You are currently on the new version of our website. Access the old version .
AgronomyAgronomy
  • Article
  • Open Access

12 March 2024

Significant Synergy Effects of Biochar Combined with Topdressing Silicon on Cd Reduction and Yield Increase of Rice in Cd-Contaminated Paddy Soil

,
,
,
,
,
and
1
College of Natural Resources and Environment, South China Agricultural University, Guangzhou 510642, China
2
Key Laboratory of Tropical Agricultural Environment in South China, Ministry of Agriculture and Rural Affairs, South China Agricultural University, Guangzhou 510642, China
3
College of Agriculture, South China Agricultural University, Guangzhou 510642, China
*
Author to whom correspondence should be addressed.
This article belongs to the Section Soil and Plant Nutrition

Abstract

Pot and field trials were conducted to explore the combined effect of biochar (BC) with topdressing silicon (Si) on Cd uptake by rice and grain yield in Cd-contaminated paddy soil. The treatments, including BC applied before transplanting (TBC), topdressing Si applied in the soil at the jointing stage (JSi) and BC combined with topdressing Si (TBC + JSi), were designed in a complete random block, and treatment without application of BC and Si was used as a control (CK). Results showed that Cd concentration in milled rice treated with TBC + JSi was decreased by 34.62%, 22.73% and 10.53%, respectively, when compared to CK, TBC and JSi, with the concentration being only 0.17 mg·kg−1. At rice maturity, available Cd in the soil was reduced by 7.98% (TBC), 4.76% (JSi) and 6.02% (TBC + JSi) when compared with CK, while the concentrations of total Cd were 32.07% (TBC), 27.85% (JSi) and 35.44% (TBC + JSi) higher than CK. Moreover, BC and Si increased the Cd sequestrated by leaves markedly, especially for TBC + JSi, which was much higher than TBC and JSi. Therefore, the transfer of Cd from leaf to milled rice was greatly decreased by TBC + JSi. In addition, a synergy effect of TBC + JSi on rice yield was also found. Compared with CK, the grain yields of TBC, JSi and TBC+ JSi were increased by 8.35%, 8.20% and 18.74%, respectively. Nutrient contents in soil and rice plants were also elevated by the application of BC and Si to a certain extent; for example, the contents of nitrogen (N), phosphorus (P), potassium (K) and Si in soil treated with TBC + JSi were raised by 8.96–60.03% when compared with CK. Overall, the combined application of BC with topdressing Si not only increases soil nutrients significantly, promotes their uptake by rice and boosts grain yield, but also effectively inhibits Cd transfer and reduces its accumulation in rice, which ultimately guarantees milled rice security. These results also imply that the combined application of biochar with topdressing silicon might be considered as an effective agronomic measure to decrease the milled-rice Cd in Cd-contaminated paddy soil, which would guarantee food security.
Keywords:
biochar; silicon; rice; yield; Cd

1. Introduction

Cadmium (Cd) is a non-essential and non-biodegradable heavy metal with a long duration, strong concealment and migration in soil, which is easily absorbed and accumulated in rice and other crops [1] and then threatens human health throughout the food chain [2]. In the soil–plant system, Cd transfer is active and poses a great threat to the yield and quality of crops [3]. Rice is one of the most important cereal crops in China and is also the staple food for more than 60% of the world’s population. It is important to ensure the safe production of rice for food security in China [4]. Long-term consumption of Cd-contaminated rice would cause excessive Cd accumulation in the human body, leading to kidney dysfunction, threatening the nervous system and triggering diseases such as osteoporosis and cancer [5,6,7]. Therefore, it is particularly crucial to explore feasible remediation methods for Cd-contaminated paddy soil to guarantee the safety of rice production.
Biochar (BC) is a carbon-rich and porous material with a high specific surface area, which is produced by the pyrolysis of biomass under high temperature and anaerobic conditions. Nowadays, it has been verified that BC can promote plant growth, enhance nutrient retention and reduce soil contamination [8,9,10,11,12,13,14,15,16]. As a soil amendment, BC is widely used as an environmentally friendly material for heavy metal remediation in soil and water [9,10]. Biochar can increase soil cation exchange and organic matter [11], and reduce the biological effectiveness and transportability of heavy metals in soil [12], thus decreasing the absorption and accumulation of heavy metals in plants [13]. Under Cd stress, BC application can increase soil pH, enhance soil aggregate stability and adsorb and precipitate heavy metals in soil, thus reducing Cd accumulation in plants [14,15]. In addition, BC can improve water and fertilizer retention and microbial activity in soil and enhance the resistance of plants to stress, thus increasing crop yield [16]. Therefore, applying biochar as a soil amendment in contaminated soil is regarded as a sustainable solution with multiple benefits.
Rice is a typical silicon-accumulating crop. Exogenous application of Si could improve the ability of rice to absorb nitrogen (N), phosphorus (P), potassium (K) and other nutrients [17], enhance the photosynthetic capacity and the accumulation of dry matter and ultimately promote rice yield [18,19]. The application of Si also significantly improves the transfer efficiency and distribution rate of N, P and K in rice, which in turn increases rice yield [20]. Silicon could also alleviate the toxic effects of heavy metals on rice growth and development, reduce their accumulation in plants and enhance the resistance of rice [21]. The application of Si fertilizer was used as a potential management measure for rice production in cadmium-contaminated soil [22]. The adsorption and co-precipitation of Cd by silicon in soil could inhibit the transfer of Cd from soil to aboveground parts [23]. Moreover, the transfer of Cd from roots to aboveground organs was also suppressed by Si application. In addition, our previous research showed that Si application at different growth stages significantly affects rice biomass and yield, and that, applied at the transplanting stage, it could effectively alleviate the toxic effect of Cd on rice and facilitate rice growth and development, while at the jointing stage it had a greater effect on reducing the accumulation of Cd in rice [24,25]. Therefore, the application of Si at the optimal stage will have a significant effect on the growth and Cd uptake by rice plants.
To sum up, the application of either BC or Si fertilizer was proven to be extraordinarily effective at promoting the growth and development of rice and influencing Cd accumulation and distribution in Cd-contaminated soil. Recently, it has been found that the silicon-rich BC is more effective in heavy metal remediation and high adsorption efficiency of Cd2+ [26,27]. Wang et al. [28] reported that the combined application of organic and inorganic materials such as BC with lime or Si could improve the in-situ remediation of heavy metals in farmland. Both BC and Si are relatively cost-effective and convenient to use, but it is not clear whether there is a synergistic effect of BC and Si. There was justification for conducting an in-depth study to determine how to effectively use BC and Si fertilizer together to control Cd uptake by rice in agricultural production. The main objectives were to elucidate whether there is a synergistic influence produced by the combined application of BC with topdressing Si on rice yield and Cd concentrations in rice plants and soil. The results of this study are expected to provide a scientific basis and practical guidance for the effective use of BC and Si to control Cd accumulation in rice grain in Cd-polluted soil.

2. Materials and Methods

2.1. Experiment Site and Materials

The pot experiment was conducted in a greenhouse at the Key Laboratory of Agro-Environment in the Tropics, Ministry of Agriculture and Rural Affairs (23.21° N, 113.42° E), South China Agricultural University (SCAU), Guangzhou, China from 16 August to 28 November in 2020. The paddy soil used in pot was collected from the plow layer (0–20 cm) of an arable field in Maba Town (24.69° N and 113.55° E) and its upstream was the Shaoguan Steel Plant established in 1966 in the southern part of Shaoguan City, China. The basic physicochemical characteristics were as follows: soil pH 5.72, EC 4.98 mS·cm−1, CEC 6.51 cmol·kg−1, SOM 53.78 g·kg−1, total Cd 4.21 mg·kg−1, available Cd 2.00 mg·kg−1, total N 2.75 g·kg−1, total P 0.88 g·kg−1, total K 6.85 g·kg−1 and available Si 52.48 mg·kg−1. According to the soil environmental quality standard “Soil Pollution Risk Control Value of Agricultural Land” (GB 15618-2018) [29], the tested soil could be considered as a type of seriously Cd-polluted soil. Meixiangzhan No. 2 (Oryza sativa L.) was used as the tested rice variety purchased from the local farmer. BC was pyrolyzed from rice straw at 600 °C and was bought from the producer of Liaoning Jinhefu Agricultural Development Co., Ltd., (Shenyang, China). The concentrations of carbon, hydrogen, nitrogen and sulfur in BC were 50.55%, 1.786%, 1.89% and 0.171%, respectively. The pH of BC and the ratios of carbon to nitrogen and carbon to hydrogen were 9.04, 26.79 and 28.3, respectively. Potassium silicate (K2SiO3·5H2O, Shanghai Macklin Biochemical Technology Co., Ltd., Shanghai, China) was used as Si fertilizer in pot trials. At the same time, a field experiment was also carried out in a farmer’s field in Maba Town, where the soil used in pot trials had been sampled and collected, so the characteristics of the field soil were the same as those of the pot soil.

2.2. Experiment Design

The pot and field experiments were designed in a complete random block. There were four treatments, including BC applied before transplanting (TBC), topdressing Si applied in the soil at the jointing stage (JSi), the combined application of BC with topdressing Si (TBC + JSi) and treatment with no BC and Si, which was used as a control (CK). In the pot experiment, each black plastic pot (20 cm lower diameter × 28 cm upper diameter ×17 cm height) was filled with 5 kg of the above sampled Cd-contaminated paddy soil screened by a 0.850 mm sieve, part of which was mixed with BC (100 g BC/pot) for the two treatments of TBC and BC + Si, and then soaked in water for 10 days. Base fertilizer of 2 g urea (CH4N2O) and 1 g dipotassium hydrogen phosphate (KH2PO4) was applied to each pot on the day before transplanting. Rice seedlings were cultivated according to the description of Cai et al. [30] and transplanted on three hills for each pot and two seedlings for one hill when they were at three-leaf ages. Silicon (2.44 g Si/pot) was applied in the form of K2SiO3·5H2O to the soil at the jointing stage (45 days after transplanting), and equal quantities of potassium ions (K+) were also added to CK and TBC in the form of potassium chloride (KCl) to eliminate the disturbing effect of additional potassium ions (K+) introduced by K2SiO3·5H2O. Each treatment was conducted with six replicates. During the life cycle of rice growth, the pots were kept flooded with 1–3 cm of water until one week before harvest. Other cultivated measures were referred to the common methods used by farmers.
The field experiments were conducted in plots of 12 m2, with 0.5 m intervals between them. Each treatment had three replicates. Compound fertilizers (N:P2O5:K2O = 15:15:15) at the level of 500 kg·hm−2 were applied before transplanting as base fertilizer, and urea at the level of 150 kg·hm−2 was applied at the jointing stage as a topdressing fertilizer. Biochar was applied in the field soil before transplanting with dosages of 15 t·hm−2, and the Auli Silicon purchased from Shenyang Rio Tinto Technology Co., Ltd., (Shenyang, China), SiO2 ≥ 80%, CaO ≥ 3%, K2O ≥ 5%, MgO ≥ 3%, was used as Si fertilizer applied at the jointing stage. Other field management was conducted according to the local farmers’ traditional experiences.

2.3. Analyses of Rice Plant and Soil Samples

Rice and soil samples were collected at maturity. The harvested rice plants were divided into four parts: roots, stems, leaves and grains. Grains were dried naturally, while the other tissues were placed in an oven at 105 °C for 15 min, and then dried to a constant weight at 75 °C. Dry weights of rice tissues were determined, and the panicle numbers, spikelets, seed-setting rate, 1000-grain weight and grain yield were also measured. Some of the grains were processed into milled rice and then ground in powders for the determination of Cd. Other rice tissues were also ground into powders with a grinder for the analysis of the concentrations of N, P, K, Si and Cd. The collected soil was air-dried, ground and sieved through a 1 mm sifter for the analysis of physicochemical properties.
The measurement of Cd contents in rice tissues and soil was as described by Bao [31], with some modifications. The prepared powders of rice tissues and soil were digested with HNO3/HCl (3:1) and HNO3/HF (4:1), respectively, in a microwave (Mars 6, CEM Corporation, Matthews, NC, USA) for the determination of total Cd concentration. Standard reference materials for plant (GBW(E)100349) and soil (GBW07407(GSS-7)) bought from National Research Centre for Certified Reference Material of China were used for quality control. The available Cd content was extracted with DTPA extractant [32]. The forms of Cd were separated by the BCR procedure according to Pueyo et al. [33]. All the digestion solutions of Cd were measured by inductively coupled plasma mass spectrometry (ICP-MS, Thermo Fisher Scientific, Waltham, MA, USA) with a blank test. The instrumental blanks were under the detection limit. The recovery rates in the certified reference materials ranged between 97% and 104%.
Soil organic matter (SOM) was determined with a TOC elemental analyzer (Elementary Analyse System Gmbh, Bechenheim, Germany). The concentrations of total N, total P, total K and total Si in rice tissues and available P, available K, available Si and alkali-hydrolyzable nitrogen in soil were determined according to the descriptions by Bao [31].
To evaluate the enrichment and transport capacity of Cd in rice, the enrichment factor (BCF) and the transport factor (TF) per unit mass of Cd were expressed, respectively [34].
BCF = Cd concentration of each organ of rice (mg·kg−1)/Cd concentration of soil (mg·kg−1)
Transfer factor of cadmium from root to stem: TFroot-stem = Cstem/Croot
Transfer factor of cadmium from stem to leaf: TFstem-leaf = Cleaf/Cstem
Transfer factor of Cd from leaf to fine rice: TFleaf-milled rice = Cmilled rice/Cleaf
Croot is the concentration of cadmium in the root, Cstem is the concentration of cadmium in the stem, Cleaf is the concentration of cadmium in the leaf, and Cmilled rice is the concentration of cadmium in milled rice, all in mg·kg−1.

2.4. Statistical Analyses

One-way ANOVA, followed by Duncan’s test (p < 0.05), was performed to analyze the experimental data with SPSS 26.0 software. Microsoft Excel 2019 software was used for data calculation and tabulation and SigmaPlot 14.0 and Origin 2022 software were used for graphing; the data in the graphs were the mean ± standard deviation. The heat map was constructed using RStudio 3.2.5 with R-packages of ‘heatmap’ (p < 0.05). Due to the limitation of space, only the results of the pot trial are presented in the main text, and those from the field are listed in Supplementary Materials.

3. Results

3.1. Concentrations of Cd in Rice Tissues

The application of either BC or Si could reduce Cd concentrations in roots, stems and milled rice, while increasing that in leaves by 35.71% (TBC) and 50% (JSi) when compared with CK (Figure 1). The same results could be found in the field test (Figure S1). However, there was no significant difference in Cd concentrations of stems, leaves and milled rice between TBC and JSi. It should be noted that the application of Si at the jointing stage (JSi) could decrease root Cd markedly, which was much lower than in that treated with TBC. More importantly, the reduction of Cd concentration in milled rice treated by TBC + JSi was very notable, and there was a significant synergistic interaction between BC and topdressing Si on milled-rice Cd concentration. Compared to CK, TBC and JSi, the Cd concentration in milled rice of TBC + JSi was decreased by 34.62%, 22.73% and 10.53%, respectively, which was less than the safety value standard of 0.20 mg·kg−1. In addition, the Cd concentration in roots was significantly higher than those in other tissues (Figure 1), and more than half of the Cd absorbed by rice plants was distributed in the roots, where the concentration was 2.31–4.33 times higher than in the stems or leaves under field condition (Figure S1).
Figure 1. Effects of biochar combined with topdressing silicon on Cd concentration in rice plants. Each bar is the mean ± standard error (n = 3), and different small letters indicate significant differences among treatments at p < 0.05 level.

3.2. Total and Available Cd in Soil

The effects of biochar combined with topdressing silicon on the concentrations of total and available Cd in soil are shown in Figure 2. The application of BC and Si could significantly affect the concentrations of soil total Cd at rice maturity, which were 32.07% (TBC), 27.85% (JSi) and 35.44% (TBC + JSi) higher than CK, but there was no difference between treatments (Figure 2A). Compared to CK, soil available Cd treated by TBC, JSi and TBC + JSi was decreased by 7.98%, 4.76% and 6.02%, respectively. That is to say, BC and Si could detain more Cd in soil, and more Cd was converted into the residual fraction (Figure S2).
Figure 2. Effects of biochar combined with topdressing silicon on total Cd (A) and available Cd (B) content in soil. Each bar is the mean ± standard error (n = 3), and different small letters indicate significant differences among treatments at p < 0.05 level.

3.3. Enrichment and Transfer Capacity of Cd by Rice Tissues

As shown in Table 1, the treatment of TBC + JSi could significantly reduce the Cd enrichment coefficients of roots, stems and milled rice, while having no impacts on those of leaves. In the case of milled rice, the Cd enrichment coefficients were reduced by 36.37%, 45.45% and 54.54% for the treatments of TBC, JSi and TBC + JSi, respectively, when compared with CK, and that for TBC + JSi was the highest among treatments. On the other hand, either BC or Si had no impact on the transfer coefficient of Cd from roots to stems, but those from stems to leaves for the treatments of TBC, JSi and TBC + JSi were increased by 83.78%, 82.43% and 135.14%, respectively, when compared to CK, while those from leaves to milled rice were decreased by 37.63%, 51.61% and 61.29%, respectively. Therefore, it could be concluded that either BC or Si significantly enhanced Cd sequestration in rice leaves, and thus reduced its transfer to grains. Moreover, TBC + JSi presented significant synergy on the accumulation of Cd in milled rice and its transfer from leaves to milled rice.
Table 1. Effects of biochar combined with topdressing silicon on the enrichment coefficient of Cd (BCFCd) and the transfer coefficient of Cd (TFCd) by rice tissues in Cd-contaminated soil.

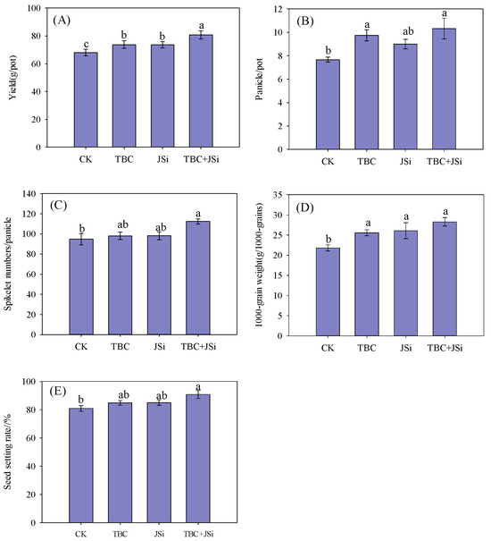
3.4. Rice Yield and Its Components

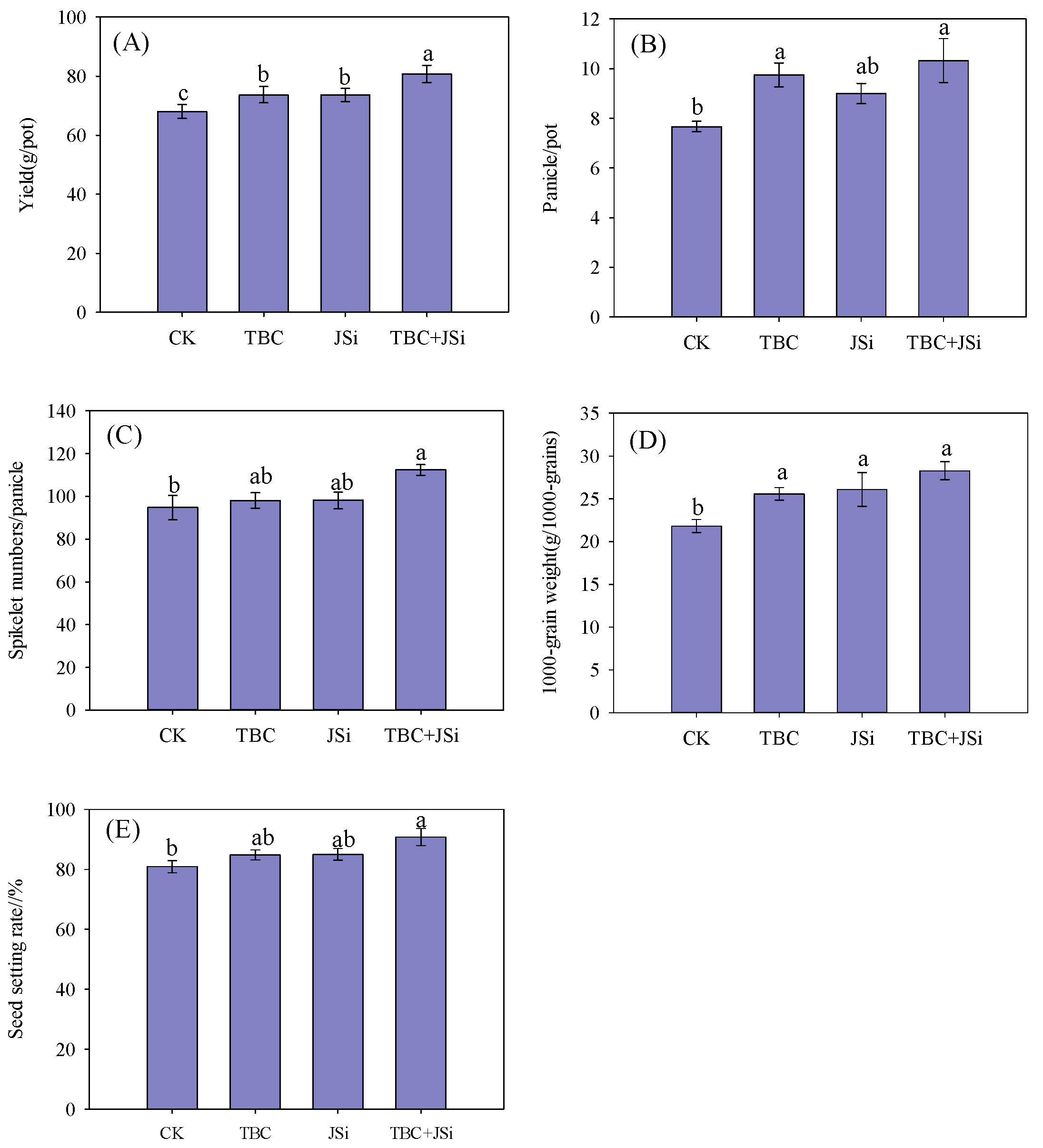
Figure 3 shows that rice yield and its components could be affected significantly by BC and Si. Compared with CK, TBC increased the yield, effective panicle number and 1000-grain weight by 8.35%, 27.12% and 17.23%, respectively; and JSi also significantly increased the yield and 1000-grain weight by 8.20% and 19.57%, respectively. More than that, the treatment of TBC + JSi had synergistic effects on the yield, effective panicle per pot, spikelet numbers per panicle, 1000-grain weight and seed-setting rate, which were increased by 18.74%, 34.68%, 18.57%, 29.61% and 12.23%, respectively, when compared to CK. In addition, a field experiment also showed that the yield of TBC + JSi was higher than other treatments (Table S1).
Figure 3. Effects of biochar combined with topdressing silicon on rice yield and its components in Cd-contaminated paddy soil. Each bar is the mean ± standard error (n = 3), and different small letters indicate significant differences among treatments at p < 0.05 level, while (AE) represent rice yield per pot, panicles per pot, spikelet numbers per panicle, 1000-grain weight and seed-setting rate, respectively.

3.5. Nutrient Content in Soil and Rice Plant

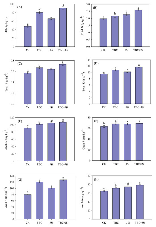
Figure 4 showed the changes in soil nutrient contents at rice maturity after the application of BC and Si. Compared to CK, the concentrations of organic matter, total N, total P, total K, available P, available K, alkali-hydrolyzable nitrogen and available Si in soil applied with BC were increased by 7.79–68.15%, those with Si by 7.10–38.09% and those with TBC + JSi by 8.90–91.14%. This meant that the application of BC and Si could increase the effectiveness of soil nutrients to some degree. In addition, the increases of soil organic matter and available K treated by TBC were much greater than those treated by JSi, and the increments of alkali-hydrolyzable nitrogen and available Si in soil treated by TBC + JSi were greater than those treated by TBC. The application of BC combined with topdressing Si promoted soil nutrients much more than each of them alone, which presented a certain superposition effect.
Figure 4. Effects of biochar combined with topdressing silicon on the nutrient contents in soil at rice maturity under Cd-contaminated conditions. Each bar is the mean ± standard error (n = 3), and different small letters indicate significant differences among treatments at p < 0.05 level, while (AH) represent the concentrations of organic matter, total nitrogen, total phosphorus, total potassium, alkaline hydrolysable nitrogen, available phosphorus, available potassium and silicon in soil, respectively.
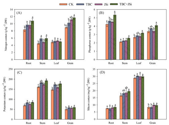
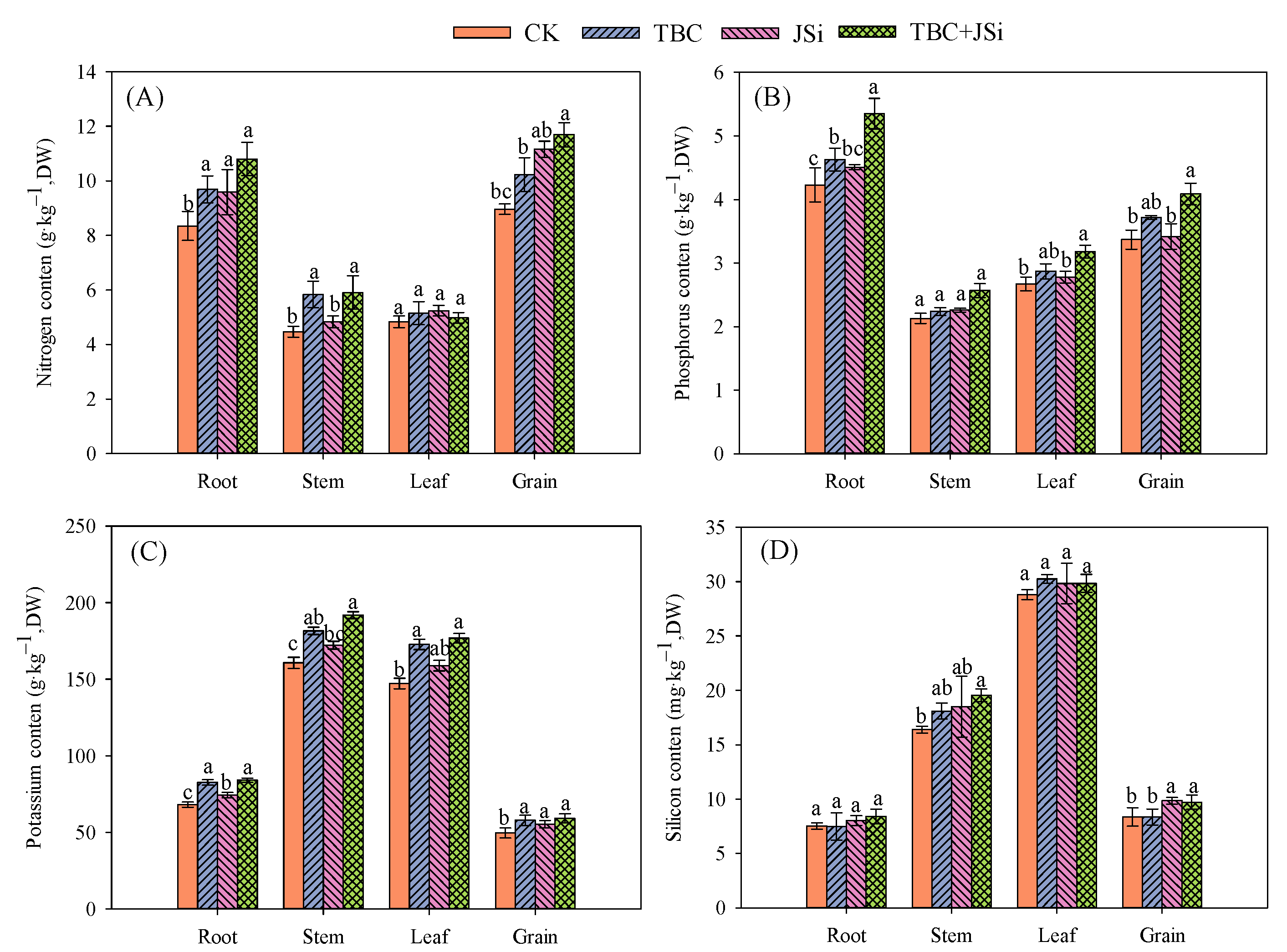
The concentrations of N, P, K and Si in rice tissues were also affected obviously by the application of BC and Si (Figure 5). Compared with CK, TBC increased the contents of N, P and K in roots and grains by 9.46%–21.40% and JSi elevated them by 6.62–24.55%, while TBC + JSi increased them significantly by 3.11%–32.21% (N), 19.10%–26.48% (P) and 19.17%–23.50% (K), respectively. Furthermore, the contents of Si in stems and grains treated with Si were elevated by 12.87% and 17.94%, respectively, and those with TBC + JSi were increased by 19.28% and 16.27%, respectively. It could be inferred that Si fertilizer application might have more impact on the increase of Si in stems and grains than in roots and leaves.
Figure 5. Effects of biochar combined with topdressing silicon on nutrient contents such as nitrogen (A), phosphorus (B), potassium (C) and silicon (D) in different tissues of rice plants in Cd-contaminated soil. Each bar is the mean ± standard error (n = 3), and different small letters indicate significant differences among treatments at p < 0.05 level, while different capital letters (AD) represent the contents of nitrogen, phosphorus, potassium and silicon in rice tissues, respectively.

3.6. Correlation Analysis of Cd in Milled Rice with Nutrients in Soil and Cd in Rice Tissues

In order to investigate the effects of nutrients and soil Cd on the accumulation of milled-rice Cd, the Pearson correlation matrix (Figure 6A) was performed on milled-rice Cd concentration with the contents of soil organic matter, total N, total P, total K, available P, available K, available Si and alkali-hydrolyzable nitrogen, and with the Cd in different rice tissues. The concentration of milled-rice Cd was negatively correlated with the contents of soil available Si, alkali-hydrolyzable nitrogen, total N in soil and leaf Cd, while positively correlated with only the concentrations of Cd in roots and stems. Moreover, Principal component analysis (PCA) was performed to evaluate the effects of BC and Si on Cd concentration and soil nutrients (Figure 6B). The treatments of BC and Si could be clearly separated from CK, especially for the combination of BC with Si, which was completely isolated from both BC and Si. The combined application of BC with topdressing Si was partial to increase leaf Cd, soil Cd, SOM and soil nutrients, while greatly reducing milled-rice Cd, soil available Cd and root and stem Cd. Therefore, the combined application of BC with Si would be more helpful and efficacious for the reduction of soil available Cd and the sequestration of Cd in leaves, which in turn alleviate the absorption of Cd by rice and its migration from leaves to grains.
Figure 6. Pearson correlation matrix of Cd concentrations and soil nutrients in soil and plant (A) and principal component analysis (PCA) (B). Note: SOM: soil organic matter; TN: total nitrogen; TP: total phosphorus; TK: total potassium; Alkali-N: alkali-hydrolyzed nitrogen; Olsen-P: available phosphorus; Avail-K: available potassium; Avail-Si: available silicon; Avail-Cd: available Cd; Soil Cd: total Cd in soil; Root Cd, Stem Cd, Leaf Cd and Milled rice Cd represent Cd concentrations in root, stem, leaf and milled rice, respectively.

4. Discussion

4.1. Combined Application of Biochar with Topdressing Silicon Significantly Reduced Cd Concentration in Milled Rice

Soil, as a medium for plant growth, has complex and diverse properties which would be changed by the application of BC and Si. The application of BC could passivate Cd in soil and reduce the absorption of Cd by rice [14,15], thanks to its ionic and covalent bonds on the inner sphere surfaces and functional groups [35]. Moreover, most of the Cd absorbed by rice plants could be sequestrated in roots, which resulted in a low proportion of Cd transferred to brown rice [36]. In this study, the application of BC could enhance retained Cd in soil, and the Cd transferred from roots to shoots was sequestrated in leaves, while the Cd that accumulated in the stem and milled rice was reduced. That is to say, BC could impede Cd transfer from soil to plant and from leaf to grain. Similar results have been reported that BC can increase Cd concentrations significantly in sugar beet leaves [37].
Similarly, the application of Si at the jointing stage also increased the retention of Cd in soil and significantly reduced the enrichment coefficients of Cd in rice roots and stems. Silicon could reduce Cd accumulation in grains by inhibiting Cd transport while promoting the transport of K, magnesium (Mg) and iron from the aboveground rice plants to the grains [38]. The application of Si increased Cd concentration in roots and decreased it in stems and brown rice, and it could be decreased significantly by 38.80% when compared to CK [39]. However, the chemical behavior of Cd in the soil–rice system was influenced significantly by Si application at different growing stages, and that applied at the jointing stage significantly increased the Cd concentrations in leaves and branches, while decreasing them in grains [25].
It was worthy of note that the Cd concentration in milled rice (0.17 mg·kg−1) treated with TBC + JSi was decreased by 22.7 and 10.52%, respectively, when compared to TBC and JSi, which was below the National Food Limit Standard in China of 0.20 mg·kg−1 (GB 2762-2017) [40]. A three-year field experiment, conducted to investigate the ecological safety and long-term stability of biochar combined with lime or silicon fertilizer for Cd immobilization in a polluted rice paddy, showed that the application of combined ameliorants (BC mixed with lime or Si fertilizer) could reduce the Cd content in brown rice to meet the Chinese maximum permissible limit for Cd content in food products (0.2 mg·kg−1) [28]. That is to say, our results once again confirmed that the combined application of BC with topdressing Si could control the accumulation of Cd in milled rice. Biochar manufactured from rice husk with the addition of sodium silicate was more effective in reducing the Cd bioconcentration factors in rice roots and the Cd uptake of rice than the application of biochar alone [41]. Moreover, the formation of Cd–Si complexation in soil and rice tissues could also hinder the transport from soil to grains [42,43]. In this study, the transfer coefficient of Cd from leaves to milled rice was decreased remarkably by the application of TBC + JSi, and there was a significant negative correlation in Cd concentration between leaves and milled rice, which might be one of the direct causes resulting in the reduction of Cd in milled rice. This study also showed that the soil total Cd of TBC, JSi and TBC + JSi was significantly higher than CK at rice maturity. High pH (Table S2) might strengthen the immobilization of Cd in soil. Therefore, the mechanism proposed for the reduction of Cd uptake in rice plants by the interaction of biochar and topdressing silicon might be summarized as follows: (1) soil Cd bioavailability was decreased by BC and Si through immobilization, adsorption and precipitation by biochar and silicon, thus decreasing Cd uptake by rice; (2) biochar and silicon could enhance the detoxification of Cd, including cell wall adsorption, cytoplasmic chelation and vacuolar sequestration, thus reducing the transfer of Cd from root to stem, and to leaves and grains; (3) the combined use of biochar and topdressing Si synergistically promoted rice growth in Cd-contaminated environments, and more Cd was fixed in leaves. But the behavior of Cd in the soil–plant system is very complex and the underling mechanisms need to be further studied in greater depth.

4.2. Combined Application of Biochar with Topdressing Silicon Had Synergistic Effect on Rice Yield in Cd-Contaminated Soil

The high CEC, large surface area and pore volume of BC could alleviate the harmful effects of heavy metal on soils and plants, thereby improving crop productivity and environmental sustainability [44]. Rice productivity was increased by 25–26% by the application of BC amendments (20 and 40 t ha−1) in heavy metal-contaminated rice fields [45], and the presence of unique surface functional groups of BC increased the contents of soil K and magnesium (Mg), which in turn promotes the increase of rice yield [46]. On the other hand, Si could obviously promote the growth and productivity of rice [47]. The effective tillers of rice, 1000-grain weight and yield were increased by 94.2%, 3.2% and 13.7%, respectively, after the application of Si [17]. Our previous study showed that Si application at the jointing stage significantly improved leaf photosynthesis and increased grain yield in Cd-polluted soil [19]. In this study, the application of either BC or Si could significantly improve rice yield. What is more, the combined application of BC with topdressing Si in Cd-contaminated soil had a synergistic impact on rice yield. Similar results have been observed in maize, indicating that the combined application of Si and BC increased the Si content in stalks and maize yield when compared to the application of either Si or BC alone, and the concentration of heavy metals in maize grains was reduced significantly [48]. In this study, the combined application of BC with topdressing Si increased rice yield by 18.74%, 9.59% and 9.74% in comparison with CK, BC and Si treatments, respectively.

4.3. Combined Application of Biochar with Topdressing Silicon Improved Soil Fertility and Plant Nutrition

Under Cd-contaminated conditions, both BC and Si applications could improve soil properties and increased soil nutrient content [49]. In terms of BC, with the large specific surface area, well-developed pore structure and high nutrient content, it was able to effectively improve the physicochemical properties of the soil, and thus increase the contents of nutrients in soil [50]. In addition, BC accelerated the decomposition of soil organic matter and effectively adsorbed nitrate and ammonium ions through surface functional groups, thus increasing soil ammonium N, available P and available K in soil [51,52]. In this study, under Cd-contaminated conditions, BC application elevated the contents of nutrients such as N, P, K and available Si, etc. by 7.79–50.95% (Figure 2), which were also improved by the application of Si at the jointing stage. Proper application of Si in paddy soil could significantly improve the utilization of nitrogen and phosphorus fertilizers [17]. Similarly, the nutrients in rhizosphere soil such as available Si, alkali-hydrolyzable N, available P and available K were increased by Si application at the jointing stage [53]. In addition, Si promoted rice photosynthesis and the allocation of subsurface carbon to the soil, thus enhancing the soil microbial community’s activity, which significantly increased different carbon fractions and effective phosphorus in soil [54]. What is more, the combined application of BC with topdressing Si had a significant superposition effect on the soil nutrient contents; the reason might be that BC could provide a living environment and nutrients for microorganisms, while nutrients provided by K2SiO3 could be adsorbed by BC, then the formation of oxygen-containing functional groups on the surface of BC was promoted and soil pH was increased, and finally soil fertility was improved significantly [48].
In the same way, the application of BC and Si under cadmium-contaminated conditions both increased the concentrations of N, P and K in rice plants in this paper. Many studies have shown that the application of BC facilitates the absorption of N, P and K by crops [11,44,55]. Silicon also benefits crop productivity and the accumulation of plant nutrients [54,56,57]. Mahmoud et al. [58] showed that the application of Si nanoelements and BC improves the concentrations of N, P, K in plant tissues. In this study, it has also been verified that the contents of N, P and K in rice plants were increased significantly by the combined application of BC with topdressing Si when compared to the application of either BC or Si under Cd-contaminated conditions. In a stressful environment, the application of Si and BC made significant contributions to the growth and the accumulation of N, P and K in rice [59].

5. Conclusions

Overall, Compared to TBC and JSi, TBC + JSi was more conducive to the decrease of Cd in milled rice and the increase of yield by reducing soil available Cd and improving soil and plant nutrients. More Cd was sequestrated in soil and leaves by the combined application of BC with topdressing Si, which in turn reduced the transfer of Cd from soil to aerial parts and from leaves to milled rice. Therefore, the combined application of BC with topdressing Si is worthy of being recommended as an effective and practical agronomic measure for guaranteeing food security in Cd-contaminated paddy soil.

Supplementary Materials

The following supporting information can be downloaded at: https://www.mdpi.com/article/10.3390/agronomy14030568/s1, Figure S1. Effects of biochar combined with topdressing silicon on Cd partitioning ratio in rice tissues under pot(A) and field (B) experiment. Figure S2. Effects of biochar combined with topdressing silicon on the ratios of different Cd fractions in soil under pot(A) and field trials(B). Table S1. Effects of biochar (BC) combined with topdressing silicon (Si) on rice yield and its components in Cd-contaminated paddy soil under field condition. Table S2. Effects of biochar combined with topdressing silicon on soil pH, EC and CEC under pot trial.

Author Contributions

Conceptualization, Y.C. and W.W.; methodology, Y.C. and W.W.; software, X.S.; validation, Y.L., B.L. and B.P.; formal analysis, X.S.; investigation, Y.L., B.L. and B.P.; resources, W.W.; data curation, X.S. and Y.C.; writing—original draft preparation, X.S.; writing—review & editing, Y.C., W.W. and K.C.; visualization, Y.C. and X.S. All authors have read and agreed to the published version of the manuscript.

Funding

This work was supported by the Science and Technology Planning Project of Guangdong Province (2013B020310010, 2019B030301007) and the Open Foundation of Key Laboratory for Agricultural Environment, Ministry of Agriculture and Rural Affairs, P.R. China.

Data Availability Statement

Data will be made available on request.

Acknowledgments

Special thanks go to the anonymous reviewers for their valuable comments. In addition, the authors gratefully acknowledge every teacher, classmate and friend who helped them with their experiment and writing.

Conflicts of Interest

The authors declare no conflicts of interest.

References

  1. Wang, P.; Chen, H.; Kopittke, P.; Zhao, F. Cadmium contamination in agricultural soils of China and the impact on food safety. Environ. Pollut. 2019, 249, 1038–1048. [Google Scholar] [CrossRef]
  2. Li, Y.; Chen, W.; Yang, Y.; Wang, T.; Dai, Y. Quantifying source-specific intake risks of wheat cadmium by associating source contributions of soil cadmium with human health risk. Ecotox. Environ. Safe 2021, 228, 112982. [Google Scholar] [CrossRef]
  3. Yang, J.; Wang, J.; Liao, X.; Tao, H.; Li, Y. Chain modeling for the biogeochemical nexus of cadmium in soil-rice-human health system. Environ. Int. 2022, 167, 107424. [Google Scholar] [CrossRef]
  4. Gao, Y.; Duan, Z.; Zhang, L.; Sun, D.; Li, X. The Status and Research Progress of Cadmium Pollution in Rice- (Oryza sativa L.) and Wheat- (Triticum aestivum L.) Cropping Systems in China: A Critical Review. Toxics 2022, 10, 794. [Google Scholar] [CrossRef]
  5. Bouida, L.; Rafatullah, M.; Hussein, A.; Kerrouche, A.; Qutob, M.; Alosaimi, A.; Alorfi, H.; Hussein, M. A Review on Cadmium and Lead Contamination: Sources, Fate, Mechanism, Health Effects and Remediation Methods. Water 2022, 14, 3432. [Google Scholar] [CrossRef]
  6. Barregard, L.; Sallsten, G.; Lundh, T.; Molne, N. Low-level exposure to lead, cadmium and mercury, and histopathological findings in kidney biopsies. Environ. Res. 2022, 211, 113119. [Google Scholar] [CrossRef]
  7. Luo, H.; Gu, R.; Ouyang, H.; Wang, L.; Shi, S.; Ji, Y.; Bao, B.; Liao, G.; Xu, B. Cadmium exposure induces osteoporosis through cellular senescence, associated with activation of NF-kappa B pathway and mitochondrial dysfunction. Environ. Pollut. 2021, 290, 118043. [Google Scholar] [CrossRef] [PubMed]
  8. Ajeng, A.; Abdullah, R.; Ling, T.; Ismail, S.; Lau, B.; Ong, H.; Chew, K.; Show, P.; Chang, J. Bioformulation of biochar as a potential inoculant carrier for sustainable agriculture. Environ. Technol. Innov. 2020, 20, 101168. [Google Scholar] [CrossRef]
  9. Ni, N.; Kong, D.; Wu, W.; He, J.; Shan, Z.; Li, J.; Dou, Y.; Zhang, Y.; Song, Y.; Jiang, X. The Role of Biochar in Reducing the Bioavailability and Migration of Persistent Organic Pollutants in Soil–Plant Systems: A Review. Bull. Environ. Contam. Toxicol. 2020, 2, 157–165. [Google Scholar] [CrossRef] [PubMed]
  10. Amen, R.; Bashir, H.; Bibi, I.; Shaheen, S.; Niazi, N.; Shahid, M.; Hussain, M.; Antoniadis, V.; Shakoor, M.; Al-Solaimani, S.; et al. A critical review on arsenic removal from water using biochar-based sorbents: The significance of modification and redox reactions. Chem. Eng. J. 2020, 396, 125195. [Google Scholar] [CrossRef]
  11. Liu, M.; Linna, C.; Ma, S.; Ma, Q.; Guo, J.; Wang, F.; Wang, L. Effects of Biochar With Inorganic and Organic Fertilizers on Agronomic Traits and Nutrient Absorption of Soybean and Fertility and Microbes in Purple Soil. Front. Plant Sci. 2022, 13, 871021. [Google Scholar] [CrossRef]
  12. Zhang, S.; Gu, W.; Bai, J.; Dong, B.; Zhao, J.; Zhuang, X. Fate and health risk assessment of heavy metals in Brassica chinensis L. (pak-choi) and soil amended by sludge-based biochar. Environ. Sci. Pollut. Res. 2022, 30, 5621–5633. [Google Scholar] [CrossRef]
  13. Huang, H.; Luo, L.; Huang, L.; Zhang, J.; Gikas, P.; Zhou, Y. Effect of Manure Compost on Distribution of Cu and Zn in Rhizosphere Soil and Heavy Metal Accumulation by Brassica juncea. Water Air Soil Pollut. 2020, 231, 195. [Google Scholar] [CrossRef]
  14. Li, S.; Wang, M.; Zhao, Z.; Li, X.; Chen, S. Use of soil amendments to reduce cadmium accumulation in rice by changing Cd distribution in soil aggregates. Environ. Sci. Pollut. Res. 2019, 20, 20929–20938. [Google Scholar] [CrossRef] [PubMed]
  15. Zhang, M.; Shan, S.; Chen, Y.; Wang, F.; Yang, D.; Ren, J.; Lu, H.; Ping, L.; Chai, Y.J. Biochar reduces cadmium accumulation in rice grains in a tungsten mining area-field experiment: Effects of biochar type and dosage, rice variety, and pollution level. Environ. Geochem. Health 2019, 11, 43–52. [Google Scholar] [CrossRef] [PubMed]
  16. Ali, L.; Manzoor, N.; Li, X.; Naveed, M.; Nadeem, S.; Waqas, M.; Khalid, M.; Abbas, A.; Ahmed, T.; Li, B.; et al. Impact of Corn Cob-Derived Biochar in Altering Soil Quality, Biochemical Status and Improving Maize Growth under Drought Stress. Agronomy 2021, 11, 2300. [Google Scholar] [CrossRef]
  17. Liao, M.; Liang, Z.; Huang, Y.; Huang, X.; Yang, X.; Chen, S.; Xie, X.; Xu, C.; Guo, J. Effects of supplying silicon nutrient on utilization rate of nitrogen and phosphorus nutrients by rice and its soil ecological mechanism in a hybrid rice double-cropping system. J. Zhejiang Univ.-Sci. B 2020, 6, 474–484. [Google Scholar] [CrossRef] [PubMed]
  18. Gong, D.; Zhang, X.; Yao, J.; Dai, G.; Yu, G.; Zhu, Q.; Gao, Q.; Zheng, W. Synergistic effects of bast fiber seedling film and nano-silicon fertilizer to increase the lodging resistance and yield of rice. Sci. Rep. 2021, 11, 12788. [Google Scholar] [CrossRef] [PubMed]
  19. Pan, B.; Liu, B.; Cai, K.; Wang, W.; Tian, J.; Lv, W.; Cai, Y. Effects of silicon staged application on photosynthetic characteristics and matter accumulation in Cd-contaminated rice. Acta Ecol. Sin. 2022, 14, 5934–5944. [Google Scholar] [CrossRef]
  20. Liu, Q.; Ma, H.; Sun, Z.; Lin, X.; Zhou, X. Translocation efficiencies and allocation of nitrogen, phosphorous and potassium in rice as affected by silicon fertilizer under high daytime. J. Agron. Crop. Sci. 2019, 2, 188–201. [Google Scholar] [CrossRef]
  21. Kim, Y.; Khan, A.; Kim, D.; Lee, S.; Kim, K.; Waqas, M.; Jung, H.; Shin, J.; Kim, J.; Lee, I. Silicon mitigates heavy metal stress by regulating P-type heavy metal ATPases, Oryza sativa low silicon genes, and endogenous. BMC Plant Biol. 2014, 14, 13. [Google Scholar] [CrossRef] [PubMed]
  22. Chen, D.; Chen, D.; Xue, R.; Long, J.; Lin, X.; Lin, Y.; Jia, L.; Zeng, R.; Song, Y. Effects of boron, silicon and their interactions on cadmium accumulation and toxicity in rice plants. J. Hazard. Mater. 2019, 367, 447–455. [Google Scholar] [CrossRef]
  23. Babu, T.; Nagabovanalli, P. Effect of silicon amendment on soil-cadmium availability and uptake in rice grown in different moisture regimes. J. Plant Nutr. 2017, 40, 2440–2457. [Google Scholar] [CrossRef]
  24. Cai, Y.; Pan, B.; Liu, B.; Cai, K.; Tian, J.; Wang, W. The Cd sequestration effects of rice roots affected by different Si management in Cd-contaminated paddy soil. Sci. Total Environ. 2022, 849, 157718. [Google Scholar] [CrossRef] [PubMed]
  25. Pan, B.; Cai, Y.; Liu, B.; Cai, K.; Lv, W.; Tian, J.; Wang, W. Abatement of Cd in rice grain and toxic risks to human health by the split application of silicon at transplanting and jointing period. J. Environ. Manag. 2022, 302, 114039. [Google Scholar] [CrossRef] [PubMed]
  26. Huang, F.; Gao, L.; Wu, R.; Wang, H.; Xiao, R. Qualitative and quantitative characterization of adsorption mechanisms for Cd2+ by silicon-rich biochar. Sci. Total Environ. 2020, 731, 139163. [Google Scholar] [CrossRef] [PubMed]
  27. Liu, L.; Yang, X.; Ahmad, S.; Li, X.; Ri, C.; Tang, J.; Ellam, R.; Song, Z. Silicon (Si) modification of biochars from different Si-bearing precursors improves cadmium remediation Afrikaan. Chem. Eng. J. 2023, 457, 141194. [Google Scholar] [CrossRef]
  28. Wang, G.; Du, W.; Xu, M.; Ai, F.; Yin, Y.; Guo, H. Integrated Assessment of Cd-contaminated Paddy Soil with Application of Combined Ameliorants: A Three-Year Field Study. Bull. Environ. Contam. Toxicol. 2021, 6, 1236–1242. [Google Scholar] [CrossRef] [PubMed]
  29. GB 15618-2018; Soil Environmental Quality–Risk Control Standard for Soil Contamination of Agricultural Land. Chinese National Standard Agency: Beijing, China, 2018. (In Chinese)
  30. Cai, Y.; Zhang, S.; Cai, K.; Huang, F.; Pan, B.; Wang, W. Cd accumulation, biomass and yield of rice are varied with silicon application at different growth phases under high concentration cadmium-contaminated soil. Chemosphere 2022, 242, 125128. [Google Scholar] [CrossRef]
  31. Bao, S. Soil Agricultural Chemical Analysis, 3rd ed.; Agriculture Press: Beijing, China, 2000. [Google Scholar]
  32. Lindsay, W.; Norvell, W. Development of a DTPA soil test for zinc, iron, manganese, and copper. Soil Sci. Soc. Am. J. 1978, 42, 421–428. [Google Scholar] [CrossRef]
  33. Pueyo, M.; Mateu, J.; Rigol, A.; Vidal, M.; López-Sánchez, J.; Rauret, G. Use of the modified BCR three-step sequential extraction procedure for the study of trace element dynamics in contaminated soils. Environ. Pollut. 2008, 2, 330–341. [Google Scholar] [CrossRef]
  34. Fan, J.; Jiang, J.; Zhang, L.; Li, Y.; Zhan, Y.; Lan, Y.; Sun, S.; Fan, X. Response of alkaline functional fertilizer on Cd absorption and transportation in soil-rice system. Ecol. Indic. 2022, 145, 109584. [Google Scholar] [CrossRef]
  35. Zhang, J.; Tan, Z.; Huang, Q. Study on principles and mechanisms of new biochar passivation of cadmium in soil. Biochar 2021, 3, 61–173. [Google Scholar] [CrossRef]
  36. Lv, G.; Yang, T.; Chen, Y.; Hou, H.; Liu, X.; Li, J.; Wei, L.; Li, J. Biochar-based fertilizer enhanced Cd immobilization and soil quality in soil-rice system. Ecol. Eng. 2021, 171, 106396. [Google Scholar] [CrossRef]
  37. Gartler, J.; Robinson, B.; Burton, K.; Clucas, L. Carbonaceous soil amendments to biofortify crop plants with zinc. Sci. Total Environ. 2013, 465, 308–313. [Google Scholar] [CrossRef]
  38. Chen, R.; Zhang, C.; Zhao, Y.; Huang, Y.; Liu, Z. Foliar application with nano-silicon reduced cadmium accumulation in grains by inhibiting cadmium translocation in rice plants. Environ. Sci. Pollut. Res. 2018, 25, 2361–2368. [Google Scholar] [CrossRef]
  39. Luo, W.; Ma, J.; Khan, M.; Liao, S.; Ruan, Z.; Liu, H.; Zhong, B.; Zhu, Y.; Duan, L.; Fu, L.; et al. Cadmium accumulation in rice and its bioavailability in paddy soil with application of silicon fertilizer under different water management regimes. Soil Use Manag. 2021, 2, 299–306. [Google Scholar] [CrossRef]
  40. GB 2762-2017; China Food and Drug Administration. National Health and Family Planning Commission: Beijing, China, 2017. (In Chinese)
  41. Sui, F.; Wang, J.; Zuo, J.; Joseph, S.; Munroe, P.; Drosos, M.; Li, L.; Pan, G. Effect of amendment of biochar supplemented with Si on Cd mobility and rice uptake over three rice growing seasons in an acidic Cd-tainted paddy from central South China. Sci. Total Environ. 2020, 709, 136101. [Google Scholar] [CrossRef] [PubMed]
  42. Wang, Y.; Zhang, K.; Lu, L.; Xiao, X.; Chen, B. Novel insights into effects of silicon-rich biochar (Sichar) amendment on cadmium uptake, translocation and accumulation in rice plants. Environ. Pollut. 2020, 265, 114772. [Google Scholar] [CrossRef]
  43. Wei, W.; Peng, H.; Xie, Y.; Wang, X.; Huang, R.; Chen, H.; Ji, X. The role of silicon in cadmium alleviation by rice root cell wall retention and vacuole compartmentalization under different durations of Cd exposure. Ecotox. Environ. Saf. 2021, 226, 112810. [Google Scholar] [CrossRef]
  44. Nepal, J.; Ahmad, W.; Munsif, F.; Khan, A.; Zou, Z. Advances and prospects of biochar in improving soil fertility, biochemical quality, and environmental applications. Front. Environ. Sci. 2023, 11, 1114752. [Google Scholar] [CrossRef]
  45. Zhang, A.; Bian, R.; Li, L.; Wang, X.; Zhao, Y.; Hussain, Q.; Pan, G. Enhanced rice production but greatly reduced carbon emission following biochar amendment in a metal-polluted rice paddy. Environ. Sci. Pollut. Res. 2015, 23, 18977–18986. [Google Scholar] [CrossRef]
  46. Nan, Q.; Wang, C.; Wang, H.; Yi, Q.; Liang, B.; Xu, J.; Wu, W. Biochar drives microbially-mediated rice production by increasing soil carbon. J. Hazard. Mater. 2020, 387, 121680. [Google Scholar] [CrossRef]
  47. Chaiwong, N.; Pusadee, T.; Jamjod, S.; Prom-U-Thai, C. Silicon Application Promotes Productivity, Silicon Accumulation and Upregulates Silicon Transporter Gene Expression in Rice. Plants 2022, 11, 989. [Google Scholar] [CrossRef]
  48. Sattar, A.; Sher, A.; Abourehab, M.; Ijaz, M.; Nawaz, M.; Ul-Allah, S.; Abbas, T.; Shah, A.; Imam, M.; Abdelsalam, N.; et al. Application of silicon and biochar alleviates the adversities of arsenic stress in maize by triggering the morpho-physiological and antioxidant defense mechanisms. Front. Environ. Sci. 2022, 11, 979049. [Google Scholar] [CrossRef]
  49. Prendergast-Miller, M.; Duvall, M.; Sohi, S. Biochar-root interactions are mediated by biochar nutrient content and impacts on soil nutrient availability. Eur. J. Soil Sci. 2014, 1, 173–185. [Google Scholar] [CrossRef]
  50. Ding, Y.; Liu, Y.; Liu, S.; Li, Z.; Tan, X.; Huang, X.; Zeng, G.; Zhou, L.; Zheng, B. Biochar to improve soil fertility. A review. Agron. Sustain. Dev. 2016, 36, 36. [Google Scholar] [CrossRef]
  51. Zhao, P.; Yu, J.; Zhang, X.; Ren, Z.; Li, M.; Han, S. Trifolium repens and biochar addition affecting soil nutrients and bacteria community. Environ. Sci. Pollut. Res. 2023, 12, 33927–33941. [Google Scholar] [CrossRef] [PubMed]
  52. Anjum, Z.; Min, Q.; Riaz, L.; Waqar-Un-Nisa, S.; Qadeer, S.; Saleem, A. Employment of Cannabis sativa biochar to improve soil nutrient pool and metal immobilization. Front. Environ. Sci. 2022, 10, 1011820. [Google Scholar] [CrossRef]
  53. Pan, B.; Wang, W.; Liu, B.; Cai, K.; Tian, J.; Cai, Y. Significant difference in the efficacies of silicon application regimes on cadmium species and environmental risks in rice rhizosphere. Environ. Pollut. 2023, 327, 121521. [Google Scholar] [CrossRef] [PubMed]
  54. Das, S.; Gwon, H.; Khan, M.; Jeong, S.; Kim, P. Steel slag amendment impacts on soil microbial communities and activities of rice (Oryza sativa L.). Sci. Rep. 2020, 10, 6746. [Google Scholar] [CrossRef] [PubMed]
  55. Hossain, M.; Bahar, M.; Sarkar, B.; Donne, S.; OK, Y.; Palansooriya, K.; Kirkham, M.; Chowdhury, S.; Bolan, N. Biochar and its importance on nutrient dynamics in soil and plant. Biochar 2020, 4, 379–420. [Google Scholar] [CrossRef]
  56. Jinger, D.; Dhar, S.; Dass, A.; Sharma, V.; Paramesh, V.; Parihar, M.; Joshi, E.; Singhal, V.; Gupta, G.; Prasad, D.; et al. Co-fertilization of Silicon and Phosphorus Influences the Dry Matter Accumulation, Grain Yield, Nutrient Uptake, and Nutrient-Use Efficiencies of Aerobic Rice. Silicon 2022, 9, 4683–4697. [Google Scholar] [CrossRef]
  57. Rea, R.; Islam, M.; Rahman, M.; Nath, B.; Mix, K. Growth, Nutrient Accumulation, and Drought Tolerance in Crop Plants with Silicon Application: A Review. Sustainability 2022, 8, 4525. [Google Scholar] [CrossRef]
  58. Mahmoud, A.; Samy, M.; Sany, H.; Eid, R.; Rashad, H.; Abdeldaym, E. Nanopotassium, Nanosilicon, and Biochar Applications Improve Potato Salt Tolerance by Modulating Photosynthesis, Water Status, and Biochemical Constituents. Sustainability 2022, 2, 723. [Google Scholar] [CrossRef]
  59. Raza, M.; Haider, I.; Saleem, M.; Iqbal, R.; Aslam, M.; Ahmad, S.; Abbasi, S. Integrating Biochar, Rhizobacteria and Silicon for Strenuous Productivity of Drought Stressed Wheat. Commun. Soil Sci. Plant Anal. 2021, 4, 338–352. [Google Scholar] [CrossRef]
Disclaimer/Publisher’s Note: The statements, opinions and data contained in all publications are solely those of the individual author(s) and contributor(s) and not of MDPI and/or the editor(s). MDPI and/or the editor(s) disclaim responsibility for any injury to people or property resulting from any ideas, methods, instructions or products referred to in the content.

Article Metrics

Citations

Article Access Statistics

Multiple requests from the same IP address are counted as one view.