Genetic Variability of Tocol Content in a Genebank Collection of Temperate Maize Inbred Lines from Southeastern Europe
Abstract
1. Introduction
2. Materials and Methods
2.1. Plant Materials
2.2. Experimental Design and Cultural Management
2.3. Data Collection
2.4. Statistical Analysis
3. Results
3.1. The HPLC Profile of the Tocols
3.2. Analysis of Variance
3.3. Means and Variation in Tocol Contents
3.4. Correlations between Grain Tocol Traits
3.5. Simulation of Selection within 88 Inbred Lines
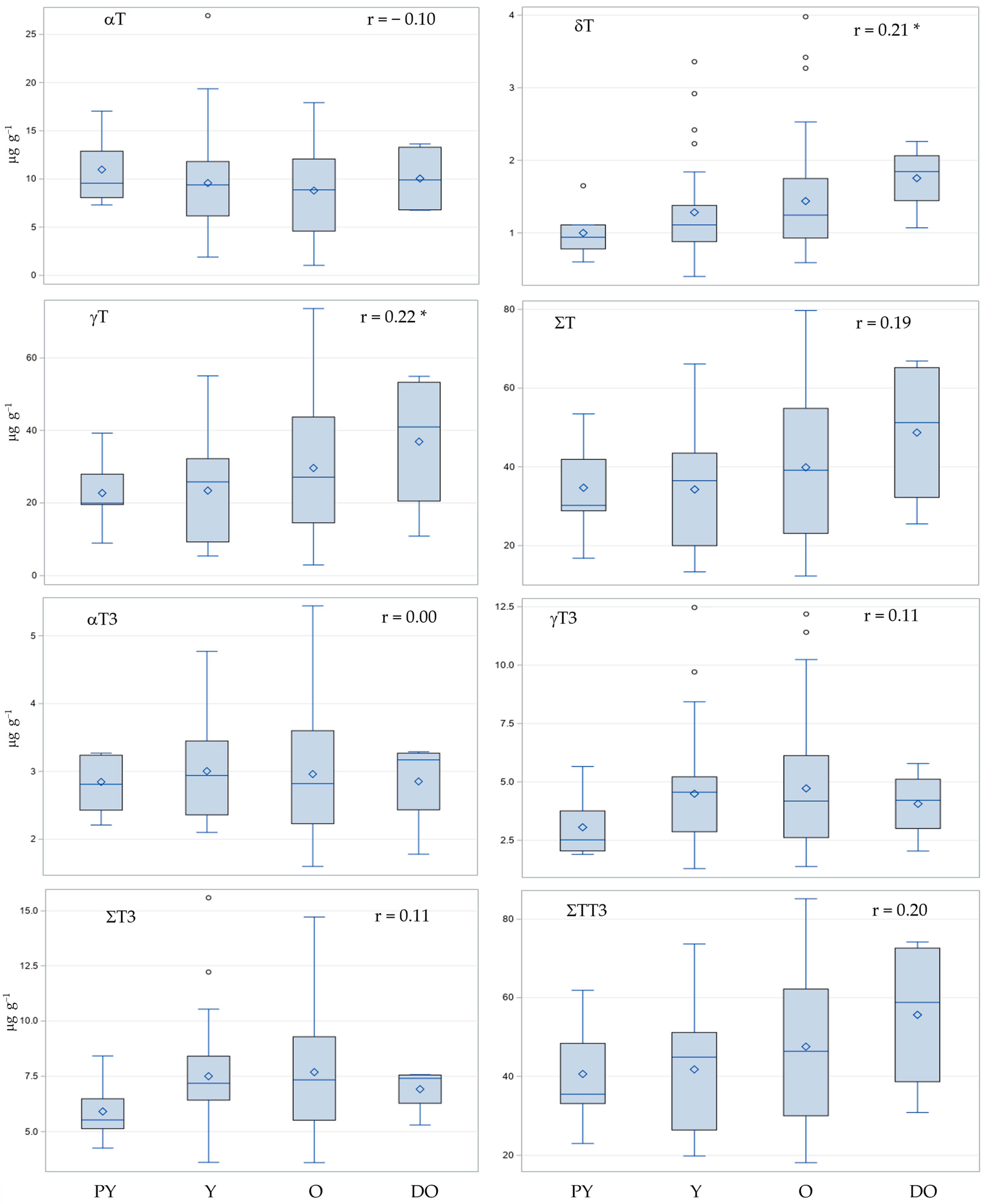
3.6. Correlations of Tocol Content with Kernel Color and Kernel Hardness
4. Discussion
5. Conclusions
Supplementary Materials
Author Contributions
Funding
Data Availability Statement
Conflicts of Interest
References
- Saini, R.K.; Keum, Y.-S. Tocopherols and tocotrienols in plants and their products: A review on methods of extraction, chromatographic separation, and detection. Food Res. Int. 2016, 82, 59–70. [Google Scholar] [CrossRef]
- DellaPenna, D.; Mène-Saffrané, L. Vitamin E. In Advances in Botanical Research; Rebeille, F., Douce, R., Eds.; Elsevier: Amsterdam, The Netherlands, 2011; pp. 179–227. [Google Scholar]
- Brigelius-Flohé, R.; Traber, M.G. Vitamin E: Function and metabolism. FASEB J. 1999, 13, 1145–1155. [Google Scholar] [CrossRef]
- Azzi, A.; Stocker, A. Vitamin E: Non-antioxidant roles. Prog. Lipid Res. 2000, 39, 231–255. [Google Scholar] [CrossRef] [PubMed]
- Bramley, P.M.; Elmadfa, I.; Kafatos, A.; Kelly, F.J.; Manios, Y.; Roxborough, H.E.; Schuch, W.; Sheehy, P.J.A.; Wagner, K.H. Vitamin E. J. Sci. Food Agric. 2000, 80, 913–938. [Google Scholar] [CrossRef]
- Rocheford, T.R.; Wong, J.C.; Egesel, C.O.; Robert, J.; Lambert, R.J. Enhancement of Vitamin E Levels in Corn. J. Am. Coll. Nutr. 2002, 21 (Suppl. S3), 191S–198S. [Google Scholar] [CrossRef]
- Lipka, A.E.; Gore, M.A.; Magallanes-Lundback, M.; Mesberg, A.; Lin, H.; Tiede, T.; DellaPenna, D. Genome-wide association study and pathway level analysis of tocochromanol levels in maize grain. G3-Genes Genom. Genet. 2013, 3, 1287–1299. [Google Scholar] [CrossRef]
- Das, A.K.; Muthusamy, V.; Zunjare, R.U.; Chauhan, H.S.; Sharma, P.K.; Bhat, J.S.; Guleria, S.K.; Saha, S.; Hossain, F. Genetic variability, genotype × environment interactions-and combining ability-analyses of kernel tocopherols among maize genotypes possessing novel allele of γ-tocopherol methyl transferase (ZmVTE4). J. Cereal Sci. 2019, 86, 1–8. [Google Scholar] [CrossRef]
- Gunjević, V.; Zurak, D.; Grbeša, D.; Kiš, G.; Međimurec, T.; Pirgozliev, V.; Kljak, K. Bioaccessibility of tocols in commercial maize hybrids determined by an in vitro digestion model for poultry. Molecules 2023, 28, 5015. [Google Scholar] [CrossRef]
- Burton, G.W. Vitamin E: Molecular and biological function. Proc. Nutr. Soc. 1994, 53, 251–262. [Google Scholar] [CrossRef] [PubMed]
- Khadangi, F.; Azzi, A. Vitamin E–the next 100 years. IUBMB Life 2019, 71, 411–415. [Google Scholar] [CrossRef] [PubMed]
- Zingg, J.-M.; Azzi, A. Non-Antioxidant Activities of Vitamin E. Curr. Med. Chem. 2004, 11, 1113–1133. [Google Scholar] [CrossRef]
- Morrissey, P.A.; Buckley, D.J.; Sheehy, P.J.A.; Monahan, F.J. Vitamin E and meat quality. Proc. Nutr. Soc. 1994, 53, 289–295. [Google Scholar] [CrossRef]
- Buckley, D.J.; Morrissey, P.A.; Gray, J.I. Influence of dietary vitamin E on the oxidative stability and quality of pig meat. J. Anim. Sci. 1995, 73, 3122–3130. [Google Scholar] [CrossRef]
- Chander, S.; Guo, Y.Q.; Yang, X.H.; Yan, J.B.; Zhang, Y.R.; Song, T.M.; Li, J.S. Genetic dissection of tocopherol content and composition in maize grain using quantitative trait loci analysis and the candidate gene approach. Mol. Breed. 2008, 12, 353–365. [Google Scholar] [CrossRef]
- Wen, Y.; Xu, L.; Xue, C.; Jiang, X.; Wei, Z. Assessing the Impact of Oil Types and Grades on Tocopherol and Tocotrienol Contents in Vegetable Oils with Chemometric Methods. Molecules 2020, 25, 5076. [Google Scholar] [CrossRef]
- Fitzpatrick, T.B.; Basset, G.J.; Borel, P.; Carrari, F.; DellaPenna, D.; Fraser, P.D.; Hellmann, H.; Osorio, S.; Rothan, C.; Valpuesta, V.; et al. Vitamin deficiencies in humans: Can plant science help? Plant Cell 2012, 24, 395–414. [Google Scholar] [CrossRef] [PubMed]
- Bouis, H.E.; Welch, R.M. Biofortification—A sustainable agricultural strategy for reducing micronutrient malnutrition in the global south. Crop Sci. 2010, 50, S20–S32. [Google Scholar] [CrossRef]
- Muzhingi, T.; Palacios-Rojas, N.; Miranda, A.; Cabrera, M.L.; Yeum, K.J.; Tang, G. Genetic variation of carotenoids, vitamin E and phenolic compounds in Provitamin A biofortified maize. J. Sci. Food Agric. 2017, 97, 793–801. [Google Scholar] [CrossRef]
- Šimić, D.; Galić, V.; Jambrović, A.; Ledenčan, T.; Kljak, K.; Buhiniček, I.; Šarčević, H. Genetic variability in carotenoid contents in a panel of genebank accessions of temperate maize from southeast europe. Plants 2023, 12, 3453. [Google Scholar] [CrossRef]
- Maras, J.E.; Bermudez, O.I.; Qiao, N.; Bakun, P.J.; Boody-Alter, E.L.; Tucker, K.L. Intake of α-tocopherol is limited among US adults. J. Am. Diet. Assoc. 2004, 104, 567–575. [Google Scholar] [CrossRef]
- Egesel, C.O.; Wong, J.C.; Lambert, R.J.; Rocheford, T.R. Combining ability of maize inbreds for carotenoids and tocopherols. Crop Sci. 2003, 43, 818–823. [Google Scholar] [CrossRef]
- Li, Q.; Yang, X.; Xu, S.; Cai, Y.; Zhang, D.; Han, Y.; Li, L.; Zhang, Z.; Gao, S.; Li, J.; et al. Genome-wide association studies identified three independent polymorphisms associated with α-tocopherol content in maize kernels. PLoS ONE 2012, 7, e36807. [Google Scholar] [CrossRef]
- Xu, S.; Zhang, D.; Cai, Y.; Zhou, Y.; Shah, T.; Ali, F.; Li, Q.; Li, Z.; Wang, W.; Li, J.; et al. Dissecting tocopherols content in maize (Zea mays L.), using two segregating populations and high-density single nucleotide polymorphism markers. BMC Plant Biol. 2012, 12, 201. [Google Scholar]
- Diepenbrock, C.H.; Kandianis, C.B.; Lipka, A.E.; Magallanes-Lundback, M.; Vaillancourt, B.; Góngora-Castillo, E.; Wallace, J.G.; Cepela, J.; Mesberg, A.; Bradbury, P.J.; et al. Novel loci underlie natural variation in vitamin E levels in maize grain. Plant Cell 2017, 29, 2374–2392. [Google Scholar] [CrossRef]
- Baseggio, M.; Murray, M.; Magallanes-Lundback, M.; Kaczmar, N.; Chamness, J.; Buckler, E.S.; Smith, M.E.; DellaPenna, D.; Tracy, W.F.; Gore, M.A. Genome-wide association and genomic prediction models of tocochromanols in fresh sweet corn kernels. Plant Genome-US 2019, 11, 180038. [Google Scholar] [CrossRef]
- Fenton, M.E.; Owens, B.F.; Lipka, A.E.; Ortiz, D.; Tiede, T.; Mateos-Hernandez, M.; Ferruzzi, M.G.; Rocheford, T. High-density linkage mapping of vitamin E content in maize grain. Mol. Breed. 2018, 38, 31. [Google Scholar] [CrossRef]
- Mladenović Drinić, S.; Mesarović, J.; Kravić, N.; Srdić, J.; Stevanović, M.; Filipović, M.; Anđelković, V. Micronutritient variability in maize inbred lines. AGROFOR Int. J. 2019, 4, 43–50. [Google Scholar] [CrossRef]
- Das, A.K.; Muthusamy, V.; Zunjare, R.U.; Baveja, A.; Chauhan, H.S.; Bhat, J.S.; Guleria, S.K.; Kumar, B.; Saha, S.; Hossain, F. Genetic variability for kernel tocopherols and haplotype analysis of γ-tocopherol methyl transferase (vte4) gene among exotic- and indigenous maize inbreds. J. Food Compos. Anal. 2020, 88, 103446. [Google Scholar] [CrossRef]
- Wu, D.; Li, X.; Tanaka, R.; Wood, J.C.; Tibbs-Cortes, L.E.; Magallanes-Lundback, M.; Bornowski, N.; Hamilton, J.P.; Vaillancourt, B.; Diepenbrock, C.H.; et al. Combining GWAS and TWAS to identify candidate causal genes for tocochromanol levels in maize grain. Genetics 2022, 221, iyac091. [Google Scholar] [CrossRef] [PubMed]
- Croatian Plant Genetic Resources Database. Available online: https://cpgrd.hapih.hr/gb/cm/main/accessions_list?has_document=ZEA (accessed on 2 April 2023).
- Leng, E.R.; Tavčar, A.; Trifunović, V. Maize of southeastern Europe and its potential value in breeding programs elsewhere. Euphytica 1962, 11, 263–272. [Google Scholar] [CrossRef]
- IBPGR. Descriptors for Maize; International Maize and Wheat Improvement Center: Mexico City, Mexico; International Board for Plant Genetic Resources: Rome, Italy, 1991.
- Kurilich, A.C.; Juvik, J.A. Quantification of carotenoid and tocopherol antioxidants in Zea mays. J. Agric. Food Chem. 1999, 47, 1948–1955. [Google Scholar] [CrossRef]
- Utz, H. PLABSTAT: A Computer Program for the Statistical Analysis of Plant Breeding Experiments, Version 3A; Institute for Plant Breeding, Seed Science and Population Genetics, University of Hohenheim: Stuttgart, Germany, 2010. [Google Scholar]
- Hallauer, A.R.; Carena, M.J.; Filho, J.B.M. Quantitative Genetics in Maize Breeding; Springer: New York, NY, USA, 2010. [Google Scholar]
- Falconer, D.S.; Mackay, T.F.C. Introduction to Quantitative Genetics, 4th ed.; Addison Wesley Longman: Harlow, UK, 1996. [Google Scholar]
- SAS Institute. Statistical Analysis Software (SAS) User’s Guide, version 9.4; SAS Institute Inc.: Cary, NC, USA, 2016. [Google Scholar]
- Goffman, F.D.; Böhme, T. Relationship between fatty acid profile and vitamin E content in maize hybrids (Zea mays L.). J. Agric. Food Chem. 2001, 49, 4990–4994. [Google Scholar] [CrossRef]
- Grams, G.W.; Blessin, C.W.; Inglett, G.E. Distribution of tocopherols within the corn kernel. J. Am. Oil Chem. Soc. 1970, 47, 337–339. [Google Scholar] [CrossRef]
- Galliher, H.L.; Alexander, D.E.; Weber, E.J. Genetic variability of alpha-tocopherol and gamma-tocopherol in corn embryos. Crop Sci. 1985, 25, 547–549. [Google Scholar] [CrossRef]
- Wong, J.C.; Lambert, R.J.; Tadmor, Y.; Rocheford, T.R. QTL associated with accumulation of tocopherols in maize. Crop Sci. 2003, 43, 2257–2266. [Google Scholar] [CrossRef]
- Hossain, A.; Jayadeep, A. Determination of tocopherol and tocotrienol contents in maize by in vitro digestion and chemical methods. J. Cereal Sci. 2018, 83, 90–95. [Google Scholar] [CrossRef]
- Suriano, S.; Balconi, C.; Valoti, P.; Redaelli, R. Comparison of total polyphenols, profile anthocyanins, color analysis, carotenoids and tocols in pigmented maize. LWT-Food Sci. Technol. 2021, 144, 111257. [Google Scholar] [CrossRef]
- Deepak, T.S.; Jayadeep, P.A. Prospects of Maize (Corn) Wet Milling By-Products as a Source of Functional Food Ingredients and Nutraceuticals. Food Technol. Biotechnol. 2022, 60, 109–120. [Google Scholar] [CrossRef] [PubMed]
- Chatham, L.A.; Paulsmeyer, M.; Juvik, J.A. Prospects for economical natural colorants: Insights from maize. Theor. Appl. Genet. 2019, 132, 2927–2946. [Google Scholar] [CrossRef] [PubMed]
- Saenz, E.; Abdala, L.J.; Borrás, L.; Gerde, J.A. Maize kernel color depends on the interaction between hardness and carotenoid concentration. J. Cereal Sci. 2020, 91, 102901. [Google Scholar] [CrossRef]
- Saenz, E.; Borrás, L.; Gerde, J.A. Carotenoid profiles in maize genotypes with contrasting kernel hardness. J. Cereal Sci. 2021, 99, 103206. [Google Scholar] [CrossRef]





| Source | df | Mean Square | ||||||||
|---|---|---|---|---|---|---|---|---|---|---|
| αT | γT | δT | ΣT | αT3 | γT3 | ΣT3 | ΣTT3 | αT/γT | ||
| Location (L) | 1 | 59.7 ** | 156.6 * | 0.0 | 412.7 ** | 1.9 * | 1.7 | 7.3 | 310.6 ** | 0.033 |
| Genotype (G) | 87 | 46.2 ** | 545.9 ** | 1.0 ** | 587.8 ** | 1.1 ** | 11.4 ** | 11.5 ** | 598.7 ** | 0.944 ** |
| G × L | 87 | 6.4 ** | 29.5 | 0.1 | 35.4 | 0.4 * | 2.1 | 2.6 | 38.6 | 0.083 ** |
| Error | 198 | 3.9 | 28.9 | 0.1 | 32.7 | 0.3 | 1.7 | 2.0 | 35.6 | 0.037 |
| Heritability | 0.86 | 0.95 | 0.90 | 0.95 | 0.66 | 0.82 | 0.77 | 0.94 | 0.91 | |
| Absolute Value | Relative Value | ||||||
|---|---|---|---|---|---|---|---|
| Trait | Mean | STDEV | Range | CV | % of ΣT | % of ΣT3 | % of ΣTT3 |
| μg g−1 | % | ||||||
| αT | 9.31 | 4.8 | 1.04–26.95 | 52 | 30 | 23.2 | |
| δT | 1.36 | 0.7 | 0.40–3.98 | 51 | 4 | 3.1 | |
| γT | 27.23 | 16.5 | 2.93–73.63 | 61 | 66 | 55 | |
| ΣT | 37.9 | 17.1 | 12.35–79.70 | 45 | 81.3 | ||
| αT3 | 2.96 | 0.7 | 1.60–5.44 | 24 | 43.5 | 8 | |
| γT3 | 4.41 | 2.4 | 1.29–12.47 | 54 | 56.5 | 10.7 | |
| ΣT3 | 7.37 | 2.4 | 3.60–15.60 | 33 | 18.7 | ||
| ΣTT3 | 45.26 | 17.3 | 18.15–85.20 | 38 | |||
| μg g−1/μg g−1 | % | ||||||
| αT/γT | 0.65 | 0.69 | 0.03–3.86 | 106 | |||
| Trait | αT | γT | αT/γT | δT | ΣT | αT3 | γT3 | ΣT3 |
|---|---|---|---|---|---|---|---|---|
| γT | −0.11 | |||||||
| αT/γT | 0.45 ** | −0.67 ** | ||||||
| δT | −0.22 * | 0.71 ** | −0.39 ** | |||||
| ΣT | 0.17 | 0.96 ** | −0.54 ** | 0.66 ** | ||||
| αT3 | 0.44 ** | −0.49 ** | 0.60 ** | −0.33 ** | −0.37 ** | |||
| γT3 | −0.34 ** | 0.21 | −0.33 ** | 0.20 | 0.11 | −0.14 | ||
| ΣT3 | −0.21 | 0.05 | −0.14 | 0.10 | −0.01 | 0.17 | 0.95 ** | |
| ΣTT3 | 0.14 | 0.96 ** | −0.55 ** | 0.67 ** | 0.99 ** | −0.34 ** | 0.24 * | 0.14 |
| SC | Parameter | αT | γT | δT | ΣT | αT3 | γT3 | ΣT3 | ΣTT3 | αT/γT |
|---|---|---|---|---|---|---|---|---|---|---|
| μg g−1 | ||||||||||
| Mean all | 9.31 | 27.23 | 1.36 | 37.89 | 2.96 | 4.41 | 7.37 | 45.26 | 0.65 | |
| αT | Mean selected | 16.20 | 28.96 | 1.23 | 46.39 | 3.22 | 3.06 | 6.28 | 52.67 | 0.87 |
| SD | 6.89 ** | 1.73 | −0.13 | 8.50 | 0.26 | −1.35 * | −1.09 | 7.41 | 0.22 | |
| R | 5.94 | 1.64 | −0.12 | 7.99 | 0.17 | −1.10 | −0.84 | 6.93 | 0.20 | |
| R (%) | 64 | 6 | −9 | 21 | 6 | −25 | −11 | 15 | 31 | |
| αT/γT | Mean selected | 11.18 | 7.88 | 0.98 | 20.04 | 3.68 | 3.38 | 7.06 | 27.11 | 1.75 |
| SD | 1.87 | −19.35 ** | −0.38 ** | −17.85 ** | 0.72 * | −1.03 | −0.31 | −18.15 ** | 1.10 ** | |
| R | 1.61 | −18.30 | −0.34 | −16.77 | 0.47 | −0.84 | −0.24 | −16.98 | 1.01 | |
| R (%) | 17 | −67 | −25 | −44 | 16 | −19 | −3 | −38 | 155 | |
Disclaimer/Publisher’s Note: The statements, opinions and data contained in all publications are solely those of the individual author(s) and contributor(s) and not of MDPI and/or the editor(s). MDPI and/or the editor(s) disclaim responsibility for any injury to people or property resulting from any ideas, methods, instructions or products referred to in the content. |
© 2024 by the authors. Licensee MDPI, Basel, Switzerland. This article is an open access article distributed under the terms and conditions of the Creative Commons Attribution (CC BY) license (https://creativecommons.org/licenses/by/4.0/).
Share and Cite
Šarčević, H.; Bukan, M.; Galić, V.; Jambrović, A.; Kljak, K.; Buhiniček, I.; Pejić, I.; Kiš, G.; Šimić, D. Genetic Variability of Tocol Content in a Genebank Collection of Temperate Maize Inbred Lines from Southeastern Europe. Agronomy 2024, 14, 269. https://doi.org/10.3390/agronomy14020269
Šarčević H, Bukan M, Galić V, Jambrović A, Kljak K, Buhiniček I, Pejić I, Kiš G, Šimić D. Genetic Variability of Tocol Content in a Genebank Collection of Temperate Maize Inbred Lines from Southeastern Europe. Agronomy. 2024; 14(2):269. https://doi.org/10.3390/agronomy14020269
Chicago/Turabian StyleŠarčević, Hrvoje, Miroslav Bukan, Vlatko Galić, Antun Jambrović, Kristina Kljak, Ivica Buhiniček, Ivan Pejić, Goran Kiš, and Domagoj Šimić. 2024. "Genetic Variability of Tocol Content in a Genebank Collection of Temperate Maize Inbred Lines from Southeastern Europe" Agronomy 14, no. 2: 269. https://doi.org/10.3390/agronomy14020269
APA StyleŠarčević, H., Bukan, M., Galić, V., Jambrović, A., Kljak, K., Buhiniček, I., Pejić, I., Kiš, G., & Šimić, D. (2024). Genetic Variability of Tocol Content in a Genebank Collection of Temperate Maize Inbred Lines from Southeastern Europe. Agronomy, 14(2), 269. https://doi.org/10.3390/agronomy14020269

