Enhancing Faba Bean Yields in Alpine Agricultural Regions: The Impact of Plastic Film Mulching and Phosphorus Fertilization on Soil Dynamics
Abstract
1. Introduction
2. Materials and Methods
2.1. Site Description
2.2. Experimental Design and Field Management
2.3. Sampling and Measurements
2.3.1. Faba Bean Production Measurement
2.3.2. Soil Temperature and Water Measurement
2.3.3. Root Nodule Weight Measurement
2.3.4. Soil Biochemical Properties
2.4. Statistical Analysis
3. Results
3.1. Grain Yield and Aboveground Biomass
3.2. Soil Temperature Dynamics
3.3. Soil Water Content and Storage
3.4. Root Nodule Weight per Plant
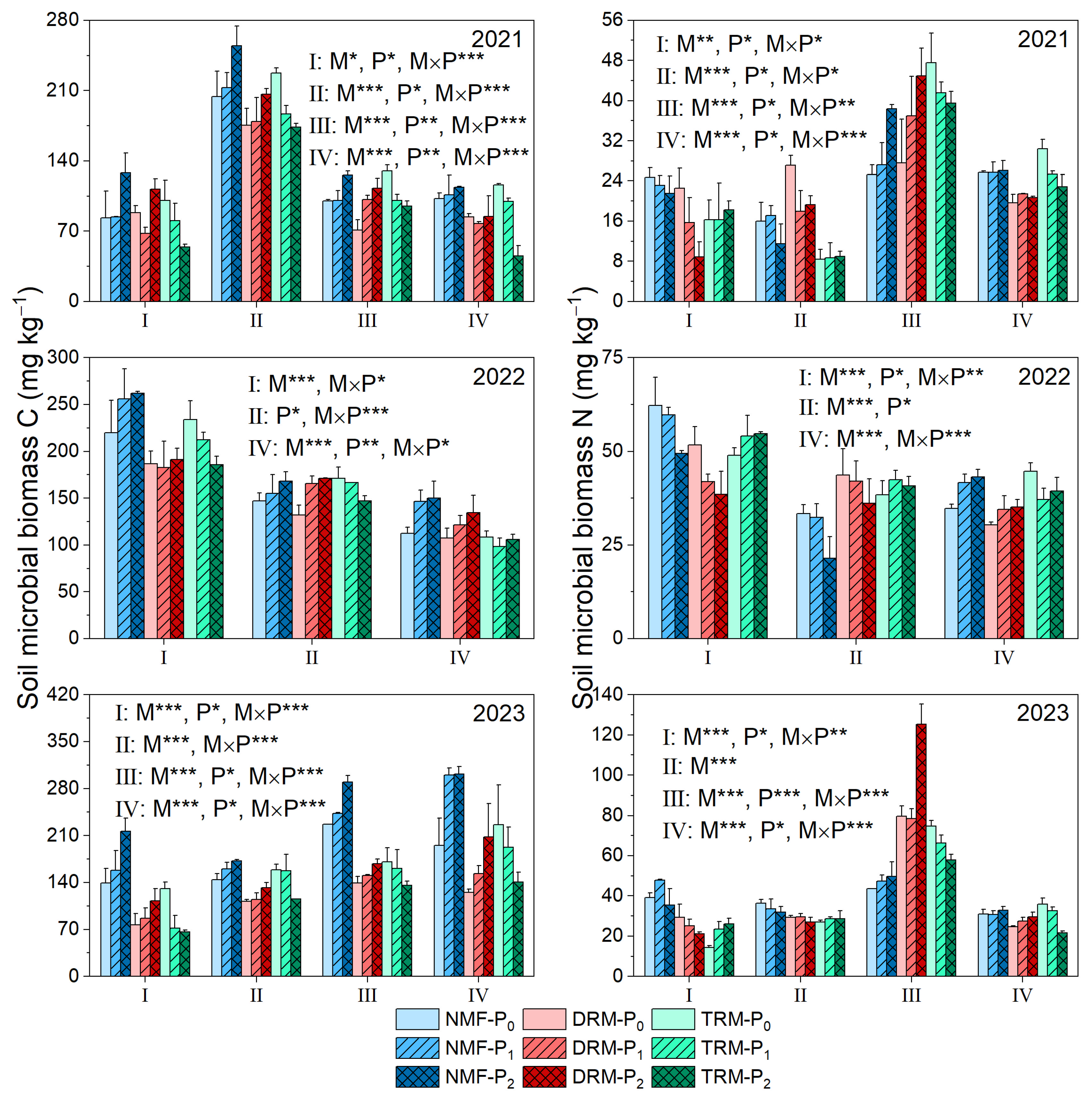
3.5. Soil Biochemical Properties
3.6. Relationships between Faba Bean Grain Yield, Soil Water Storage and Temperature, Nodule Dry Weight, and Soil Biochemical Properties
4. Discussion
4.1. Soil Temperature and Water
4.2. Soil Organic Carbon and Total Nitrogen
4.3. Soil N and P Availability
5. Conclusions
Author Contributions
Funding
Data Availability Statement
Acknowledgments
Conflicts of Interest
References
- Zhang, X.D.; Yang, L.C.; Xue, X.K.; Kamran, M.; Ahmad, I.; Dong, Z.Y.; Liu, T.N.; Jia, Z.K.; Zhang, P.; Han, Q.F. Plastic film mulching stimulates soil wet-dry alternation and stomatal behavior to improve maize yield and resource use efficiency in a semi-arid region. Field Crops Res. 2019, 233, 101–113. [Google Scholar] [CrossRef]
- Kong, M.; Jia, Y.; Gu, Y.J.; Han, C.L.; Song, X.; Shi, X.Y.; Siddique, K.H.M.; Zdruli, P.; Zhang, F.; Li, F.M. How film mulch increases the corn yield by improving the soil moisture and temperature in the early growing period in a cool, semi-arid area. Agronomy 2020, 10, 1195. [Google Scholar] [CrossRef]
- Hou, W.W.; Zhang, X.J.; Yan, Q.B.; Li, P.; Sha, W.C.; Tian, Y.Y.; Liu, Y.J. Linkage map of a gene controlling zero tannins (zt-1) in faba bean (Vicia faba L.) with SSR and ISSR markers. Agronomy 2018, 8, 80. [Google Scholar] [CrossRef]
- Li, P.; Zhang, Y.X.; Wu, X.X.; Liu, Y.J. Drought stress impact on leaf proteome variations of faba bean (Vicia faba L.) in the Qinghai-Tibet Plateau of China. 3 Biotech 2018, 8, 110. [Google Scholar] [CrossRef]
- Stoddard, F.L.; Hovinen, S.; Kontturi, M.; Lindström, K.; Nykänen, A. Legumes in Finnish agriculture: History, present status and future prospects. Agric. Food Sci. 2009, 18, 191–205. [Google Scholar] [CrossRef]
- Hu, Y.J.; Ma, P.H.; Duan, C.X.; Wu, S.F.; Feng, H.; Zou, Y.F. Black plastic film combined with straw mulching delays senescence and increases summer maize yield in northwest China. Agric. Water Manag. 2020, 231, 106031. [Google Scholar] [CrossRef]
- Zhang, F.; Zhang, W.J.; Qi, J.G.; Li, F.M. A regional evaluation of plastic film mulching for improving crop yields on the Loess Plateau of China. Agric. For. Meteorol. 2018, 248, 458–468. [Google Scholar] [CrossRef]
- Li, M.; Zhang, K.P.; Eldoma, I.M.; Fang, Y.J.; Zhang, F. Plastic film mulching sustains high maize (Zea mays L.) grain yield and maintains soil water balance in semiarid environment. Agronomy 2020, 10, 600. [Google Scholar] [CrossRef]
- Li, C.; Wang, Q.S.; Wang, N.J.; Luo, X.Q.; Li, Y.; Zhang, T.B.; Feng, H.; Dong, Q.G. Effects of different plastic film mulching on soil hydrothermal conditions and grain-filling process in an arid irrigation district. Sci. Total Environ. 2021, 795, 148886. [Google Scholar] [CrossRef] [PubMed]
- Quan, H.; Feng, H.; Zhang, T.B.; Wu, L.H.; Dong, Q.G.; Siddique, K.H.M. Response of soil water, temperature, and maize productivity to different irrigation practices in an arid region. Soil Till. Res. 2024, 237, 105962. [Google Scholar] [CrossRef]
- Zhou, L.M.; Jin, S.L.; Liu, C.A.; Xiong, Y.C.; Si, J.T.; Li, X.G.; Gan, Y.T.; Li, F.M. Ridge-furrow and plastic-mulching tillage enhances maize–soil interactions: Opportunities and challenges in a semiarid agroecosystem. Field Crops Res. 2012, 126, 181–188. [Google Scholar] [CrossRef]
- Dong, Q.G.; Yang, Y.C.; Yu, K.; Feng, H. Effects of straw mulching and plastic film mulching on improving soil organic carbon and nitrogen fractions, crop yield and water use efficiency in the Loess Plateau, China. Agric. Water Manag. 2018, 201, 133–143. [Google Scholar] [CrossRef]
- Wang, X.K.; Li, Z.B.; Xing, Y.Y. Effects of mulching and nitrogen on soil temperature, water content, nitrate-N content and maize yield in the Loess Plateau of China. Agric. Water Manag. 2015, 161, 53–64. [Google Scholar]
- Luo, C.L.; Zhang, X.F.; Duan, H.X.; Zhou, R.; Mo, F.; Mburu, D.M.; Wang, B.Z.; Wang, W.; Kavagi, L.; Xiong, Y.C. Responses of rainfed wheat productivity to varying ridge-furrow size and ratio in semiarid eastern African Plateau. Agric. Water Manag. 2021, 249, 106813. [Google Scholar] [CrossRef]
- Gan, Y.T.; Siddique, K.H.M.; Turner, N.C.; Li, X.G.; Niu, J.Y.; Yang, C.; Liu, L.P.; Chai, Q. Ridge-furrow mulching systems—An innovative technique for boosting crop productivity in semiarid rain-fed environments. Adv. Agron. 2013, 118, 429–476. [Google Scholar]
- Jiang, R.; Li, X.; Zhu, W.; Wang, K.; Guo, S.; Misselbrook, T.; Hatano, R. Effects of the ridge mulched system on soil water and inorganic nitrogen distribution in the Loess Plateau of China. Agric. Water Manag. 2018, 203, 277–288. [Google Scholar] [CrossRef]
- Gu, Y.J.; Han, C.L.; Fan, J.W.; Shi, X.P.; Kong, M.; Shi, X.Y.; Siddique, K.H.M.; Zhao, Y.Y.; Li, F.M. Alfalfa forage yield, soil water and P availability in response to plastic film mulch and P fertilization in a semiarid environment. Field Crops Res. 2018, 215, 94–103. [Google Scholar] [CrossRef]
- Li, F.M.; Song, Q.H.; Jjemba, P.K.; Shi, Y.C. Dynamics of soil microbial biomass C and soil fertility in cropland mulched with plastic film in a semiarid agro-ecosystem. Soil Biol. Biochem. 2004, 36, 1893–1902. [Google Scholar] [CrossRef]
- Vitousek, P.M.; Porder, S.; Houlton, B.Z.; Chadwick, O.A. Terrestrial phosphorus limitation: Mechanisms, implications, and nitrogen—Phosphorus interactions. Ecol. Appl. 2010, 20, 5–15. [Google Scholar] [CrossRef]
- Momen, A.; Koocheki, A.; Mahallati, M.N. Analysis of the variations in dry matter yield and resource use efficiency of maize under different rates of nitrogen, phosphorous and water supply. J. Plant Nutr. 2020, 43, 1306–1319. [Google Scholar] [CrossRef]
- Fan, J.W.; Du, Y.L.; Wang, B.R.; Turner, N.C.; Wang, T.; Abbott, L.K.; Stefanova, K.; Siddique, K.H.M.; Li, F.M. Forage yield, soil water depletion, shoot nitrogen and phosphorus uptake and concentration, of young and old stands of alfalfa in response to nitrogen and phosphorus fertilisation in a semiarid environment. Field Crops Res. 2016, 198, 247–257. [Google Scholar] [CrossRef]
- He, H.H.; Wu, M.M.; Guo, L.; Fan, C.B.; Zhang, Z.K.; Su, R.; Peng, Q.; Pang, J.Y.; Lambers, H. Release of tartrate as a major carboxylate by alfalfa (Medicago sativa L.) under phosphorus deficiency and the effect of soil nitrogen supply. Plant Soil 2020, 449, 169–178. [Google Scholar] [CrossRef]
- Shi, J.Y.; Gong, J.R.; Li, X.B.; Zhang, Z.H.; Zhang, W.Y.; Li, Y.; Song, L.Y.; Zhang, S.Q.; Dong, J.J.; Baoyin, T.T. Plant–microbial linkages regulate soil organic carbon dynamics under phosphorus application in a typical temperate grassland in northern China. Agric. Ecosyst. Environ. 2022, 335, 108006. [Google Scholar] [CrossRef]
- Simpson, R.J.; Oberson, A.; Culvenor, R.A.; Ryan, M.H.; Veneklaas, E.J.; Lambers, H.; Lynch, J.P.; Ryan, P.R.; Delhaize, E.; Smith, F.A.; et al. Strategies and agronomic interventions to improve the phosphorus-use efficiency of farming systems. Plant Soil 2011, 349, 89–120. [Google Scholar] [CrossRef]
- Cheng, Y.; Wang, J.; Sun, N.; Xu, M.G.; Zhang, J.B.; Cai, Z.C.; Wang, S.Q. Phosphorus addition enhances gross microbial N cycling in phosphorus-poor soils: A 15N study from two long-term fertilization experiments. Biol. Fertil. Soils 2018, 54, 783–789. [Google Scholar] [CrossRef]
- Zhong, Z.K.; Li, W.J.; Lu, X.Q.; Gu, Y.Q.; Wu, S.J.; Shen, Z.Y.; Han, X.H.; Yang, G.H.; Ren, C.J. Adaptive pathways of soil microorganisms to stoichiometric imbalances regulate microbial respiration following afforestation in the Loess Plateau, China. Soil Biol. Biochem. 2020, 151, 108048. [Google Scholar] [CrossRef]
- Mehnaz, K.R.; Corneo, P.E.; Keitel, C.; Dijkstra, F.A. Carbon and phosphorus addition effects on microbial carbon use efficiency, soil organic matter priming, gross nitrogen mineralization and nitrous oxide emission from soil. Soil Biol. Biochem. 2019, 134, 175–186. [Google Scholar] [CrossRef]
- Poeplau, C.; Bolinder, M.A.; Kirchmann, H.; Kätterer, T. Phosphorus fertilisation under nitrogen limitation can deplete soil carbon stocks: Evidence from Swedish meta-replicated long-term field experiments. Biogeosciences 2016, 13, 1119–1127. [Google Scholar] [CrossRef]
- Gu, Y.J.; Han, C.L.; Kong, M.; Shi, X.Y.; Zdruli, P.; Li, F.M. Plastic film mulch promotes high alfalfa production with phosphorus-saving and low risk of soil nitrogen loss. Field Crops Res. 2018, 229, 44–54. [Google Scholar] [CrossRef]
- Zhang, F.; Zhang, W.J.; Li, M.; Zhang, Y.; Li, F.M.; Li, C.B. Is crop biomass and soil carbon storage sustainable with long-term application of full plastic film mulching under future climate change? Agric. Syst. 2017, 150, 67–77. [Google Scholar] [CrossRef]
- Wang, J.; Fu, X.; Zhao, F.Z.; Sainju, U.M. Response of soil carbon fractions and dryland maize yield to mulching. Soil Sci. Soc. Am. J. 2018, 82, 371–381. [Google Scholar] [CrossRef]
- Yu, Y.X.; Zhang, Y.X.; Xiao, M.; Zhao, C.Y.; Yao, H.Y. A meta-analysis of film mulching cultivation effects on soil organic carbon and soil greenhouse gas fluxes. Catena 2021, 206, 105483. [Google Scholar] [CrossRef]
- Zhang, K.P.; Li, Z.X.; Li, Y.F.; Wan, P.X.; Chai, N.; Li, M.; Wei, H.H.; Kuzyakov, Y.; Filimonenko, E.; Almwarai Alharbi, S.; et al. Contrasting impacts of plastic film mulching and nitrogen fertilization on soil organic matter turnover. Geoderma 2023, 440, 116714. [Google Scholar] [CrossRef]
- Steinmetz, Z.; Wollmann, C.; Schaefer, M.; Buchmann, C.; David, J.; Tröger, J.; Muñoz, K.; Frör, O.; Schaumann, G.E. Plastic mulching in agriculture. Trading short-term agronomic benefits for long-term soil degradation? Sci. Total Environ. 2016, 550, 690–705. [Google Scholar] [CrossRef] [PubMed]
- Cleveland, C.C.; Townsend, A.R. Nutrient additions to a tropical rain forest drive substantial soil carbon dioxide losses to the atmosphere. Proc. Natl. Acad. Sci. USA 2006, 103, 10316–10321. [Google Scholar] [CrossRef] [PubMed]
- Bai, Z.H.; Li, H.G.; Yang, X.Y.; Zhou, B.K.; Shi, X.J.; Wang, B.R.; Li, D.C.; Shen, J.B.; Chen, Q.; Qin, W.; et al. The critical soil P levels for crop yield, soil fertility and environmental safety in different soil types. Plant Soil 2013, 372, 27–37. [Google Scholar] [CrossRef]
- Li, H.G.; Huang, G.; Meng, Q.Y.; Ma, L.N.; Yuan, L.X.; Wang, F.; Zhang, W.; Cui, Z.; Shen, J.; Chen, X.; et al. Integrated soil and plant phosphorus management for crop and environment in China. A review. Plant Soil 2011, 349, 157–167. [Google Scholar] [CrossRef]
- Huang, J.S.; Hu, B.; Qi, K.B.; Chen, W.J.; Pang, X.Y.; Bao, W.K.; Tian, G.L. Effects of phosphorus addition on soil microbial biomass and community composition in a subalpine spruce plantation. Eur. J. Soil Biol. 2016, 72, 35–41. [Google Scholar] [CrossRef]
- Maslov, M.N.; Maslova, O.A. Nitrogen limitation of microbial activity in alpine tundra soils along an environmental gradient: Intra-seasonal variations and effect of rising temperature. Soil Biol. Biochem. 2021, 156, 108234. [Google Scholar] [CrossRef]
- Chen, R.R.; Senbayram, M.; Blagodatsky, S.; Myachina, O.; Dittert, K.; Lin, X.G.; Blagodatskaya, E.; Kuzyakov, Y. Soil C and N availability determine the priming effect: Microbial N mining and stoichiometric decomposition theories. Glob. Chang. Biol. 2014, 20, 2356–2367. [Google Scholar] [CrossRef]
- Inselsbacher, E.; Hinko-Najera Umana, N.; Stange, F.C.; Gorfer, M.; Schüller, E.; Ripka, K.; Zechmeister-Boltenstern, S.; Hood-Novotny, R.; Strauss, J.; Wanek, W. Short-term competition between crop plants and soil microbes for inorganic N fertilizer. Soil Biol. Biochem. 2010, 42, 360–372. [Google Scholar] [CrossRef]













| 2021 | 2022 | 2023 | ||
|---|---|---|---|---|
| NMF | P0 | 16.63 ± 0.67 | 16.91 ± 1.33 | 15.92 ± 1.06 |
| P1 | 16.92 ± 0.00 | 17.27 ± 0.51 | 16.20 ± 0.60 | |
| P2 | 16.99 ± 0.04 | 17.32 ± 0.47 | 16.64 ± 0.72 | |
| DRM | P0 | 19.66 ± 0.77 | 20.48 ± 1.18 | 19.46 ± 0.17 |
| P1 | 19.64 ± 0.57 | 20.59 ± 0.27 | 19.93 ± 0.87 | |
| P2 | 19.34 ± 0.15 | 19.95 ± 0.63 | 19.35 ± 0.53 | |
| TRM | P0 | 19.43 ± 0.78 | 21.48 ± 0.33 | 20.27 ± 0.16 |
| P1 | 19.97 ± 0.03 | 21.27 ± 0.05 | 19.64 ± 0.62 | |
| P2 | 19.56 ± 0.63 | 20.58 ± 0.09 | 19.54 ± 0.27 | |
| LSD0.05 of ANOVA in randomized block design | ||||
| M | (0.49) *** | (0.64) *** | (0.60) *** | |
| P | n.s. | n.s. | n.s. | |
| M × P | n.s. | n.s. | n.s. | |
| 2020 | 2021 | 2022 | 2023 | ||
|---|---|---|---|---|---|
| NMF | P0 | 0.863 ± 0.026 | 1.53 ± 0.11 | 0.286 ± 0.053 | 0.199 ± 0.034 |
| P1 | 1.37 ± 0.12 | 1.54 ± 0.12 | 0.349 ± 0.15 | 0.231 ± 0.011 | |
| P2 | 1.53 ± 0.38 | 1.84 ± 0.19 | 0.372 ± 0.083 | 0.295 ± 0.019 | |
| DRM | P0 | 0.871 ± 0.22 | 1.37 ± 0.18 | 0.189 ± 0.075 | 0.0246 ± 0.013 |
| P1 | 0.927 ± 0.26 | 1.40 ± 0.016 | 0.334 ± 0.073 | 0.0383 ± 0.018 | |
| P2 | 1.43 ± 0.064 | 1.65 ± 0.082 | 0.339 ± 0.077 | 0.0840 ± 0.019 | |
| TRM | P0 | 1.05 ± 0.38 | 1.50 ± 0.19 | 0.275 ± 0.079 | 0.0978 ± 0.0098 |
| P1 | 0.996 ± 0.075 | 1.43 ± 0.15 | 0.189 ± 0.021 | 0.0843 ± 0.020 | |
| P2 | 0.782 ± 0.37 | 1.40 ± 0.13 | 0.107 ± 0.031 | 0.0330 ± 0.011 | |
| LSD0.05 of ANOVA in randomized block design | |||||
| M | (0.24) * | (0.13) * | (0.073) ** | (0.016) *** | |
| P | (0.24) * | (0.13) * | n.s. | (0.016) ** | |
| M × P | (0.42) * | n.s. | (0.13) * | (0.028) *** | |
Disclaimer/Publisher’s Note: The statements, opinions and data contained in all publications are solely those of the individual author(s) and contributor(s) and not of MDPI and/or the editor(s). MDPI and/or the editor(s) disclaim responsibility for any injury to people or property resulting from any ideas, methods, instructions or products referred to in the content. |
© 2024 by the authors. Licensee MDPI, Basel, Switzerland. This article is an open access article distributed under the terms and conditions of the Creative Commons Attribution (CC BY) license (https://creativecommons.org/licenses/by/4.0/).
Share and Cite
Gu, Y.; Xu, Q.; Zhou, W.; Han, C.; Siddique, K.H.M. Enhancing Faba Bean Yields in Alpine Agricultural Regions: The Impact of Plastic Film Mulching and Phosphorus Fertilization on Soil Dynamics. Agronomy 2024, 14, 447. https://doi.org/10.3390/agronomy14030447
Gu Y, Xu Q, Zhou W, Han C, Siddique KHM. Enhancing Faba Bean Yields in Alpine Agricultural Regions: The Impact of Plastic Film Mulching and Phosphorus Fertilization on Soil Dynamics. Agronomy. 2024; 14(3):447. https://doi.org/10.3390/agronomy14030447
Chicago/Turabian StyleGu, Yanjie, Qiuyun Xu, Weidi Zhou, Chenglong Han, and Kadambot H. M. Siddique. 2024. "Enhancing Faba Bean Yields in Alpine Agricultural Regions: The Impact of Plastic Film Mulching and Phosphorus Fertilization on Soil Dynamics" Agronomy 14, no. 3: 447. https://doi.org/10.3390/agronomy14030447
APA StyleGu, Y., Xu, Q., Zhou, W., Han, C., & Siddique, K. H. M. (2024). Enhancing Faba Bean Yields in Alpine Agricultural Regions: The Impact of Plastic Film Mulching and Phosphorus Fertilization on Soil Dynamics. Agronomy, 14(3), 447. https://doi.org/10.3390/agronomy14030447

