Protective Role of Triacontanol (Myricyl Alcohol) Towards the Nutrients Uptake and Growth in Brassica rapa L. Under Cadmium Stress
Abstract
1. Introduction
2. Materials and Methods
2.1. Seed Priming and Growth Conditions
2.2. Growth, Biomass, and Yield Assessment
2.3. Evaluation of Chlorophyll Content
2.4. Determination of Proline Content
2.5. Determination of 2,2-Diphenyl-1-Picrylhydrazyl (DPPH) Activity
2.6. Estimation of Phenolic Content
2.7. Evaluation of Total Soluble Proteins
2.8. Evaluation of Gaseous Exchange Parameters
2.9. Evaluation of Cd, Metal Tolerance Index, and Accumulation Coefficient
2.10. Assessment of Mineral Content
2.11. Assessment of Ascorbic Acid
2.12. Statistical Analysis
3. Results
3.1. Determination of Morphological Parameters
3.2. Evaluation of Photosynthetic Pigments
3.3. Determination of Ascorbic Acid, and 2,2-Diphenyl-1-Picrylhydrazyl (DPPH) Activity
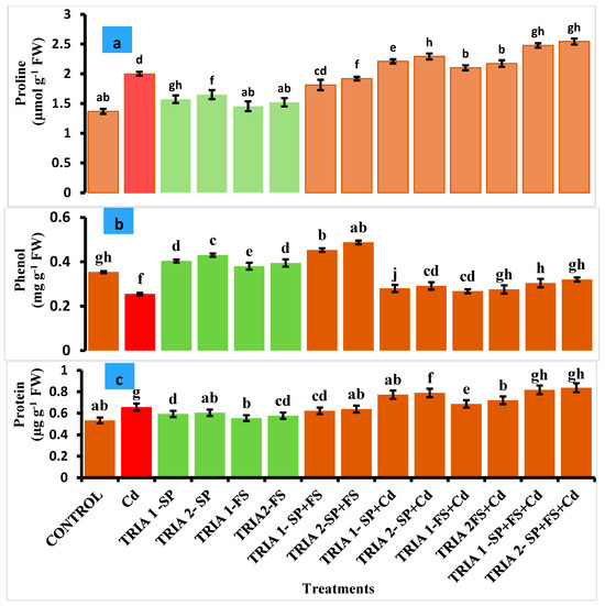
3.4. Estimation of Proline, Phenol, and Total Soluble Proteins
3.5. Assessment of Gas Exchange Parameters
3.6. Assessment of Cd Accumulation, Accumulation Factor, and Metal Tolerance Index
3.7. Evaluation of Mineral Content
3.8. Multivariate Statistical Analysis
4. Discussion
5. Conclusions
Author Contributions
Funding
Data Availability Statement
Acknowledgments
Conflicts of Interest
References
- Kumar, D.; Seth, C.S. Photosynthesis, lipid peroxidation, and antioxidative responses of Helianthus annuus L. against chromium (VI) accumulation. Int. J. Phytoremediat. 2022, 24, 590–599. [Google Scholar] [CrossRef] [PubMed]
- Fazekašová, D.; Fazekaš, J. Soil quality and heavy metal pollution assessment of iron ore mines in Nizna Slana (Slovakia). Sustainability 2020, 12, 2549. [Google Scholar] [CrossRef]
- Ali, I.; Alothman, Z.A.; Alwarthan, A. Supra molecular mechanism of the removal of 17-β-estradiol endocrine disturbing pollutant from water on functionalized iron nano particles. J. Mol. Liq. 2017, 241, 123–129. [Google Scholar] [CrossRef]
- Navarro-León, E.; Oviedo-Silva, J.; Ruiz, J.M.; Blasco, B. Possible role of HMA4a TILLING mutants of Brassica rapa in Cd phytoremediation programs. Ecotoxicol. Environ. Saf. 2019, 180, 88–94. [Google Scholar] [CrossRef] [PubMed]
- Hussain, B.; Ashraf, M.N.; Abbas, A.; Li, J.; Farooq, M. Cd stress in paddy fields: Effects of soil conditions and remediation strategies. Sci. Total Environ. 2021, 754, 142188. [Google Scholar] [CrossRef]
- Zhong, T.; Xue, D.; Zhao, L.; Zhang, X. Concentration of heavy metals in vegetables and potential health risk assessment in China. Environ. Geochem. Health 2018, 40, 313–322. [Google Scholar] [CrossRef]
- Ozturk, M.; Altay, V.; Karahan, F. Studies on Trace Elements Distributed in Taxa in Hatay-Turkey Glycyrrhiza. Energy 2017, 3, 1–7. [Google Scholar] [CrossRef]
- Haider, F.U.; Liqun, C.; Coulter, J.A.; Cheema, S.A.; Wu, J.; Zhang, R.; Wenjun, M.; Farooq, M. Cd toxicity in plants: Impacts and remediation strategies. Ecotoxicol. Environ. Saf. 2021, 211, 111887–111899. [Google Scholar] [CrossRef]
- Li, X.; Zhang, X.; Wu, Y.; Li, B.; Yang, Y. Physiological and biochemical analysis of mechanisms underlying Cd tolerance and accumulation in Turnip. Plant Divers. 2018, 40, 19–27. [Google Scholar] [CrossRef]
- Khan MI, R.; Trivellini, A.; Chhillar, H.; Chopra, P.; Ferrante, A.; Khan, N.A.; Ismail, A.M. The significance and functions of ethylene in flooding stress tolerance in plants. Environ. Exp. Bot. 2020, 179, 104188–104201. [Google Scholar] [CrossRef]
- Sytar, O.; Kumari, P.; Yadav, S.; Brestic, M.; Rastogi, A. Phytohormone priming: Regulator for heavy metal stress in plants. J. Plant Growth Regul. 2019, 38, 739–752. [Google Scholar] [CrossRef]
- Sun, S.; Zhou, X.; Cui, X.; Liu, C.; Fan, Y.; McBride, M.B.; Li, Y.; Li, Z.; Zhuang, P. Exogenous plant growth regulators improved phytoextraction efficiency by Amaranths hypochondriacus L. in Cd contaminated soil. Plant Growth Regul. 2020, 90, 29–40. [Google Scholar] [CrossRef]
- Dawuda, M.M.; Liao, W.; Hu, L.; Yu, J.; Xie, J.; Calderon-Urrea, A.; Wu, Y.; Tang, Z. Foliar application of abscisic acid mitigates cadmium stress and increases food safety of cadmium-sensitive lettuce (Lactuca sativa L.) genotype. PeerJ 2020, 8, e9270. [Google Scholar] [CrossRef] [PubMed]
- Di, D.W.; Li, T.T.; Yu, Z.L.; Cheng, J.; Wang, M.; Liu, C.F.; Wang, Y.; Kronzucker, H.J.; Yu, M.; Shi, W. Ammonium mitigates cadmium toxicity by activating the bZIP20-APX2/CATA transcriptional module in rice seedlings in an ABA dependent manner. J. Hazard. Mater. 2024, 480, 135874. [Google Scholar] [CrossRef]
- Naeem, M.; Khan, M.M.A.; Moinuddin. Triacontanol: A potent plant growth regulator in agriculture. J. Plant Interact. 2012, 7, 129–142. [Google Scholar] [CrossRef]
- Perveen, S.; Shahbaz, M.; Ashraf, M. Regulation in gas exchange and quantum yield of photosystem II (PSII) in salt-stressed and non-stressed wheat plants raised from seed treated with triacontanol. Pak. J. Bot 2010, 42, 3073–3081. [Google Scholar]
- Islam, S.; Mohammad, F. Tria as a dynamic growth regulator for plants under diverse environmental conditions. Physiol. Mol. Biol. Plants 2020, 26, 871–883. [Google Scholar] [CrossRef]
- Zaid, A.; Bhat, J.A.; Wani, S.H.; Masoodi, K.Z. Role of nitrogen and sulfur in mitigating Cd induced metabolism alterations in plants. J. Plant Sci. Res. 2019, 35, 121–141. [Google Scholar] [CrossRef]
- Maresca, V.; Sorbo, S.; Keramat, B.; Basile, A. Effects of Tria on ascorbate-glutathione cycle in Brassica napus L. exposed to Cd-induced oxidative stress. Ecotoxicol. Environ. Saf. 2017, 144, 268–274. [Google Scholar]
- Arnon, D.I. Copper enzymes in isolated chloroplasts, Polyphenoloxidase in Beta vulgaris. Plant Physiol. 1949, 24, 12–20. [Google Scholar] [CrossRef]
- Daves, B.H. Analyses of carotenoid pigments. Chem. Biochem. Plant Pigment. 1965, 2, 489–532. [Google Scholar]
- Bates, L.S.; Waldren, R.A.; Teare, I.D. Rapid determination of free proline for water-stress studies. Plant Soil 1973, 39, 205–207. [Google Scholar] [CrossRef]
- Chen, I.N.; Chang, C.C.; Ng, C.C.; Wang, C.Y.; Shyu, Y.T.; Chang, T.L. Antioxidant and antimicrobial activity of Zingiberaceae plants in Taiwan. Plant Foods Hum. Nutr. 2008, 63, 15–20. [Google Scholar] [CrossRef]
- Zieslin, N.; Ben-Zaken, R. Peroxidase activity and presence of phenolic substances in peduncles of rose flowers. Plant Physiol. Biochem. 1993, 31, 333–339. [Google Scholar]
- Peterson, G.L. Modified Lowry procedure for protein determination. Anal. Biochem. 1977, 83, 346–356. [Google Scholar] [CrossRef]
- Ahmed, S.; Fatima, M.; Sardar, R.; Yasin, N.A. Application of Nano Selenium Alleviates Cd-induced Growth Inhibition and Enhances Biochemical Responses and the Yield of Solanum melongena L. J. Soil Sci. Plant Nutr. 2024. [Google Scholar] [CrossRef]
- Sardar, R.; Ahmed, S.; Akbar, M.; Yasin, N.A.; Li, G. Alleviation of Cd phytotoxicity in Tria treated Coriandrum sativum L. by modulation of physiochemical attributes, oxidative stress biomarkers and antioxidative system. Chemosphere 2022, 295, 133924–133938. [Google Scholar] [CrossRef]
- Moseley, G.; Jones, J.R. The physical digestion of perennial ryegrass (Lolium perenne) and white clover (Trifolium repens) in the foregut of sheep. Br. J. Nutr. 1984, 52, 381–390. [Google Scholar] [CrossRef] [PubMed]
- Chapman, J.F.; Dale, L.S. The determination of lithium isotope abundances with a dual-beam atomic absorption spectrometer. Anal. Chim. Acta 1976, 87, 91–95. [Google Scholar] [CrossRef]
- Al-Farraj, A.S.; Al-Otabi, T.G.; Al-Wabel, M.I. Accumulation coefficient and translocation factor of heavy metals through Ochradenus baccatus plant grown on mining area at Mahad AD’Dahab, Saudi Arabia. WIT Trans. Ecol. Environ. 2009, 122, 459–468. [Google Scholar]
- Bálint, A.F.; Röder, M.S.; Hell, R.; Galiba, G.; Börner, A. Mapping of QTLs affecting copper tolerance and the Cu, Fe, Mn and Zn contents in the shoots of wheat seedlings. Biol. Plant. 2007, 51, 129–134. [Google Scholar] [CrossRef]
- Sagner, S.; Kneer, R.; Wanner, G.; Cosson, J.P.; Deus-Neumann, B.; Zenk, M.H. Hyperaccumulation, complexation and distribution of nickel in Sebertia acuminata. Phytochemistry 1998, 47, 339–347. [Google Scholar] [CrossRef] [PubMed]
- Keller, T.; Schwager, H. Air pollution and ascorbic acid. Eur. J. For. Pathol. 1977, 7, 338–350. [Google Scholar] [CrossRef]
- Nouairi, I.; Jalali, K.; Essid, S.; Zribi, K.; Mhadhbi, H. Alleviation of Cd-induced genotoxicity and cytotoxicity by calcium chloride in faba bean (Vicia faba L. var. minor) roots. Physiol. Mol. Biol. Plants 2019, 25, 921–931. [Google Scholar] [CrossRef]
- Qayyum, M.F.; ur Rehman, M.Z.; Ali, S.; Rizwan, M.; Naeem, A.; Maqsood, M.A.; Khalid, H.; Rinklebe, J.; Ok, Y.S. Residual effects of monoammonium phosphate, gypsum and elemental sulfur on Cd phytoavailability and translocation from soil to wheat in an effluent irrigated field. Chemosphere 2017, 174, 515–523. [Google Scholar] [CrossRef]
- Lara, T.S.; Lira JM, S.; Rodrigues, A.C.; Rakocevi, M.; Alvarenga, A.A. Potassium nitrate priming affects the activity of nitrate reductase and antioxidant enzymes in tomato germination. J. Agric. Sci. 2014, 6, 72–79. [Google Scholar] [CrossRef]
- Amirmoradi, S.; Feizi, H. Can mean germination time predict seed vigor of canola (Brassica napus L.) seed lots? Acta Agrobot. 2017, 70, 1729–1745. [Google Scholar] [CrossRef][Green Version]
- Kader, M.A. A comparison of seed germination calculation formulae and the associated interpretation of resulting data. J. Proceeding R. Soc. New South Wales 2005, 138, 65–75. [Google Scholar] [CrossRef]
- Sharma, M.K.; Singh, A.; Kumar, A.; Simnani, S.A.; Nazir, N.; Khalil, A.; Mushtaq, R.; Bhat, R. Response of Tria on temperate fruit crops. Int. J. Curr. Microbiol. Appl. Sci. 2018, 7, 3239–3243. [Google Scholar] [CrossRef]
- Wei, S.; Zhou, Q.; Koval, P.V. Flowering stage characteristics of Cd hyperaccumulator Solanum nigrum L. and their significance to phytoremediation. Sci. Total Environ. 2006, 369, 441–446. [Google Scholar] [CrossRef]
- Abbas, T.; Rizwan, M.; Ali, S.; Adrees, M.; Mahmood, A.; Zia-ur-Rehman, M.; Ibrahim, M.; Arshad, M.; Qayyum, M.F. Biochar application increased the growth and yield and reduced Cd in drought stressed wheat grown in an aged, contaminated soil. Ecotoxicol. Environ. Saf. 2018, 148, 825–833. [Google Scholar] [CrossRef] [PubMed]
- Younis, U.; Malik, S.A.; Rizwan, M.; Qayyum, M.F.; Ok, Y.S.; Shah, M.H.R.; Rehman, R.A.; Ahmad, N. Biochar enhances the Cd tolerance in spinach (Spinacia oleracea) through modification of Cd uptake and physiological and biochemical attributes. Environ. Sci. Pollut. Res. 2016, 23, 21385–21394. [Google Scholar] [CrossRef] [PubMed]
- Alayat, A.; Souiki, L.; Grara, N.; Djebar, M.R.; Boumedris, Z.E.; Benosmane, S.; Amamra, R.; Berrebbah, H. Effects of Cd on water content, soluble protein, proline changes and some antioxidant enzymes in wheat (Triticum durum desf.) leaves. Annu. Res. Rev. Biol. 2014, 4, 3835–3847. [Google Scholar] [CrossRef]
- Naeem, M.; Ansari, A.A.; Aftab, T.; Shabbir, A.; Alam, M.M.; Khan, M.M.A.; Uddin, M. Application of Tria modulates plant growth and physiological activities of Catharanthus roseus L. Int. J. Bot. Stud. 2019, 4, 131–135. [Google Scholar]
- Aftab, T.; Khan MM, A.; Idrees, M.; Naeem, M.; Singh, M.; Ram, M. Stimulation of crop productivity, photosynthesis and artemisinin production in Artemisia annua L. by Tria and gibberellic acid application. J. Plant Interact. 2010, 5, 273–281. [Google Scholar] [CrossRef]
- Baba, T.R.; Ali, A.; Kumar, A.; Husain, M. Effect of exogenous application of salicylic acid and Tria on growth characters and yield of strawberry. Pharma Innov. J. 2017, 6, 274–279. [Google Scholar]
- Rizwan, M.; Meunier, J.D.; Davidian, J.C.; Pokrovsky, O.S.; Bovet, N.; Keller, C. Silicon alleviates Cd stress of wheat seedlings (Triticum turgidum L. cv. Claudio) grown in hydroponics. Environ. Sci. Pollut. Res. 2016, 23, 1414–1427. [Google Scholar] [CrossRef]
- Arshad, M.; Ali, S.; Noman, A.; Ali, Q.; Rizwan, M.; Farid, M.; Irshad, M.K. Phosphorus amendment decreased Cd (Cd) uptake and ameliorates chlorophyll contents, gas exchange attributes, antioxidants, and mineral nutrients in wheat (Triticum aestivum L.) under Cd stress. Arch. Agron. Soil Sci. 2016, 62, 533–546. [Google Scholar] [CrossRef]
- Zhu, Z.; Huang, Y.; Wu, X.; Liu, Z.; Zou, J.; Chen, Y.; Su, N.; Cui, J. Increased antioxidative capacity and decreased Cd uptake contribute to hemin-induced alleviation of Cd toxicity in Chinese cabbage seedlings. Ecotoxicol. Environ. Saf. 2019, 177, 47–57. [Google Scholar] [CrossRef]
- Qu, D.Y.; Gu, W.R.; Zhang, L.G.; Li, C.F.; Chen, X.C.; Li, J.; Xie, T.L.; Wei, S. Role of chitosan in the regulation of the growth, antioxidant system and photosynthetic characteristics of maize seedlings under Cd stress. J. Plant Physiol. 2018, 66, 140–151. [Google Scholar]
- Ahmad, P.; Ahanger, M.A.; Alyemeni, M.N.; Wijaya, L.; Alam, P. Exogenous application of nitric oxide modulates osmolyte metabolism, antioxidants, enzymes of ascorbate-glutathione cycle and promotes growth under Cd stress in tomato. Protoplasma 2018, 255, 79–93. [Google Scholar] [CrossRef] [PubMed]
- Per, T.S.; Khan, N.A.; Reddy, P.S.; Masood, A.; Hasanuzzaman, M.; Khan MI, R.; Anjum, N.A. Approaches in modulating proline metabolism in plants for salt and drought stress tolerance: Phytohormones, mineral nutrients and transgenics. Plant Physiol. Biochem. 2017, 115, 126–140. [Google Scholar] [CrossRef] [PubMed]
- Khan MI, R.; Nazir, F.; Asgher, M.; Per, T.S.; Khan, N.A. Selenium and sulfur influence ethylene formation and alleviate Cd-induced oxidative stress by improving proline and glutathione production in wheat. J. Plant Physiol. 2015, 173, 9–18. [Google Scholar] [CrossRef]
- Perveen, S.; Iqbal, M.; Nawaz, A.; Parveen, A.; Mahmood, S. Induction of drought tolerance in Zea mays L. by foliar application of Tria. Pak. J. Bot. 2016, 48, 907–915. [Google Scholar]
- Tammam, A.A.; Hatata, M.M.; Sadek, O.A. Effect of Cd and Zn interaction on reactive oxygen species and antioxidant machinery of broad bean plants (Vicia faba L). Egypt. J. Exp. Biol. 2016, 12, 193–209. [Google Scholar] [CrossRef]
- Kisa, D.; Kayir, Ö.; Sağlam, N.; Şahin, S.; Öztürk, L.; Elmastaş, M. Changes of phenolic compounds in tomato associated with the heavy metal stress, Bartın University. Int. J. Nat. Appl. Sci. 2019, 2, 35–43. [Google Scholar]
- Khan, Z.H.; Mohammad, F.; Khan, M.M.A. Enhancing the growth, yield and production of essential oil and citral in lemongrass by the application of Tria. Int. J. Agric. Res. Innov. Technol. 2014, 4, 113–122. [Google Scholar]
- Silva, A.J.; Nascimento CW, A.; Gouveia-Neto, A.S. Assessment of Cd phytotoxicity alleviation by silicon using chlorophyll a fluorescence. Photosynthetica 2017, 55, 648–654. [Google Scholar] [CrossRef]
- Zouari, M.; Ahmed, C.B.; Elloumi, N.; Bellassoued, K.; Delmail, D.; Labrousse, P.; Abdallah, F.B.; Rouina, B.B. Impact of proline application on Cd accumulation, mineral nutrition and enzymatic antioxidant defense system of Olea europaea L. cv Chemlali exposed to Cd stress. Ecotoxicol. Environ. Saf. 2016, 128, 195–205. [Google Scholar] [CrossRef]
- Naeem, M.; Idrees, M.; Aftab, T.; Khan, M.M.; Moinuddin, A. Changes in photosynthesis, enzyme activities and production of anthraquinone and sennoside content of coffee senna (Senna occidentalis L.) by Tria. Int. J. Plant Dev. Biol. 2010, 4, 53–59. [Google Scholar]
- Ries, S.; Savithiry, S.; Wert, V.; Widders, I. Rapid induction of ion pulses in tomato, cucumber, and maize plants following a foliar application of L (+)-adenosine. Plant Physiol. 1993, 101, 49–55. [Google Scholar] [CrossRef] [PubMed]
- Singh, S.; Singh, A.; Bashri, G.; Prasad, S.M. Impact of Cd stress on cellular functioning and its amelioration by phytohormones: An overview on regulatory network. Plant Growth Regul. 2016, 80, 253–263. [Google Scholar] [CrossRef]
- Fang, J.; Leonard, S.S.; Rao KM, K. Cd inhibits the electron transfer chain and induces reactive oxygen species. Free Radic. Biol. Med. 2004, 36, 1434–1443. [Google Scholar]
- Tompa, B.; Fodorpataki, L. Influence of Tria and salt stress on the growth and metabolism of Spinach. Agric. Ecosyst. Environ. 2021, 13, 65–76. [Google Scholar]
- Verma, T.; Bhardwaj, S.; Raza, A.; Djalovic, I.; Prasad, P.V.; Kapoor, D. Mitigation of salt stress in Indian mustard (Brassica juncea L.) by the application of Tria and hydrogen sulfide. Plant Signal. Behav. 2023, 18, 2189371. [Google Scholar] [CrossRef]






| Treatments | Shoot Length (cm) | Root Length (cm) | No. of Leaves | Leaf Area (cm2) |
|---|---|---|---|---|
| Control | 13.3 ± 0.88 ef | 10 ± 0.76 fg | 5 ± 0.88 a | 21.6 ± 0.88 bc |
| Cd | 7 ± 0.57 g | 6.5 ± 0.289 g | 3 ± 0.57 c | 9.35 ± 0.87 d |
| TRIA 1-SP | 15 ± 0.57 bc | 11.3 ± 0.57 ab | 7 ± 0.57 abc | 25 ± 0.5 bcd |
| TRIA 2-SP | 16 ± 0.57 ab | 12 ± 0.57 a | 7.3 ± 0.33 ab | 33.0 ± 1.14 ab |
| TRIA 1- FS | 13.5 ± 0.86 cd | 10.5 ± 0.57 de | 5.3 ± 0.76 bc | 24.5 ± 1.01 bc |
| TRIA 2-FS | 14.3 ± 0.33 ab | 11 ± 0.76 de | 6 ± 0.57 ab | 26.3 ± 0.88 ab |
| TRIA 1-SP+FS | 17 ± 0.57 ab | 11.6 ± 0.70 cd | 7.6 ± 0.57 ab | 34 ± 0.57 cd |
| TRIA 2-SP+FS | 18.3 ± 0.8 a | 13.3 ± 1.09 abc | 8.66 ± 0.88 a | 47 ± 0.68 a |
| TRIA 1-SP+Cd | 8.6 ± 0.57 f | 6.66 ± 1.02 ef | 3.6 ± 0.66 ab | 14.5 ± 1.19 cd |
| TRIA 2-SP+Cd | 10.33 ± 0.8 f | 8 ± 0.8 cd | 4 ± 0.57 bc | 17.35 ± 0.7 cd |
| TRIA 1-FS+Cd | 8.33 ± 0.33 f | 7 ± 0.33 ef | 3.33 ± 0.33 b | 13.9 ± 1.57 cd |
| TRIA 2-FS+Cd | 9 ± 0.57 ef | 7.33 ± 0.57 f | 3.6 ± 0.33 ab | 15 ± 1.11 c |
| TRIA 1-SP+FS+Cd | 11.3 ± 0.8 a | 8 ± 0.57 b | 4.3 ± 0.33 a | 17.6 ± 0.8 bc |
| TRIA 2-SP+FS+Cd | 11.6 ± 0.88 ef | 9 ± 0.57 f | 4.6 ± 0.33 ab | 18 ± 0.57 cd |
| Treatments | Root Fresh Weight (g) | Shoot Fresh Weight (g) | Leaf Fresh Weight (g) | Root Dry Weight (g) | Shoot Dry Weight (g) | Leaf Dry Weight (g) |
|---|---|---|---|---|---|---|
| Control | 0.2 ± 0.01 gh | 1.17 ± 0.003 ef | 1.15 ± 0.01 ab | 0.26 ± 0.003 de | 0.3 ± 0.001 c | 1.166 ± 0.02 a |
| Cd | 0.04 ± 0.005 a | 0.46 ± 0.02 g | 0.72 ± 0.023 e | 0.01 ± 0.017 f | 0.06 ± 0.01 c | 0.17 ± 0.01 e |
| TRIA 1-SP | 0.24 ± 0.01 g | 1.24 ± 0.02 ef | 1.31 ± 0.017 a | 0.35 ± 0.02 cd | 0.48 ± 0.03 ab | 1.24 ± 0.023 ab |
| TRIA 2-SP | 0.33 ± 0.008 f | 1.31 ± 0.01 b | 1.44 ± 0.05 ab | 0.38 ± 0.01 cd | 0.54 ± 0.04 ab | 1.29 ± 0.055 ab |
| TRIA 1-FS | 0.22 ± 0.01 gh | 1.18 ± 0.008 f | 1.25 ± 0.03 a | 0.31 ± 0.01 cd | 0.32 ± 0.02 c | 1.21 ± 0.01 cd |
| TRIA 2-FS | 0.23 ± 0.008 g | 1.20 ± 0.08 g | 1.26 ± 1.27 ab | 0.32 ± 0.26 c | 0.37 ± 0.38 c | 1.22 ± 1.24 a |
| TRIA 1-SP+FS | 0.40 ± 0.08 g | 1.58 ± 0.04 d | 1.51 ± 0.04 a | 0.45 ± 0.02 cd | 0.62 ± 0.08 ab | 1.34 ± 0.03 ab |
| TRIA 2-SP+FS | 0.51 ± 0.02 ab | 1.71 ± 0.03 a | 1.75 ± 0.12 b | 0.66 ± 0.04 ef | 0.75 ± 0.03 f | 1.38 ± 0.25 d |
| TRIA 1-SP+Cd | 0.09 ± 0.08 d | 1.05 ± 0.01 b | 1.08 ± 1.09 ab | 0.07 ± 0.077 cd | 0.17 ± 0.17 a | 0.3 ± 0.24 b |
| TRIA 2-SP+Cd | 0.10 ± 0.006 c | 1.07 ± 0.04 cd | 1.10 ± 0.01 cd | 0.11 ± 0.05 g | 0.18 ± 0.02 cd | 0.44 ± 0.17 ab |
| TRIA 1-FS+Cd | 0.06 ± 0.003 b | 1.03 ± 0.005 d | 1.05 ± 0.01 ab | 0.08 ± 0.005 ab | 0.10 ± 0.08 a | 0.21 ± 0.01 b |
| TRIA 2-FS+Cd | 0.08 ± 0.008 a | 1.04 ± 0.01 bc | 1.06 ± 0.01 cd | 0.10 ± 0.008 cd | 0.17 ± 0.008 c | 0.26 ± 0.02 ab |
| TRIA 1-SP+FS+Cd | 0.11 ± 0.005 a | 1.13 ± 0.03 cd | 1.10 ± 0.01 bc | 0.133 ± 0.06 ab | 0.22 ± 0.02 c | 0.45 ± 0.063 a |
| TRIA 2-SP+FS+Cd | 0.12 ± 0.005 a | 1.14 ± 0.03 a | 1.12 ± 0.014 c | 0.15 ± 0.01 bc | 0.25 ± 0.006 e | 0.56 ± 0.07 d |
| Treatments | Chlorophyll a (mg/g) | Chlorophyll b (mg/g) | Total Chlorophyll (mg/g) | Carotenoid (mg/g) |
|---|---|---|---|---|
| Control | 0.032 ± 6.8 e | 0.058 d ± 3.23 de | 0.059 ± 2.78 e | 0.00022 ± 7.8 d |
| Cd | 0.01 ± 0.0 g | 0.03 ± 0.0019 h | 0.03 ± 0.0016 h | 0.00012 ± 19.7 i |
| TRIA 1-SP | 0.037 ± 3.91 d | 0.066 ± 4.19 cd | 0.068 ± 3.65 h | 0.00023 ± 2.08 d |
| TRIA 2-SP | 0.039 ± 2.79 c | 0.069 ± 2.302 bc | 0.0717 ± 2.14 d | 0.000233 ± 13.37 c |
| TRIA 1-FS | 0.034 ± 2.13 e | 0.062 ± 0.0001 bc | 0.064 ± 0.0001 c | 0.00021 ± 0.57 e |
| TRIA 2-FS | 0.036 ± 5.13 e | 0.065 ± 9.193 de | 0.067 ± 9.4 e | 0.00022 ± 9.5 c |
| TRIA 1-SP+FS | 0.040 ± 7.65 b | 0.072 ± 6.15 de | 0.074 ± 7.56 e | 0.00024 ± 14.8 fg |
| TRIA 2-SP+FS | 0.042 ± 0.0001 a | 0.074 ± 5.25 ab | 0.077 ± 9.36 b | 0.00025 ± 6.00 b |
| TRIA 1-SP+Cd | 0.026 ± 4.2 e | 0.047 ± 0.0001 a | 0.048 ± 0.0001 a | 0.00016 ± 20.9 a |
| TRIA 2-SP+Cd | 0.028 ± 3.88 e | 0.049 ± 5.41 f | 0.051 ± 4.88 f | 0.00017 ± 5.36 g |
| TRIA 1-FS+Cd | 0.023 ± 0.0003 f | 0.041 ± 9.05 fg | 0.043 ± 0.0018 f | 0.00014 ± 11.34 e |
| TRIA 2-FS+Cd | 0.025 ± 0.0002 f | 0.044 ± 4.51 ef | 0.046 ± 6.62 g | 0.00015 ± 22.69 f |
| TRIA 1-SP+FS+Cd | 0.029 ± 6.9 d | 0.054 ± 0.0006 g | 0.055 ± 0.005 d | 0.00018 ± 13.54 h |
| TRIA 2-SP+FS+Cd | 0.031 ± 6.99 c | 0.055 ± 2.44 cd | 0.557 ± 4.26 c | 0.00019 ± 20.91 d |
| Treatments | Mg2+ (mg/g) | K+ (mg/g) | Na+ (mg/g) | Zn2+ (mg/g) | Cd Uptake (mg/g) | AC | MTI |
|---|---|---|---|---|---|---|---|
| CONTROL | 5.7 ± 2.226 a | 14.0 ± 0.05 b | 29.7 ± 1.40 a | 2.06 ± 0.07 ab | 0 | 0 | 0 |
| Cd | 2.00 ± 0.002 e | 10.1 ± 0.12 f | 6.74 ± 0.21 c | 0.10 ± 0.01 a | 0.49 ± 0.008 h | 1.65 ± 0.02 a | 16.6 ± 2.02 a |
| TRIA 1-SP | 7.15 ± 0.15 i | 18.9 ± 0.03 ab | 41.3 ± 0.21 a | 4.05 ± 0.04 b | 0 | 0 | 0 |
| TRIA 2-SP | 7.68 ± 0.03 b | 19.2 ± 0.03 a | 44.5 ± 0.56 ab | 4.35 ± 0.02 cd | 0 | 0 | 0 |
| TRIA 1-FS | 6.14 ± 0.01 cd | 14.2 ± 0.02 abc | 35.7 ± 1.40 cd | 3.03 ± 0.10 bc | 0 | 0 | 0 |
| TRIA 2-FS | 7.02 ± 0.22 c | 14.4 ± 0.02 f | 39.5 ± 0.21 a | 3.63 ± 0.09 gh | 0 | 0 | 0 |
| TRIA 1-SP+FS | 8.34 ± 0.04 d | 19.4 ± 0.02 ab | 50.5 ± 1.54 c | 4.54 ± 0.03 gh | 0 | 0 | 0 |
| TRIA 2-SP+FS | 9.22 ± 0.01 f | 19.5 ± 0.03 e | 55.8 ± 1.34 h | 5.05 ± 0.05 h | 0 | 0 | 0 |
| TRIA 1-SP+CD | 4.89 ± 0.02 e | 12.5 ± 0.02 b | 14.2 ± 0.21 g | 0.92 ± 0.07 f | 0.34 ± 0.002 g | 1.16 ± 0.00 cd | 33.3 ± 0.90 h |
| TRIA 2-SP+Cd | 5.39 ± 0.01 a | 12.8 ± 0.01 a | 17.2 ± 0.37 f | 1.18 ± 0.01 cd | 0.31 ± 0.005 a | 1.05 ± 0.01 ab | 42.6 ± 6.01 ab |
| TRIA 1-FS+Cd | 4.15 ± 0.04 ab | 11.6 ± 0.02 a | 8.24 ± 0.37 gh | 0.23 ± 0.05 c | 0.47 ± 0.057 ab | 1.56 ± 0.19 cd | 22.9 ± 0.61 cd |
| TRIA 2-FS+cd | 4.64 ± 0.01 b | 11.9 ± 0.02 cd | 12.1 ± 0.98 gh | 0.46 ± 0.03 ab | 0.43 ± 0.013 b | 1.44 ± 0.04 a | 31.1 ± 2.17 cd |
| TRIA 1-SP+FS+Cd | 5.47 ± 0.00 f | 12.9 ± 0.01 ef | 20.6 ± 0.21 cd | 1.43 ± 0.00 a | 0.30 ± 0.089 cd | 1.00 ± 0.29 ab | 46.7 ± 4.23 c |
| TRIA 2-SP+FS+Cd | 5.54 ± 0.01 gh | 13.2 ± 0.09 gh | 23.6 ± 0.37 c | 1.87 ± 0.01 d | 0.23 ± 0.064 cd | 0.78 ± 0.21 b | 56.1 ± 3.59 e |
Disclaimer/Publisher’s Note: The statements, opinions and data contained in all publications are solely those of the individual author(s) and contributor(s) and not of MDPI and/or the editor(s). MDPI and/or the editor(s) disclaim responsibility for any injury to people or property resulting from any ideas, methods, instructions or products referred to in the content. |
© 2024 by the authors. Licensee MDPI, Basel, Switzerland. This article is an open access article distributed under the terms and conditions of the Creative Commons Attribution (CC BY) license (https://creativecommons.org/licenses/by/4.0/).
Share and Cite
Ahmed, S.; Akram, A.; Sardar, R.; Yasin, N.A.; Fatima, M.; Jabbar, M.; Lackner, M. Protective Role of Triacontanol (Myricyl Alcohol) Towards the Nutrients Uptake and Growth in Brassica rapa L. Under Cadmium Stress. Agronomy 2024, 14, 2916. https://doi.org/10.3390/agronomy14122916
Ahmed S, Akram A, Sardar R, Yasin NA, Fatima M, Jabbar M, Lackner M. Protective Role of Triacontanol (Myricyl Alcohol) Towards the Nutrients Uptake and Growth in Brassica rapa L. Under Cadmium Stress. Agronomy. 2024; 14(12):2916. https://doi.org/10.3390/agronomy14122916
Chicago/Turabian StyleAhmed, Shakil, Aleeza Akram, Rehana Sardar, Nasim Ahmad Yasin, Mariam Fatima, Muhammad Jabbar, and Maximilian Lackner. 2024. "Protective Role of Triacontanol (Myricyl Alcohol) Towards the Nutrients Uptake and Growth in Brassica rapa L. Under Cadmium Stress" Agronomy 14, no. 12: 2916. https://doi.org/10.3390/agronomy14122916
APA StyleAhmed, S., Akram, A., Sardar, R., Yasin, N. A., Fatima, M., Jabbar, M., & Lackner, M. (2024). Protective Role of Triacontanol (Myricyl Alcohol) Towards the Nutrients Uptake and Growth in Brassica rapa L. Under Cadmium Stress. Agronomy, 14(12), 2916. https://doi.org/10.3390/agronomy14122916

