The Effect of Using Elements of Sustainable Agrotechnology in Spring Wheat (Triticum aestivum L.) Monoculture
Abstract
1. Introduction
2. Materials and Methods
2.1. Experiment Site
2.2. Experiment Design
- −
- Straw + post-harvest grubber + winter plowing—A1.
- −
- Mulch + winter plowing—A2.
- −
- Mulch + spring plowing—A3.
- −
- Straw + catch crop + winter grubber + spring grubber—A4.
- −
- Straw + catch crop + winter plowing—A5.
- −
- Stubble + post-harvest grubber + winter plowing—A6.
- −
- EM-1 (B1).
- −
- UGmax (B2).
- −
- Control—without the use of microbiological preparations (B3).
- −
- Straw—in 2010, winter rapeseed straw; in subsequent years, spring wheat straw that was crushed during harvesting.
- −
- Straw + post-harvest grubber—crushed straw of forecrop mixed with the soil using a grubber to a depth of 25 cm; performed immediately after harvesting the forecrop.
- −
- Grubber—Grubber Lemken Terra Cult vibro.
- −
- Winter grubber—grubber used in the second week of November.
- −
- Spring grubber—grubber applied a week before sowing.
- −
- Winter plowing—plowing to a depth of 25 cm in the second decade of November; Kverneland EM 100 reversible plow/4 furrow/with Packomat.
- −
- Spring plowing—plowing to a depth of 20 cm two weeks before sowing spring wheat.
- −
- Mulch—shredded forecrop straw left on the soil surface.
- −
- Catch crop—white mustard sown in the amount of 15 kg·hm−2 of seeds in the 2nd–3rd weeks of August.
- −
- Stubble—straw collected and transported outside the field.
- −
- EM-1—application 20.0 dm3∙hm−2 on crushed straw or stubble; https://greenland.pl/produkt/preparat-em-1/. Access date 10 November 2023
- −
- UGmax—application of 1.0 dm3∙hm−2 on crushed straw or stubble; http://bogdan.agro.pl/. Access date 10 November 2023
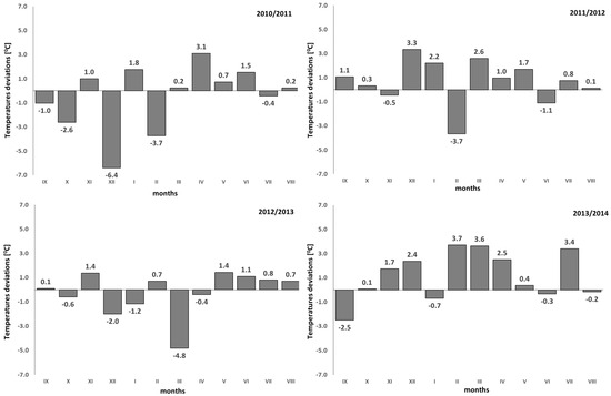
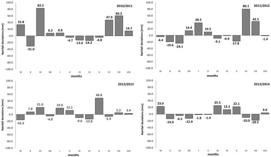
2.3. Precipitation and Air Temperature
2.4. Elements of Agrotechnical Practices
2.5. Samples and Measurements
- −
- Plant density BBCH 11–12 (the results are not presented in the manuscript).
- −
- Chlorophyll index SPAD (Yara N-tester TM, Oslo, Norway, https://www.yara.my/contentassets/6d5ba39b1a364a33be1e4e6b6b2a2be1/n-tester-instruction-manual.pdf/, access date 10 November 2023).
- −
- Leaf area index (LAI) (plant canopy analyzer Li 2000 (Li Cor, Lincoln, NE, USA). https://licor.app.boxenterprise.net/s/q6hrj6s79psn7o8z2b2s, access date 10 November 2023).
- −
- Stem length—measured from the soil surface to the end of the ear.
- −
- Ear density BBCH 89.
- −
- Weight of a thousand grains.
- −
- Grains per ear.
- −
- Grain yield.
2.6. Data Analysis
3. Results and Discussion
3.1. Weed Infestation
3.2. Chlorophyll Index SPAD
3.3. Leaf Area Index LAI
3.4. Elements of Yield Structure
3.5. Grain Yield
3.6. Significance of the Influence of Factors
4. Conclusions
Author Contributions
Funding
Data Availability Statement
Conflicts of Interest
References
- Fróna, D.; Szenderák, J.; Harangi-Rákos, M. The Challenge of Feeding the World. Sustainability 2019, 11, 5816. [Google Scholar] [CrossRef]
- Tadesse, W.; Halila, H.; Jamal, M.; El-Hanafi, S.; Assefa, S.; Owsis, T.; Baum, M. Role of sustainable wheat production to ensure food security in the cwana region. J. Exp. Biol. Agric. Sci. 2017, 11, 5816. [Google Scholar] [CrossRef]
- Johansson, E.; Muneer, F.; Prade, T. Plant Breeding to Mitigate Climate Change—Present Status and Opportunities with an Assessment of Winter Wheat Cultivation in Northern Europe as an Example. Sustainability 2023, 15, 12349. [Google Scholar] [CrossRef]
- Jalli, M.; Huusela, E.; Jalli, H.; Kauppi, K.; Niemi, M.; Himanen, S.; Jauhiainen, L. Effects of Crop Rotation on Spring Wheat Yield and Pest Occurrence in Different Tillage Systems: A Multi-Year Experiment in Finnish Growing Conditions. Front. Sustain. Food Syst. 2021, 5, 647335. [Google Scholar] [CrossRef]
- Sieling, K.; Stahl, C.; Winkelmann, C.; Christen, O. Growth and yield of winter wheat in the first 3 years of a monoculture under varying N fertilization in NW Germany. Eur. J. Agron. 2005, 22, 71–84. [Google Scholar] [CrossRef]
- Mamolos, A.P.; Kalburtji, K.L. Significance of allelopathy in crop rotation. J. Crop Prod. 2001, 4, 197–218. [Google Scholar] [CrossRef]
- Barbieri, P.; Pellerin, S.; Nesme, T. Comparing crop rotations between organic and conventional farming. Sci. Rep. 2017, 7, 13761. [Google Scholar] [CrossRef] [PubMed]
- Prus, P. The Role of Higher Education in Promoting Sustainable Agriculture. J. East Eur. Manag. Studies Corp. Soc. Responsib. Bus. Ethics Cent. East. Eur. 2019, 99–119. Available online: https://www.nomos-elibrary.de/10.5771/9783845298696/corporate-social-responsibility-and-business-ethics-in-the-central-and-eastern-europe?page=1 (accessed on 10 November 2023).
- Prus, P. Sustainable farming production and its impact on the natural environment-case study based on a selected group of farmers. In Proceedings of the 8th International Scientific Conference Rural Development 2017: Bioeconomy Challenges, Aleksandras Stulginskis University, Kaunas, Lithuania, 23–24 November 2017; Raupeliene, A., Ed.; VDU Research Management System: Kaunas, Lithuania, 2017; pp. 1280–1285. Available online: http://conf.rd.asu.lt/index.php/rd/article/view/554 (accessed on 10 November 2023).
- Deng, J.; Ni, H.; Zhang, Z.; Usman, S.; Yang, X.; Shen, Y.; Li, Y. Designing productive, energy-efficient, and environmentally friendly production systems by replacing fallow period with annual forage cultivation on the Loess Plateau of China. J. Clean. Prod. 2021, 320, 128660. [Google Scholar] [CrossRef]
- Bommarco, R.; Kleijn, D.; Potts, S.G. Ecological intensification: Harnessing ecosystem services for food security. Trends Ecol. Evol. 2013, 28, 230–238. [Google Scholar] [CrossRef]
- Bouatrous, A.; Harbaoui, K.; Karmous, C.; Gargouri, S.; Souissi, A.; Belguesmi, K.; Cheikh Mhamed, H.; Gharbi, M.S.; Annabi, M. Effect of Wheat Monoculture on Durum Wheat Yield under Rainfed Sub-Humid Mediterranean Climate of Tunisia. Agronomy 2022, 12, 1453. [Google Scholar] [CrossRef]
- EU 2020. Biodiversity Strategy for 2030. Available online: https://eur-lex.europa.eu/legal-content/EN/TXT/?qid=1590574123338&uri=CELEX:52020DC0380 (accessed on 7 December 2023).
- Wezel, A.; Casagrande, M.; Celette, F.; Vian, J.F.; Ferrer, A.; Peigne, J. Agroecological practices for sustainable agriculture. A review. Agron. Sust. Dev. 2014, 34, 1–20. [Google Scholar] [CrossRef]
- Wanic, M.; Żuk-Gołaszewska, K.; Orzech, K. Catch crops and the soil environment—A review of the literature. J. Elem. 2019, 24, 31–45. [Google Scholar] [CrossRef]
- Leys, A.; Govers, G.; Gillijns, K.; Berckmoes, E.; Takken, I. Scale effects of runoff and erosion loess from arable land under conservation and conventional tillage: The role of residue cover. J. Hydrol. 2010, 390, 143–154. [Google Scholar] [CrossRef]
- Gruber, S.; Mohring, J.; Claupein, W. On the way towards conservation tillage-soil moisture and mineral nitrogen in a long-term field experiment in Germany. Soil Till Res. 2011, 115–116, 80–87. [Google Scholar] [CrossRef]
- Kumar, K.; Goh, K.M. Crop Residues and Management Practices: Effects on Soil Quality, Soil Nitrogen Dynamics, Crop Yield, and Nitrogen Recovery. Adv. Agron. 1999, 68, 197–319. [Google Scholar] [CrossRef]
- Pranagla, J.; Ligęza, S.; Smal, H. Impact of Effective Microorganisms (EM) Application on the Physical Condition of Haplic Luvisol. Agronomy 2020, 10, 1049. [Google Scholar] [CrossRef]
- Jaskulska, I.; Romaneckas, K.; Jaskulski, D.; Gałęzewski, L.; Breza-Boruta, B.; Dębska, B.; Lemanowicz, J. Soil Properties after Eight Years of the Use of Strip-Till One-Pass Technology. Agronomy 2020, 10, 1596. [Google Scholar] [CrossRef]
- WRB. World Reference Base for Soil Resources 2014. In International Soil Classification System for Naming Soils and Creating Legends for Soil Maps; IUSSWorking Group WRB, World Soil Resources Reports No. 106; FAO: Rome, Italy, 2014. [Google Scholar]
- Gomez, K.A.; Gomez, A.A. Statistical Procedures for Agricultural Research; John Wiley & Sons: Hoboken, NJ, USA, 1984. [Google Scholar]
- Kwiatkowski, C.; Harasim, E.; Wesołowski, M. Effects of Catch Crops and Tillage System on Weed Infestation and Health of Spring Wheat. J. Agric. Sci. Technol. 2016, 18, 999–1012. [Google Scholar]
- Gaweda, D.; Kwiatkowski, C.A. Weed infestation of spring common wheat (Triticum aestivum L.) grown in monoculture depending on the cover crop and weed control method. Acta Agrobot. 2012, 65, 119–126. [Google Scholar] [CrossRef][Green Version]
- Maclaren, C.; Labuschagne, J.; Swanepoel, P.A. Tillage practices affect weeds differently in monoculture vs. crop rotation. Soil Tillage Res. 2021, 205, 104795. [Google Scholar] [CrossRef]
- Mitchell, J.P.; Carter, L.M.; Reicosky, D.C.; Shrestha, A.; Pettygove, G.S.; Klonsky, K.M.; Marcum, D.B.; Chessman, D.; Roy, R.; Hogan, P.; et al. A history of tillage in California’s Central Valley. Soil Tillage Res. 2016, 157, 52–64. [Google Scholar] [CrossRef]
- Giller, K.E.; Andersson, J.A.; Corbeels, M.; Kiregaard, J.; Mortensen, D.; Erenstein, O.; Vanlauwe, B. Beyond conservation agriculture. Front. Plant Sci. 2015, 6, 870. [Google Scholar] [CrossRef] [PubMed]
- Kirkegaard, J.A.; Convers, M.K.; Hunt, J.R.; Kirkby, C.A.; Watt, M.; Rebetzke, G.J. Sense and nonsense in conservation agriculture: Principles, pragmatism and productivity in Australian mixed farming systems. Agric. Ecosyst. Environ. 2014, 187, 133–145. [Google Scholar] [CrossRef]
- Fonteyne, S.; Singh, R.G.; Govaerts, B.; Verhulst, N. Rotation, Mulch and Zero Tillage Reduce Weeds in a Long-Term Conservation Agriculture Trial. Agronomy 2020, 10, 962. [Google Scholar] [CrossRef]
- Lamparski, R.; Kotwica, K. Effect of the use of pro-ecological treatments and previous crop straw on the weed infestation of winter wheat and spring barley cultivated as short-term monoculture. Acta Sci. Pol. Agric. 2020, 19, 201–212. [Google Scholar]
- Janusauskaite, D.; Feiziene, D.; Feiza, V. The effect of tillage, fertilization and residue management on winter wheat and spring wheat physiological performance. Acta Physiol. Plant. 2022, 44, 75. [Google Scholar] [CrossRef]
- Majchrzak, L.; Skrzypczak, G. The influence of tillage system on physical soil properties and yielding of spring wheat. Ann. UMCS Agric. 2010, 65, 1–9. [Google Scholar] [CrossRef]
- He, J.; Shi, Y.; Zhao, J.; Yu, Z. Strip rotary tillage with subsoiling increases winter wheat yield by alleviating leaf senescence and increasing grain filling. Crop J. 2020, 8, 327–340. [Google Scholar] [CrossRef]
- Yadav, K.; Rohitashav, S.; Shukla, D.K.; Kumar, J.; Nayak, P.; Naresh, R.; Gaurav, K.; Mangaraj, A. Effect of different tillage and nutrient management practices on initial population and SPAD value in wheat (Triticum aestivum L.). Pharma Innov. J. 2022, 11, 408–412. [Google Scholar]
- Kraska, P.; Andruszczak, S.; Kwiecińska-Poppe, E.; Pałys, E. The effect of tillage systems and catch crops on the yield, grain quality and health of spring wheat. Acta Sci. Pol. Agric. 2014, 13, 21–38. [Google Scholar]
- Adil, M.; Zhang, S.; Wang, J.; Shah, A.N.; Tanveer, M.; Fiaz, S. Effects of Fallow Management Practices on Soil Water, Crop Yield and Water Use Efficiency in Winter Wheat Monoculture System: A Meta-Analysis. Front. Plant Sci. 2022, 13, 825309. [Google Scholar] [CrossRef] [PubMed]
- Qi, G.; Kang, Y.; Yin, M.; Ma, Y.; Bai, Y.; Wang, J. Yield Responses of Wheat to Crop Residue Returning in China: A Meta-Analysis. Crop Sci. 2019, 59, 2185–2200. [Google Scholar] [CrossRef]
- Pawłowski, L.; Kwiatkowski, C.A.; Harasim, E.; Klikocka-Wiśniewska, O.; Cel, W.; Kujawska, J. Environmental Benefits of Catch Crops Cultivation. Chem.-Didact.-Ecol.-Metrol. 2021, 26, 109–121. [Google Scholar] [CrossRef]
- Kwiatkowski, C.A.; Harasim, E.; Staniak, M. Effect of catch crops and tillage systems on some chemical properties of loess soil in a short-term monoculture of spring wheat. J. Elem. 2020, 25, 35–43. [Google Scholar] [CrossRef]
- Yu, Q.; Li, L.; Luo, Q.; Eamusa, D.; Chen, C.; Xu, S.; Wang, E.; Liu, J.; Nielsena, D.C. Year Patterns of Climate Impact on Wheat Yields. Int. J. Clim. 2014, 34, 518–528. [Google Scholar] [CrossRef]
- Jaskulska, I.; Jaskulski, D.; Różniak, M.; Radziemska, M.; Gałęzewski, L. Zonal Tillage as Innovative Element of the Technology of Growing Winter Wheat: A Field Experiment under Low Rainfall Conditions. Agriculture 2020, 10, 105. [Google Scholar] [CrossRef]







| Month | ||||||||||||
|---|---|---|---|---|---|---|---|---|---|---|---|---|
| I | II | III | IV | V | VI | VII | VIII | IX | X | XI | XII | |
| Rainfall sums [mm] | 21.9 | 22.3 | 29.9 | 31.6 | 49.1 | 69.7 | 79.9 | 57.5 | 47.3 | 35.6 | 32.6 | 30.1 |
| Average monthly air Temperatures [°C] | −1.8 | −0.5 | 2.8 | 7.9 | 13.9 | 16.7 | 18.6 | 18.5 | 13.2 | 8.5 | 3.1 | −1.1 |
| Weed Species | Management of Organic Matter before Sowing and Tillage | Mean | LSD0.05 | ||||||
|---|---|---|---|---|---|---|---|---|---|
| A6 | A1 | A2 | A3 | A4 | A5 | ||||
| Echinochloa crus-galli | 2011 | 3.9 | 3.3 | 3.6 | 3.5 | 3.3 | 3.6 | 3.5 | n.s. ** |
| 2012 | 2.1 b * | 3.2 ab | 3.3 ab | 3.8 a | 3.9 a | 2.7 ab | 3.2 | 1.49 | |
| 2013 | 3.4 b | 4.2 ab | 4.3 ab | 6.1 a | 6.0 a | 4.2 ab | 4.7 | 2.16 | |
| 2014 | 1.7 d | 3.4 cd | 3.6 abc | 6.8 a | 5.3 ab | 2.9 cd | 4.0 | 1.81 | |
| 2011–2014 | 2.8 c | 3.5 bc | 3.7 bc | 5.0 a | 4.6 ab | 3.3 c | 3.8 | 1.24 | |
| Viola arvensis | 2011 | 4.8 c | 6.4 bc | 7.0 b | 9.3 a | 6.6 bc | 5.7 bc | 6.6 | 2.18 |
| 2012 | 7.5 b | 8.7 ab | 11.1 a | 10.0 ab | 11.0 a | 9.2 ab | 9.6 | 2.91 | |
| 2013 | 6.5 b | 9.8 b | 11.1 b | 16.2 a | 9.1 b | 8.7 b | 10.2 | 4.90 | |
| 2014 | 7.0 c | 8.4 c | 16.5 a | 13.4 b | 8.0 c | 7.3 c | 7.0 | 2.63 | |
| 2011–2014 | 6.4 c | 8.3 c | 11.4 ab | 12.2 a | 8.7 bc | 7.7 c | 6.4 | 3.01 | |
| Stellaria media | 2011 | 2.1 d | 3.9 bc | 4.1 bc | 5.3 ab | 6.4 a | 2.3 cd | 4.0 | 1.61 |
| 2012 | 3.9 b | 3.8 b | 4.1 b | 4.6 b | 6.7 a | 4.9 ab | 4.7 | 2.09 | |
| 2013 | 4.1 c | 5.2 bc | 5.8 b | 8.6 a | 7.6 a | 4.9 bc | 6.0 | 1.50 | |
| 2014 | 5.3 c | 6.1 c | 6.9 bc | 9.8 a | 9.4 ab | 5.7 c | 7.2 | 2.71 | |
| 2011–2014 | 3.8 b | 4.7 b | 5.2 b | 7.1 a | 7.5 a | 4.4 b | 3.8 | 1.80 | |
| Chenopodium album | 2011 | 6.8 | 6.7 | 7.0 | 7.4 | 6.1 | 7.7 | 6.9 | n.s. |
| 2012 | 5.8 | 6.3 | 5.8 | 8.5 | 6.9 | 7.3 | 6.8 | n.s. | |
| 2013 | 5.1 b | 5.5 b | 5.1 b | 14.9 a | 10.7 a | 4.3 b | 7.6 | 4.23 | |
| 2014 | 5.0 c | 6.0 bc | 5.6 bc | 17.2 a | 9.6 b | 5.5 c | 8.1 | 4.08 | |
| 2011–2014 | 5.7 b | 6.1 b | 5.9 b | 12.0 a | 8.3 b | 6.2 b | 5.7 | 3.54 | |
| Apera spica-venti | 2011 | 7.8 d | 13.2 bc | 10.8 cd | 17.3 a | 15.6 ab | 9.7 d | 12.4 | 3.47 |
| 2012 | 7.7 d | 17.0 c | 18.4 bc | 23.5 ab | 24.9 a | 13.8 c | 17.6 | 5.69 | |
| 2013 | 8.9 d | 14.6 c | 12.5 cd | 37.5 a | 32.6 b | 10.6 cd | 19.5 | 4.44 | |
| 2014 | 8.4 b | 12.5 b | 14.4 b | 38.0 a | 31.7 a | 10.5 b | 19.2 | 6.60 | |
| 2011–2014 | 8.2 b | 14.3 b | 14.0 b | 29.1 a | 26.2 a | 11.1 b | 8.2 | 10.38 | |
| Avena fatua | 2011 | 1.8 | 2.2 | 2.3 | 2.0 | 2.1 | 1.4 | 2.0 | n.s. |
| 2012 | 2.1 | 2.3 | 2.3 | 2.6 | 3.1 | 2.8 | 2.5 | n.s. | |
| 2013 | 1.8 b | 3.2 ab | 3.2 ab | 5.0 a | 4.3 a | 2.6 b | 3.3 | 2.21 | |
| 2014 | 1.3 b | 4.1 ab | 4.8 a | 5.6 a | 5.1 a | 3.8 ab | 4.1 | 2.86 | |
| 2011–2014 | 1.7 c | 2.9 ab | 3.2 ab | 3.8 a | 3.6 ab | 2.6 bc | 3.0 | 1.09 | |
| Others | 2011–2014 | 10.9 c | 14.0 ab | 13.7 ab | 14.7 a | 13.8 ab | 12.5 bc | 10.9 | 1.88 |
| Weeds Total | 2011 | 38.1 d | 47.0 bc | 47.0 bc | 57.4 a | 54.7 ab | 43.6 cd | 48.0 | 8.82 |
| 2012 | 41.1 d | 55.0 c | 59.2 bc | 67.7 ab | 70.0 a | 53.8 c | 57.8 | 9.10 | |
| 2013 | 40.9 e | 57.8 c | 55.8 cd | 105.4 a | 84.9 b | 47.5 de | 65.4 | 8.80 | |
| 2014 | 38.1 e | 56.0 cd | 65.7 c | 104.9 a | 81.6 b | 46.9 de | 65.5 | 10.41 | |
| 2011–2014 | 39.5 c | 53.9 bc | 56.9 bc | 83.9 a | 72.8 ab | 48.0 c | 59.2 | 20.28 | |
| Applying Microbiological Preparations [B] | Management of Organic Matter before Sowing and Tillage [A] | Mean [A] | |||||
|---|---|---|---|---|---|---|---|
| A6 | A2 | A3 | A4 | A5 | A1 | ||
| BBCH 32–37 | |||||||
| Mean [B] | 460 AB | 434 BC | 409 C | 418 C | 460 AB | 466 A | 441 |
| LSD0.05 dla: A = 31.0; B = n.s. B/A = n.s; A/B = n.s. | |||||||
| BBCH 51–55 | |||||||
| EM | 496 ABa | 460 BCa | 440 Ca | 469 ABCa | 516 Aa | 515 Aa | 483 a |
| UGmax | 493 ABCa | 460 CDa | 438 Da | 472 BCDa | 523 ABa | 533 Aa | 486 a |
| Control | 507 Aa | 468 ABa | 450 Ba | 451 Ba | 475 ABb | 463 ABb | 469 a |
| Mean [B] | 499 A | 463 B | 443 B | 464 B | 505 A | 504 A | 479 |
| LSD0.05 dla: A = 31.9; B = n.s. B/A = 41.0; A/B = 51.6 | |||||||
| Applying Microbiological Preparations [B] | Management of Organic Matter before Sowing and Tillage [A] | Mean [A] | |||||
|---|---|---|---|---|---|---|---|
| A6 | A2 | A3 | A4 | A5 | A1 | ||
| BBCH 37–39 | |||||||
| Mean [B] | 2.36 A | 2.35 A | 2.16 BC | 2.10 C | 2.32 A | 2.31 AB | 2.27 |
| LSD0.05 A = 0.154; B = n.s. B/A = n.s.; A/B = n.s. | |||||||
| BBCH 49–51 | |||||||
| Mean [B] | 3.74 A | 3.72 A | 3.25 B | 3.15 B | 3.72 A | 3.68 A | 3.54 |
| LSD0.05 A = 0.359; B = n.s. B/A = n.s.; A/B = n.s. | |||||||
| BBCH 75–87 | |||||||
| Mean [B] | 2.71 A | 2.73 A | 2.34 B | 2.37 B | 2.79 A | 2.68 A | 2.77 |
| LSD0.05 A = 0.250; B = n.s. B/A = n.s.; A/B = n.s. | |||||||
| BBCH 37–87 (mean) | |||||||
| EM | 2.90 ABa | 2.99 Aa | 2.62 Ba | 2.61 Ba | 2.93 Aa | 2.99 Aa | 2.84 a |
| UGmax. | 2.98 Aa | 2.98 Aa | 2.49 Ba | 2.43 Ba | 3.00 Aa | 2.97 Aab | 2.81 a |
| Control | 2.94 Aa | 2.84 ABa | 2.64 ABa | 2.59 Ba | 2.92 Aa | 2.70 ABb | 2.77 a |
| Mean [B] | 2.94 A | 2.94 A | 2.58 BC | 2.54 C | 2.95 A | 2.89 AB | 2.81 |
| LSD0.05 A = 0.267; B = n.s. B/A = 0.182; A/B = 0.323 | |||||||
| Applying Microbiological Preparations [B] | Management of Organic Matter before Sowing and Tillage [A] | Mean [A] | |||||
|---|---|---|---|---|---|---|---|
| A6 | A2 | A3 | A4 | A5 | A1 | ||
| Ear density [pcs.m−2] | |||||||
| Mean [B] | 392 AB | 402 A | 357 C | 374 BC | 392 AB | 402 A | 387 |
| LSD0.05 A = 21.3; B = n.s. B/A = n.s.; A/B = n.s. | |||||||
| Grains per ear [pcs.] | |||||||
| Mean [B] | 38.5 AB | 37.8 B | 40.2 A | 38.4 B | 38.8 AB | 38.0 B | 38.6 |
| LSD0.05 A = 1.746; B = n.s. B/A = n.s.; A/B = n.s. | |||||||
| Weight of a thousand grains [g] | |||||||
| Mean [B] | 45.2 AB | 42.7 C | 46.1 A | 44.3 ABC | 46.0 A | 43.5 BC | 44.6 |
| LSD0.05 A = 2.35; B = n.s. B/A = n.s.; A/B = n.s. | |||||||
| Weight of grains per ear [g] | |||||||
| EM | 1.55 Aa | 1.54 Aa | 1.62 Aa | 1.56 Aa | 1.61 Aa | 1.61 Aa | 1.58 a |
| UGmax | 1.62 Aa | 1.58 Aa | 1.63 Aa | 1.56 Aa | 1.61 Aa | 1.59 Aa | 1.60 a |
| K | 1.62 Aa | 1.59 Aa | 1.66 Aa | 1.61 Aa | 1.60 Aa | 1.42 Bb | 1.58 a |
| Mean [B] | 1.59 AB | 1.57 BC | 1.64 A | 1.58 BC | 1.61 AB | 1.54 C | 1.59 |
| LSD0.05 A = 0.06; B = n.s. B/A = 0.13; A/B = 1.3 | |||||||
| Feature | Years × Factor | Factor | Years × Factor Interaction | Factor Interaction | ||
|---|---|---|---|---|---|---|
| I | II | I | II | |||
| Density of Echinochloa crus-galli | + | - | + | - | - | - |
| Density of Viola arvensis | + | - | + | - | - | - |
| Density of Stellaria media | + | - | + | - | - | - |
| Density of Chenopodium album | + | - | + | - | - | - |
| Density of Apera spica-venti | + | - | + | - | - | - |
| Density of Avena fatua | + | - | + | - | - | - |
| Density of other weed species | - | - | + | - | - | - |
| Total weed density | + | - | + | + | - | - |
| Chlorophyll index SPAD (BBCH 32–37) | - | - | + | - | - | - |
| Chlorophyll index SPAD (BBCH 51–55) | - | - | + | - | - | + |
| Leaf area index LAI (BBCH 37–39) | - | - | + | - | - | - |
| Leaf area index LAI (BBCH 49–51) | + | - | + | - | - | - |
| Leaf area index LAI (BBCH 75–87) | - | - | + | - | - | + |
| Leaf area index LAI—średnio | - | - | + | - | - | + |
| Ear density | - | - | + | - | - | - |
| Grains per ear | + | - | + | - | - | - |
| Weight of a thousand grains | + | - | + | - | - | - |
| Grains per ear | - | - | + | - | - | + |
| Grain yield | + | - | + | - | - | + |
Disclaimer/Publisher’s Note: The statements, opinions and data contained in all publications are solely those of the individual author(s) and contributor(s) and not of MDPI and/or the editor(s). MDPI and/or the editor(s) disclaim responsibility for any injury to people or property resulting from any ideas, methods, instructions or products referred to in the content. |
© 2024 by the authors. Licensee MDPI, Basel, Switzerland. This article is an open access article distributed under the terms and conditions of the Creative Commons Attribution (CC BY) license (https://creativecommons.org/licenses/by/4.0/).
Share and Cite
Kotwica, K.; Gałęzewski, L.; Kubiak, W. The Effect of Using Elements of Sustainable Agrotechnology in Spring Wheat (Triticum aestivum L.) Monoculture. Agronomy 2024, 14, 261. https://doi.org/10.3390/agronomy14020261
Kotwica K, Gałęzewski L, Kubiak W. The Effect of Using Elements of Sustainable Agrotechnology in Spring Wheat (Triticum aestivum L.) Monoculture. Agronomy. 2024; 14(2):261. https://doi.org/10.3390/agronomy14020261
Chicago/Turabian StyleKotwica, Karol, Lech Gałęzewski, and Waldemar Kubiak. 2024. "The Effect of Using Elements of Sustainable Agrotechnology in Spring Wheat (Triticum aestivum L.) Monoculture" Agronomy 14, no. 2: 261. https://doi.org/10.3390/agronomy14020261
APA StyleKotwica, K., Gałęzewski, L., & Kubiak, W. (2024). The Effect of Using Elements of Sustainable Agrotechnology in Spring Wheat (Triticum aestivum L.) Monoculture. Agronomy, 14(2), 261. https://doi.org/10.3390/agronomy14020261
