Utilization of Surplus Air Thermal Energy by a Water Cycle System in a Chinese-Type Solar Greenhouse
Abstract
1. Introduction
2. Materials and Methods
2.1. Experimental Environment and Equipment
2.2. Experimental Equipment and Methodology
2.3. Heat Load of the Greenhouse
2.4. CFD Models Simulation
2.4.1. CFD Models’ Assumptions
2.4.2. Calculation Domain and Mesh Settings
2.4.3. Mathematical Model
2.4.4. Energy Migration System Energy Efficiency and Cooling Heating Efficiency Assessment [33]
3. Results and Discussion
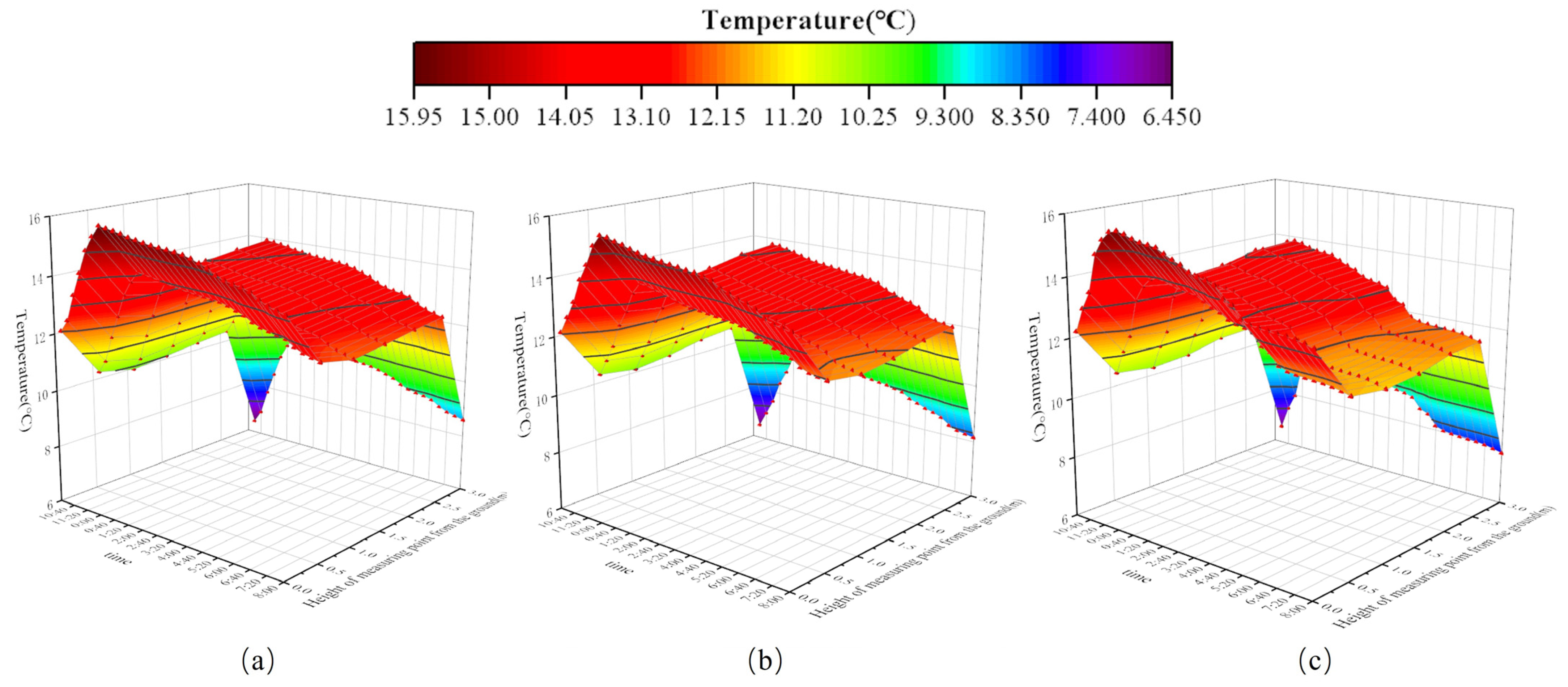
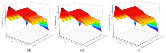
3.1. Validation of Numerical Simulations
3.2. Performance of the System
3.3. Simulation of the Heat Storage and Release Effects of Water Cycle Surplus Heat Utilization System at Different Water Flows
3.4. Simulation of the Heat Storage and Release Effects of Water Cycle Surplus Heat Utilization System at Different Air Flows
3.5. Economic Analysis
4. Conclusions
Author Contributions
Funding
Data Availability Statement
Acknowledgments
Conflicts of Interest
Nomenclature
| Air density | |
| Time, s | |
| Velocity vector (m·s−1) | |
| Dynamic viscosity | |
| Density of air (kg·m−3) | |
| Effective viscosity shear | |
| Volume force item | |
| Momentum Source term | |
| Flow energy (N·m) | |
| Pressure (Pa) | |
| Effective conductivity (W·m−1·K) | |
| Temperature(K) | |
| Sensible enthalpy (J·kg−1) | |
| Diffusion flux of species | |
| Volumetric heat source | |
| Velocity vector in Cartesian coordinates (m·s−1) | |
| Turbulent Prandtl number for k | |
| Effective viscosity (kg·m−1 s) | |
| The generation of turbulence kinetic energy due to the mean velocity gradients(N·m) | |
| Contribution of the fluctuating dilatation in compressible turbulence to the overall dissipation rate | |
| The generation of turbulence kinetic energy due to the buoyancy(N·m) | |
| Turbulent Prandtl number for ε | |
| Model constant1 | |
| Model constant2 | |
| Model constant3 | |
| User-defined source terms | |
| Monochromatic luminance (W m−3·sr1) | |
| Solar position vector | |
| Solar radiation vector | |
| Absorption coefficient | |
| Scattering coefficient | |
| Refractive index | |
| Stefan-Boltzmann constant | |
| Diffusion phase function | |
| Solid angle | |
| Energy efficiency of total active power (°C·m3·J−1) | |
| Temperature after the system treatment in the greenhouse, °C | |
| Temperature before the system treatment in the greenhouse, °C | |
| Energy efficiency of total active power, J m−2 | |
| Ground area of the greenhouse, m2 | |
| Total active power of the PFC system (including fans and pumps), kW | |
| Indoor volume of the greenhouse, m3 | |
| Scattering direction vector |
References
- Franco, A.; Valera, D.L.; Peña, A.; Pérez, A.M. Aerodynamic Analysis and CFD Simulation of Several Cellulose Evaporative Cooling Pads Used in Mediterranean Greenhouses. Comput. Electron. Agric. 2011, 76, 218–230. [Google Scholar] [CrossRef]
- Sun, J.I.; Gao, H.; Tian, L.; Wang, J.; Du, C.; Guo, S. Development Status and Trends of Protected Horticulture in China. J. Nanjing Agric. Univ. 2019, 42, 594–604. [Google Scholar] [CrossRef]
- Aguilar-Rodriguez, C.E.; Flores-Velazquez, J.; Ojeda-Bustamante, W.; Rojano, F.; Iñiguez-Covarrubias, M. Valuation of the Energy Performance of a Greenhouse with an Electric Heater Using Numerical Simulations. Processes 2020, 8, 600. [Google Scholar] [CrossRef]
- Zhang, M.; Yan, T.; Wang, W.; Jia, X.; Wang, J.; Klemeš, J.J. Energy-Saving Design and Control Strategy towards Modern Sustainable Greenhouse: A Review. Renew. Sustain. Energy Rev. 2022, 164, 112602. [Google Scholar] [CrossRef]
- Raj, J.S.; Ananthi, J.V. Automation Using Iot in Greenhouse Environment. J. Inf. Technol. Digit. World 2019, 1, 38–47. [Google Scholar] [CrossRef]
- Chen, J.; Cai, Y.; Xu, F.; Hu, H.; Ai, Q. Analysis and Optimization of the Fan-Pad Evaporative Cooling System for Greenhouse Based on CFD. Adv. Mech. Eng. 2014, 6, 712740. [Google Scholar] [CrossRef]
- Fan, Z.L.; Liu, X.G.; Yue, X.; Zhang, L.; Xie, X.Y.; Li, Y.M.; Li, T.L. Effect of External Thermal Insulation Layer on the Chinese Solar Greenhouse Microclimate. R. Soc. Open Sci. 2021, 8, 211217. [Google Scholar] [CrossRef]
- Zhou, S.; Zhang, Y.; Cheng, R.; Yang, Q.; Fang, H.; Zhou, B.; Lu, W.; Zhang, F. Evaluation on Heat Preservation Effects in Micro-Environment of Large-Scale Greenhouse with Active Heat Storage System. Nongye Gongcheng Xuebao/Trans. Chin. Soc. Agric. Eng. 2016, 32, 218–225. [Google Scholar] [CrossRef]
- Fang, H.; Yang, Q.; Zhang, Y.; Sun, W.; Lu, W.; Tong, Y.; Liang, H. Performance of a solar heat collection and release system for improving night temperature in a Chinese solar greenhouse. Appl. Eng. Agric. 2015, 31, 283–289. [Google Scholar]
- Hong, J.; Shen, Q.; Xue, F. A Multi-Regional Structural Path Analysis of the Energy Supply Chain in China ’ s Construction Industry. Energy Policy 2016, 92, 56–68. [Google Scholar] [CrossRef]
- Jamil, F.; Ibrahim, M.; Ullah, I.; Kim, S.; Kook, H.; Kim, H. Optimal Smart Contract for Autonomous Greenhouse Environment Based on IoT Blockchain Network in Agriculture. Comput. Electron. Agric. 2022, 192, 106573. [Google Scholar] [CrossRef]
- Vadiee, A.; Martin, V. Solar Blind System-Solar Energy Utilization and Climate Mitigation in Glassed Buildings. Energy Procedia 2014, 57, 2023–2032. [Google Scholar] [CrossRef]
- Gorjian, S.; Calise, F.; Kant, K.; Ahamed, M.S.; Copertaro, B.; Najafi, G.; Zhang, X.; Aghaei, M.; Shamshiri, R.R.; Ahamed, S.; et al. A Review on Opportunities for Implementation of Solar Energy Technologies in Agricultural Greenhouses. J. Clean. Prod. 2021, 285, 124807. [Google Scholar] [CrossRef]
- Durmus, A. Evaluation of Ground-Source Heat Pump Combined Latent Heat Storage System Performance in Greenhouse Heating. Energy Build. 2009, 41, 220–228. [Google Scholar] [CrossRef]
- Ahamed, S.; Guo, H.; Tanino, K. ScienceDirect Energy Saving Techniques for Reducing the Heating Cost of Conventional Greenhouses. Biosyst. Eng. 2018, 178, 9–33. [Google Scholar] [CrossRef]
- Zhang, L.; Xu, P.; Mao, J.; Tang, X.; Li, Z.; Shi, J. A Low Cost Seasonal Solar Soil Heat Storage System for Greenhouse Heating: Design and Pilot Study. Appl. Energy 2015, 156, 213–222. [Google Scholar] [CrossRef]
- Yang, S.H.; Rhee, J.Y. Utilization and Performance Evaluation of a Surplus Air Heat Pump System for Greenhouse Cooling and Heating. Appl. Energy 2013, 105, 244–251. [Google Scholar] [CrossRef]
- He, X.; Wang, P.; Song, W.; Wu, G.; Ma, C.; Li, M. Experimental Study on the Feasibility and Thermal Performance of a Multifunctional Air Conditioning System Using Surplus Air Thermal Energy to Heat a Chinese Solar Greenhouse. Renew. Energy 2022, 198, 1148–1161. [Google Scholar] [CrossRef]
- Li, H.; Yang, H.X. Study on Performance of Solar Assisted Air Source Heat Pump Systems for Hot Water Production in Hong Kong. Appl. Energy 2010, 87, 2818–2825. [Google Scholar] [CrossRef]
- Wu, J.H.; Yang, Z.G.; Wu, Q.H.; Zhu, Y.J. Transient Behavior and Dynamic Performance of Cascade Heat Pump Water Heater with Thermal Storage System. Appl. Energy 2012, 91, 187–196. [Google Scholar] [CrossRef]
- Guo, J.J.; Wu, J.Y.; Wang, R.Z.; Li, S. Experimental Research and Operation Optimization of an Air-Source Heat Pump Water Heater. Appl. Energy 2011, 88, 4128–4138. [Google Scholar] [CrossRef]
- Bazgaou, A.; Fatnassi, H.; Bouharroud, R.; Ezzaeri, K.; Gourdo, L.; Wifaya, A.; Demrati, H.; El Baamrani, H.; Idoum, A.; Bekkaoui, A.; et al. Efficiency Assessment of a Solar Heating Cooling System Applied to the Greenhouse Microclimate. Mater. Today Proc. 2020, 24, 151–159. [Google Scholar] [CrossRef]
- Qian, T.; Dieleman, J.A.; Elings, A.; De Gelder, A.; Marcelis, L.F.M. Response of Tomato Crop Growth and Development to a Vertical Temperature Gradient in a Semi-Closed Greenhouse. J. Hortic. Sci. Biotechnol. 2015, 90, 578–584. [Google Scholar] [CrossRef]
- Qu, M.; Xia, L.; Deng, S.; Jiang, Y. A Study of the Reverse Cycle Defrosting Performance on a Multi-Circuit Outdoor Coil Unit in an Air Source Heat Pump—Part I: Experiments. Appl. Energy 2012, 91, 122–129. [Google Scholar] [CrossRef]
- Qu, M.; Pan, D.; Xia, L.; Deng, S.; Jiang, Y. A Study of the Reverse Cycle Defrosting Performance on a Multi-Circuit Outdoor Coil Unit in an Air Source Heat Pump—Part II: Modeling Analysis. Appl. Energy 2012, 91, 274–280. [Google Scholar] [CrossRef]
- Banakar, A.; Montazeri, M.; Ghobadian, B.; Pasdarshahri, H.; Kamrani, F. Energy Analysis and Assessing Heating and Cooling Demands of Closed Greenhouse in Iran. Therm. Sci. Eng. Prog. 2021, 25, 101042. [Google Scholar] [CrossRef]
- Yang, S.H.; Son, J.E.; Lee, S.D.; Cho, S.I.; Ashtiani-Araghi, A.; Rhee, J.Y. Surplus Thermal Energy Model of Greenhouses and Coefficient Analysis for Effective Utilization. Span. J. Agric. Res. 2016, 14, e0202. [Google Scholar] [CrossRef]
- Vadiee, A.; Martin, V. Energy Management in Horticultural Applications through the Closed Greenhouse Concept, State of the Art. Renew. Sustain. Energy Rev. 2012, 16, 5087–5100. [Google Scholar] [CrossRef]
- Vadiee, A.; Martin, V. Energy Analysis and Thermoeconomic Assessment of the Closed Greenhouse—The Largest Commercial Solar Building. Appl. Energy 2013, 102, 1256–1266. [Google Scholar] [CrossRef]
- Vadiee, A.; Martin, V. Thermal Energy Storage Strategies for Effective Closed Greenhouse Design. Appl. Energy 2013, 109, 337–343. [Google Scholar] [CrossRef]
- Yu, T.; Wang, D.; Zhao, X.; Liu, J.; Kim, M.K. Experimental and Numerical Study of an Active Solar Heating System with Soil Heat Storage for Greenhouses in Cold Climate Zones. Buildings 2022, 12, 405. [Google Scholar] [CrossRef]
- Bazgaou, A.; Fatnassi, H.; Bouharroud, R.; Elame, F.; Ezzaeri, K.; Gourdo, L.; Wifaya, A.; Demrati, H.; Tiskatine, R.; Bekkaoui, A.; et al. Performance Assessment of Combining Rock-Bed Thermal Energy Storage and Water Filled Passive Solar Sleeves for Heating Canarian Greenhouse. Sol. Energy 2020, 198, 8–24. [Google Scholar] [CrossRef]
- Xu, F.Y.; Lu, H.F.; Chen, Z.; Guan, Z.C.; Chen, Y.W.; Shen, G.W.; Jiang, Z. Selection of a Computational Fluid Dynamics (CFD) Model and Its Application to Greenhouse Pad-Fan Cooling (PFC) Systems. J. Clean. Prod. 2021, 302, 127013. [Google Scholar] [CrossRef]
- Xia, T.; Li, Y.; Wu, X.; Fan, Z.; Shi, W.; Liu, X.; Li, T. Performance of a New Active Solar Heat Storage–Release System for Chinese Assembled Solar Greenhouses Used in High Latitudes and Cold Regions. Energy Rep. 2022, 8, 784–797. [Google Scholar] [CrossRef]
- Saberian, A.; Sajadiye, S.M. Assessing the Variable Performance of Fan-and-Pad Cooling in a Subtropical Desert Greenhouse. Appl. Therm. Eng. 2020, 179, 115672. [Google Scholar] [CrossRef]
- Misra, R.; Bansal, V.; Agrawal, G.D.; Mathur, J.; Aseri, T.K. CFD Analysis Based Parametric Study of Derating Factor for Earth Air Tunnel Heat Exchanger. Appl. Energy 2013, 103, 266–277. [Google Scholar] [CrossRef]




















| Equipment | Material | Function |
|---|---|---|
| Air-water heat exchanger | Consists of an axial flow fan, aluminum fins, and copper tubes. | Exchange of heat |
| Water supply and return pipes | Polypropylene-Random | Water supply and return |
| Submersible pump | - | Maintenance of water cycle dynamics |
| Tank | Polyvinyl chloride | Thermal energy storage |
| Automatic control system | - | Control of equipment start/stop |
| Flowmeter | - | Measurement of water flow |
| Physical Properties | Internal Air | Soil | Polyolefin Film | Polystyrene Board |
|---|---|---|---|---|
| Density/kg·m−3 | ideal-gas | 1700 | 950 | 30 |
| Transmittance/% | – | – | 70 | 20 |
| Reflectance/% | – | – | 15 | – |
| Specific heat Capacity/J·kg−1·K−1 | 1006.43 | 1010 | 1600 | 2414.8 |
| Thermal conductivity/W·m2·K−1 | 0.024 | 0.85 | 0.19 | 0.041 |
| Water Flow (m/s) | 0.5 | 1.0 | 1.5 | 2.0 | 2.5 | 3.0 | |
|---|---|---|---|---|---|---|---|
| Thermal performance (MJ) | Collected heat | 10.18 ± 0.0063 | 10.19 ± 0.0048 | 10.20 ± 0.0050 | 10.20 ± 0.0013 | 10.19 ± 0.0040 | 10.19 ± 0.0032 |
| Released heat | 9.87 ± 0.0024 | 9.95 ± 0.0037 | 9.87 ± 0.0018 | 9.79 ± 0.0041 | 9.86 ± 0.0021 | 9.74 ± 0.0011 | |
| Air Flow (m/s) | 1.5 | 3.0 | 4.5 | 6.0 | 7.5 | 9.0 | |
|---|---|---|---|---|---|---|---|
| Thermal performance (MJ) | Collected heat | 8.91 ± 0.0017 | 10.06 ± 0.0020 | 12.21 ± 0.0025 | 13.02 ± 0.0018 | 12.91 ± 0.0041 | 12.43 ± 0.0039 |
| Released heat | 8.36 ± 0.0030 | 9.62 ± 0.0041 | 10.04 ± 0.0036 | 11.07 ± 0.0033 | 10.14 ± 0.0014 | 10.34 ± 0.0028 | |
| Items | Quantity | Value (USD/Year) |
|---|---|---|
| Air-water heat exchanger | 1 | 83.7 |
| Water supply and return pipes | 3 | 8.4 |
| Submersible pump | 1 | 21.76 |
| Tank | 1 | 13.9 |
| Automatic control system | 1 | 4.5 |
| Flowmeter | 1 | 18.1 |
| Installation cost | 1 | 27.9 |
| Total | 178.26 |
| Items | Proposed System | Coal Heating | Natural Gas Heating |
|---|---|---|---|
| Daily heating value | 24.1 MJ/day | 24.1 MJ/day | 24.1 MJ/day |
| Annual heating period | 150 day | 150 day | 150 day |
| Annual energy consumption | 462.6 kwh | 0.3 ton | 112.9 m3 |
| Unit price | 0.07 USD/kwh | 144 USD/ton | 0.39 USD/m3 |
| Annual heating cost | 32.4 USD | 43.2 USD | 44.0 USD |
Disclaimer/Publisher’s Note: The statements, opinions and data contained in all publications are solely those of the individual author(s) and contributor(s) and not of MDPI and/or the editor(s). MDPI and/or the editor(s) disclaim responsibility for any injury to people or property resulting from any ideas, methods, instructions or products referred to in the content. |
© 2024 by the authors. Licensee MDPI, Basel, Switzerland. This article is an open access article distributed under the terms and conditions of the Creative Commons Attribution (CC BY) license (https://creativecommons.org/licenses/by/4.0/).
Share and Cite
Wang, L.; Li, Y.; Sun, Z.; Meng, S.; Li, T.; Liu, X. Utilization of Surplus Air Thermal Energy by a Water Cycle System in a Chinese-Type Solar Greenhouse. Agronomy 2024, 14, 270. https://doi.org/10.3390/agronomy14020270
Wang L, Li Y, Sun Z, Meng S, Li T, Liu X. Utilization of Surplus Air Thermal Energy by a Water Cycle System in a Chinese-Type Solar Greenhouse. Agronomy. 2024; 14(2):270. https://doi.org/10.3390/agronomy14020270
Chicago/Turabian StyleWang, Lu, Yiming Li, Zhouping Sun, Sida Meng, Tianlai Li, and Xingan Liu. 2024. "Utilization of Surplus Air Thermal Energy by a Water Cycle System in a Chinese-Type Solar Greenhouse" Agronomy 14, no. 2: 270. https://doi.org/10.3390/agronomy14020270
APA StyleWang, L., Li, Y., Sun, Z., Meng, S., Li, T., & Liu, X. (2024). Utilization of Surplus Air Thermal Energy by a Water Cycle System in a Chinese-Type Solar Greenhouse. Agronomy, 14(2), 270. https://doi.org/10.3390/agronomy14020270

