.15 ± 0.14 | 280.94 ± 1.41 | 0.99 |
| JM-1 | 56.28 ± 0.17 | 1.36 ± 0.05 | 0.99 | 76.53 ± 0.27 | 2530.87 ± 100.88 | 0.99 |
| ZH-2 | 76.86 ± 0.31 | 1.38 ± 0.07 | 0.99 | 62.61 ± 0.52 | 2882.66 ± 99.26 | 1.00 |
| ST-1 | 25.29 ± 0.18 | 0.90 ± 0.06 | 0.99 | 3.33 × 1014 ± 0.26 × 1014 | 1.26 × 1016 ± 0.03 × 1016 | 0.98 |
| ST-2 | 43.97 ± 0.21 | 1.51 ± 0.08 | 0.99 | 60.92 ± 1.98 | 1324.82 ± 111.54 | 0.99 |
| ST-3 | 10.25 ± 0.23 | 0.80 ± 0.07 | 0.98 | 2.62 × 1015 ± 0.10 × 1015 | 6.51 × 1016 ± 0.01 × 1016 | 0.95 |
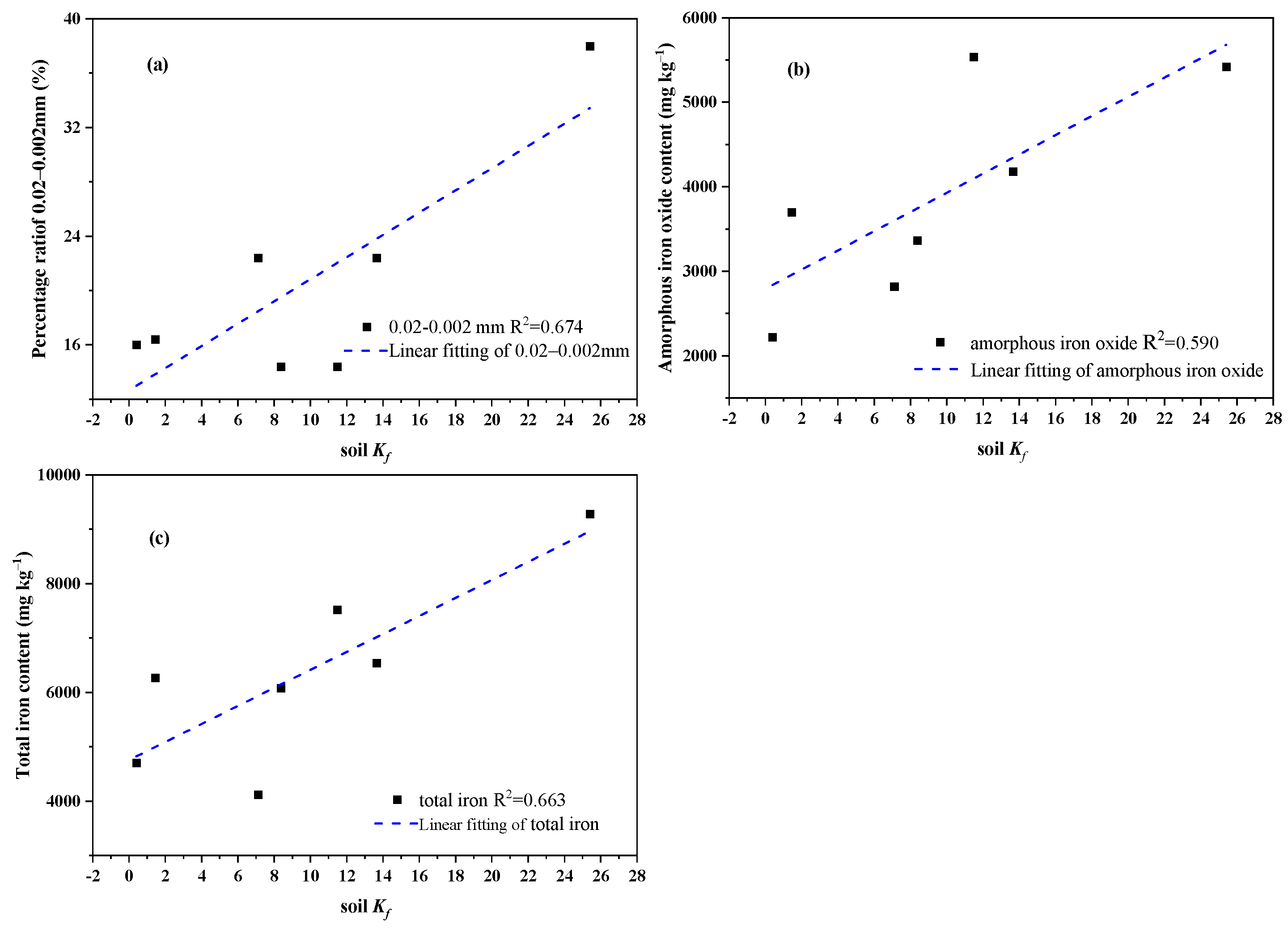
3.3. The Relationships between Isothermal Adsorption Parameters and Soil Properties
4. Discussion
4.1. The Characteristics of Metolachlor Adsorption in the 22 Soils
4.2. The Impacts of Biochar Addition on Metolachlor Adsorption of the 22 Soils
5. Conclusions
Author Contributions
Funding
Data Availability Statement
Conflicts of Interest
References
- Liu, L.; Dai, Y. Strong adsorption of metolachlor by biochar prepared from walnut shells in water. Environ. Sci. Pollut. Res. 2021, 28, 48379–48391. [Google Scholar] [CrossRef]
- Liu, L.; Yuan, M.; Wang, X.; Li, X.; Dai, Y. Biochar aging: Properties, mechanisms, and environmental benefits for adsorption of metolachlor in soil. Environ. Technol. Innov. 2021, 24, 101841. [Google Scholar] [CrossRef]
- Zhang, Y.; Yang, C.; Zheng, Z.; Cao, B.; You, F.; Liu, Y.; Jiang, Z. Mechanism for various phytotoxicity of atrazine in soils to soybean: Insights from soil sorption abilities and dissolved organic matter properties. J. Environ. Manag. 2021, 297, 113220. [Google Scholar] [CrossRef] [PubMed]
- Wu, L.; Zhao, L.; Bi, E. Predicting the effect of dissolved humic acid on sorption of benzotriazole to biochar. Biochar 2022, 1, 203–215. [Google Scholar] [CrossRef]
- Weber, J.; Mckinnon, E.; Swain, L. Sorption and mobility of 14C-labeled imazaquin and metolachlor in four soils as infuenced by soil properties. J. Agric. Food Chem. 2003, 51, 5752–5759. [Google Scholar] [CrossRef]
- Wang, Y.; Zhang, X.; Zhang, X.; Meng, Q.; Gao, F.; Zhang, Y. Characterization of spectral responses of dissolved organic matter (DOM) for atrazine binding during the sorption process onto black. Soil Chem. 2017, 180, 531–539. [Google Scholar] [CrossRef] [PubMed]
- Yang, X.; Zhang, S.; Liu, L. Study on the long-term effects of DOM on the adsorption of BPS by biochar. Chemosphere 2020, 242, 125165. [Google Scholar] [CrossRef]
- De Jesus Duarte, S.; Glaser, B.; Cerri, C. Effect of Biochar Particle Size on Physical, Hydrological and Chemical Properties of Loamy and Sandy Tropical Soils. Agronomy 2019, 9, 165. [Google Scholar] [CrossRef]
- Chen, H.; Qin, P.; Yang, X.; Bhatnagar, A.; Shaheen, S.; Rinklebe, J.; Wu, F.; Xu, S.; Che, L.; Wang, H. Sorption of diethylphthalate and cadmium by pig carcass and green waste-derived biochars under single and binary systems. Environ. Res. 2021, 193, 110594. [Google Scholar] [CrossRef]
- Houssou, A.; Jeyakumar, P.; Niazi, N.; Zwieten, L.; Li, X.; Huang, L.; Wei, L.; Zheng, X.; Huang, Q.; Huang, Y.; et al. Biochar and soil properties limit the phytoavailability of lead and cadmium by Brassica chinensis L. in contaminated soils. Biochar 2022, 1, 58–72. [Google Scholar] [CrossRef]
- Askeland, M.; Clarke, B.; Cheema, S.; Mendez, A.; Gasco, G.; Paz-Ferreiro, J. Biochar sorption of PFOS, PFOA, PFHxS and PFHxA in two soils with contrasting texture. Chemosphere 2020, 249, 126072. [Google Scholar] [CrossRef]
- White, J.; Potter, T.; Lima, I. Sugarcane bagasse and pine wood biochar effects on aerobic soil dissipation of metribuzin and pendimethalin. In Proceedings of the American Chemical Society Fall 2011 National Meeting and Exposition, Denver, CO, USA, 28 August–2 September 2011. [Google Scholar]
- Wang, H.; Lin, K.; Hou, Z.; Richardson, B.; Gan, J. Sorption of the herbicide terbuthylazine in two New Zealand forest soils amended with biosolids and biochars. J. Soils Sediments 2010, 10, 283–289. [Google Scholar] [CrossRef]
- Sigmund, G.; Castan, S.; Wabnitz, C.; Bakkour, R.; Huffffer, T.; Hofmann, T.; Elsner, M. NO2 and natural organic matter affect both soot aggregation behavior and sorption of S-metolachlor. Environ. Sci. Process. Impacts 2019, 21, 1729. [Google Scholar] [CrossRef]
- Sun, Y.; Zhao, L.; Li, X.; Xu, H.; Weng, L.; Yang, L.; Li, Y. Response of soil bacterial and fungal community structure succession to earthworm addition for bioremediation of metolachlor. Ecotoxicol. Environ. Saf. 2020, 189, 109926. [Google Scholar] [CrossRef]
- Marín-Benito, J.; Herrero-Hernandez, E.; Ordax, J.; Sanchez-Martín, M.; Rodríguez-Cruz, M. The role of two organic amendments to modify the environmental fate of S-metolachlor in agricultural soils. Environ. Res. 2021, 195, 110871. [Google Scholar] [CrossRef]
- Paszko, T.; Muszy’nski, P.; Materska, M.; Bojanowska, M.; Kostecka, M.; Jackowska, I. Adsorption and degradation of phenoxyalkanoic acid herbicides in soils: A review. Environ. Toxicol. Chem. 2016, 35, 271–286. [Google Scholar] [CrossRef]
- Wei, L.; Huang, Y.; Huang, L.; Li, Y.; Huang, Q.; Xu, G.; Müller, K.; Wang, H.; Ok, Y.; Liu, Z. The ratio of H/C is a useful parameter to predict adsorption of the herbicide metolachlor to biochars. Environ. Res. 2020, 184, 109324. [Google Scholar] [CrossRef]
- Lu, R.K. Soil Agricultural Chemical Analysis and Method; Chinese Agriculture Science and Technology Press: Beijing, China, 2000. (In Chinese) [Google Scholar]
- Dick, R. (Ed.) Methods of Soil Enzymology; Soil Science Society of America: Madison, WI, USA, 2011; pp. 71–84. [Google Scholar]
- Yu, J.; Yu, Y.; Fang, L.; Shu, H. Effects of low molecular weight organic acids on the pH and the form of aluminum of forest soils. J. Fujian Coll. For. 2005, 245, 243–246. (In Chinese) [Google Scholar]
- Shi, X.; Yu, D.; Warner, E.; Pan, X.; Petersen, G.; Gong, Z.; Weindorf, D. Soil Database of 1:1,000,000 Digital Soil Survey and Reference System of the Chinese Genetic Soil Classification System. Soil Surv. Horiz. 2004, 45, 129–136. [Google Scholar] [CrossRef]
- Spark, K.; Swift, R. Effect of Soil Composition and Dissolved Organic Matter on Pesticide Sorption. Sci. Total Environ. 2002, 298, 147–161. [Google Scholar] [CrossRef]
- Si, Y.; Takagi, K.; Iwasaki, A.; Zhou, D. Adsorption, desorption and dissipation of metolachlor in surface and subsruface soils. Pest Manag. Sci. 2009, 65, 956–962. [Google Scholar] [CrossRef] [PubMed]
- Kodešová, R.; Kočárek, M.; Kodeš, V.; Drábek, O.; Kozák, J.; Hejtmánková, K. Pesticide adsorption in relation to soil properties and soil type distribution in regional scale. J. Hazard. Mater. 2011, 186, 540–550. [Google Scholar] [CrossRef] [PubMed]
- Peter, C.; Weber, J. Adsorption, Mobility, and Efficacy of Alachlor and Metolachlor as Influenced by Soil Properties. Weed Sci. 1985, 33, 874–881. [Google Scholar] [CrossRef]
- Bedmar, F.; Daniel, P.; Costa, J.; Giménez, D. Sorption of acetochlor, S-metolachlor, and atrazine in surface and subsurface soil horizons of Argentina. Environ. Chem. 2011, 30, 1990–1996. [Google Scholar] [CrossRef] [PubMed]
- Clausen, L.; Fabricius, I. Atrazine, isoproturon, mecoprop, 2,4-D, and bentazone adsorption onto iron oxides. J. Environ. Qual. 2001, 30, 858–869. [Google Scholar] [CrossRef] [PubMed]
- Clausen, L.; Fabricius, I.; Madsen, L. Adsorption of pesticides onto quartz, calcite, kaolinite, and α-alumina. J. Environ. Qual. 2001, 30, 846–857. [Google Scholar] [CrossRef] [PubMed]
- Zhao, Y.; Geng, J.; Wang, X.; Gu, X.; Gao, S. Tetracycline Adsorption on Kaolinite: pH, Metal Cations and Humic Acid Effects. Ecotoxicology 2011, 20, 1141–1147. [Google Scholar] [CrossRef]
- Janniche, G.; Mouvet, C.; Albrechtsen, H. Vertical small scale variations of erosion and mineralization of three herbicities in subsurface limestone and sandy acquirer. J. Contam. Hydrol. 2011, 123, 167–177. [Google Scholar] [CrossRef] [PubMed]
- Barré, P.; Plante, A.; Cécillon, L.; Lutfalla SBaudin, F.; Bernard, S.; Christensen, B.; Eglin, T.; Fernandez, J.; Houot, S. The energetic and chemical signatures of persistent soil organic matter. Biogeochemistry 2016, 130, 1–12. [Google Scholar] [CrossRef]
- Coquet, Y.; Vachier, P.; Labat, C. Vertical variation of near-saturated hydraulic conductivity in three soil profiles. Geoderma 2005, 126, 181–191. [Google Scholar] [CrossRef]
- Cheng, H.; Zhang, R.; Chen, G. Sorption of four s-triazine herbicides on natural zeolite and clay mineral materials with microporosity. Fundam. Res. 2021, 1, 285–295. [Google Scholar] [CrossRef]
- Chaara, D.; Bruna, F.; Ulibarri, M.; Draoui, K.; Barriga, C.; Pavlovic, I. Organic/layered double hydroxide nanohybrids used to remove non ionic pesticides. J. Hazard. Mater. 2011, 196, 350–359. [Google Scholar]
- Chang, J.; Fang, W.; Chen, L.; Zhang, P.; Zhang, G.; Zhang, H.; Liang, J.; Wang, Q.; Ma, W. Toxicological effects, environmental behaviors and remediation technologies of herbicide atrazine in soil and sediment: A comprehensive review. Chemosphere 2022, 307, 136006. [Google Scholar] [CrossRef] [PubMed]
- Gupta, K.; Joshi, P.; Gusain, R.; Hatri, O. Recent advances in adsorptive removal of heavy metal and metalloid ions by metal oxide-based nanomaterials. Coord. Chem. Rev. 2021, 445, 214100. [Google Scholar] [CrossRef]
- Spokas, K.; Koskinen, W.; Baker, J.; Reicosky, D. Impacts of woodchip biochar additions on greenhouse gas production and sorption/degradation of two herbicides in a Minnesota soil. Chemosphere 2009, 77, 574–581. [Google Scholar] [CrossRef] [PubMed]
- Yang, X.; Ying, G.; Peng, P.; Wang, L.; Zhao, J.; Zhang, L.; Yuan, P.; He, H. Influence of biochars on plant uptake and dissipation of two pesticides in an agricultural soil. J. Agric. Food Chem. 2010, 58, 7915–7921. [Google Scholar] [CrossRef] [PubMed]
- Tang, S.; Liang, J.; Gong, J.; Song, B.; Yang, Z.; Fang, S.; Zhang, P.; Cao, W.; Li, J.; Luo, Y. The effects of biochar/compost for adsorption behaviors of sulfamethoxazole in amended wetland soil. Environ. Sci. Pollut. Res. Int. 2021, 28, 49289–49301. [Google Scholar] [CrossRef]
- Álvarez-Benedí, J.; Cartón, A.; Fernández, J. Sorption of Tribenuron-methyl, Chlorsulfuron, and Imazamethabenz-methyl by Soils. J. Agric. Food Chem. 1998, 46, 2840–2844. [Google Scholar] [CrossRef]
- Ye, J.; Zhang, R.; Nielsen, S.; Joseph, S.; Huang, D.; Thomas, T. A Combination of Biochar–Mineral Complexes and Compost Improves Soil Bacterial Processes, Soil Quality, and Plant Properties. Front. Microbiol. 2016, 7, 372. [Google Scholar] [CrossRef]
- Shattar, S.; Zakaria, N.; Foo, K. One step acid activation of bentonite derived adsorbent for the effective remediation of the new generation of industrial pesticides. Sci. Rep. 2020, 10, 20151. [Google Scholar] [CrossRef]
- Li, X.; Zhang, C.; Deng, J.; Xu, G.; Wei, M.; Wei, L.; Liu, Z. The effect of biochar on butachlor adsorption isotherm and mechanism in different soils. J. Agro-Environ. Sci. 2024. (In Chinese) [Google Scholar]
- Adnan, M.; Xu, M.; Syed, A.; Muhammad, M.; Nan, S.; Wang, B.; Cai, Z.; Qudsia, S.; Muhammad, N.; Khalid, M.; et al. Soil aggregation and soil aggregate stability regulate organic carbon and nitrogen storage in a red soil of southern China. J. Environ. Manag. 2020, 270, 110894. [Google Scholar]
- Wang, Y.; Wang, Y.; Li, L.; Li, S. Composition Characteristic of Soil Aggregates and Their Stability in Red Soils As Affected by the Soil Parent Materials and Land Use Types. Chin. J. Soil Sci. 2013, 44, 776–784. (In Chinese) [Google Scholar]
- Wang, H.; Guan, D.; Zhang, R.; Chen, Y.; Hu, Y.; Xiao, L. Soil aggregates and organic carbon affected by the land use change from rice paddy to vegetable field. Ecol. Eng. 2014, 70, 206–211. [Google Scholar] [CrossRef]
- Barré, P.; Durand, H.; Chenu, C.; Meunier, P.; Montagne, D.; Castel, G.; Billiou, D.; Soucémarianadin, L.; Cécillon, L. Geological control of soil organic carbon and nitrogen stocks at the landscape scale. Geoderma 2017, 285, 50–56. [Google Scholar] [CrossRef]
- Wang, Y.; Pang, J.; Zhang, M.; Tian, Z.; Wei, T.; Jia, Z.; Ren, X.; Zhang, P. Is adding biochar be better than crop straw for improving soil aggregates stability and organic carbon contents in film mulched fields in semiarid regions? -Evidence of 5-year field experiment. J. Environ. Manag. 2023, 338, 117711. [Google Scholar] [CrossRef]
- Xue, P.; Fu, Q.; Li, T.; Liu, D.; Hou, R.; Li, Q.; Li, M.; Meng, F. Effects of biochar and straw application on the soil structure and water-holding and gas transport capacities in seasonally frozen soil areas. J. Environ. Manag. 2022, 301, 113943. [Google Scholar] [CrossRef]
- Laird, D.; Fleming, P.; Davis, D.; Horton, R.; Wang, B.; Karlen, D. Impact of biochar amendments on the quality of a typical Midwestern agricultural soil. Geoderma 2010, 158, 443–449. [Google Scholar] [CrossRef]
- Lehmann, J. A handful of carbon. Nature 2007, 447, 143–144. [Google Scholar] [CrossRef]
- Shi, J.; Han, H.; Xu, C. A novel enhanced anaerobic biodegradation method using biochar and Fe(OH)3 biochar for the removal of nitrogen heterocyclic compounds from coal gasification wastewater. Sci. Total Environ. 2019, 697, 134052. [Google Scholar] [CrossRef]
- Rahman, M.; Zhu, Q.; Zhang, Z.; Zhou, H.; Peng, X. The roles of organic amendments and microbial community in the improvement of soil structure of a vertisol. Appl. Soil Ecol. 2017, 111, 84–93. [Google Scholar] [CrossRef]
- Zhao, S.; Zhang, Q.; Zhang, C.; Ji, L.; OK, Y. Biochar–microbial interactions in contaminated soil remediation: A review. J. Agro-Environ. Sci. 2023, 42, 1423–1435. (In Chinese) [Google Scholar]








| Freundlich | Langmuir | |||||
|---|---|---|---|---|---|---|
| Kf (mg1−n Ln kg−1) | n | R2 | b (L mg−1) | Qm (mg g−1) | R2 | |
| GZ-1 | 16.41 ± 0.05 | 1.08 ± 0.01 | 0.88 | 818.31 ± 10.87 | 10,773.55 ± 632.14 | 0.83 |
| GZ-2 | 16.28 ± 0.03 | 1.46 ± 0.02 | 0.92 | 74.11 ± 5.63 | 608.47 ± 12.36 | 0.93 |
| TS-1 | 0.39 ± 0.01 | 0.62 ± 0.01 | 0.96 | 2.53 ± 0.88 | 13.09 ± 0.02 | 0.94 |
| TS-2 | 25.41 ± 0.04 | 1.63 ± 0.04 | 0.89 | 61.00 ± 6.36 | 635.07 ± 21.55 | 0.83 |
| TS-3 | 4.41 ± 0.02 | 0.66 ± 0.01 | 1.00 | 2.23 × 1015 ± 0.01 × 1015 | 5.99 × 1016 ± 0.10 × 1016 | 0.89 |
| HZ-1 | 0.19 ± 0.01 | 0.57 ± 0.01 | 0.87 | 2.30 ± 0.01 | 13.99 ± 0.22 | 0.74 |
| HZ-2 | 2.62 ± 0.04 | 0.88 ± 0.02 | 0.98 | 4.09 × 1016 ± 0.02 × 1016 | 1.77 × 1017 ± 0.08 × 1017 | 0.96 |
| HZ-3 | 10.25 ± 0.07 | 0.77 ± 0.01 | 0.98 | 1.35 × 1015 ± 0.01 × 1015 | 4.07 × 1016 ± 0.04 × 1016 | 0.93 |
| DG-1 | 0.01 ± 0.00 | 0.32 ± 0.01 | 1.00 | 1.79 ± 0.02 | 19.08 ± 0.08 | 0.87 |
| DG-2 | 17.69 ± 0.04 | 0.99 ± 0.05 | 0.97 | 906.84 ± 20.35 | 17,192.23 ± 569.21 | 0.96 |
| HZ-4 | 1.44 ± 0.01 | 0.98±0.04 | 0.96 | 5.10 × 1013 ± 0.02 × 1013 | 7.98 × 1013 ± 0.03 × 1013 | 0.96 |
| HZ-5 | 63.18 ± 0.11 | 3.16 ± 0.08 | 0.97 | 11.79 ± 0.05 | 272.15 ± 10.77 | 0.87 |
| GZ-3 | 7.09 ± 0.04 | 0.78 ± 0.04 | 0.99 | 1.75 × 1016 ± 0.02 × 1016 | 3.48 × 1017 ± 0.03 × 1017 | 0.95 |
| GZ-4 | 2.09 ± 0.05 | 1.04 ± 0.06 | 0.99 | 1108.62 ± 88.36 | 2103.32 ± 95.63 | 0.98 |
| GZ-5 | 8.36 ± 0.04 | 0.76 ± 0.04 | 1.00 | 1.69 × 1016 ± 0.02 × 1016 | 4.43 × 1017 ± 0.05 × 1017 | 0.95 |
| HS-1 | 0.27 ± 0.01 | 0.77 ± 0.03 | 0.98 | 1.03 ± 0.01 | 7.92 ± 0.02 | 0.98 |
| JM-1 | 15.48 ± 0.09 | 0.72 ± 0.02 | 0.99 | 2.24 × 107 ± 0.01 × 107 | 1.23 × 109 ± 0.01 × 109 | 0.91 |
| ZH-2 | 35.05 ± 0.10 | 1.06 ± 0.08 | 0.95 | 493.53 ± 15.36 | 15,091.69 ± 264.36 | 0.94 |
| ST-1 | 11.47 ± 0.05 | 0.80 ± 0.04 | 0.94 | 5.52 × 1015 ± 0.02 × 1015 | 1.54 × 1017 ± 0.02 × 1017 | 0.89 |
| ST-2 | 13.65 ± 0.06 | 1.18 ± 0.07 | 0.99 | 198.46 ± 33.65 | 1874.80 ± 99.36 | 1.00 |
| ST-3 | 3.06 ± 0.02 | 0.69 ± 0.06 | 0.99 | 4.58 ± 0.02 | 7.91 ± 0.05 | 0.97 |
| (a) | ||||||||||||
| Soil | pH | SOM (g kg−1) | Total N (g kg−1) | Total P (g kg−1) | Total K (g kg−1) | Available N (mg kg−1) | Available P (mg kg−1) | Available K (mg kg−1) | CEC (cmol (+)kg−1) | 2–0.02 (mm) | 0.02–0.002 (mm) | <0.002 (mm) |
| DG-1 | 6.12 | 14.34 | 1.24 | 1.85 | 7.38 | 7.18 | 6.71 | 234.00 | 4.93 | 68.0 | 22.4 | 9.6 |
| DG-2 | 4.69 | 18.64 | 1.16 | 1.67 | 26.38 | 24.41 | 26.45 | 247.50 | 9.16 | 42.0 | 30.4 | 27.6 |
| GZ-1 | 6.82 | 38.54 | 2.09 | 0.67 | 24.04 | 7.32 | 8.12 | 64.29 | 13.30 | 32.0 | 38.0 | 30.0 |
| GZ-2 | 5.52 | 18.29 | 1.37 | 3.21 | 21.15 | 11.84 | 11.18 | 202.08 | 6.11 | 26.0 | 38.0 | 36.0 |
| GZ-3 | 7.06 | 18.07 | 1.52 | 0.91 | 15.88 | 7.10 | 7.56 | 121.00 | 6.73 | 54.0 | 22.4 | 23.6 |
| GZ-4 | 5.54 | 15.20 | 1.41 | 0.92 | 23.00 | 0.98 | 1.06 | 315.00 | 8.71 | 48.0 | 24.4 | 27.6 |
| GZ-5 | 5.42 | 16.06 | 1.42 | 1.42 | 11.75 | 10.49 | 11.48 | 240.00 | 5.43 | 72.0 | 14.4 | 13.6 |
| HZ-1 | 5.37 | 15.48 | 1.09 | 1.17 | 10.25 | 10.27 | 11.46 | 196.50 | 5.00 | 68.0 | 16.4 | 15.6 |
| HZ-2 | 4.13 | 29.54 | 1.39 | 0.91 | 22.50 | 5.26 | 4.47 | 151.50 | 5.76 | 48.0 | 32.4 | 19.6 |
| HZ-3 | 6.15 | 24.08 | 1.46 | 1.38 | 12.88 | 4.56 | 4.94 | 135.50 | 8.21 | 42.0 | 24.4 | 33.6 |
| HZ-4 | 4.74 | 19.21 | 1.21 | 1.10 | 26.75 | 2.91 | 1.38 | 165.00 | 5.07 | 70.0 | 16.4 | 13.6 |
| HZ-5 | 4.51 | 22.94 | 1.16 | 1.48 | 8.13 | 2.62 | 2.34 | 257.50 | 5.29 | 36.0 | 38.4 | 25.6 |
| JM-1 | 5.96 | 30.63 | 1.37 | 0.78 | 20.56 | 7.88 | 8.59 | 84.00 | 10.69 | 10.0 | 50.2 | 39.8 |
| JM-2 | 5.92 | 8.33 | 0.51 | 0.49 | 34.22 | 16.92 | 18.06 | 119.00 | 3.41 | 72.3 | 16.3 | 11.4 |
| JM-3 | 6.02 | 19.16 | 1.14 | 3.89 | 20.19 | 5.74 | 5.50 | 53.57 | 4.26 | 74.0 | 16.0 | 10.0 |
| JM-4 | 4.96 | 27.28 | 1.72 | 1.31 | 16.83 | 1.28 | 0.96 | 41.07 | 5.33 | 40.0 | 38.0 | 10.0 |
| JM-5 | 4.53 | 25.25 | 1.45 | 1.21 | 12.50 | 11.18 | 11.38 | 41.07 | 3.37 | 56.0 | 30.0 | 14.0 |
| ST-1 | 5.19 | 23.12 | 1.49 | 1.65 | 20.35 | 10.41 | 11.59 | 58.05 | 9.00 | 72.0 | 14.4 | 13.6 |
| ST-2 | 5.02 | 19.88 | 1.60 | 0.35 | 20.03 | 14.50 | 14.97 | 55.53 | 6.74 | 36.0 | 38.4 | 25.6 |
| ST-3 | 6.86 | 17.57 | 1.18 | 0.72 | 16.94 | 8.17 | 8.43 | 41.93 | 11.01 | 54.0 | 22.4 | 23.6 |
| ST-4 | 6.82 | 26.28 | 1.88 | 0.89 | 17.88 | 15.71 | 14.80 | 44.95 | 8.48 | 56.0 | 30.0 | 14.0 |
| ZH-1 | 6.07 | 46.27 | 2.72 | 1.04 | 18.91 | 19.09 | 23.47 | 119.00 | 17.73 | 72.0 | 49.0 | 43.8 |
| (b) | ||||||||||||
| Soil | DHO (mg g−1) | POD (mg 100 g−1) | PPO (mg 100 g−1) | INV (ml g−1) | PRO (ug g−1) | ACP (mg 100 g−1) | CAT (mmol g−1) | EC (mg 100 g−1) | ||||
| DG-1 | 55.09 | 4675.64 | 1572.29 | 0.08 | 3225.60 | 55.08 | 0.29 | 9.85 | ||||
| DG-2 | 6.15 | 6021.09 | 914.75 | 0.11 | 521.62 | 39.15 | 0.09 | 38.70 | ||||
| GZ-1 | 136.70 | 5402.91 | 158.12 | 0.17 | 784.32 | 8.17 | 0.10 | 10.05 | ||||
| GZ-2 | 153.57 | 4339.28 | 194.15 | 0.14 | 6284.39 | 38.28 | 0.13 | 17.34 | ||||
| GZ-3 | 157.51 | 5912.00 | 293.23 | 0.15 | 4087.23 | 4.98 | 0.08 | 13.39 | ||||
| GZ-4 | 120.14 | 8230.16 | 275.21 | 0.16 | 2206.01 | 37.99 | 0.07 | 31.41 | ||||
| GZ-5 | 85.49 | 6211.99 | 266.21 | 0.16 | 8294.86 | 47.26 | 0.13 | 7.93 | ||||
| HZ-1 | 89.13 | 5421.09 | 239.18 | 0.17 | 3512.81 | 73.90 | 0.15 | 62.18 | ||||
| HZ-2 | 127.71 | 3884.74 | 113.08 | 0.14 | 1559.78 | 47.55 | 0.25 | 12.58 | ||||
| HZ-3 | 33.67 | 4793.82 | 95.06 | 0.13 | 1413.22 | 49.58 | 0.22 | 14.81 | ||||
| HZ-4 | 96.70 | 6966.53 | 131.09 | 0.14 | 2731.22 | 9.61 | 0.17 | 23.82 | ||||
| HZ-5 | 183.67 | 5430.18 | 1049.86 | 0.17 | 2586.24 | 41.47 | 0.28 | 10.05 | ||||
| JM-1 | 72.96 | 4630.19 | 1896.56 | 0.28 | 6355.69 | 96.49 | 0.42 | 38.09 | ||||
| JM-2 | 84.78 | 6757.44 | 248.19 | 0.20 | 2256.74 | 7.30 | 0.20 | 12.78 | ||||
| JM-3 | 177.96 | 8048.34 | 527.42 | 0.16 | 2520.34 | 29.96 | 0.19 | 43.56 | ||||
| JM-4 | 193.97 | 6048.36 | 626.51 | 0.10 | 609.25 | 0.43 | 0.14 | 21.39 | ||||
| JM-5 | 46.00 | 221.13 | 20.70 | 0.14 | 5756.00 | 124.85 | 0.52 | 6.81 | ||||
| ST-1 | 40.44 | 221.13 | 113.08 | 0.16 | 9828.59 | 139.79 | 0.47 | 12.99 | ||||
| ST-2 | 83.37 | 693.86 | 32.01 | 0.26 | 3653.81 | 116.07 | 0.49 | 71.70 | ||||
| ST-3 | 59.53 | 1612.03 | 284.22 | 0.14 | 1979.96 | 43.14 | 0.38 | 4.08 | ||||
| ST-4 | 137.21 | 6993.81 | 626.51 | 0.13 | 2770.76 | 2.77 | 0.19 | 23.11 | ||||
| ZH-1 | 55.09 | 4675.64 | 1572.29 | 0.08 | 3225.60 | 55.08 | 0.29 | 9.85 | ||||
| (c) | ||||||||||||
| Soil | Dissociative iron oxide (mg kg−1) | Amorphous iron oxide (mg kg−1) | Complex iron oxide (mg kg−1) | Total iron (mg kg−1) | Soluble aluminum (mg kg−1) | Exchangeable aluminum (mg kg−1) | Hydroxyl aluminum content of monomer (mg kg−1) | Acid-soluble inorganic aluminum (mg kg−1) | Organic complex aluminum (mg kg−1) | Aluminum humate (mg kg−1) | Total aluminum (mg kg−1) | |
| DG-1 | 1567 | 2997 | 842 | 5405 | 0.21 | 1.54 | 0.86 | 941 | 17.86 | 284 | 1245 | |
| DG-2 | 2506 | 5399 | 585 | 8489 | 3.75 | 6.14 | 0.11 | 1213 | 24.11 | 1354 | 2601 | |
| GZ-1 | 1120 | 7776 | 832 | 9729 | 0.66 | 0.55 | 0.44 | 1154 | 13.71 | 214 | 1384 | |
| GZ-2 | 1696 | 5331 | 426 | 7453 | 7.02 | 13.71 | 1.10 | 1765 | 35.36 | 147 | 1969 | |
| GZ-3 | 697 | 2822 | 601 | 4121 | 0.10 | 1.54 | 0.06 | 1077 | 24.11 | 1285 | 2387 | |
| GZ-4 | 1683 | 3156 | 330 | 5169 | 0.21 | 1.75 | 0.43 | 1162 | 37.79 | 1955 | 3157 | |
| GZ-5 | 2150 | 3365 | 569 | 6085 | 1.04 | 2.41 | 0.43 | 1246 | 23.66 | 2312 | 3586 | |
| HZ-1 | 1696 | 2559 | 518 | 4772 | 2.92 | 2.41 | 0.43 | 1145 | 24.11 | 1409 | 2583 | |
| HZ-2 | 1556 | 1903 | 902 | 4360 | 6.25 | 8.55 | 0.22 | 916 | 20.98 | 1250 | 2202 | |
| HZ-3 | 1254 | 3001 | 318 | 4573 | 0.42 | 2.19 | 0.22 | 1450 | 21.88 | 2268 | 3743 | |
| HZ-4 | 1949 | 3701 | 616 | 6266 | 0.83 | 2.41 | 0.22 | 823 | 14.73 | 1076 | 1917 | |
| HZ-5 | 2922 | 4145 | 887 | 7954 | 5.00 | 8.55 | 0.09 | 1221 | 16.52 | 1363 | 2614 | |
| JM-1 | 2730 | 3108 | 492 | 6329 | 0.21 | 1.75 | 0.22 | 1492 | 15.18 | 1511 | 3021 | |
| JM-2 | 1410 | 1685 | 582 | 3676 | 3.33 | 7.89 | 0.04 | 357 | 9.37 | 1032 | 1409 | |
| JM-3 | 1713 | 2223 | 769 | 4705 | 1.21 | 1.32 | 0.77 | 1224 | 12.61 | 183 | 1423 | |
| JM-4 | 3352 | 5422 | 507 | 9281 | 1.97 | 5.04 | 0.88 | 694 | 12.88 | 63 | 778 | |
| JM-5 | 2271 | 3831 | 502 | 6604 | 9.87 | 10.86 | 0.88 | 635 | 9.32 | 40 | 706 | |
| ST-1 | 1749 | 5536 | 243 | 7527 | 0.63 | 0.88 | 0.09 | 1713 | 22.32 | 815 | 2551 | |
| ST-2 | 964 | 1231 | 360 | 2555 | 2.92 | 5.92 | 0.86 | 730 | 13.39 | 1145 | 1898 | |
| ST-3 | 1867 | 4182 | 491 | 6540 | 0.21 | 1.32 | 0.11 | 1111 | 19.64 | 849 | 1982 | |
| ST-4 | 1091 | 1297 | 612 | 2999 | 2.29 | 6.14 | 0.43 | 924 | 22.77 | 997 | 1953 | |
| ZH-1 | 2633 | 2068 | 644 | 5345 | 0.63 | 2.19 | 0.22 | 1204 | 24.11 | 2155 | 3386 | |
Disclaimer/Publisher’s Note: The statements, opinions and data contained in all publications are solely those of the individual author(s) and contributor(s) and not of MDPI and/or the editor(s). MDPI and/or the editor(s) disclaim responsibility for any injury to people or property resulting from any ideas, methods, instructions or products referred to in the content. |
© 2024 by the authors. Licensee MDPI, Basel, Switzerland. This article is an open access article distributed under the terms and conditions of the Creative Commons Attribution (CC BY) license (https://creativecommons.org/licenses/by/4.0/).
Share and Cite
Wei, L.; Huang, L.; Li, X.; Huang, Y.; Chen, W.; Ma, R.; Liu, Z. Dependence of Metolachlor Adsorption by Biochar on Soil Properties in South China. Agronomy 2024, 14, 1290. https://doi.org/10.3390/agronomy14061290
Wei L, Huang L, Li X, Huang Y, Chen W, Ma R, Liu Z. Dependence of Metolachlor Adsorption by Biochar on Soil Properties in South China. Agronomy. 2024; 14(6):1290. https://doi.org/10.3390/agronomy14061290
Chicago/Turabian StyleWei, Lan, Lianxi Huang, Xiang Li, Yufen Huang, Weisheng Chen, Rui Ma, and Zhongzhen Liu. 2024. "Dependence of Metolachlor Adsorption by Biochar on Soil Properties in South China" Agronomy 14, no. 6: 1290. https://doi.org/10.3390/agronomy14061290
APA StyleWei, L., Huang, L., Li, X., Huang, Y., Chen, W., Ma, R., & Liu, Z. (2024). Dependence of Metolachlor Adsorption by Biochar on Soil Properties in South China. Agronomy, 14(6), 1290. https://doi.org/10.3390/agronomy14061290
