Photodegradation of Propaquizafop in Water Under UV Irradiation: The Identification of Transformation Products and Elucidation of Photodegradation Pathway
Abstract
1. Introduction
2. Materials and Methods
2.1. Materials and Reagents
2.2. Instruments and Equipment
2.3. Solution Preparation
2.4. Photolysis Experiment
2.5. Instrument Analysis Methods
2.6. Statistical Analysis
3. Results
3.1. The Effect of Acetonitrile on the Photolysis of Propaquizafop
3.2. Photolysis of Propaquizafop in Different pH Buffer Solutions
3.3. Effect of on the Photolysis of Propaquizafop in Aqueous Solution
3.4. Photolysis of Propaquizafop in Different Metal Ion Media Solutions
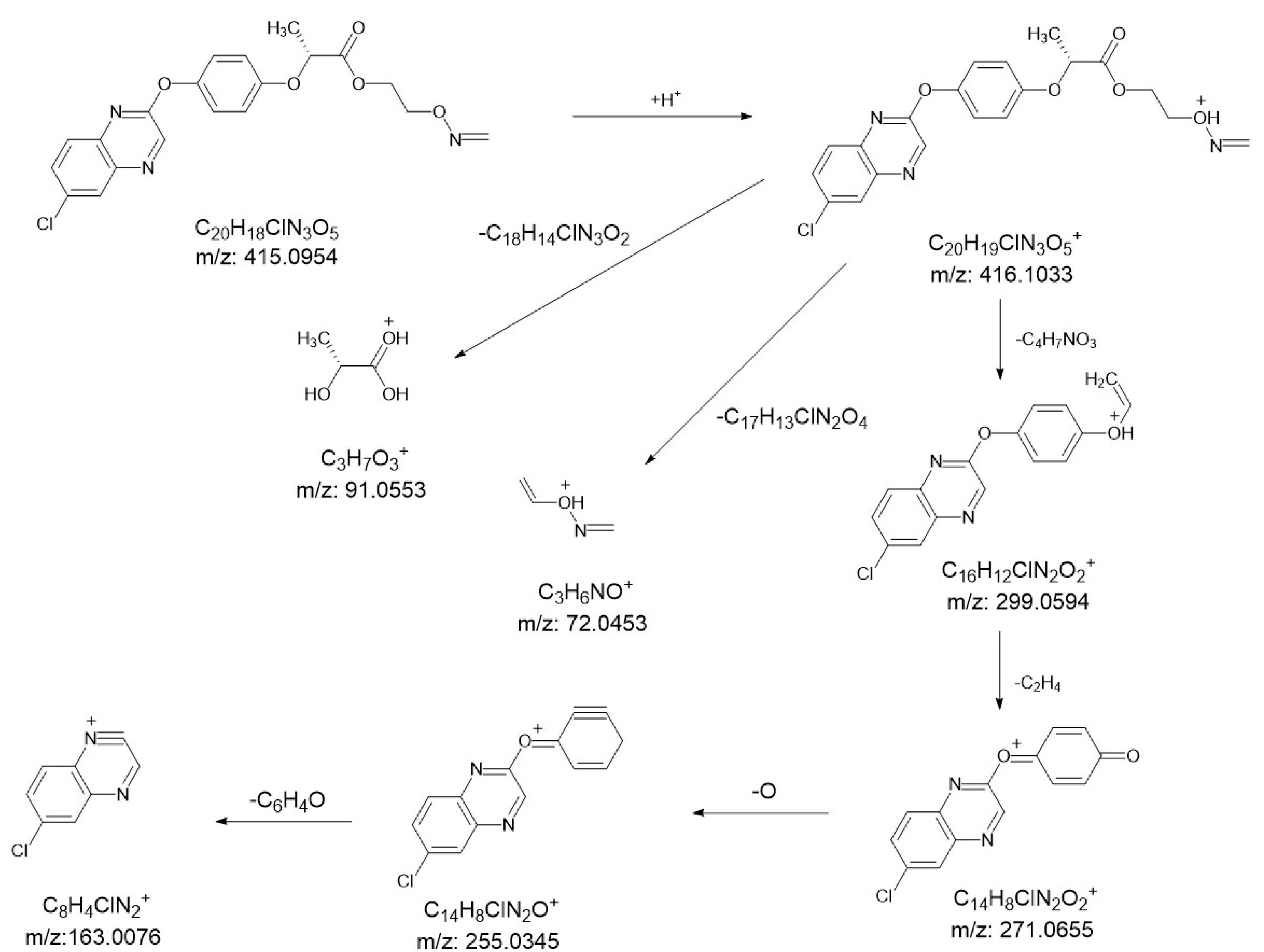
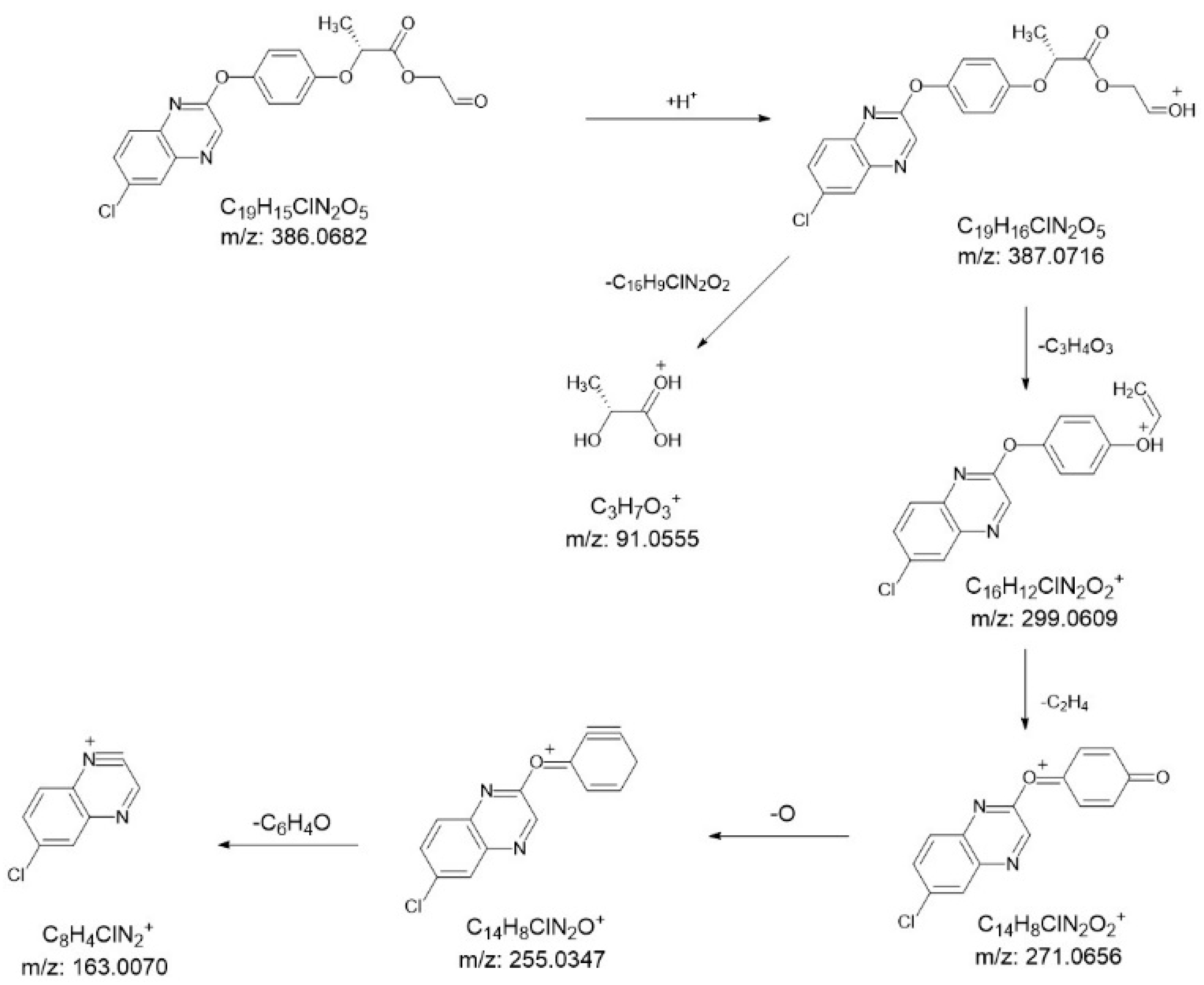
3.5. Identification of Photolysis Products of Propaquizafop in Aqueous Solution and Deduction of Photolysis Mechanism
Identification of Photoproducts M1–M5
4. Conclusions
Author Contributions
Funding
Data Availability Statement
Conflicts of Interest
References
- Reddy, P.V.L.; Kim, K.-H. A review of photochemical approaches for the treatment of a wide range of pesticides. J. Hazard. Mater. 2015, 285, 325–335. [Google Scholar] [CrossRef]
- Majewski, M.S.; Coupe, R.H.; Foreman, W.T.; Capel, P.D. Pesticides in Mississippi air and rain: A comparison between 1995 and 2007. Environ. Toxicol. Chem. 2014, 33, 1283–1293. [Google Scholar] [CrossRef]
- Silva-Madera, R.J.; Salazar-Flores, J.; Peregrina-Lucano, A.A.; Mendoza-Michel, J.; Ceja-Gálvez, H.R.; Rojas-Bravo, D.; Reyna-Villela, M.Z.; Torres-Sánchez, E.D. Pesticide Contamination in Drinking and Surface Water in the Cienega, Jalisco, Mexico. Water Air Soil Pollut. 2021, 232, 43. [Google Scholar] [CrossRef]
- Lari, S.Z.; Khan, A.N.; Gandhi, K.N.; Meshram, T.S.; Thacker, N.P. Comparison of pesticide residues in surface water and ground water of agriculture intensive areas. J. Environ. Health Sci. Eng. 2014, 12, 11. [Google Scholar] [CrossRef]
- Escher, B.I.; Fenner, K. Recent Advances in Environmental Risk Assessment of Transformation Products. Environ. Sci. Technol. 2011, 45, 3835–3847. [Google Scholar] [CrossRef]
- Sinclair, C.J.; Boxall, A.B.A. Assessing the ecotoxicity of pesticide transformation products. Environ. Sci. Technol. 2003, 37, 4617–4625. [Google Scholar] [CrossRef]
- Bijanzadeh, E.; Ghadiri, H.; Behpouri, A. Effect of trifluralin, pronamide, haloxyfop-p methyl, propaquizafop, and isoxaben on weed control and oilseed rape yield in Iran. Crop. Prot. 2010, 29, 808–812. [Google Scholar] [CrossRef]
- Cheng, Z.; Xiong, Y.; Ma, T.; Wang, Q.; Song, M.; Zhao, Q.; Zhang, N.; Guo, J.; Wang, Y.; Hou, Z.; et al. Dissipation and Risk Assessment of Propaquizafop in Ginseng under Field Conditions. J. Agric. Food Chem. 2024, 72, 6613–6624. [Google Scholar] [CrossRef]
- Hazra, D.K.; Karmakar, R.; Durgesh Majumder, S.P.; Maji, S.; Bhattacharya, S.; Chakraborty, M.; Bhattacharrya, A. Effect of pH on Dissipation of Propaquizafop in Water. Int. J. Bioresour. Sci. 2015, 2, 33–36. [Google Scholar]
- Cheng, Z.; Hou, Z.; Han, H.; Yu, X.; Li, J.; Zhao, Q.; Zhang, N.; Lu, Z. Adsorption, mobility, and degradation of the pesticide propaquizafop in five agricultural soils in China. Sci. Rep. 2023, 13, 5814. [Google Scholar] [CrossRef]
- Prashanthi, Y.; Rao, T.N. Photocatalytic degradation studies of ZnO nanoparticles on propaquizafop residues in water. In Proceedings of the 13th International Conference on Nanotek & Expo, Phoenix, AZ, USA, 5–7 December 2016. [Google Scholar]
- Hu, J.Y.; Yan, H. Degradation of Flumorph in Soils, Aqueous Buffer Solutions, and Natural Waters. J. Agric. Food Chem. 2008, 56, 8574–8579. [Google Scholar] [CrossRef]
- Lartiges, S.B.; Garrigues, P.P. Degradation Kinetics of Organophosphorus and Organonitrogen Pesticides in Different Waters under Various Environmental Conditions. Environ. Sci. Technol. 1995, 29, 1246–1254. [Google Scholar] [CrossRef]
- Patil, P.N.; Dote, S.D.; Gogate, P.R. Degradation of imidacloprid using combined advanced oxidation processes based on hydrodynamic cavitation. Ultrason. Sonochem. 2014, 21, 1770–1777. [Google Scholar] [CrossRef]
- Ali, M.; Kazmi, A.; Ahmed, N. Study on effects of temperature, moisture and pH in degradation and degradation kinetics of aldrin, endosulfan, lindane pesticides during full-scale continuous rotary drum composting. Chemosphere 2014, 102, 68–75. [Google Scholar] [CrossRef]
- Zhang, X.D. Study on Chemical Behavior of Chlorantraniliprole in Aqueous Environment. Ph.D. Thesis, Guangdong University of Technology, Guangzhou, China, 2015. (In Chinese). [Google Scholar]
- Sun, S.; Jiang, J.; Zhao, H.; Wan, H.; Qu, B. Photochemical reaction of tricresyl phosphate (TCP) in aqueous solution: Influencing factors and photolysis products. Chemosphere 2020, 241, 124971. [Google Scholar] [CrossRef]
- Dong, B.; Hu, J. Photodegradation of the novel fungicide fluopyram in aqueous solution: Kinetics, transformation products, and toxicity evolvement. Environ. Sci. Pollut. Res. 2016, 23, 19096–19106. [Google Scholar] [CrossRef]
- Meng, X.; Wang, N.; Long, X.; Hu, D. Degradation of a Novel Pesticide Antiviral Agent Vanisulfane in Aqueous Solution: Kinetics, Identification of Photolysis Products, and Pathway. ACS Omega 2020, 5, 24881–24889. [Google Scholar] [CrossRef]
- Fang, N.; Lu, Z.; Hou, Z.; Zhang, C.; Zhao, X. Hydrolysis and photolysis of flupyradifurone in aqueous solution and natural water: Degradation kinetics and pathway. Chemosphere 2022, 298, 134294. [Google Scholar] [CrossRef]
- Lin, H.; Pang, K.; Ma, Y.; Hu, J. Photodegradation of fluazaindolizine in water under simulated sunlight irradiation: Identification of transformation products and elucidation of transformation mechanism. Chemosphere 2019, 214, 543–552. [Google Scholar] [CrossRef]
- Halladja, S.; Amine-Khodja, A.; ter Halle, A.; Boulkamh, A.; Richard, C. Photolysis of fluometuron in the presence of natural water constituents. Chemosphere 2007, 69, 1647–1654. [Google Scholar] [CrossRef]
- Li, Y.; Niu, J.; Wang, W. Photolysis of Enrofloxacin in aqueous systems under simulated sunlight irradiation: Kinetics, mechanism and toxicity of photolysis products. Chemosphere 2011, 85, 892–897. [Google Scholar] [CrossRef]
- Li, H.; Duan, L.; Wang, H.; Chen, Y.; Wang, F.; Zhang, S. Photolysis of sulfadiazine under UV radiation: Effects of the initial sulfadiazine concentration, pH, NO3− and Cd2+. Chem. Phys. Lett. 2020, 739, 136949. [Google Scholar] [CrossRef]
- Cristale, J.; Dantas, R.F.; De Luca, A.; Sans, C.; Esplugas, S.; Lacorte, S. Role of oxygen and DOM in sunlight induced photodegradation of organophosphorous flame retardants in river water. J. Hazard. Mater. 2017, 323, 242–249. [Google Scholar] [CrossRef]
- Burbano, A.A.; Dionysiou, D.D.; Suidan, M.T.; Richardson, T.L. Oxidation kinetics and effect of pH on the degradation of MTBE with Fenton reagent. Water Res. 2005, 39, 107–118. [Google Scholar] [CrossRef]
- Song, X.; Hu, G.; Jiang, Y.; Tang, S.; Hu, X.; Guo, X. The effect of Fe~(3+) on the photolysis of tetracycline in aqueous solution. J. Saf. Environ. 2018, 18, 1569–1572. (In Chinese) [Google Scholar] [CrossRef]








| Matrix | Kinetic Equation | Correlation Coefficient (r) | t1/2(h) |
|---|---|---|---|
| pure acetonitrile | C = 5.0177e−0.0785t | 0.9994 | 8.83 a |
| 20% acetonitrile | C = 5.0454e−0.0859t | 0.9847 | 8.07 a |
| pH | Propaquizafop Addition Concentration (mg/L) | Kinetic Equation | Correlation Coefficient (r) | t1/2 (h) |
|---|---|---|---|---|
| 4 | 5.0 | C = 5.1109e−0.0774t | 0.9761 | 8.96 a |
| 7 | 5.0 | C = 5.0182e−0.0779t | 0.9822 | 8.90 a |
| 9 | 5.0 | C = 4.9057e−0.0912t | 0.9752 | 7.60 a |
| Matrix | Ionic Addition Amount (mmol/L) | Kinetic Equation | Correlation Coefficient (r) | t1/2 (h) | Photosensitization/Photoquenching Rate (%) |
|---|---|---|---|---|---|
| ultrapure water | - | C = 5.0454e−0.0859t | 0.9847 | 8.07 | - |
| 0.5 | C= 4.8355e−0.0751t | 0.9903 | 9.23 | −12.62 | |
| 1.0 | C = 4.9059e−0.0747t | 0.9911 | 9.28 | −13.02 | |
| 2.0 | C = 4.9502e−0.0778t | 0.9944 | 8.91 | −9.44 | |
| 4.0 | C = 4.8866e−0.0617t | 0.9882 | 11.24 | −28.21 |
| Matrix | Ionic Addition Amount (mmol/L) | Kinetic Equation | Correlation Coefficient (r) | t1/2 (h) | Photosensitization/Photoquenching Rate (%) |
|---|---|---|---|---|---|
| ultrapure water | - | C = 5.0454e−0.0859t | 0.9847 | 8.07 | - |
| Fe3+ | 0.5 | C = 5.6122e−0.0525t | 0.9593 | 13.2 | −38.85 |
| Fe3+ Cu2+ | 1 | C = 5.5596e−0.0333t | 0.9242 | 20.79 | −61.19 |
| 2 | C = 5.5493e−0.0437t | 0.8884 | 15.89 | −49.19 | |
| 4 | C = 5.0503e−0.0489t | 0.944 | 14.17 | −43.07 | |
| 0.5 | C = 5.1865e−0.0730t | 0.9966 | 9.49 | −14.98 | |
| Cu2+ Cd2+ | 1 | C = 4.9562e−0.0606t | 0.9918 | 11.43 | −29.42 |
| 2 | C = 4.9589e−0.0527t | 0.9915 | 13.16 | −38.66 | |
| 4 | C = 4.8015e−0.0420t | 0.983 | 16.51 | −51.13 | |
| 0.5 | C = 5.0703e−0.0815t | 0.9874 | 8.51 | −5.17 | |
| Cd2+ Mn2+ | 1 | C = 4.9163e−0.0722t | 0.9908 | 9.61 | −16.00 |
| 2 | C = 5.0592e−0.0684t | 0.9922 | 10.14 | −20.43 | |
| 4 | C = 5.2116e−0.0646t | 0.9888 | 10.74 | −24.85 | |
| 0.5 | C = 4.8031e−0.0686t | 0.9896 | 10.11 | −20.2 | |
| Mn2+ Zn2+ | 1 | C = 5.2097e−0.0661t | 0.9931 | 10.48 | −23.00 |
| 2 | C = 5.0949e−0.0568t | 0.9865 | 12.21 | −33.92 | |
| 4 | C = 5.2286e−0.0510t | 0.9896 | 13.6 | −40.69 | |
| 0.5 | C = 4.8146e−0.0699t | 0.9918 | 9.92 | −18.67 | |
| Zn2+ Ni2+ | 1 | C = 5.0758e−0.0670t | 0.9867 | 10.34 | −21.98 |
| 2 | C = 5.2048e−0.0637t | 0.9862 | 10.89 | −25.89 | |
| 4 | C = 4.981e−0.0539t | 0.9789 | 12.86 | −37.24 | |
| 0.5 | C = 5.0899e−0.0614t | 0.9717 | 11.28 | −28.49 | |
| Ni2+ | 1 | C = 5.2598e−0.0583t | 0.9854 | 11.89 | −32.12 |
| 2 | C = 5.1019e−0.0498t | 0.9761 | 13.92 | −42.05 | |
| 4 | C = 5.2993e−0.0421t | 0.9747 | 16.47 | −51.00 |
| Retention Time (min) | Molecular Formula | Structural Formula | Theoretical Value | Actual Measurement value | Error (ppm) | RDB (Degree of Unsaturation) | Characteristic Fragment Ions/Error (Da) |
|---|---|---|---|---|---|---|---|
| M1: 5.501 | [C21H20ClN3O5]+ | ![]() | 430.1243 | 430.1186 | 5.5 | 13 | 299.0595[C16H12ClN2O2]+/0.001 |
| 271.0655[C14H8ClN2O2]+/0.039 | |||||||
| 255.0342[C14H8ClN2O]+/0.002 | |||||||
| 163.0073[C8H4ClN2]+/0.002 | |||||||
| 91.0552[C3H7O3]+/0.016 | |||||||
| 86.0608[C3H4NO2]+/0.001 | |||||||
| M2: 5.409 | [C20H18ClN3O5]+ | ![]() | 416.1086 | 416.1033 | 6.1 | 13 | 299.0594[C16H12ClN2O2]+/0.001 |
| 271.0655[C14H8ClN2O2]+/0.039 | |||||||
| 255.0345[C14H8ClN2O]+/0.003 | |||||||
| 163.0076[C8H4ClN2]+/0.002 | |||||||
| 91.0553[C3H7O3]+/0.016 | |||||||
| 72.0453[C3H6NO]+/0.001 | |||||||
| M3: 5.229 | [C22H23N3O5]+ | ![]() | 410.1096 | 410.1751 | 7.7 | 13 | 337.1213[C19H17N2O4]+/0.003 |
| 293.0950[C17H13N2O3]+/0.003 | |||||||
| 265.0996[C16H13N2O2]+/0.002 | |||||||
| 237.1046[C15H13N2O]+0.039 | |||||||
| 100.0768[C5H10NO]+/0.001 | |||||||
| 70.0661[C3H4NO]+/0.037 | |||||||
| 56.0503[C3H6N]+/0.001 | |||||||
| M4: 4.921 | [C19H17ClN2O5]+ | ![]() | 389.0977 | 389.0912 | 3.4 | 12 | 299.0593[C16H12ClN2O2]+/0.001 |
| 271.0653[C14H8ClN2O2]+/0.038 | |||||||
| 255.0341[C14H8ClN2O]+/0.002 | |||||||
| 163.0076[C8H4ClN2]+/0.002 | |||||||
| 91.0552[C3H7O3]+/0.016 | |||||||
| M5: 4.795 | [C19H15ClN2O5]+ | ![]() | 387.0821 | 387.0716 | 4.8 | 13 | 299.0609[C16H12ClN2O2]+/0.003 |
| 271.0656[C14H8ClN2O2]+/0.039 | |||||||
| 255.0347[C14H8ClN2O]+/0.003 | |||||||
| 163.0070[C8H4ClN2]+/0.002 | |||||||
| 91.0555[C3H7O3]+/0.038 |
Disclaimer/Publisher’s Note: The statements, opinions and data contained in all publications are solely those of the individual author(s) and contributor(s) and not of MDPI and/or the editor(s). MDPI and/or the editor(s) disclaim responsibility for any injury to people or property resulting from any ideas, methods, instructions or products referred to in the content. |
© 2024 by the authors. Licensee MDPI, Basel, Switzerland. This article is an open access article distributed under the terms and conditions of the Creative Commons Attribution (CC BY) license (https://creativecommons.org/licenses/by/4.0/).
Share and Cite
Cheng, Z.; Lu, Z.; Shao, Z.; Huang, B.; Xiong, Y.; Fei, H.; Wu, X.; Liu, Y.; Li, M.; Hou, Z.; et al. Photodegradation of Propaquizafop in Water Under UV Irradiation: The Identification of Transformation Products and Elucidation of Photodegradation Pathway. Agronomy 2024, 14, 2959. https://doi.org/10.3390/agronomy14122959
Cheng Z, Lu Z, Shao Z, Huang B, Xiong Y, Fei H, Wu X, Liu Y, Li M, Hou Z, et al. Photodegradation of Propaquizafop in Water Under UV Irradiation: The Identification of Transformation Products and Elucidation of Photodegradation Pathway. Agronomy. 2024; 14(12):2959. https://doi.org/10.3390/agronomy14122959
Chicago/Turabian StyleCheng, Zhijia, Zhongbin Lu, Zhiwei Shao, Bowen Huang, Yang Xiong, Hongqiang Fei, Xian Wu, Yanwei Liu, Mei Li, Zhiguang Hou, and et al. 2024. "Photodegradation of Propaquizafop in Water Under UV Irradiation: The Identification of Transformation Products and Elucidation of Photodegradation Pathway" Agronomy 14, no. 12: 2959. https://doi.org/10.3390/agronomy14122959
APA StyleCheng, Z., Lu, Z., Shao, Z., Huang, B., Xiong, Y., Fei, H., Wu, X., Liu, Y., Li, M., Hou, Z., & Lu, Z. (2024). Photodegradation of Propaquizafop in Water Under UV Irradiation: The Identification of Transformation Products and Elucidation of Photodegradation Pathway. Agronomy, 14(12), 2959. https://doi.org/10.3390/agronomy14122959





