Effect of Harvest Management on Biomass Yield, Forage Quality, and Nutrient Removal by Bioenergy Grasses in Mid-Central Virginia
Abstract
1. Introduction
2. Materials and Methods
2.1. The Site, Propagating Material, Experimental Layout, and Establishment
2.2. Crop Field Management, Biomass Sampling, and Data Collection
3. Statistical Analysis
4. Results
4.1. Soil Characteristics and Summer Precipitation at the Site
4.2. Perennial Species Feedstock Production under Two-Cut Harvest Systems
4.3. Annual DM Yield in a One-Cut Year−1 System
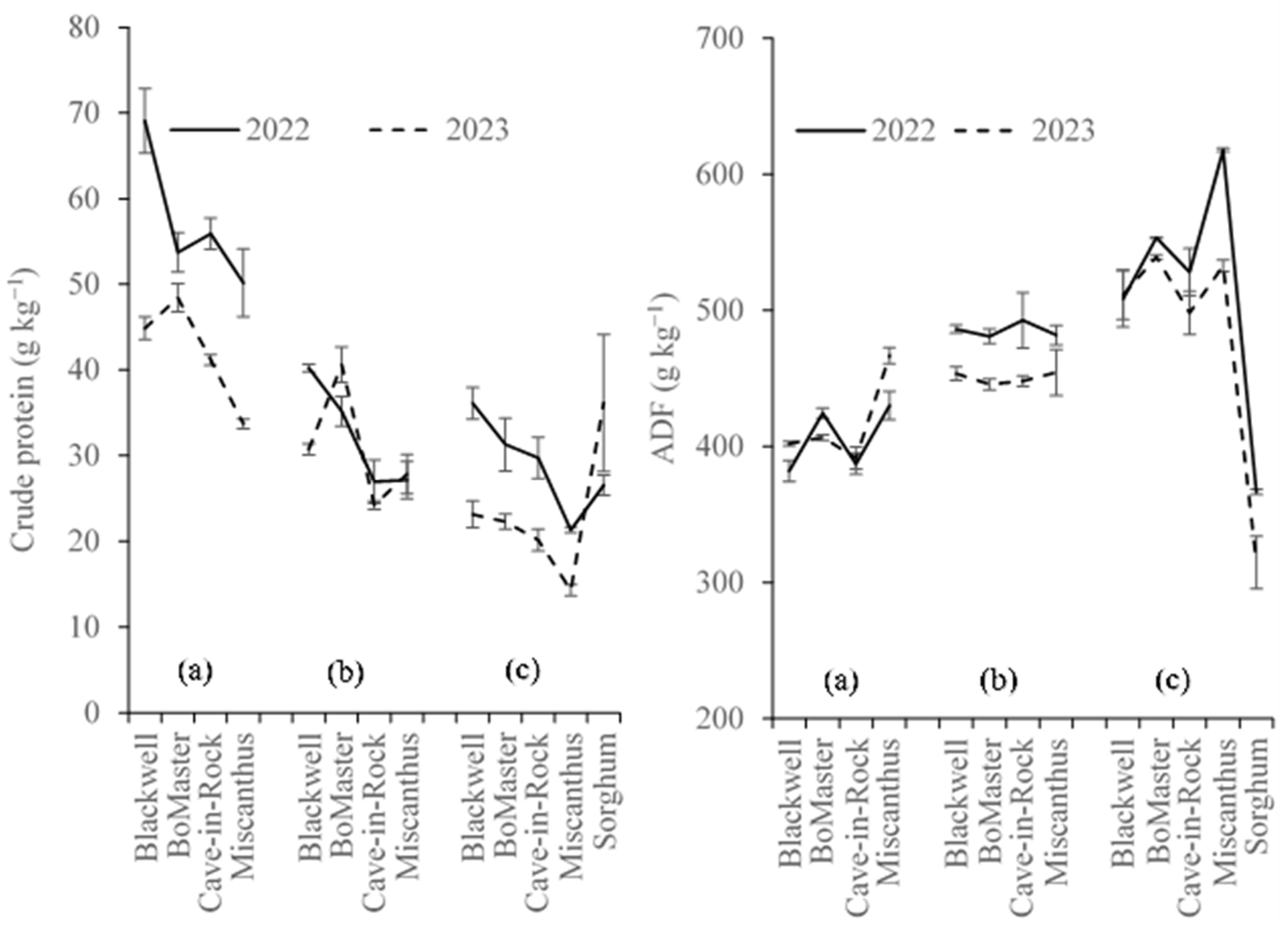
4.4. Dry Matter Forage Characteristics and Elemental Compositions
| Production Year | ||||||||
|---|---|---|---|---|---|---|---|---|
| Harvest System | Harvest | Species | 2022 | 2023 | ||||
| P | Mg | Ca | P | Mg | Ca | |||
| mg kg−1 | ||||||||
| Two-cut year−1 | First cut | Blackwell | 2.30 | 2.00 | 2.43 | 1.50 | 1.37 | 2.13 |
| BoMaster | 2.20 | 1.70 | 2.23 | 1.90 | 1.70 | 2.53 | ||
| Cave-in-Rock | 1.97 | 1.63 | 2.27 | 1.50 | 1.07 | 1.80 | ||
| Miscanthus | 1.70 | 1.20 | 2.00 | 1.57 | 0.87 | 1.57 | ||
| Regrowth | Blackwell | 1.60 | 1.30 | 2.60 | 2.40 | 1.63 | 2.93 | |
| BoMaster | 2.07 | 1.47 | 3.07 | 1.70 | 1.60 | 2.13 | ||
| Cave-in-Rock | 2.37 | 1.07 | 1.97 | 2.67 | 1.80 | 2.83 | ||
| Miscanthus | 1.60 | 1.37 | 2.90 | 2.13 | 1.37 | 3.63 | ||
| LSD (0.05) + | 0.32 | 0.22 | 0.39 | 0.41 | 0.21 | 0.06 | ||
| One-cut year−1 | Blackwell | 1.03 | 1.53 | 4.70 | 1.43 | 1.50 | 3.20 | |
| BoMaster | 1.30 | 1.45 | 2.10 | 1.03 | 1.23 | 2.10 | ||
| Cave-in-Rock | 1.80 | 1.50 | 3.47 | 2.03 | 1.43 | 2.87 | ||
| Miscanthus | 1.47 | 0.67 | 1.83 | 1.40 | 1.07 | 2.53 | ||
| Sorghum | 2.60 | 2.83 | 3.53 | 2.13 | 2.50 | 3.07 | ||
| LSD (0.05) ++ | 0.77 | 0.91 | 1.94 | 0.80 | 0.93 | 0.73 | ||
4.5. Nutrient Removal by Perennials under Different Harvest Management Systems
| Harvest System | Harvest | Species | Production Year | |||||
|---|---|---|---|---|---|---|---|---|
| 2022 | 2023 | |||||||
| S | Mg | Ca | P | Mg | Ca | |||
| Two-cut year−1 | First cut | Blackwell | 7.9 | 17.9 | 21.3 | 6.2 | 13.3 | 20.7 |
| BoMaster | 10.9 | 24.7 | 32.9 | 7.1 | 16.5 | 24.7 | ||
| Cave-in-Rock | 8.1 | 17.8 | 24.6 | 6.5 | 11.5 | 19.5 | ||
| Miscanthus | 8.1 | 15.2 | 25.1 | 9.8 | 16.4 | 28.5 | ||
| Regrowth | Blackwell | 6.4 | 10.3 | 20.7 | 3.9 | 8.3 | 14.8 | |
| BoMaster | 6.8 | 14.5 | 30.6 | 4.5 | 9.6 | 12.9 | ||
| Cave-in-Rock | 7.2 | 10.9 | 19.9 | 3.2 | 9.1 | 14.3 | ||
| Miscanthus | 8.8 | 19.7 | 41.4 | 3.4 | 9.2 | 24.3 | ||
| LSD (0.05) + | 2.3 | 3.6 | 5.3 | 1.4 | 2.3 | 3.7 | ||
| One-cut year−1 | Blackwell | 6.5 | 16.6 | 50.5 | 8.9 | 26.6 | 58.4 | |
| BoMaster | 7.4 | 21.7 | 34.4 | 10.5 | 25.7 | 43.9 | ||
| Cave-in-Rock | 6.3 | 18.7 | 42.8 | 9.1 | 30.2 | 60.5 | ||
| Miscanthus | 6.0 | 12.8 | 34.9 | 7.5 | 21.9 | 52.0 | ||
| Sorghum | 21.0 | 65.4 | 82.1 | 15.1 | 66.3 | 81.7 | ||
| LSD (0.05) ++ | 6.9 | 21.0 | 29.7 | 4.2 | 21.6 | 19.4 | ||
4.6. Nutrient Removal by Feedstock Species under the One-Cut Management System
5. Discussion
6. Conclusions
Author Contributions
Funding
Data Availability Statement
Acknowledgments
Conflicts of Interest
References
- Monteith, J.L. Climatic and the efficiency of crop production in Britain. Philos. Trans. R. Soc. Lond. B 1977, 281, 277–294. [Google Scholar]
- Casler, M.D.; Boe, A.R. Cultivar X environment interaction in Switchgrass. Crop Sci. 2003, 43, 2226–2233. [Google Scholar] [CrossRef]
- Casler, M.D.; Vogel, K.P.; Taliaferro, C.M.; Ehlke, N.J.; Berdahl, J.D.; Brummer, E.C.; Kallenbach, R.L.; West, C.P.; Mitchell, R.B. Latitudinal and longitudinal adaptation of Switchgrass populations. Crop Sci. 2007, 47, 2249–2260. [Google Scholar] [CrossRef]
- Lewandowski, I.; Jonathan, J.M.O.; Lindvall, E.; Christou, M. The development of current status of perennial rhizomatous grasses as energy crops in the US and Europe. Biomass Bioenergy 2003, 4, 335–361. [Google Scholar] [CrossRef]
- Keith, D.W. Sinks, energy crops and land use: Coherent climate policy demands an integrated analysis of biomass—An editorial comment. Clim. Chang. 2001, 49, 1–10. [Google Scholar] [CrossRef]
- Obersteiner, M.; Azar, C.; Kauppi, P.; Mollersten, K.; Moreira, J.; Nilsson, S.; Read, P.; Riahi, K.; Schlamadinger, B.; Yamagata, Y.; et al. Managing climate risk. Science 2001, 294, 786–787. [Google Scholar] [CrossRef] [PubMed]
- Bakken, L.R.; Bergaust, L.; Liu, B.; Frostegård, Å. Regulation of denitrification at the cellular level: A clue to the understanding of N2O emissions from soils. Philos. Trans. R. Soc. B 2012, 367, 1226–1234. [Google Scholar] [CrossRef] [PubMed]
- Stehfest, E.; Bouwman, L. N2O and NO emission from agricultural fields and soils under natural vegetation: Summarizing available measurement data and modeling of annual emissions. Nutr. Cycl. Agroecosyst. 2006, 74, 207–228. [Google Scholar] [CrossRef]
- Weier, K.L.; Doran, J.W.; Power, J.F.; Walters, D.T. Denitrification and the dinitrogen/nitrous oxide ratio as affected by soil water, available carbon, and nitrate. Soil Sci. Soc. Am. J. 1993, 57, 66–72. [Google Scholar] [CrossRef]
- Ishikawa, T.; Subbarao, G.V.; Ito, O.; Okada, K. Suppression of nitrification and nitrous oxide emission by the tropical grass Brachiaria humidicola. Plant Soil 2003, 255, 413–419. [Google Scholar] [CrossRef]
- Muir, J.P.; Sanderson, M.A.; Ocumpaugh, W.R.; Jones, R.M.; Reed, R.L. Biomass production of ‘Alamo’ Switchgrass in response to nitrogen, phosphorus, and row spacing. Agron. J. 2001, 93, 896–901. [Google Scholar] [CrossRef]
- Guretzky, J.A.; Biermacher, J.T.; Cook, B.J.; Kering, M.K.; Mosali, J. Switchgrass for forage and bioenergy: Harvest and nitrogen rate effects on biomass yields and nutrient composition. Plant Soil 2011, 339, 69–81. [Google Scholar] [CrossRef]
- Heaton, E.; Voigt, T.; Long, S.P. A quantitative review comparing the yields of two candidate C4 perennial biomass crops in relation to nitrogen, temperature and water. Biomass Bioenergy 2004, 27, 21–30. [Google Scholar] [CrossRef]
- Angelini, L.G.; Ceccarini, L.; Nassi o Di Nasso, N.; Bonari, E. Comparison of Arundo donax L. and Miscanthus x giganteus in a long-term field experiment in Central Italy: Analysis of productive characteristics and energy balance. Biomass Bioenergy 2009, 33, 635–643. [Google Scholar] [CrossRef]
- Lewandowski, I.; Heinz, A. Delayed harvest of Miscanthus-influence on biomass quantity and quality and environmental impacts on energy production. Eur. J. Agron. 2003, 19, 45–63. [Google Scholar] [CrossRef]
- Lewandowski, I.; Kicherer, A. Combustion quality of biomass: Practical relevance and experiments to modify the biomass quality of Miscanthus x giganteus. Eur. J. Agron. 1997, 6, 163–177. [Google Scholar] [CrossRef]
- Hodgson, E.M.; Fahmi, R.; Yates, N.; Barraclough, T.; Shield, I.; Allison, G.; Breidgewater, A.V.; Donnison, I.S. Miscanthus as a feedstock for fast-pyrolysis: Does agronomic treatment affect quality. Bioresour. Technol. 2010, 101, 6185–6191. [Google Scholar] [CrossRef] [PubMed]
- Beale, C.V.; Long, S.P. Seasonal dynamics of nutrient accumulation and partitioning in the perennial C4-grasses Miscanthus × giganteus and Spartina cynosuroides. Biomass Bioenergy 1997, 12, 419–428. [Google Scholar] [CrossRef]
- Lemus, R.; Parrish, D.; Abaye, O. Nitrogen-use dynamics in Switchgrass grown for biomass. Bioenergy Res. 2008, 1, 153–162. [Google Scholar] [CrossRef]
- Nassi o Di Nasso, N.; Angelini, L.G.; Bonari, E. Influence of fertilization and harvest time on fuel quality of giant reed (Arundo donax L.) in central Italy. Eur. J. Agron. 2010, 32, 219–227. [Google Scholar] [CrossRef]
- Samson, R.; Mani, S.; Boddey, R.; Sokhansanj, S.; Quesada, D.; Urquiaga, S.; Reis, V.; Lem, H.C. The potential of C4 perennial grasses for developing a global BIOHEAT industry. Crit. Rev. Plant Sci. 2005, 24, 461–495. [Google Scholar] [CrossRef]
- Sanders, B. Properties of Danish biofuels and the requirement for power production. Biomass Bioenergy 1997, 12, 173–183. [Google Scholar] [CrossRef]
- Sampson, R.S.; Mahdi, B. Strategies to reduce ash content in perennial grasses. In Proceedings of the 8th Biannual Conferences on Bioenergy, Madison, WI, USA, 4–8 October 1998; pp. 1124–1131. [Google Scholar]
- Vogel, K.P.; Brejda, J.J.; Walters, D.T.; Buxton, D.R. Switchgrass production in the midwest USA: Harvest and nitrogen management. Agron. J. 2002, 94, 413–420. [Google Scholar] [CrossRef]
- Lee, D.K.; Boe, A. Biomass production of Switchgrass in central South Dakota. Crop Sci. 2005, 45, 2583–2590. [Google Scholar] [CrossRef]
- Lemus, R.; Brummer, E.C.; Burras, C.L.; Moore, K.J.; Barker, M.F.; Molstad, N.E. Effects of nitrogen fertilization on biomass yield and quality in large fields of established Switchgrass in southern Iowa, USA. Biomass Bioenergy 2008, 32, 1187–1194. [Google Scholar] [CrossRef]
- Burner, D.M.; Lew, T.L.; Harvey, J.J.; Belesky, D.P. Dry matter partitioning and quality of Miscanthus, Panicum, and Saccharum genotypes in Arkansas. Biomass Bioenergy 2009, 33, 610–619. [Google Scholar] [CrossRef]
- Mantineo, M.; D’Agosta, G.M.; Copani, V.; Patanè, C.; Cosentino, S.L. Biomass yield and energy balance of three perennial crop for bioenergy use in the semi-arid Mediterranean environment. Field Crops Res. 2009, 114, 204–213. [Google Scholar] [CrossRef]
- Sanderson, M.A.; Read, J.C.; Reed, R.L. Harvest management of Switchgrass for biomass feedstock and forage production. Agron. J. 1999, 91, 5–10. [Google Scholar] [CrossRef]
- Heaton, E.A.; Dohleman, F.G.; Long, S.P. Seasonal nitrogen dynamics of Miscanthus× giganteus and Panicum virgatum. Gcb Bioenergy 2009, 1, 297–307. [Google Scholar] [CrossRef]
- Boelcke, B.; Buech, S.; Zacharias, S. Effects of Miscanthus cultivation on soil fertility and the soil water reservoir. In Biomass for Energy and Industry, Proceedings of the 10th European Biomass Conference, Würzburg, Germany, 8–11 June 1998; Kopetz, H., Weber, T., Palz, W., Chartier, P., Ferrero, G.L., Eds.; Carmen Publisher: Würzburg, Germany, 1998; pp. 911–914. [Google Scholar]
- Richter, G.M.; Riche, A.B.; Dailey, A.G.; Gezan, S.A.; Powlson, D.S. Is UK biofuel supply from Miscanthus water-limited? Soil Use Manag. 2008, 24, 235–245. [Google Scholar] [CrossRef]
- Fike, J.H.; Parrish, D.J.; Wolf, D.D.; Balasko, J.A.; Green, J.T., Jr.; Rasnake, M.; Reynolds, J.H. Switchgrass production for the upper southeastern USA: Influence of cultivar and cutting frequency on biomass yields. Biomass Bioenergy 2006, 30, 207–213. [Google Scholar] [CrossRef]
- Sanderson, M.A.; Adler, P.R. Perennial forages as second-generation bioenergy crops. Int. J. Mol. Sci. 2008, 9, 768–788. [Google Scholar] [CrossRef]
- Anderson, B.E.; Matches, A.G. Forage yield, quality, and persistence of Switchgrass and Caucasian bluestem. Agron. J. 1983, 75, 119–124. [Google Scholar] [CrossRef]
- Taylor, R.W.; Allinson, D.W. Nutritive Evaluation of Warm-Season Grasses in Connecticut. 1981. Storrs Agricultural Experiment Station. 77. Available online: https://opencommons.uconn.edu/saes/77 (accessed on 20 January 2024).
- Asif, A.; Tang, C.; Liu, J.; Han, L.; Xie, G.H. Switchgrass as forage and biofuel feedstock: Effect of nitrogen fertilization rate on the quality of biomass harvested in late summer and early fall. Field Crops Res. 2019, 235, 154–162. [Google Scholar] [CrossRef]
- Lemus, R.; Brummer, E.C.; Moore, K.J.; Molstad, N.E.; Burras, C.L.; Barker, M.F. Biomass yield and quality of 20 Switchgrass populations in southern Iowa, USA. Biomass Bioenergy 2002, 23, 433–442. [Google Scholar] [CrossRef]
- Clark, F.E. Internal cycling of 15N in shortgrass prairie. Ecology 1977, 58, 1322–1333. [Google Scholar] [CrossRef]
- Lewandowski, I.; Schmidt, U. Nitrogen, energy, and land use efficiencies of Miscanthus, reed canary grass and triticale as determined by the boundary line approach. Agric. Ecosyst. Environ. 2006, 112, 335–346. [Google Scholar] [CrossRef]
- Jenkins, B.M.; Baxter, L.L.; Miles, T.R., Jr.; Miles, T.R. Combustion properties of biomass. Fuel Process. Technol. 1998, 54, 17–46. [Google Scholar] [CrossRef]
- Oliveira, J.A.; West, C.P.; Afif, E.; Palencia, P. Comparison of Miscanthus and Switchgrass cultivars for biomass yield, soil nutrients, and nutrient removal in Northwest Spain. Agron. J. 2017, 109, 122–130. [Google Scholar] [CrossRef]
- Mitchell, R.B.; Vogel, K.P.; Sarath, G. Managing and enhancing Switchgrass as a bioenergy feedstock. Biofuels Bioprod. Biorefin. 2008, 2, 530–539. [Google Scholar] [CrossRef]
- Ashworth, A.J.; Allen, F.L.; Bacon, J.L.; Sams, C.E.; Hart, W.E.; Grant, J.F.; Moore, P.A., Jr.; Pote, D.H. Switchgrass cultivar, yield, and nutrient removal responses to harvest timing. Agron. J. 2007, 109, 2598–2605. [Google Scholar] [CrossRef]
- Siri-Prieto, G.; Bustamante, M.; Picasso, V.; Ernst, O. Impact of nitrogen and phosphorous on biomass yield, nitrogen efficiency, and nutrient removal of perennial grasses for bioenergy. Biomass Bioenergy 2020, 136, 105526. [Google Scholar] [CrossRef]







| Species | Plant Weight (g) | Proportion of Leaves per Stem−1 | ||||
|---|---|---|---|---|---|---|
| One | First Cut | Regrowth | One | First Cut | Regrowth | |
| 2022 | ||||||
| Blackwell | 5.7 c | 3.7 bA | 2.6 cA | 0.18 ab | 0.34 aA | 0.26 bB |
| BoMaster | 10.0 c | 6.4 bA | 4.3 bB | 0.16 bc | 0.34 aA | 0.26 bB |
| Cave-in-Rock | 5.7 c | 4.9 bA | 3.2 bB | 0.19 a | 0.32 bA | 0.25 bB |
| Miscanthus | 54.1 b | 19.7 aA | 15.5 aB | 0.14 c | 0.24 cB | 0.35 aA |
| Sorghum | 180.9 a | - | - | - | - | - |
| 2023 | ||||||
| Blackwell | 6.5 c | 4.5 bA | 2.3 bB | 0.16 cd | 0.35 aA | 0.25 bB |
| BoMaster | 14.4 c | 6.1 bA | 3.6 bB | 0.18 bc | 0.32 bcA | 0.25 bB |
| Cave-in-Rock | 7.6 c | 5.4 bA | 2.6 bB | 0.20 a | 0.34 abA | 0.25 bB |
| Miscanthus | 42.8 b | 28.3 aA | 8.9 aB | 0.14 d | 0.26 cb | 0.38 aA |
| Sorghum | 92.9 a | - | - | - | - | - |
Disclaimer/Publisher’s Note: The statements, opinions and data contained in all publications are solely those of the individual author(s) and contributor(s) and not of MDPI and/or the editor(s). MDPI and/or the editor(s) disclaim responsibility for any injury to people or property resulting from any ideas, methods, instructions or products referred to in the content. |
© 2024 by the authors. Licensee MDPI, Basel, Switzerland. This article is an open access article distributed under the terms and conditions of the Creative Commons Attribution (CC BY) license (https://creativecommons.org/licenses/by/4.0/).
Share and Cite
Kering, M.K.; Rahemi, A.; Temu, V.W. Effect of Harvest Management on Biomass Yield, Forage Quality, and Nutrient Removal by Bioenergy Grasses in Mid-Central Virginia. Agronomy 2024, 14, 825. https://doi.org/10.3390/agronomy14040825
Kering MK, Rahemi A, Temu VW. Effect of Harvest Management on Biomass Yield, Forage Quality, and Nutrient Removal by Bioenergy Grasses in Mid-Central Virginia. Agronomy. 2024; 14(4):825. https://doi.org/10.3390/agronomy14040825
Chicago/Turabian StyleKering, Maru K., Alireza Rahemi, and Vitalis W. Temu. 2024. "Effect of Harvest Management on Biomass Yield, Forage Quality, and Nutrient Removal by Bioenergy Grasses in Mid-Central Virginia" Agronomy 14, no. 4: 825. https://doi.org/10.3390/agronomy14040825
APA StyleKering, M. K., Rahemi, A., & Temu, V. W. (2024). Effect of Harvest Management on Biomass Yield, Forage Quality, and Nutrient Removal by Bioenergy Grasses in Mid-Central Virginia. Agronomy, 14(4), 825. https://doi.org/10.3390/agronomy14040825

