The Effect of Nitrogen Reduction and Applying Bio-Organic Fertilisers on Soil Nutrients and Apple Fruit Quality and Yield
Abstract
1. Introduction
2. Materials and Methods
2.1. Test Situation
2.2. Test Materials
2.2.1. Plant Materials
2.2.2. Main Fertilisers
2.2.3. Instruments and Equipment
2.3. Test Design
2.4. Determination Items and Methods
2.4.1. Determination of Soil Nutrient and Enzyme Activities
2.4.2. Determination of Nutrients in Apple Leaves
2.4.3. Determination of Apple Fruit Quality
2.4.4. Determination of Apple Yield
2.5. Data Analysis
3. Results
3.1. Effect of Nitrogen Reduction and Application of Bio-Organic Fertilisers on Soil Nutrients and Enzyme Activities
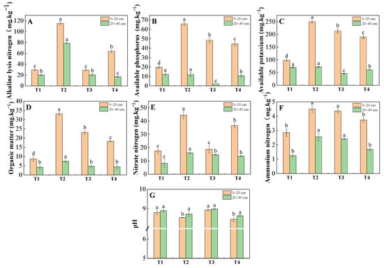
3.1.1. Effect of Nitrogen Reduction and Application of Biological Organic Fertilisers on Soil Physical and Chemical Properties
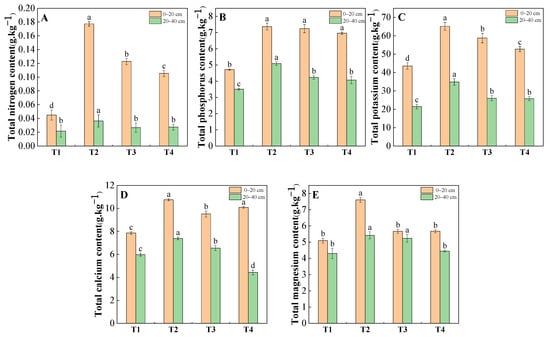
3.1.2. Effect of Partial Replacement of Inorganic Nitrogen with Bio-Organic Fertiliser on Soil Element Content
3.1.3. Effect of Partial Replacement of Inorganic Nitrogen with Bio-Organic Fertiliser on Soil Enzyme Activity
3.2. Effect of Nitrogen Reduction and Bio-Organic Fertiliser on Full Element Content in Apple Leaves
3.3. Effect of Nitrogen Reduction and Application of Bio-Organic Fertiliser on Apple Fruit Quality
3.4. Effect of Nitrogen Reduction and Applying Bio-Organic Fertiliser on Apple Production
3.5. Correlation Analysis
4. Discussion
5. Conclusions
Author Contributions
Funding
Institutional Review Board Statement
Informed Consent Statement
Data Availability Statement
Conflicts of Interest
References
- Liu, Y.J. Apple Industry in China. Doctoral Dissertation, China Agricultural University, Beijing, China, 2005. [Google Scholar]
- Ren, J.J.; Zhang, M.M.; Li, W. Analysis on the regional distribution characteristics and supply and demand optimization of apple in China. Chin. J. Fruit Sci. 2023, 5, 123–126. [Google Scholar] [CrossRef]
- Wang, J.; Xu, D.Y.; Gao, Y.Y.; Ren, S.L. Xinjiang’s Advantages in Fruit and Vegetable Production and Climate; China Meteorological Press: Beijing, China, 2006; pp. 101–109. [Google Scholar]
- Wang, A.L.; Duan, G.Q.; Tian, S.M.; Liang, Z.J.; Zhang, J.C. Effects of Combined Application of Microbial Fertilizer on Quality and Photosynthetic Characteristics of ‘Fuji’Apple. North. Hortic. 2022, 18, 16–22. [Google Scholar]
- Li, C.Y. Effects of Different Modes of Reducing Fertilizer on the Growth and Fructification of Fuji Apple Tree. Master’s Thesis, Northwest A&F University, Xianyang, China, 2019. [Google Scholar]
- Zhao, Z.P. Analysis of nitrogen inputs and soil nutrient loading in different croplands in the upper Hangjiang River. J. Environ. Sci. 2014, 34, 2861–2868. [Google Scholar] [CrossRef]
- Zhang, D.Y.; Zhao, L.; An, L.; Liu, H.; Chen, T.C. Investigation and Analysis Nutrient Status of Red Fuji Apple Orchard Soil and Leaf in Yili Area. J. Northwest For. Univ. 2014, 29, 71–74. [Google Scholar] [CrossRef]
- Song, P.Z. Effects of Nitrogen Reduction Combined with Organic Fertilizer and Biological Fungus Fertilizer on Quality and Yield of Chinese Flowering Cabbage. Master’s Thesis, Jilin Agricultural University, Changchun, China, 2022. [Google Scholar]
- Liu, J. Tentative Research on Mechanism of Microbial Fertilizers Biofertilizers/Inoculants on Promoting Plant Growth. Master’s Thesis, Chinese Academy of Agricultural Sciences, Beijing, China, 2000. [Google Scholar]
- Yunus, A.; Brahmanto, N.; Widyastuti, Y. Artemisia annua respon to various types of organic fertilizer and dose in lowland. IOP Conf. Ser. Earth Environ. Sci. 2018, 142, 012021. [Google Scholar] [CrossRef]
- Deng, J.L.; Li, H.L.; Li, X.L.; Wang, Y.; Zeng, Q.; Li, S.Y. Effect of Microbial Agent on Tobacco Wilt. Tianjin Agric. Sci. 2015, 21, 117–119. [Google Scholar] [CrossRef]
- Guo, L.Y.; Wu, G.L.; Li, Y.; Li, C.H.; Liu, W.J.; Meng, J.; Liu, H.T.; Yu, X.F.; Jiang, G.M. Effects of cattle manure compost combined with chemical fertilizer on topsoil organic matter, bulk density and earthworm activity in a wheat–maize rotation system in Eastern China. Soil Tillage Res. 2016, 156, 140–147. [Google Scholar] [CrossRef]
- Tang, H.; Wang, J.W.; Xu, C.S.; Zhou, W.Q.; Wang, J.F.; Wang, X. Research progress analysis on key technology of chemical fertilizer reduction and efficiency increase. Trans. Chin. Soc. Agric. Mach. 2019, 50, 11. [Google Scholar] [CrossRef]
- Zhang, Y.C.; Xie, J.M.; Li, J.; Niu, T.H.; Xia, G.D.; Mao, Z.Y.; Wang, Q.L.; Chen, Y.Y. Effects of Partial Substitution of Chemical Fertilizer by Bio-organic Fertilizer on Asparagus Lettuce and Soil Physical-chemical Properties and Microorganisms. J. Soil Water Conserv. 2019, 33, 196–205. [Google Scholar] [CrossRef]
- Bai, Y.L. The situation and prospect of research on efficient fertilization. Sci. Agric. Sin. 2018, 51, 2116–2125. [Google Scholar] [CrossRef]
- Ren, K.Y.; Duan, Y.H.; Xu, M.G.; Zhang, X.B. Effect of manure application on nitrogen use efficiency of crops in China: A meta-analysis. Sci. Agric. Sin. 2019, 52, 2983–2996. [Google Scholar] [CrossRef]
- Sun, L.Y.; Ma, Y.C.; Liu, Y.L.; Li, J.; Deng, J.Y.; Rao, X.D.; Zhang, Y. The combined effects of nitrogen fertilizer, humic acid, and gypsum on yield-scaled greenhouse gas emissions from a coastal saline rice field. Environ. Sci. Pollut. Res. 2019, 26, 19502–19511. [Google Scholar] [CrossRef] [PubMed]
- Wang, J.W.; Yue, D.D.; Li, G.J.; Li, L.; Liu, Y.Y.; Zhen, J.; Zhao, J.J.; Chen, G.S.; Yang, J.X.; Mu, Q. Effects of Bacillus subtilis on Physiological and Biochemical Indexes of Winter Wheat. Henan Sci. 2020, 38, 397–403. [Google Scholar] [CrossRef]
- Zhang, Y.L.; Li, C.H.; Wang, Y.W.; Hu, Y.M.; Christie, P.; Zhang, J.L.; Li, X.L. Maize yield and soil fertility with combined use of compost and inorganic fertilizers on a calcareous soil on the North China Plain. Soil Tillage Res. 2016, 155, 85–94. [Google Scholar] [CrossRef]
- Zhang, B. Effects of Climate Change on Agricultural Chemical Fertilizer Utilization Efficiency Taking an Example of Apple Production in Two Superior Areas. Master’s Thesis, Northwest A&F University, Xianyang, China, 2018. [Google Scholar]
- Liang, Y.Z. Effects of Manure Combined with Inorganic Fertilizer on the Characteristic of Soil Microbiology and Fertility. Master’s Thesis, Northeast Agricultural University, Harbin, China, 2017. [Google Scholar] [CrossRef]
- Liu, W.Q. Effect of Replacing Nitrogen Fertilizer with Humic Acid Organic Fertilizer on Soil Nutrients and Apple Yield and Quality. Master’s Thesis, Northwest A&F University, Xianyang, China, 2022. [Google Scholar]
- Zhao, C.X.; Zheng, H.C.; Gao, F.S.; Gao, W.; Wang, X.; Wang, S. Effect of different materials on dynamic change of soil nitrate and ammonium nitrogen and N uptake by maize in Hetao irrigation area. Soil Fertil. Sci. China 2017, 6, 99–104. [Google Scholar]
- Han, C.H.; Li, B.; Yang, Y.J.; Jiang, W.; Zhang, X.Z.; Wang, Q.; Chen, D.X.; Xue, H.B. Effects of MeJA and PDJ on fruit coloration, sugar and acid content of three red pear cultivars. China Fruits 2022, 12, 14–19. [Google Scholar] [CrossRef]
- Yang, Z.Y. Anthocyanin content in mulberry red pigment by pH-differential spectrophotometry. Food Sci. Technol. 2007, 32, 201–203. [Google Scholar] [CrossRef]
- Deng, L.L.; Pan, X.Q.; Sheng, J.P.; Shen, L. Optimization of Experimental Conditions for the Determination of Water Soluble Protein in Apple Pulp Using Coomassie Brilliant Blue Method. Food Sci. 2012, 33, 185–189. [Google Scholar]
- Li, H.S. Principles and Techniques of Plant Physiology and Biochemistry Experiments; Higher Education Press: Beijing, China, 2000. [Google Scholar]
- Cao, J.K.; Jiang, W.B.; Zhao, Y.M. Experimental Guide for Postharvest Physiology and Biochemistry of Fruits and Vegetables; National Light Industry Press: Beijing, China, 2007; p. 34. [Google Scholar]
- Wang, L.Q.; Dai, X.Z. Application of Colorimeter for Testing Its Color Change during the Development of Hot Pepper (Capsicum annuum L.) Fruit. Pepper J. 2009, 7, 23–26+33. [Google Scholar] [CrossRef]
- Wang, L.; Ying, T.J. Study on the kinetic change of surface color of tomato fruits during post-harvest storage. Food Sci. Technol. 2000, 5, 49–51. [Google Scholar] [CrossRef]
- Zhang, B.; Luo, Y.; Wang, Y.; Hu, J.G. The Effect of Jasmonates on Fruit Coloration and Quality of New Yugui Grape. Northwest Hortic. (Compr.) 2021, 1, 51–54. [Google Scholar] [CrossRef]
- Ma, X.L.; Shi, P.L.; Wang, J.; Liang, D.; Lu, X.L. Diagnosis of deficiency of elements in Kyoho grape and prevention of deficiency of magnesium and zinc. Chin. Foreign Grape Wine 2016, 5, 48–53. [Google Scholar] [CrossRef]
- Whale, S.K.; Singh, Z.; Behboudian, M.H.; Janes, J.; Dhaliwal, S.S. Fruit quality in ‘Cripp’s Pink’ apple, especially colour, as affected by prehavest sprays of aminoethoxyvinyl glycine and etheph-on. Sci. Hortic. 2008, 115, 342–351. [Google Scholar] [CrossRef]
- Kang, Y.J.; Zhao, B.P.; Sun, W.; Liu, R.F.; Liu, J.H. Effects of Fertilizer Reduction Combined with Bio-organic Fertilizer on Soil Characteristics and Oat Yield. Chin. Agric. Sci. Bull. 2021, 37, 59–64. [Google Scholar]
- Wang, N.; Nan, H.Y.; Feng, K.Y. Effects of reduced chemical fertilizer with organic fertilizer application on soil microbial biomass, enzyme activity and cotton yield. Acta Ecol. Sin. 2020, 31, 173–181. [Google Scholar] [CrossRef]
- Luan, X.B.; Xu, F.L.; Wang, Y.K.; Li, H.J. Impacts of Fertilization on soil Microorganism Quantities and Enzyme Activities in Jujube Forest of Hillside. J. Northwest AF Univ. 2012, 21, 149–154. [Google Scholar] [CrossRef]
- Qi, Y.B.; Jiang, F.L.; Zhou, R.; Wu, Y.; Hou, X.L.; Li, J.X.; Lin, W.Y.; Wu, Z. Effects of Reduced Nitrogen with Bio-Organic Fertilizer on Soil Properties, Yield and Quality of Non-Heading Chinese Cabbage. Agronomy 2021, 11, 2196. [Google Scholar] [CrossRef]
- Li, F.X.; Zhao, Y. Effect of Nitrogen Fertilizer Reduction with Microbial Inoculants on Broccoli Production and the Influence of the Soil Microbial Characteristics. Soil Water Conserv. Res. 2017, 2, 94–100. [Google Scholar] [CrossRef]
- Pei, R.J.; Wang, J.Z.; Ji, J.H.; Wang, Z.Y.; Yuan, T.Y.; Sun, X.M.; Yan, J.Y. Effect of combined application of humic acid fertilizer and nitrogen fertilizer on soil physicochemical properties. Jiangsu Agric. Sci. 2018, 46, 331–334. [Google Scholar] [CrossRef]
- Li, Y.F.; Li, B.; Tao, J.L.; Hu, L.; Cao, Y.; Jin, H.Y. Effects of Reducing Nitrogen Fertilizer Application on Growth, Yield and Quality of Cabbage and Soil Nutrients. Guizhou Agric. Sci. 2020, 48, 106–111. [Google Scholar] [CrossRef]
- Feng, A.Q.; Zhang, M.; Li, C.L.; Yang, C.Y. Effects of Controlled Release Nitrogen Fertilizer on Soil Enzyme Activities and Soil Nutrient Utilization. J. Soil Water Conserv. 2014, 3, 177–184. [Google Scholar] [CrossRef]
- Yang, S.W.; Wang, J.P.; Liu, S.; Miao, Y.M.; Zhang, Y.C. Effects of Soil Amendments on Soil Physical and Chemical Properties of Dryland Apple Orchards and Economic Efficiency in the Loess Plateau. Water-Sav. Irrig. 2023, 1, 40–46. [Google Scholar] [CrossRef]
- Wang, F.J.; Guo, X.S.; Ding, F.J.; Wu, Q.Q.; Zhu, L.X. Effects of Humic Acid, Bacillus subtilis and Calcium Peroxide on Soil Fertility of Salvia miltiorrhiza Continuous Cropping Field. Shandong Agric. Sci. 2021, 53, 85–90. [Google Scholar] [CrossRef]
- Li, W.; Wang, J.T. Effects of Bacillus subtilis and phosphate-solubilizing bacteria on soil characteristics and fruit quality in apple orchards. Jiangsu Agric. Sci. 2018, 46, 140–144. [Google Scholar] [CrossRef]
- Olasupo, I.O.; Wang, J.; Wei, X.X.; Sun, M.T.; Li, Y.S.; Yu, X.C.; Yan, Y.; He, C.X. Chili residue and Bacillus laterosporus synergy impacts soil bacterial microbiome and agronomic performance of leaf mustard (Brassica juncea L.) in a solar greenhouse. Plant Soil 2022, 479, 185–205. [Google Scholar] [CrossRef]
- Yang, L.L.; Wang, Y.H.; Han, W.S.; Ma, L.Y.; Yang, D.C.; Han, Y.Y.; Tong, Y.A. Effects of reducing nitrogen fertilizer and applying organic fertilizer on apple yield and quality and soil biological characteristics. J. Agric. Environ. Sci. 2021, 40, 631–639. [Google Scholar] [CrossRef]
- Sha, H.N.; Sun, Q.; Zhou, M.; Guo, J.; Zhang, X.J. Effect of N Application Rate on Soil Enzyme Activities, Physiological Activities and Yield of Tomato. North. Hortic. 2010, 7, 9–11. [Google Scholar]
- Sattar, A.; Naveed, M.; Ali, M.; Zahir, Z.A.; Nadeem, S.M.; Yaseen, M.; Meena, V.S.; Farooq, M.; Singh, R.; Rahman, M.; et al. Perspectives of potassium solubilizing microbes in sustainable food production system: A review. Appl. Soil Ecol. 2019, 133, 146–159. [Google Scholar] [CrossRef]
- Zhang, W.J.; Yang, L.L.; Wang, J.H.; Zhu, L.S.; Wang, J.; Mao, S.S. Effect of combined pollution of three antibiotics and Cu on soil catalase activity. J. Agric. Resour. Environ. 2020, 37, 135–143. [Google Scholar] [CrossRef]
- Wu, Q.J.; Hu, M.D.; Hou, S.F.; Yuan, Y.; Kang, T.; Xie, K.L.; Xie, Z.J.; Ren, T.B.; Zhou, C.H.; Liu, H. Effect of nitrogen reduction with carbon-based fertilizer on the physicochemical properties and enzyme activity of pomelo soil. J. Henan Agric. Univ. 2022, 56, 732–741. [Google Scholar] [CrossRef]
- Yan, Y.S.; Zhong, X.M.; Duan, X.Y.; Li, R.H.; Li, H.; Wang, H. Effects of Different Mulching Treatments on Physicochemical Properties and Enzyme Activities of Vineyard Soil. Chin. Foreign Grape Wine 2023, 3, 1–9. [Google Scholar] [CrossRef]
- Song, Z.Z.; Li, X.H.; Li, J.; Lin, Z.A.; Zhao, B.Q. Long-term effects of mineral versus organic fertilizers on soil labile nitrogen fractions and soil enzyme activities in agricultural soil. J. Plant Nutr. Fertil. 2014, 20, 525–533. [Google Scholar] [CrossRef]
- Gong, Q.L.; Zhai, B.N.; Zheng, W.; Liu, J.; Zheng, Z.X.; Zhao, Z.Y.; Li, Z.Y.; Wang, Z.H. Effects of different fertilizer combinations on soil nutrients and enzyme activities under grass cover in apple orchards in Weibei dryland. Acta Ecol. Sin. 2018, 29, 205–212. [Google Scholar] [CrossRef]
- Yang, Y.H.; Li, M.J.; Wu, J.C.; Pan, X.Y.; Gao, C.M.; Tang, D.W.S. Impact of Combining Long-Term Subsoiling and Organic Fertilizer on Soil Microbial Biomass Carbon and Nitrogen, Soil Enzyme Activity, and Water Use of Winter Wheat. Front. Plants Sci. 2022, 12, 788651. [Google Scholar] [CrossRef]
- Rehana, R.; Kukal, S.S.; Hira, G.S. Soil organic carbon and physical properties as affected by long-term application of FYM and inorganic fertilizers in maize-wheat system. Soil Ellage Res. 2008, 101, 31–36. [Google Scholar] [CrossRef]
- Pu, Q.M.; Yang, P.; Deng, Y.C.; Xiang, C.Y.; Lin, B.M.; Liu, L.S.; Shi, S.M.; He, Z.M.; Yong, L. Effects of different fertilization methods on soil enzyme activity, soil nutrients and quality of spring cabbage. J. Agric. Sci. Technol. 2020, 22, 130–139. [Google Scholar] [CrossRef]
- Yang, Q.Y.; Zhang, M.K. Effect of bio-organic fertilizers partially substituting chemical fertilizers on labile organic carbon and bacterial community of citrus orchard soils. Plant Soil 2023, 483, 255–272. [Google Scholar] [CrossRef]
- Liu, W.B.; Cui, S.Y.; Wu, L.T.; Qi, W.L.; Chen, J.H.; Ye, Z.Q.; Ma, J.W.; Liu, D. Effects of Bio-organic Fertilizer on Soil Fertility, Yield, and Quality of Tea. J. Soil Sci. Plant Nutr. 2023, 23, 5109–5121. [Google Scholar] [CrossRef]
- Teng, Q.M.; Zhang, D.N.; Yu, L.M.; He, C.X.; Zhang, Z.F.; Xu, G.P. The effect of reducing nitrogen fertilizer and applying nitrogen-fixing bacteria on the growth of flue-cured tobacco and soil characteristics. Jiangsu Agric. Sci. 2023, 21, 72–78. [Google Scholar] [CrossRef]
- Gu, M.H.; Zhou, X.; Wei, J.Y.; Zeng, X.G.; Li, X.F. Effect of organic and inorganic fertilizers on lipid metabolism in flue-cured tobacco. Ecol. Environ. 2009, 2, 674–678. [Google Scholar] [CrossRef]
- Zhao, Y.N. Effections of Bacillus megaterium Application on the Characteristics of Soil Microbial Community and Mechanism of Cucumber Growth Promoting Function in Greenhouse. Doctoral Dissertation, Hebei Agricultural University, Baoding, China, 2021. Available online: https://link.cnki.net/doi/10.27109/d.cnki.ghbnu.2021.000264 (accessed on 5 January 2024).
- Wei, Z.M.; Sun, B.; Fang, C.; Dai, Z.W.; Liu, M.Q.; Jiao, J.G.; Xu, L. Co-inoculation with rhizobia and azotobacter affects the growth of Vicia villosa. Acta Prataculturalis Sin. 2021, 5, 94–102. [Google Scholar] [CrossRef]
- Jia, Y.L.; Liao, Z.; Wang, L.F.; Bu, J.C.; Lin, B.S.; Lin, H.; Lin, Z.S. Effects of chemical fertilizer reduction and co-application with a JUNCAO nitrogen-fixing biofertilizer on growth and nutritional quality of Pennisetum giganteum and soil nutrient status. J. Grass Ind. 2021, 3, 215–223. [Google Scholar] [CrossRef]
- Wei, B.; Li, Y.M.; Zhai, G.S.; Huang, W.J.; Li, N.; Quan, X.R. Effects of Nitrogenous Nutrition on Nutritional Functional Traits and Fruit Yield of Actinidia lindl. J. Anhui Agric. Sci. 2015, 12, 98–101. [Google Scholar] [CrossRef]
- Lu, Q.W.; Miles, C.; Tao, H.Y.; DeVetter, L.W. Reduced Nitrogen Fertilizer Rates Maintained Raspberry Growth in an Established Field. Agronomy 2022, 12, 672. [Google Scholar] [CrossRef]
- Li, T.T.; Zhai, B.N.; Li, Y.G.; Liu, L.L.; Yan, M.H.; Zhao, Z.Y. Effect of Combined Application of Organic and lnorganic Fertilizers on Quality of Red Fuji’Apple in Dry Land. North. Hortic. 2013, 21, 178–181. [Google Scholar]
- Zhang, Y.; Zhang, R.; Xu, T.T. The effects of organic fertilizer replacing nitrogen fertilizer on the yield, quality, and water-fertilizer efficiency of greenhouse tomato under the condition of reducing nitrogen fertilizer. China Cucurbits Veg. 2023, 12, 93–99. [Google Scholar] [CrossRef]
- Zhang, L.X.; Zhou, J.; Zhao, Y.G.; Zhai, Y.; Paramasivam, S. Optimal combination of chemical compound fertilizer and Humic acid to improve soil and leaf properties, yield and quality of apple (Malus domestica) in the loess plateau of China. Pak. J. Bot. 2013, 45, 1315–1320. [Google Scholar]
- Hernández-Rodríguez, A.; Montaño-Carrasco, M.; Ojeda-Barrios, D.; Martínez-Rosales, A.; Cruz-Álvarez, O.; Martínez-Damián, M.T.; Rodríguez-Roque, M.J. Foliar Nutritional Content and Apple Fruit Quality as Affected by Organic, Conventional, or Integrated Management. Plant Nutr. 2021, 44, 1886–1902. [Google Scholar] [CrossRef]
- Kilic, N.; Burgut, A.; Gündesli, M.A.; Nogay, G.; Ercisli, S.; Kafkas, N.E.; Ekiert, H.; Elansary, H.O.; Szopa, A. The Effect of Organic, Inorganic Fertilizers and Their Combinations on Fruit Quality Parameters in Strawberry. Horticulturae 2021, 7, 354. [Google Scholar] [CrossRef]
- Dai, H.J.; Wei, Q.; He, Y.; Wang, Y.N.; Wang, Z.P. Effects of Brassinolide Treatment on Anthocyanin Synthesis and Quality in Grape Under High Temperature Stress. Acta Hortic. 2023, 50, 1711–1722. [Google Scholar] [CrossRef]








| Treatment | Processing Number | N (g. Plant−1) | Humic Acid Water-Soluble Fertiliser (g. Plant−1) | Bacillus subtilis (g. Plant−1) | ||
|---|---|---|---|---|---|---|
| P2O5 | KO2 | Humic Acid | ||||
| Conventional fertilisation | T1 | 30 | 0 | 0 | 0 | 0 |
| Nitrogen reduction by 20% + bio-organic fertiliser | T2 | 24 | 2.25 | 4.5 | 0.84 | 2 |
| Nitrogen reduction by 40% + bio-organic fertiliser | T3 | 18 | 2.25 | 4.5 | 0.84 | 2 |
| Nitrogen reduction by 60% + bio-organic fertiliser | T4 | 12 | 2.25 | 4.5 | 0.84 | 2 |
Disclaimer/Publisher’s Note: The statements, opinions and data contained in all publications are solely those of the individual author(s) and contributor(s) and not of MDPI and/or the editor(s). MDPI and/or the editor(s) disclaim responsibility for any injury to people or property resulting from any ideas, methods, instructions or products referred to in the content. |
© 2024 by the authors. Licensee MDPI, Basel, Switzerland. This article is an open access article distributed under the terms and conditions of the Creative Commons Attribution (CC BY) license (https://creativecommons.org/licenses/by/4.0/).
Share and Cite
Yao, R.; Bai, R.; Yu, Q.; Bao, Y.; Yang, W. The Effect of Nitrogen Reduction and Applying Bio-Organic Fertilisers on Soil Nutrients and Apple Fruit Quality and Yield. Agronomy 2024, 14, 345. https://doi.org/10.3390/agronomy14020345
Yao R, Bai R, Yu Q, Bao Y, Yang W. The Effect of Nitrogen Reduction and Applying Bio-Organic Fertilisers on Soil Nutrients and Apple Fruit Quality and Yield. Agronomy. 2024; 14(2):345. https://doi.org/10.3390/agronomy14020345
Chicago/Turabian StyleYao, Ruiyun, Ru Bai, Qingfan Yu, Yaqi Bao, and Weiwei Yang. 2024. "The Effect of Nitrogen Reduction and Applying Bio-Organic Fertilisers on Soil Nutrients and Apple Fruit Quality and Yield" Agronomy 14, no. 2: 345. https://doi.org/10.3390/agronomy14020345
APA StyleYao, R., Bai, R., Yu, Q., Bao, Y., & Yang, W. (2024). The Effect of Nitrogen Reduction and Applying Bio-Organic Fertilisers on Soil Nutrients and Apple Fruit Quality and Yield. Agronomy, 14(2), 345. https://doi.org/10.3390/agronomy14020345
