Analysis of Salt Tolerance of ‘Golden Gold’ Peach Varieties
Abstract
1. Introduction
2. Materials and Methods
2.1. Experimental Materials
2.2. Methods
2.2.1. Test Treatments
2.2.2. Sampling
2.2.3. Determination of Photosynthetic Indexes
2.2.4. Determination of Activity of Photocooperative Enzymes, Antioxidant Enzymes, and the Contents of MDA, Proline, Na+,and K+
2.2.5. Comprehensive Evaluation of Salt Resistance of ‘Golden Gold’ Series Varieties Under Salt Stress
- (1)
- Salt tolerance coefficient (β):
- (2)
- Principal component analysis: The salt tolerance coefficient (β) of the individual indicators was analyzed as a principal component and converted into a new independent composite indicator.
- (3)
- Analysis via the affiliation function method. The value of the affiliation function of the composite indicator is obtained using the following formula:
- (4)
- Determination of weights: The formula for calculating the weights is as follows:
- (5)
- The comprehensive evaluation is as follows:
2.3. Data Processing and Analysis
3. Results
3.1. Effects of Salt Stress on Photosynthetic Characteristics in ‘Golden Gold’ Peach Leaves
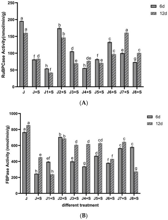
3.2. Effects of Salt Stress on Photosynthetic Enzyme Activities in ‘Golden Gold’ Peach Leaves
3.2.1. Effect of Salt Stress on Photosynthetic Enzyme Activity (RuBPCase)
3.2.2. Effect of Salt Stress on Photosynthetic Enzyme Activity (FBPase)
3.3. Effects of Salt Stress on Antioxidant Oxidase Activities and MDA and Proline Contents in ‘Golden Gold’ Peach Leaves
3.3.1. Effects of Salt Stress on Peroxidase (POD) Activity in ‘Golden Gold’ Peach Leaves
3.3.2. Effects of Salt Stress on Catalase (CAT) Activity in ‘Golden Gold’ Peach Leaves
3.3.3. Effects of Salt Stress on Superoxide Dismutase (SOD) Activity in ‘Golden Gold’ Peach Leaves
3.3.4. Effects of Salt Stress on the Activity of Ascorbate Peroxidase (APX) in ‘Golden Gold’ Peach Leaves
3.3.5. Effects of Salt Stress on Malondialdehyde (MDA) Content in ‘Golden Gold’ Peach Leaves
3.3.6. Proline Content in ‘Golden Gold’ Peach Leaves Under Salt Stress
3.4. Na+ and K+ Accumulation in the Roots and Leaves of ‘Golden Gold’ Peach Under Salt Stress
3.4.1. Na+ Accumulation in the Roots of ‘Golden Gold’ Peaches Under Salt Stress
3.4.2. Na+ Accumulation in ‘Golden Gold’ Peach Leaves Under Salt Stress
3.4.3. K+ Accumulation in the Roots of ‘Golden Gold’ Peaches Under Salt Stress
3.4.4. K+ Accumulation in ‘Golden Gold’ Peach Leaves Under Salt Stress
3.5. Comprehensive Evaluation of Salt Tolerance of ‘Golden Gold’ Peach Under Salt Stress Using Membership Function Method
4. Discussion
4.1. Effect of Salt Stress on Photosynthetic Characteristics of ‘Golden Gold’ Peach Leaves
4.2. Effects of Salt Stress on Antioxidant System in ‘Golden Gold’ Peach Leaves
4.3. Effects of Salt Stress on Na+ and K+ Accumulation in the Roots and Leaves of ‘Golden Gold’ Peaches
5. Conclusions
Author Contributions
Funding
Data Availability Statement
Conflicts of Interest
References
- Liu, J.; Xue, G.H.; Liu, C.S. Selection and breeding of new peach yellow flesh variety ‘Golden Gold No. 2’. China Fruit Tree 2019, 83–84. [Google Scholar] [CrossRef]
- Liu, J.; Peng, F.; Zhang, A.; Yang, C.; Li, G. Selection and breeding of a new off-core yellow peach variety ‘Golden Gold No.6’. North Hortic. 2022, 158–160. Available online: https://caod.oriprobe.com/articles/62914382/li_he_huang_tao_xin_pin_zhong__jin_huang_jin_6_hao.htm (accessed on 10 December 2024).
- Liu, J.; Yang, C.; Dong, M.; Zhang, A.; Li, G.; Liu, C.; Zhou, Z. Selection and breeding of a new peach variety ‘Golden Gold No.3’ with very late maturity and yellow flesh. China Fruit Tree 2020, 101–102. [Google Scholar] [CrossRef]
- Liu, J.; Yang, C.; Wang, H.; Dou, Q.; Wang, F.; Luan, Y.; Lu, Z. Selection and breeding of a new late-maturing yellow-fleshed variety of peach ‘Golden Gold’. China Fruit Tree 2016, 72–73. [Google Scholar] [CrossRef]
- Hassani, A.; Azapagic, A.; Shokri, N. Global predictions of primary soil salinization under changing climate in the 21st century. Nat. Commun. 2021, 12, 6663. [Google Scholar] [CrossRef] [PubMed]
- López-Climent, M.F.; Arbona, V.; Pérez-Clemente, R.M.; Gómez-Cadenas, A. Relationship between salt tolerance and photosynthetic machinery performance in citrus. Environ. Exp. Bot. 2008, 62, 176–184. [Google Scholar] [CrossRef]
- Sudhir, P.; Murthy, S.D. Effects of salt stress on basic processes of photosynthesis. J. Catal. 2004, 42, 481–486. [Google Scholar] [CrossRef]
- Wu, W.; Zhang, Q.; Ervin, E.H.; Yang, Z.; Zhang, X. Physiological Mechanism of Enhancing Salt Stress Tolerance of Perennial Ryegrass by 24 Epibrassinolide. Front. Plant Sci. 2017, 8, 1017. [Google Scholar] [CrossRef] [PubMed]
- Mei, Y.; Li, H.; Xie, J.; Luo, H. Ribulose-1,5-bisphosphate carboxylase/oxygenase (Rubisco). Plant Physiol. 2007, 43, 363–368. [Google Scholar]
- Koushesh, M.; Moradi, S. Sodium nitroprusside (SNP) spray to maintain fruit quality and alleviate postharvest chilling injury of peach fruit. Sci. Hortic. 2017, 216, 193–199. [Google Scholar] [CrossRef]
- Sharma, P.; Jha, A.B.; Dubey, R.S.; Pessarakli, M. Reactive oxygen species, oxidative damage, and antioxidative defense mechanism in plants under stressful conditions. J. Bot. 2012, 2012, 217037. [Google Scholar] [CrossRef]
- Baxter, A.; Mittler, R.; Suzuki, N. ROS as key players in plant stress signaling. J. Bot. 2014, 65, 1229–1240. [Google Scholar]
- Das, K.; Roychoudhury, A. Reactive oxygen species (ROS) and response of antioxidants as ROS-scavengers during environmental stress in plants. Front. Environ. Sci. 2014, 2, 53. [Google Scholar] [CrossRef]
- Wu, Z.; Zhao, X.; Sun, X.; Tan, Q.; Tang, Y.; Nie, Z.; Qu, C.; Chen, Z.; Hu, C. Antioxidant enzyme systems and the ascorbate-glutathione cycle as contributing factors to cadmium accumulation and tolerance in two oilseed rape cultivars (Brassica napus L.) under moderate cadmium stress. Chemosphere 2015, 138, 526–536. [Google Scholar] [CrossRef]
- Ma, Y.Y.; Huang, D.D.; Chen, C.B.; Zhu, S.H.; Gao, J.G. Regulation of ascorbate-glutathione cycle in peaches via nitric oxide treatment during cold storage. Sci. Hortic. 2019, 247, 400–406. [Google Scholar] [CrossRef]
- Kim, Y.H.; Khan, A.L.; Waqas, M.; Lee, I.J. Silicon regulates antioxidant activities of crop plants under abiotic-induced oxidative stress: A review. Front. Plant Sci. 2017, 8, 510. [Google Scholar] [CrossRef] [PubMed]
- Silberbush, M.; Ben-Asher, J. Simulation study of nutrient uptake by plants from soilless cultures as affected by salinity buildup and transpiration. Plant Soil 2001, 233, 59–69. [Google Scholar] [CrossRef]
- Tester, M.; Davenport, R. Na+ tolerance and Na+ transport in higher plants. Ann. Bot. 2003, 91, 503–527. [Google Scholar] [CrossRef]
- Prochazkova, D.; Sairam, R.K.; Srivastava, G.C.; Singh, D.V. Oxidative stress and antioxidant activity as the basis of senescence in maize leaves. Plant Sci. 2001, 161, 765–771. [Google Scholar] [CrossRef]
- Cakmak, I.; Marschner, H. Magnesium deficiency and high light intensity enhance activities of superoxide dismutase, ascorbate peroxidase, and glutathione reductase in bean leaves. Plant Physiol. 1992, 98, 1222–1227. [Google Scholar] [CrossRef] [PubMed]
- Velikova, V.; Yordanov, I.; Edreva, A. Oxidative stress and some antioxidant systems in acid rain-treated bean plants protective role of exogenous polyamines. Plant Sci. 2000, 151, 59–66. [Google Scholar] [CrossRef]
- Nakano, Y.; Asada, K. Hydrogen peroxide is scavenged by ascorbate-specific peroxidase in spinach chloroplasts. Plant Cell Physiol. 1981, 2, 867–880. [Google Scholar]
- Balal, R.M.; Khan, M.M.; Shahid, M.A.; Mattson, N.S.; Abbas, T.; Ashfaq, M.; Garcia-Sanchez, F.; Ghazanfer, U.; Gimeno, V.; Iqbal, Z. Comparative studies on the physiobiochemical, enzymatic, and ionicmodifications in salt-tolerant and salt-sensitive citrus rootstocks under NaCl stress. J. Am. Soc. Hortic. Sci. 2012, 137, 86–95. [Google Scholar] [CrossRef]
- Zhao, Q.; Zhang, Z.J.; Li, C.; Zou, Y.J. Effects of different rootstocks on nutrient uptake and utilization of “honey crisp” apple seedlings under drought conditions. J. Northwest AF Univ. (Nat. Sci. Ed.) 2019, 47, 103–111. [Google Scholar]
- Ma, R.J.; Zhang, B.B.; Cai, Z.X.; Shen, Z.J.; Yu, M.L. Evaluation of peach rootstock waterlogging tolerance based on the responses of the photosynthetic indexes to continuous submergence stress. Acta Hortic. Sin. 2013, 40, 409–416. [Google Scholar]
- Liu, Y.; Wu, J.; Xu, Z.; Shen, Z.; Xia, Y.; Wang, G.; Chen, Y. Identification method of salt tolerance of wheat at germination and seedling stage under artificial seawater stress. Acta Phytophysiol. Sin. 2014, 50, 214–222. [Google Scholar]
- Gao, X.; Zhu, L.; Su, Y. Comprehensive evaluation of salt tolerance of sweet sorghum at booting stage based on membership function method. J. South. Agric. 2018, 49, 1736–1744. [Google Scholar]
- Yokoi, S.; Quintero, F.J.; Cubero, B.; Ruiz, M.T.; Bressan, R.A.; Hasegawa, P.M.; Pardo, J.M. Differential expression and function of Arabidopsis thaliana NHX Na+/H+ antiporters in the salt stress response. Plant J. 2002, 30, 529–539. [Google Scholar] [CrossRef] [PubMed]
- Munns, R. Comparative Physiology of Salt and Water Stress. Plant Cell Environ. 2002, 25, 239–250. [Google Scholar] [CrossRef]
- Cramer, G.R.; Quarrie, S.A. Abscisic acid Is correlated with the leaf growth inhibition of Four genotypes of maize differing in Their Response to Salinity. Funct. Plant Biol. 2002, 29, 111–115. [Google Scholar] [CrossRef]
- Yin, F.; Zhang, S.; Cao, B.; Xu, K. Low pH alleviated salinity stress of ginger seedlings by enhancing photosynthesis, fluorescence, and mineral element contents. PeerJ 2021, 11, e10832. [Google Scholar] [CrossRef] [PubMed]
- Hazra, S.; Henderson, J.N.; Liles, K.; Hilton, M.T.; Wachter, R.M. Regulation of ribulose-1,5-bisphosphate carboxylase/oxygenase (rubisco) activase: Product inhibition, cooperativity, and magnesium activation. J. Biol. Chem. 2015, 290, 24222–24236. [Google Scholar] [CrossRef]
- Chen, G.Y.; Yu, G.L.; Chen, Y.; Xu, D.Q. A study on the observation method of photosynthesis response to light and carbon dioxide. J. Plant Physiol. Mol. Biol. 2006, 32, 691–696. [Google Scholar]
- Andersson, I.; Taylor, T.C. Structural framework for catalysis and regulation in ribulose-1,5-bisphosphate carboxylase/oxygenase. Arch. Biochem. Biophys. 2003, 414, 130–140. [Google Scholar] [CrossRef] [PubMed]
- Ceusters, J.; Borland, A.M.; Londers, E.; Verdoodt, V.; Godts, C.; De Proft, M.P. Diel shifts in carboxylation pathway and metabolite dynamics in the CAM bromeliad Aechmea ‘Maya’ in response to elevated CO2. Ann. Bot. 2008, 102, 389–397. [Google Scholar] [CrossRef]
- Lei, C. Effects of Salt Stress on Growth Physiological Indexes and Disease Resistance of Red Globe Grape Seedlings. Master’s Thesis, Gansu Agricultural University, Lanzhou, China, 2012. [Google Scholar]
- Parvaiz, A.; Satyawati, S. Salt stress and phyto-biochemicalresponses of plants a review. Plant Soil Environ. 2008, 54, 88–99. [Google Scholar] [CrossRef]
- Walker, R.R.; Blackmore, D.H.; Clingeleffer, P.R.; Correll, R.L. Rootstock effects on salt tolerance of irrigated field grown grape vines (Vitis vinifera L cv. Sultana). 1. Yield and vigour inter-relationships. Aust. J. Grape Wine Res. 2002, 8, 3–14. [Google Scholar] [CrossRef]
- Hasegawa, P.M.; Bressan, R.A.; Zhu, J.K.; Bohnert, H.J. Plant cellular and molecular responses to high salinity. Plant Physiol. 2000, 51, 463–499. [Google Scholar]







| Pn | Gs | Ci | We | Tr | RuBPCase | FBPase | Pro | MDA | POD | SOD | CAT | APX | K+ in Roots | K+ in Leaves | Na+ in Roots | Na+ in Leaves | Eigen-value | Contribution Rate | Cumulative Contribution Rate | |
|---|---|---|---|---|---|---|---|---|---|---|---|---|---|---|---|---|---|---|---|---|
| PC1 | 0.125 | 0.051 | 0.059 | 0.078 | 0.104 | 0.11 | 0.104 | −0.085 | −0.071 | 0.098 | 0.125 | 0.097 | 0.108 | 0.061 | 0.118 | −0.017 | −0.027 | 7.216 | 42.449 | 42.45% |
| PC2 | 0.063 | 0.077 | 0.144 | 0.133 | 0.065 | −0.105 | −0.115 | 0.142 | 0.042 | −0.038 | 0.056 | 0.073 | −0.111 | 0.151 | −0.075 | 0.206 | −0.217 | 4.189 | 24.641 | 67.09% |
| PC3 | 0.059 | −0.298 | −0.073 | 0.281 | −0.182 | 0.13 | −0.008 | 0.169 | 0.283 | 0.059 | −0.124 | 0.221 | 0.183 | −0.155 | 0.025 | −0.068 | −0.155 | 2.042 | 12.01 | 79.10% |
| PC4 | 0.024 | 0.364 | −0.42 | 0.061 | 0.172 | −0.056 | 0.265 | 0.125 | 0.254 | 0.222 | −0.083 | −0.247 | 0.076 | −0.112 | −0.009 | 0.178 | −0.123 | 1.475 | 8.68% | 87.78% |
| Treatments | PC1 | PC2 | PC3 | PC4 | U(X1) | U(X2) | U(X3) | U(X4) | D Value | Arrange in Order |
|---|---|---|---|---|---|---|---|---|---|---|
| J+S | −0.64 | 0.60 | −0.41 | −1.22 | 0 | 0.77 | 0.22 | 0 | 0.245 | 7 |
| J1+S | −0.62 | 1.39 | −1.09 | 0.44 | 0.01 | 1 | 0 | 0.51 | 0.335 | 5 |
| J2+S | 2.62 | 0.38 | −0.19 | −0.04 | 1 | 0.71 | 0.29 | 0.36 | 0.754 | 1 |
| J3+S | −0.32 | −0.62 | −0.14 | 0.33 | 0.10 | 0.41 | 0.31 | 0.47 | 0.253 | 6 |
| J4+S | −0.23 | −0.48 | −1.03 | −0.85 | 0.13 | 0.45 | 0.02 | 0.11 | 0.202 | 8 |
| J5+S | −0.34 | 0.38 | 0.79 | 2.04 | 0.09 | 0.70 | 0.61 | 1 | 0.426 | 2 |
| J6+S | −0.18 | −0.38 | 2.02 | −0.99 | 0.14 | 0.48 | 1 | 0.07 | 0.350 | 4 |
| J7+S | −0.08 | −2.02 | −0.61 | 0.52 | 0.17 | 0 | 0.16 | 0.53 | 0.159 | 9 |
| J8+S | −0.21 | 0.75 | 0.67 | −0.24 | 0.13 | 0.81 | 0.56 | 0.30 | 0.400 | 3 |
| weights | 0.48 | 0.28 | 0.14 | 0.1 | 0.48 |
| Pn | Gs | Ci | We | Tr | Rub | FBP | Pro | MDA | POD | SOD | CAT | APX | K+ in Roots | K+ in Leaves | Na+ in Roots | Na+ in Leaves | |
|---|---|---|---|---|---|---|---|---|---|---|---|---|---|---|---|---|---|
| Pn | 1 | ||||||||||||||||
| Gs | 0.307 | 1 | |||||||||||||||
| Ci | 0.511 | 0.096 | 1 | . | |||||||||||||
| We | 0.768 * | 0.051 | 0.433 | 1 | |||||||||||||
| Tr | 0.635 | 0.684 * | 0.352 | 0.37 | 1 | ||||||||||||
| Rub | 0.564 | −0.034 | 0.04 | 0.308 | 0.44 | 1 | |||||||||||
| FBP | 0.572 | 0.284 | −0.175 | 0.184 | 0.559 | 0.752 * | 1 | ||||||||||
| Pro | −0.422 | −0.127 | −0.125 | 0.183 | −0.263 | −0.578 | −0.705 * | 1 | |||||||||
| MDA | −0.392 | −0.221 | −0.372 | 0.1 | −0.508 | −0.355 | −0.313 | 0.638 | 1 | ||||||||
| POD | 0.684 * | 0.351 | 0.086 | 0.426 | 0.325 | 0.473 | 0.746 * | −0.604 | −0.082 | 1 | |||||||
| SOD | 0.795 * | 0.465 | 0.635 | 0.467 | 0.89 ** | 0.601 | 0.544 | −0.468 | −0.616 | 0.427 | 1 | ||||||
| CAT | 0.675 * | −0.035 | 0.619 | 0.754 * | 0.37 | 0.622 | 0.187 | −0.1 | −0.143 | 0.346 | 0.64 | 1 | |||||
| APX | 0.655 | −0.061 | −0.073 | 0.432 | 0.346 | 0.886 ** | 0.854 ** | −0.614 | −0.286 | 0.712 * | 0.479 | 0.504 | 1 | ||||
| K+ in roots | 0.532 | 0.551 | 0.79 * | 0.362 | 0.41 | −0.067 | −0.036 | −0.164 | −0.157 | 0.375 | 0.571 | 0.434 | −0.128 | 1 | |||
| K+ in leaves | 0.626 | 0.23 | 0.097 | 0.292 | 0.6 | 0.948 ** | 0.727 * | −0.579 | −0.489 | 0.462 | 0.711 * | 0.603 | 0.796 * | 0.085 | 1 | ||
| Na+ in roots | 0.165 | 0.381 | 0.272 | 0.394 | 0.33 | −0.498 | −0.398 | 0.636 | 0.083 | −0.315 | 0.124 | −0.028 | −0.489 | 0.323 | −0.332 | 1 | |
| Na+ in leaves | −0.463 | −0.262 | −0.469 | −0.82 ** | −0.332 | 0.176 | 0.225 | −0.568 | −0.291 | −0.081 | −0.291 | −0.488 | 0.128 | −0.51 | 0.107 | −0.776 * | 1 |
| D | 0.908 ** | 0.392 | 0.49 | 0.887 ** | 0.697 * | 0.508 | 0.464 | −0.115 | −0.135 | 0.603 | 0.771 * | 0.775 * | 0.546 | 0.551 | 0.571 | 0.309 | −0.696 * |
Disclaimer/Publisher’s Note: The statements, opinions and data contained in all publications are solely those of the individual author(s) and contributor(s) and not of MDPI and/or the editor(s). MDPI and/or the editor(s) disclaim responsibility for any injury to people or property resulting from any ideas, methods, instructions or products referred to in the content. |
© 2024 by the authors. Licensee MDPI, Basel, Switzerland. This article is an open access article distributed under the terms and conditions of the Creative Commons Attribution (CC BY) license (https://creativecommons.org/licenses/by/4.0/).
Share and Cite
Li, Y.; Sun, X.; He, K.; Jin, X.; Leng, J.; Huang, Q.; Liu, J.; Sheng, Y. Analysis of Salt Tolerance of ‘Golden Gold’ Peach Varieties. Agronomy 2024, 14, 3034. https://doi.org/10.3390/agronomy14123034
Li Y, Sun X, He K, Jin X, Leng J, Huang Q, Liu J, Sheng Y. Analysis of Salt Tolerance of ‘Golden Gold’ Peach Varieties. Agronomy. 2024; 14(12):3034. https://doi.org/10.3390/agronomy14123034
Chicago/Turabian StyleLi, Yang, Xiaoming Sun, Kailong He, Xuebin Jin, Jiachen Leng, Qinglin Huang, Jin Liu, and Yinsheng Sheng. 2024. "Analysis of Salt Tolerance of ‘Golden Gold’ Peach Varieties" Agronomy 14, no. 12: 3034. https://doi.org/10.3390/agronomy14123034
APA StyleLi, Y., Sun, X., He, K., Jin, X., Leng, J., Huang, Q., Liu, J., & Sheng, Y. (2024). Analysis of Salt Tolerance of ‘Golden Gold’ Peach Varieties. Agronomy, 14(12), 3034. https://doi.org/10.3390/agronomy14123034
