Spatial Distribution Characteristics of Soil C:N:P:K Eco-Stoichiometry of Farmland and Grassland in the Agro-Pastoral Ecotone in Inner Mongolia, China
Abstract
1. Introduction
2. Materials and Methods
2.1. Study Site
2.2. Data Collection and Sample Analysis
2.3. Data Analysis
3. Results
3.1. Comparison of C, N, P, and K Contents between Farmland and Grassland
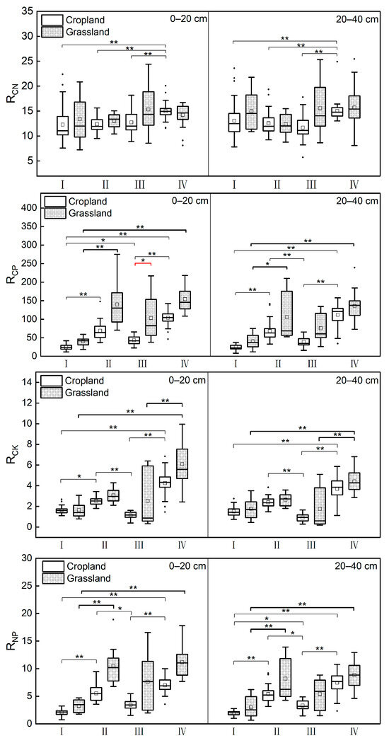
3.2. Eco-Stoichiometric Characteristics of Soil C:N:P:K in Farmland and Grassland
3.3. Comparison of Nutrient Content and Stoichiometry in the Study Area with Other Scales
3.4. Relationships between Soil C:N:P:K Stoichiometric and Environmental Factors
4. Discussion
4.1. The Spatial Difference in C:N:P:K Stoichiometry Was More Significant than That of Land Use Patterns
4.2. Stoichiometric Characteristics Demonstrate Constraints on Agricultural Production in Each Region
4.3. Effects of Environmental Factors on the Eco-Stoichiometry of Farmland and Grassland
5. Conclusions
Author Contributions
Funding
Data Availability Statement
Acknowledgments
Conflicts of Interest
Appendix A
| Index | Unit | Nutrient Classifications | |||||
|---|---|---|---|---|---|---|---|
| 1 | 2 | 3 | 4 | 5 | 6 | ||
| SOC | g/kg | >23.2 | 17.4–23.2 | 11.6–17.4 | 5.8–11.6 | 3.48–5.8 | <3.48 |
| TN | g/kg | >2 | 1.5–2 | 1–1.5 | 0.75–1.00 | 0.5–0.75 | <0.5 |
| TP | g/kg | >1.0 | 0.8–10 | 0.6–0.8 | 0.4–0.6 | 0.2–0.4 | <0.2 |
| TK | g/kg | >25 | 20–25 | 15–20 | 10–15 | 5–10 | <5 |
| Variables | Farmland (N = 144) | Grassland (N = 56) | ||||||||
|---|---|---|---|---|---|---|---|---|---|---|
| Min | Max | Mean | SD | CV(%) | Min | Max | Mean | SD | CV(%) | |
| MAT (°C) | −1.85 | 8.69 | 4.61 | 3.36 | 72.98 | −1.85 | 7.71 | 3.96 | 3.48 | 87.77 |
| MAP (mm) | 135.97 | 532.33 | 340.15 | 97.04 | 28.53 | 210.79 | 532.33 | 376.39 | 71.72 | 19.06 |
| MARH (%) | 46.39 | 68.46 | 53.46 | 6.58 | 12.31 | 46.39 | 68.46 | 55.41 | 6.35 | 11.45 |
| MASD (h) | 2491.63 | 3222.56 | 2902.34 | 185.65 | 6.40 | 2491.63 | 3098.61 | 2840.74 | 168.35 | 5.93 |
| pH | 5.97 | 8.65 | 7.70 | 0.59 | 7.62 | 6.15 | 8.55 | 7.42 | 0.73 | 9.79 |
| EC (μS cm−1) | 45.15 | 989.00 | 156.53 | 144.10 | 92.06 | 34.35 | 217.50 | 90.09 | 41.94 | 46.55 |
| SOC (g kg−1) | 2.49 | 43.77 | 14.24 | 9.60 | 67.45 | 2.01 | 58.47 | 21.66 | 14.79 | 68.25 |
| TN (g kg−1) | 0.27 | 3.39 | 1.24 | 0.70 | 56.45 | 0.14 | 4.10 | 1.80 | 1.10 | 61.15 |
| TP (g kg−1) | 0.18 | 1.18 | 0.65 | 0.21 | 31.82 | 0.14 | 1.00 | 0.52 | 0.22 | 41.91 |
| TK (g kg−1) | 12.05 | 27.48 | 20.56 | 3.65 | 17.73 | 14.05 | 25.86 | 20.82 | 3.14 | 15.09 |
| RCN | 8.06 | 21.93 | 13.07 | 2.42 | 18.52 | 8.76 | 24.85 | 14.41 | 3.48 | 24.17 |
| RCP | 12.37 | 144.82 | 59.77 | 35.57 | 59.51 | 17.73 | 231.23 | 105.90 | 55.01 | 51.95 |
| RCK | 0.35 | 5.96 | 2.22 | 1.31 | 58.91 | 0.26 | 7.88 | 3.32 | 2.06 | 62.04 |
| RNP | 0.86 | 10.17 | 4.46 | 2.22 | 49.70 | 1.30 | 15.49 | 7.63 | 3.80 | 49.81 |
| RNK | 0.03 | 0.39 | 0.17 | 0.08 | 48.81 | 0.01 | 0.48 | 0.24 | 0.13 | 54.69 |
| RPK | 0.01 | 0.11 | 0.04 | 0.02 | 46.70 | 0.01 | 0.06 | 0.03 | 0.01 | 42.33 |
References
- Sardans, J.; Janssens, I.A.; Ciais, P.; Obersteiner, M.; Peñuelas, J. Recent advances and future research in ecological stoichiometry. Perspect. Plant. Ecol. Evol. Syst. 2021, 50, 125611–125634. [Google Scholar] [CrossRef]
- Elser, J.; Sterner, R.; Gorokhova, E.A.; Fagan, W.; Markow, T.; Cotner, J.; Harrison, J.; Hobbie, S.; Odell, G.; Weider, L. Biological stoichiometry from genes to ecosystems. Ecol. Lett. 2000, 3, 540–550. [Google Scholar] [CrossRef]
- Redfield, A.C. The biological control of chemical factors in the environment. Am. Sci. 1958, 46, 205–221. [Google Scholar]
- Tian, H.Q.; Chen, G.S.; Zhang, C.; Melillo, J.M.; Hall, C.A. Pattern and variation of C: N: P ratios in China’s soils: A synthesis of observational data. Biogeochemistry 2010, 98, 139–151. [Google Scholar] [CrossRef]
- Zhang, J.; Li, M.; Xu, L.; Zhu, J.; Dai, G.; He, N. C: N: P stoichiometry in terrestrial ecosystems in China. Sci. Total Environ. 2021, 795, 148849–148857. [Google Scholar] [CrossRef] [PubMed]
- Goodchild, M.F. The validity and usefulness of laws in geographic information science and geography. Ann. Assoc. Am. Geogr. 2004, 94, 300–303. [Google Scholar] [CrossRef]
- Chen, Q.Q.; Shi, Z.; Chen, S.C.; Gou, Y.X.; Zhuo, Z.Q. Role of Environment Variables in Spatial Distribution of Soil C, N, P Ecological Stoichiometry in the Typical Black Soil Region of Northeast China. Sustainability 2022, 14, 2636. [Google Scholar] [CrossRef]
- Feng, D.F.; Bao, W.K. Review of the temporal and spatial patterns of soil C:N:P stoichiometry and its driving factors. Chin. J. Appplied Environ. Biol. 2017, 23, 400–408. [Google Scholar]
- Graham, H. Ecological Stoichiometry: Biology of elements from molecules to the biosphere. J. Plankton Res. 2003, 25, 1183. [Google Scholar] [CrossRef]
- Downing, J.A. Marine nitrogen: Phosphorus stoichiometry and the global N: P cycle. Biogeochemistry 1997, 37, 237–252. [Google Scholar] [CrossRef]
- Zhang, L.X.; Bai, Y.F.; Han, X.G. Application of N: P stoichiometry to ecology studies. J. Integr. Plant Biol. 2003, 45, 1009–1018. [Google Scholar]
- Aitkenhead, J.A.; Mcdowell, W.H. Soil C: N ratio as a predictor of annual riverine DOC flux at local and global scales. Glob. Biogeochem. Cycles 2000, 14, 127–138. [Google Scholar] [CrossRef]
- Lou, Y.; Xu, M.; Wang, W.; Sun, X.; Zhao, K. Return rate of straw residue affects soil organic C sequestration by chemical fertilization. Soil Tillage Res. 2011, 113, 70–73. [Google Scholar] [CrossRef]
- Liu, C.; Xu, Y.Q.; Sun, P.L.; Huang, A.; Zheng, W.R. Land use change and its driving forces toward mutual conversion in Zhangjiakou City, a farming-pastoral ecotone in Northern China. Environ. Monit. Assess. 2017, 189, 505. [Google Scholar] [CrossRef]
- Ptacnik, R.; Jenerette, G.D.; Verschoor, A.M.; Huberty, A.F.; Solimini, A.G.; Brookes, J.D. Applications of ecological stoichiometry for sustainable acquisition of ecosystem services. Oikos 2005, 109, 52–62. [Google Scholar] [CrossRef]
- Li, C.; Zhao, L.; Sun, P.; Zhao, F.; Kang, D.; Yang, G.; Han, X.; Feng, Y.; Ren, G. Deep soil C, N, and P Stocks and stoichiometry in response to land use patterns in the loess hilly region of China. PLoS ONE 2016, 11, e0159075. [Google Scholar] [CrossRef] [PubMed]
- Kim, D.-G.; Kirschbaum, M.U.F.; Eichler Löbermann, B.; Gifford, R.M.; Liáng, L.L. The effect of land-use change on soil C, N, P, and their stoichiometries: A global synthesis. Agric. Ecosyst. Environ. 2023, 348, 108402–108416. [Google Scholar] [CrossRef]
- Tao, Z.P.; Wang, S.Q.; Sun, P.L.; Li, K.D.; Tian, W.; Han, X.X. Spatio-temporal differentiation and driving factors of cropland in the agro-pastoral ecotone of Northern China. Arid Land Geogr. 2022, 45, 153–163. [Google Scholar]
- Wang, H.; Guo, Y.F.; Yao, Y.F.; Qi, W.; Qin, F.C.; Wang, J.K. Ecological stoichiometry of soil carbon, nitrogen and phosphorus under different land use patterns. Southwest China J. Agric. Sci. 2020, 33, 995–1000. [Google Scholar] [CrossRef]
- Ma, Y.F.; Wang, W.M.; Jia, B.Q. Spatial variability analysis on soil nutrients in semi-arid agro-pastoral transition area—A case study in EjinHolo Banner, Inner Mongolia. J. Arid Land Resour. Environ. 2007, 21, 123–130. [Google Scholar]
- Liu, Q.Y.; Tong, Y.P. Effects of land use type on soil nutrient distribution in northern agro-pastoral ecotone. Chin. J. Appl. Ecol. 2005, 16, 1849–1852. [Google Scholar] [CrossRef]
- Xie, H.L.; Li, B.; Liu, L.M.; Zhang, X.S. Study on spatial feature of soil nutrients based on integration of spatial statistical analysis and GIS in farming-pastoral zone—A case study in Wengniute County, Inner Mongolia. J. Soil Water Conserv. 2006, 20, 73–76. [Google Scholar] [CrossRef]
- Yang, R.; Sai, N.; Su, L.; Shang, H.J.; Liu, Y.H.; Guo, Y.S. Soil C, N and P contents and ecological stoichiometric characteristics in Baotou Yellow River wetland, Inner Mongolia. Acta Ecol. Sin. 2020, 40, 2205–2214. [Google Scholar]
- Cao, W.J. Stoichiometric Characteristics and Their Spatial Distribution Patterns in Surface Soils Across the Horqin Sandy Land of China. Master’s Thesis, Lanzhou Jiaotong University, Lanzhou, China, 2021. [Google Scholar] [CrossRef]
- Sun, X.D.; Ning, Z.Y.; Yang, H.L.; Zhang, Z.Q.; Li, Y.L. The Stoichiometry of carbon, nitrogen and phosphorus in soil in typical desertified regions, North China. J. Desert Res. 2018, 38, 1209–1218. [Google Scholar]
- Chen, L.L.; Wang, K.X.; Baoyin, T. Effects of grazing and mowing on vertical distribution of soil nutrients and their stoichiometry (C:N:P) in a semi-arid grassland of North China. Catena 2021, 206, 105507–105514. [Google Scholar] [CrossRef]
- Qu, J.H.; Li, L.J.; Zhao, P.Y.; Han, D.Y.; Zhao, X.Y.; Zhang, Y.L.; Han, L.; Wang, Y. Impact of phosphorous fertilization on rape and common vetch intercropped fodder and soil phosphorus dynamics in North China. Agric. Week 2022, 12, 1949. [Google Scholar] [CrossRef]
- Han, D.Y.; Li, L.J.; Zhao, X.Y.; Qu, J.H.; Yang, J.H.; Wang, Q.J.; Luo, S.J.; Han, L. Effects of nitrogen application on yield, quality, water and nitrogen use efficiency of intercropping oat and common vetch. J. Northwest AF Univ. (Nat. Sci. Ed.) 2023, 51, 40–51. [Google Scholar] [CrossRef]
- Yang, J.H.; Li, L.J.; Zhang, Y.L.; Han, D.Y.; Han, L.; Zhao, X.Y.; Luo, S.J.; Zhang, H.J. Effects of oat and common vetch intercropping and fertilization on forage yield and quality in Horqin Sandy Land. Agric. Res. Arid Areas 2023, 41, 179–189. [Google Scholar]
- Wu, P.B.; Li, L.J.; Zhang, Y.L.; Li, X.T.; Yang, F. Effects of rotation and fertilization on soil organic carbon and its fractions and soil nutrients. Chin. J. Soil Sci. 2020, 51, 416–422. [Google Scholar] [CrossRef]
- Bao, S.D. Agrochemical Analysis of Soil, 3rd ed.; China Agriculture Press: Beijing, China, 2000; pp. 30–33, 42–48, 76–78, 101–102. [Google Scholar]
- Cleveland, C.C.; Liptzin, D. C:N:P stoichiometry in soil: Is there a “Redfield ratio” for the microbial biomass? Biogeochemistry 2007, 85, 235–252. [Google Scholar] [CrossRef]
- National Soil Census Office. Chinese Soil, 1st ed.; China Agriculture Press: Beijing, China, 1998; pp. 878–904, 922. [Google Scholar]
- Xu, X.F.; Thornton, P.E.; Post, W.M. A global analysis of soil microbial biomass carbon, nitrogen and phosphorus in terrestrial ecosystems. Glob. Ecol. Biogeogr. 2013, 22, 737–749. [Google Scholar] [CrossRef]
- Liu, X.; Ma, J.; Ma, Z.W.; Li, L.H. Soil nutrient contents and stoichiometry as affected by land-use in an agro-pastoral region of northwest China. Catena 2017, 150, 146–153. [Google Scholar] [CrossRef]
- Gao, J.L.; Luo, F.M.; Gao, Y.; Dang, X.H.; Meng, Z.J.; Chen, X.N.; Duan, N. Ecological soil C, N, and P stoichiometry of different land use patterns in the agriculture-pasture ecotone of Northern China. Acta Ecol. Sin. 2019, 39, 5594–5602. [Google Scholar] [CrossRef]
- Cao, X.H.; Long, H.Y.; Zhou, J.G.; Zhu, A.X.; Liu, H.B.; Lei, Q.L.; Qiu, W.W. Spatial variation of ecological stoichiometry characteristics of topsoil carbon, nitrogen and phosphorus in Hebei Province, China. Acta Ecol. Sin. 2017, 37, 6053–6063. [Google Scholar] [CrossRef]
- Hu, Y.W.; Sun, R.X.; Shen, M.S.; Shi, Z.L.; Liu, C.; Xu, Q.T.; Liu, J.T.; Zhang, J.J. Effects of land use types on the stoichiometric characteristics of soil C:N:P and the physical and chemical properties of soil in western Shanxi loess region. Arid Zone Res. 2021, 38, 990–999. [Google Scholar] [CrossRef]
- Zhao, W.; Huang, L.M. Stoichiometric characteristics and influencing factors of soil nutrients under different land use types in an alpine mountain region. Acta Ecol. Sin. 2022, 42, 4415–4427. [Google Scholar] [CrossRef]
- Shi, C.Y.; Ma, L. Effect of different land use on soil nutrient in Northern agriculture-pasturage eco-zone—A case in saibei management area of Zhangjiakou City. J. Hebei Norm. Univ. (Nat. Sci. Ed.) 2009, 33, 815–819. [Google Scholar]
- Wang, F.-P.; Wang, X.-C.; Yao, B.-Q.; Zhang, Z.-H.; Shi, G.-X.; Ma, Z.; Chen, Z.; Zhou, H.-K. Effects of land-use types on soil organic carbon stocks: A case study across an altitudinal gradient within a farm-pastoral area on the eastern Qinghai-Tibetan Plateau, China. J. Mt. Sci. 2018, 15, 2693–2702. [Google Scholar] [CrossRef]
- Li, S.C.; Xu, J.H.; Tang, S.M.; Zhan, Q.W.; Gao, Q.H.; Ren, L.T.; Shao, Q.Q.; Chen, L.; Du, J.; Hao, B. A meta-analysis of carbon, nitrogen and phosphorus change in response to conversion of grassland to agricultural land. Geoderma 2020, 363, 114149–114156. [Google Scholar] [CrossRef]
- Smith, P. Land use change and soil organic carbon dynamics. Nutr. Cycl. Agroecosystems 2007, 81, 169–178. [Google Scholar] [CrossRef]
- Rong, Y.P.; Ma, L.; Johnson, D.A.; Yuan, F. Soil respiration patterns for four major land-use types of the agro-pastoral region of northern China. Agric. Ecosyst. Environ. 2015, 213, 142–150. [Google Scholar] [CrossRef]
- Ding, F.; Hu, Y.L.; Li, L.J.; Li, A.; Shi, S.W.; Lian, P.Y.; Zeng, D.H. Changes in soil organic carbon and total nitrogen stocks after conversion of meadow to cropland in Northeast China. Plant Soil 2013, 373, 659–672. [Google Scholar] [CrossRef]
- Qi, Y.C.; Dong, Y.S.; Peng, Q.; Xiao, S.S.; He, Y.T.; Liu, X.C.; Sun, L.G.; Jia, J.Q.; Yang, Z.J. Effects of a conversion from grassland to cropland on the different soil organic carbon fractions in Inner Mongolia, China. J. Geogr. Sci. 2012, 22, 315–328. [Google Scholar] [CrossRef]
- Francioni, M.; D’ottavio, P.; Lai, R.; Trozzo, L.; Budimir, K.; Foresi, L.; Kishimoto-Mo, A.W.; Baldoni, N.; Allegrezza, M.; Tesei, G. Seasonal soil respiration dynamics and carbon-stock variations in mountain permanent grasslands compared to arable lands. Agric. Week 2019, 9, 165. [Google Scholar] [CrossRef]
- Chapin, F.S., III; Matson, P.A.; Mooney, H.A. Principles of Terrestrial Ecosystem Ecology; Springer: New York, NY, USA, 2002; pp. 1–17. [Google Scholar] [CrossRef]
- Wang, S.Q.; Yu, G.R. Ecological stoichiometry characteristics of ecosystem carbon, nitrogen and phosphorus elements. Acta Ecol. Sin. 2008, 28, 3937–3947. [Google Scholar]
- Bui, E.N.; Henderson, B.L. C: N: P stoichiometry in Australian soils with respect to vegetation and environmental factors. Plant Soil 2013, 373, 553–568. [Google Scholar] [CrossRef]
- Gundersen, P.; Callesen, I.; De Vries, W. Nitrate leaching in forest ecosystems is related to forest floor CN ratios. Environ. Pollut. 1998, 102, 403–407. [Google Scholar] [CrossRef]
- Zhang, H.; Ouyang, Z.C.; Zhao, X.M. Effects of different land use types on ecological stoichiometry characteristics of carbon, nitrogen and phosphorus in farmland soils in Jiangxi Province, China. Acta Sci. Circumstantiae 2019, 39, 939–951. [Google Scholar] [CrossRef]
- Tang, X.; Hu, J.; Lu, Y.; Qiu, J.; Dong, Y.; Li, B. Soil C, N, P stocks and stoichiometry as related to land use types and erosion conditions in lateritic red soil region, south China. Catena 2022, 210, 105888–105898. [Google Scholar] [CrossRef]
- Robertson, F.A.; Myers, R.J.K.; Saffigna, P.G. Carbon and nitrogen mineralization in cultivated and grassland soils in subtropical Queensland. Soil Res. 1993, 31, 611–619. [Google Scholar] [CrossRef]
- Mukumbuta, I.; Shimizu, M.; Hatano, R. Short-term land-use change from grassland to cornfield increases soil organic carbon and reduces total soil respiration. Soil Tillage Res. 2019, 186, 1–10. [Google Scholar] [CrossRef]
- Miller, H.J. Tobler’s first law and spatial analysis. Ann. Assoc. Am. Geogr. 2004, 94, 284–289. [Google Scholar] [CrossRef]
- Zhang, L. Response of C, N, P Eco-Stoichiometry of Typical Mountain Soils to Changes in Land Use Patterns: A Case Study of Tianfu Town, Beibei District, Chongqing. Master’s Thesis, Southwest University, Chongqing, China, 2021. [Google Scholar] [CrossRef]
- Dai, Y.T.; Zhou, P.; Guo, X.B.; Luo, P.; Chen, X.B.; Wu, J.S. Role of environmental factors on concentrations and ratios of subsoil C–N–P in subtropical paddy fields. J. Soils Sediments 2023, 23, 1999–2010. [Google Scholar] [CrossRef]
- Liu, R.S.; Wang, D.M. Soil C, N, P and K stoichiometry affected by vegetation restoration patterns in the alpine region of the Loess Plateau, Northwest China. PLoS ONE 2020, 15, 241859–241865. [Google Scholar] [CrossRef]
- Sun, L.Q. The Study of Farmland Soil C:N:P Stoichiometry Characteristics in China. Master’s Thesis, China University of Geosciences, Beijing, China, 2018. [Google Scholar]
- Sun, Y.; Wang, C.T.; Chen, H.Y.H.; Luo, X.S.; Qiu, N.W.; Ruan, H.H. Asymmetric responses of terrestrial C:N:P stoichiometry to precipitation change. Glob. Ecol. Biogeogr. 2021, 30, 1724–1735. [Google Scholar] [CrossRef]








Disclaimer/Publisher’s Note: The statements, opinions and data contained in all publications are solely those of the individual author(s) and contributor(s) and not of MDPI and/or the editor(s). MDPI and/or the editor(s) disclaim responsibility for any injury to people or property resulting from any ideas, methods, instructions or products referred to in the content. |
© 2024 by the authors. Licensee MDPI, Basel, Switzerland. This article is an open access article distributed under the terms and conditions of the Creative Commons Attribution (CC BY) license (https://creativecommons.org/licenses/by/4.0/).
Share and Cite
Zhang, Y.; Liu, M.; Han, L.; Yang, J.; Zhao, X.; Qu, J.; Li, L.; Bai, Y.; Yan, D.; Hou, G. Spatial Distribution Characteristics of Soil C:N:P:K Eco-Stoichiometry of Farmland and Grassland in the Agro-Pastoral Ecotone in Inner Mongolia, China. Agronomy 2024, 14, 346. https://doi.org/10.3390/agronomy14020346
Zhang Y, Liu M, Han L, Yang J, Zhao X, Qu J, Li L, Bai Y, Yan D, Hou G. Spatial Distribution Characteristics of Soil C:N:P:K Eco-Stoichiometry of Farmland and Grassland in the Agro-Pastoral Ecotone in Inner Mongolia, China. Agronomy. 2024; 14(2):346. https://doi.org/10.3390/agronomy14020346
Chicago/Turabian StyleZhang, Yanli, Miao Liu, Li Han, Jinhu Yang, Xinyao Zhao, Jiahui Qu, Lijun Li, Yunlong Bai, Dong Yan, and Guannan Hou. 2024. "Spatial Distribution Characteristics of Soil C:N:P:K Eco-Stoichiometry of Farmland and Grassland in the Agro-Pastoral Ecotone in Inner Mongolia, China" Agronomy 14, no. 2: 346. https://doi.org/10.3390/agronomy14020346
APA StyleZhang, Y., Liu, M., Han, L., Yang, J., Zhao, X., Qu, J., Li, L., Bai, Y., Yan, D., & Hou, G. (2024). Spatial Distribution Characteristics of Soil C:N:P:K Eco-Stoichiometry of Farmland and Grassland in the Agro-Pastoral Ecotone in Inner Mongolia, China. Agronomy, 14(2), 346. https://doi.org/10.3390/agronomy14020346
