Impact of Organic Fertilizer Substitution and Chemical Nitrogen Fertilizer Reduction on Soil Enzyme Activity and Microbial Communities in an Apple Orchard
Abstract
1. Introduction
2. Materials and Methods
2.1. Study Area
2.2. Organic Fertilizer Substitution and N Reduction Treatments
2.3. Soil Sampling
2.4. Determination of Soil Enzyme Activity
2.5. Analysis of Soil Microbial Community
2.6. Statistical Analysis
3. Results
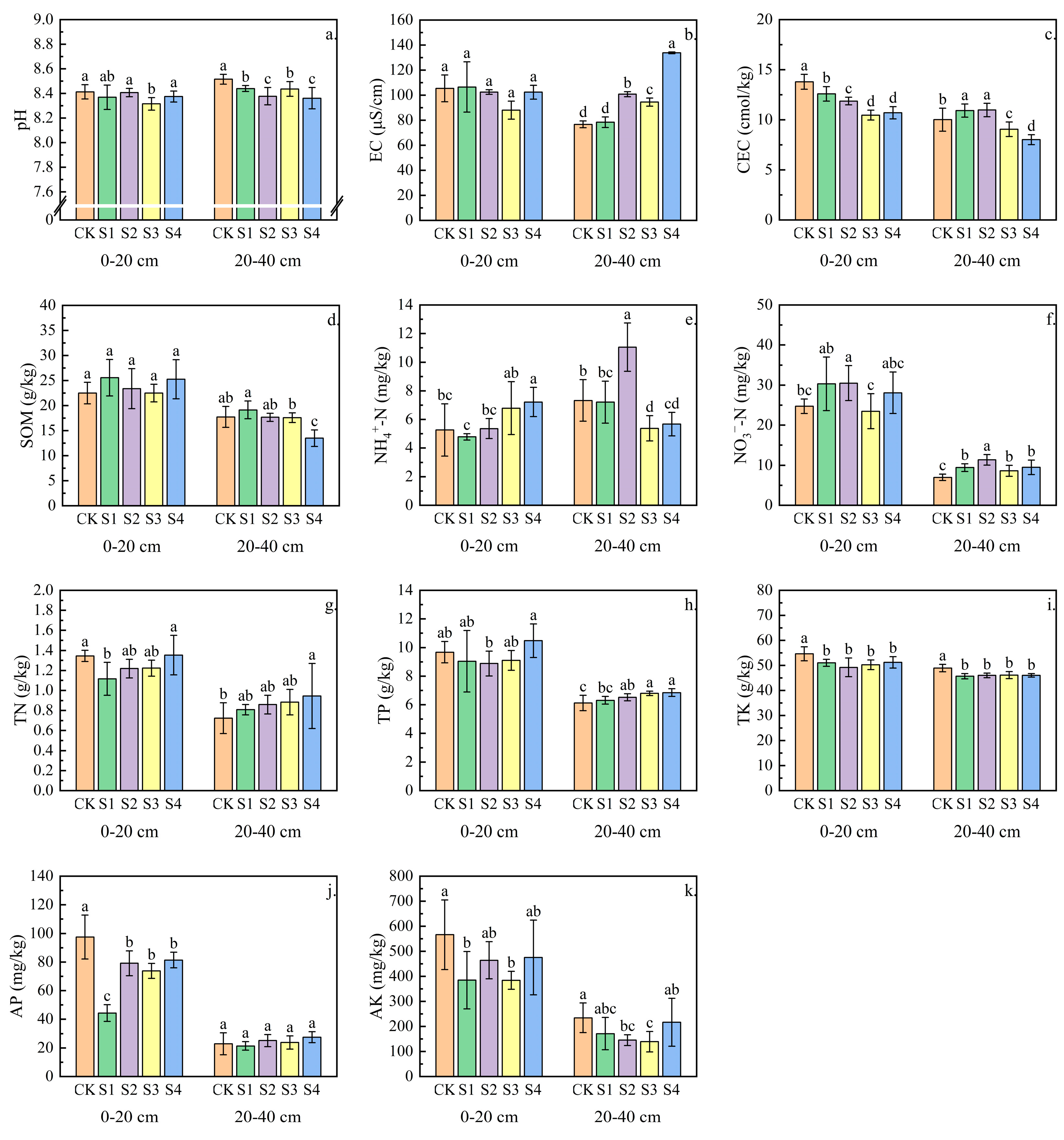
3.1. Soil Physicochemical Properties and Nutrient Content Under Different Fertilization Treatments
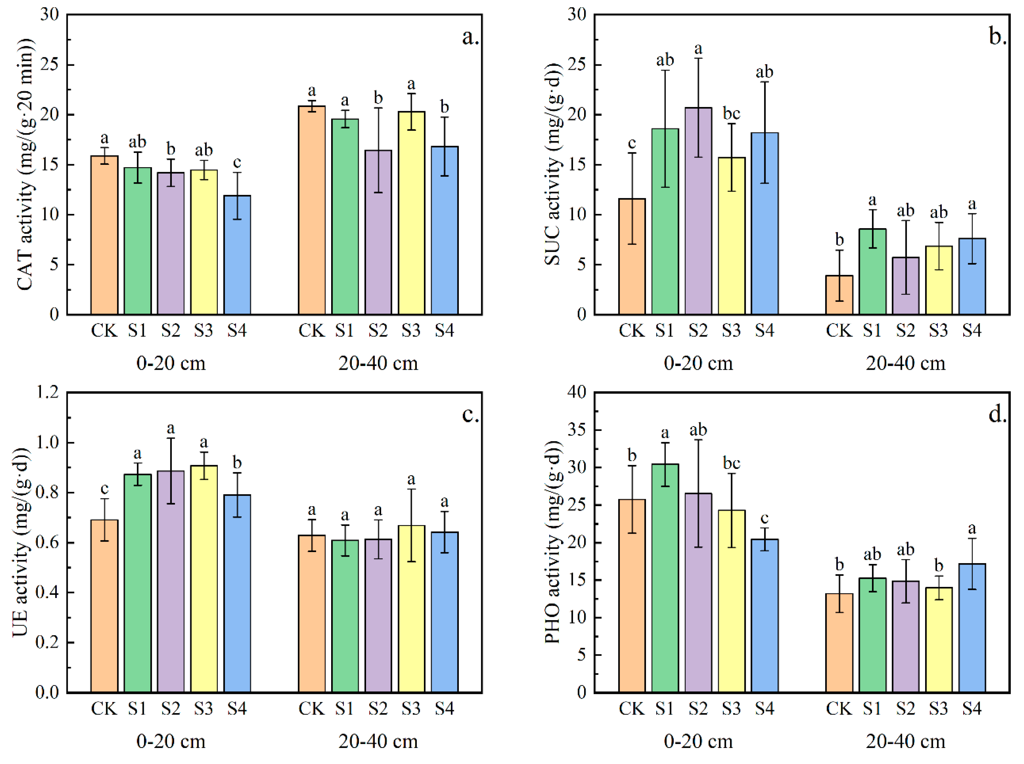
3.2. Soil Enzyme Activity Under Different Fertilization Treatments
3.3. Soil Microbial Community Structure Under Different Fertilization Treatments
3.3.1. Changes in Soil Bacterial Community Structure
3.3.2. Changes in Soil Fungal Community Structure
3.3.3. Changes in Soil Archaeal Community Structure
4. Discussion
4.1. Effects of Different Fertilization Treatments on Soil Physicochemical Properties and Enzyme Activities
4.2. Effects of Different Fertilization Treatments on Changes in the Soil Microbial Community Structure
5. Conclusions
Supplementary Materials
Author Contributions
Funding
Data Availability Statement
Conflicts of Interest
References
- Jiang, S.; Yang, C.; Guo, Y.; Jiao, X.Q. Integrated horticultural practices for improving apple supply chain sustainability: A case study in the North China Plain. Agronomy 2021, 11, 1975. [Google Scholar] [CrossRef]
- Wang, N.; Wolf, J.; Zhang, F.S. Towards sustainable intensification of apple production in China—Yield gaps and nutrient use efficiency in apple farming systems. J. Integr. Agric. 2016, 15, 716–725. [Google Scholar] [CrossRef]
- Glover, J.D.; Reganold, J.P.; Andrews, P.K. Systematic method for rating soil quality of conventional, organic, and integrated apple orchards in Washington State. Agr. Ecosyst. Environ. 2000, 80, 29–45. [Google Scholar] [CrossRef]
- Wan, L.; Zhao, Y.M.; Xia, L.D.; Hu, J.; Xue, T.X.; Lv, H.F.; Yao, Z.S.; Meng, F.Q.; Li, G.Y.; Butterbach-Bahl, K. Assessing the environmental sustainability of different soil disinfestation methods used in solar greenhouse vegetable production systems. Sci. Total Environ. 2023, 885, 163962. [Google Scholar] [CrossRef]
- Tian, S.Y.; Zhu, B.J.; Yin, R.; Wang, M.W.; Jiang, Y.J.; Zhao, C.Z.; Li, D.M.; Chen, X.Y.; Kardol, P.; Liu, M.Q. Organic fertilization promotes crop productivity through changes in soil aggregation. Soil Biol. Biochem. 2022, 165, 108533. [Google Scholar] [CrossRef]
- Wang, Y.J.; Xu, Y.; Jiang, L.H.; Yang, Y.; Guan, X.L.; Sun, T.; Zhao, H.Y.; Wang, Y.F.; Liu, Y.M. Effect of Mild Organic Substitution on Soil Quality and Microbial Community. Agronomy 2021, 14, 888. [Google Scholar] [CrossRef]
- Zhang, H.; Ma, Y.; Shao, J.Z.; Di, R.; Zhu, F.; Yang, Z.C.; Sun, J.S.; Zhang, X.Y.; Zheng, C.Y. Changes in soil bacterial community and functions by substituting chemical fertilizer with biogas slurry in an apple orchard. Front. Plant Sci. 2022, 13, 1013184. [Google Scholar] [CrossRef]
- Ren, T.B.; Feng, H.L.; Xu, C.S.; Xu, Q.; Fu, B.; Azwar, E.; Wei, Y.W.; Lam, S.S.; Liu, G.S. Exogenous application and interaction of biochar with environmental factors for improving functional diversity of rhizosphere’s microbial community and health. Chemosphere 2022, 294, 133710. [Google Scholar] [CrossRef]
- Ma, L.; Li, Z.S.; Li, Y.; Wei, J.L.; Zhang, L.F.; Zheng, F.L.; Liu, Z.H.; Tan, D.S. Variations in crop yield caused by different ratios of organic substitution are closely related to microbial ecological clusters in a fluvo-aquic soil. Field Crops Res. 2024, 306, 109239. [Google Scholar] [CrossRef]
- Shen, M.C.; Zhang, Y.Z.; Bo, G.D.; Yang, B.B.; Wang, P.; Ding, Z.G.; Wang, Z.B.; Yang, J.M.; Zhang, P.; Yuan, X.L. Microbial responses to the reduction of chemical fertilizers in the rhizosphere soil of flue-cured tobacco. Front. Bioeng. Biotechnol. 2022, 9, 812316. [Google Scholar] [CrossRef]
- Ning, C.C.; Gao, P.; Wang, B.Q.; Lin, W.P.; Jiang, N.H.; Cai, K. Impacts of chemical fertilizer reduction and organic amendments supplementation on soil nutrient, enzyme activity and heavy metal content. J. Integr. Agric. 2017, 16, 1819–1831. [Google Scholar] [CrossRef]
- Liu, Z.P.; Zhou, H.P.; Xie, W.Y.; Yang, Z.X.; Zhang, P.F. Effects of returning different organic materials in combination with inorganic fertilizers on the diversity of eukaryotic microorganisms in semi-arid Northern China. Agronomy 2022, 12, 3116. [Google Scholar] [CrossRef]
- Jin, N.; Jin, L.; Wang, S.Y.; Li, J.W.; Liu, F.H.; Liu, Z.C.; Luo, S.L.; Wu, Y.; Lyu, J.; Yu, J.H. Reduced chemical fertilizer combined with bio-organic fertilizer affects the soil microbial community and yield and quality of lettuce. Front. Microbiol. 2022, 13, 863325. [Google Scholar] [CrossRef] [PubMed]
- Ren, J.H.; Liu, X.L.; Yang, W.P.; Yang, X.X.; Li, W.G.; Xia, Q.; Li, J.H.; Gao, Z.Q.; Yang, Z.P. Rhizosphere soil properties, microbial community, and enzyme activities: Short-term responses to partial substitution of chemical fertilizer with organic manure. J. Environ. Manage. 2021, 299, 113650. [Google Scholar] [CrossRef] [PubMed]
- Li, Q.; Chen, Y.A.; Zhu, J.D.; Liu, L.Z.; Liu, J.; Cheng, C.Z.; Li, L. Effects of organic substitution on the yield and quality of apples and residual nitrate-N leaching in soil. Agronomy 2024, 14, 415. [Google Scholar] [CrossRef]
- Yuan, X.; Zhang, J.A.; Chang, F.Y.; Wang, X.Y.; Zhang, X.M.; Luan, H.A.; Qi, G.H.; Guo, S.P. Effects of nitrogen reduction combined with bio-organic fertilizer on soil bacterial community diversity of red raspberry orchard. PLoS ONE 2023, 7, e0283718. [Google Scholar] [CrossRef] [PubMed]
- Zhu, Z.L.; Bai, Y.; Lv, M.L.; Tian, G.; Zhang, X.; Li, l.; Jiang, Y.M.; Ge, S.F. Soil Fertility, microbial biomass, and microbial functional diversity responses to four years fertilization in an apple orchard in North China. Hortic. Plant J. 2020, 4, 223–230. [Google Scholar] [CrossRef]
- Ma, Y.J.; Shen, S.Z.; Wan, C.; Wang, S.Q.; Yang, F.X.; Zhang, K.Q.; Gao, W.X. Organic fertilizer substitution over six years improves the productivity of garlic, bacterial diversity, and microbial communities network complexity. Appl. Soil Ecol. 2023, 182, 104718. [Google Scholar] [CrossRef]
- IUSS Working Group WRB. World Reference Base for Soil Resources; International Soil Classification System for Naming Soils and Creating Legends for Soil Maps; International Union of Soil Sciences (IUSS): Vienna, Austria, 2022. [Google Scholar]
- Pansu, M.; Gautheyrou, J. Handbook of Soil Analysis: Mineralogical, Organic and Inorganic Methods; Springer: Berlin/Heidelberg, Germany, 2006. [Google Scholar]
- Xiao, Q.Q.; He, B.P.; Wang, S. Effect of the different fertilization treatments application on paddy soil enzyme activities and bacterial community composition. Agronomy 2023, 13, 712. [Google Scholar] [CrossRef]
- Lin, Y.X.; Ye, G.P.; Kuzyakov, Y.; Liu, D.Y.; Fan, J.B.; Ding, W.X. Long-term manure application increases soil organic matter and aggregation, and alters microbial community structure and keystone taxa. Soil Biol. Biochem. 2019, 134, 187–196. [Google Scholar] [CrossRef]
- Wang, C.; Liu, D.W.; Bai, E. Decreasing soil microbial diversity is associated with decreasing microbial biomass under nitrogen addition. Soil Biol. Biochem. 2018, 120, 126–133. [Google Scholar] [CrossRef]
- Lin, H.; Peddada, S.D. Analysis of microbial compositions: A review of normalization and differential abundance analysis. Npj Biofilms Microbiomes 2020, 6, 60. [Google Scholar] [CrossRef] [PubMed]
- Kai, T.; Adhikari, D. Effect of organic and chemical fertilizer application on apple nutrient content and orchard soil condition. Agriculture 2021, 11, 340. [Google Scholar] [CrossRef]
- Schroder, J.L.; Zhang, H.L.; Girma, K.; Raun, W.R.; Penn, C.J. Soil acidification from long-term use of nitrogen fertilizers on winter wheat. Soil Sci. Soc. Am. J. 2011, 75, 957–964. [Google Scholar] [CrossRef]
- Shang, L.R.; Wan, L.Q.; Zhou, X.X.; Li, S.; Li, X.L. Effects of organic fertilizer on soil nutrient status, enzyme activity, and bacterial community diversity in Leymus chinensis steppe in Inner Mongolia, China. PLoS ONE 2020, 15, e0240559. [Google Scholar] [CrossRef]
- Chen, Y.; Zhang, X.D.; He, H.B.; Xie, H.T.; Yan, Y.; Zhu, P.; Ren, J.; Wang, L.C. Carbon and nitrogen pools in different aggregates of a Chinese Mollisol as influenced by long-term fertilization. J. Soils Sediments 2010, 10, 1018–1026. [Google Scholar] [CrossRef]
- Pinggera, J.; Geisseler, D.; Piepho, H.P.; Joergensen, R.G.; Ludwig, B. Effect of substrate quality on the N uptake routes of soil microorganisms in different soil depths. Pedobiologia 2015, 58, 211–218. [Google Scholar] [CrossRef]
- Philippot, L.; Chenu, C.; Kappler, A.; Rillig, M.C.; Fierer, N. The interplay between microbial communities and soil properties. Nat. Rev. Microbiol. 2024, 22, 226–239. [Google Scholar] [CrossRef]
- Soumare, A.; Sarr, D.; Diedhiou, A.G. Potassium sources, microorganisms and plant nutrition: Challenges and future research directions. Pedosphere 2023, 33, 105–115. [Google Scholar] [CrossRef]
- Zhao, Y.G.; Ma, J.J.; Sun, X.H.; Guo, X.H. Spatial distribution of soil moisture and fine roots of apple trees under water storage pit irrigation. J. Irrig. Drain. Eng. 2014, 140, 06013001. [Google Scholar] [CrossRef]
- Yang, Y.H.; Li, M.J.; Wu, J.C.; Pan, X.Y.; Gao, C.M.; Tang, D.W.S. Impact of combining long-term subsoiling and organic fertilizer on soil microbial biomass carbon and N, soil enzyme activity, and water use of winter wheat. Front. Plant Sci. 2022, 12, 788651. [Google Scholar] [CrossRef] [PubMed]
- Zhang, G.N.; Chen, Z.H.; Zhang, A.M.; Chen, L.J.; Wu, Z.J.; Ma, X.Z. Phosphorus composition and phosphatase activities in soils affected by long-term application of pig manure and inorganic fertilizers. Commun. Soil Sci. Plant Anal. 2014, 45, 1866–1876. [Google Scholar] [CrossRef]
- Li, Y.L.; Tremblay, J.; Bainard, L.D.; Cade-Menun, B.; Hamel, C. Long-term effects of nitrogen and phosphorus fertilization on soil microbial community structure and function under continuous wheat production. Environ. Microbiol. 2020, 22, 1066–1088. [Google Scholar] [CrossRef] [PubMed]
- Luo, J.P.; Liao, G.C.; Banerjee, S.; Gu, S.H.; Liang, J.B.; Guo, X.Y.; Zhao, H.P.; Liang, Y.C.; Li, T.Q. Long-term organic fertilization promotes the resilience of soil multifunctionality driven by bacterial communities. Soil Biol. Biochem. 2023, 177, 108922. [Google Scholar] [CrossRef]
- Gao, R.P.; Duan, Y.; Zhang, J.; Ren, Y.F.; Li, H.C.; Liu, X.Y.; Zhao, P.Y.; Jing, Y.P. Effects of long-term application of organic manure and chemical fertilizer on soil properties and microbial communities in the agro-pastoral ecotone of North China. Front. Environ. Sci. 2022, 10, 993973. [Google Scholar] [CrossRef]
- Ma, T.F.; He, X.H.; Chen, S.G.; Li, Y.J.; Huang, Q.W.; Xue, C.; Shen, Q.R. Long-term organic-inorganic fertilization regimes alter bacterial and fungal communities and rice yields in paddy soil. Front. Microbiol. 2022, 13, 890712. [Google Scholar] [CrossRef]
- Shen, J.P.; Zhang, L.M.; Guo, J.F.; Ray, J.L.; He, J.Z. Impact of long-term fertilization practices on the abundance and composition of soil bacterial communities in Northeast China. Appl. Soil Ecol. 2010, 46, 119–124. [Google Scholar] [CrossRef]
- Hua, L.Q.; Yang, S.Q.; Xia, Z.F.; Zeng, H. Application of sophora alopecuroides organic fertilizer changes the rhizosphere microbial community structure of melon plants and increases the fruit sugar content. J. Sci. Food Agric. 2023, 103, 164–175. [Google Scholar] [CrossRef]
- Lv, X.F.; Yu, J.B.; Fu, Y.Q.; Ma, B.; Qu, F.Z.; Ning, K.; Wu, H.F. A meta-analysis of the bacterial and archaeal diversity observed in wetland soils. Sci. World J. 2014, 2014, 437684. [Google Scholar] [CrossRef]






| Treatment | Fertilization Mode | Basal Fertilizer kg/ha | Ratio of Chemical and Organic Fertilizer | Application Amounts of Chemical Fertilizer (kg/tree) | Application Amount of Liquid Humic Fertilizer (kg/tree) | ||
|---|---|---|---|---|---|---|---|
| Well-Decomposed Sheep Manure | Balanced Fertilizer | Superphosphate | Potassium Sulfate | ||||
| CK | Control | 59,970 | 100% chemical fertilizer | 2.5 | 0 | 0 | 0 |
| S1 | Organic fertilizer substitution mode | 59,970 | 80% chemical fertilizer + 20% liquid humic fertilizer | 2 | 0.424 | 0.114 | 0.496 |
| S2 | 59,970 | 60% chemical fertilizer + 40% liquid humic fertilizer | 1.5 | 0.849 | 0.227 | 0.994 | |
| S3 | Organic fertilizer substitution + N reduction mode | 59,970 | 60% chemical fertilizer + 20% liquid humic fertilizer | 1.5 | 0.894 | 0.274 | 0.496 |
| S4 | 59,970 | 40% chemical fertilizer + 40% liquid humic fertilizer | 1 | 1.318 | 0.387 | 0.994 | |
Disclaimer/Publisher’s Note: The statements, opinions and data contained in all publications are solely those of the individual author(s) and contributor(s) and not of MDPI and/or the editor(s). MDPI and/or the editor(s) disclaim responsibility for any injury to people or property resulting from any ideas, methods, instructions or products referred to in the content. |
© 2024 by the authors. Licensee MDPI, Basel, Switzerland. This article is an open access article distributed under the terms and conditions of the Creative Commons Attribution (CC BY) license (https://creativecommons.org/licenses/by/4.0/).
Share and Cite
Yan, Y.; Zhang, X.; Liu, Y.; Hou, L.; Geng, Z.; Hu, F.; Xu, C. Impact of Organic Fertilizer Substitution and Chemical Nitrogen Fertilizer Reduction on Soil Enzyme Activity and Microbial Communities in an Apple Orchard. Agronomy 2024, 14, 2917. https://doi.org/10.3390/agronomy14122917
Yan Y, Zhang X, Liu Y, Hou L, Geng Z, Hu F, Xu C. Impact of Organic Fertilizer Substitution and Chemical Nitrogen Fertilizer Reduction on Soil Enzyme Activity and Microbial Communities in an Apple Orchard. Agronomy. 2024; 14(12):2917. https://doi.org/10.3390/agronomy14122917
Chicago/Turabian StyleYan, Yuyang, Xinran Zhang, Yuan Liu, Lei Hou, Zengchao Geng, Feinan Hu, and Chenyang Xu. 2024. "Impact of Organic Fertilizer Substitution and Chemical Nitrogen Fertilizer Reduction on Soil Enzyme Activity and Microbial Communities in an Apple Orchard" Agronomy 14, no. 12: 2917. https://doi.org/10.3390/agronomy14122917
APA StyleYan, Y., Zhang, X., Liu, Y., Hou, L., Geng, Z., Hu, F., & Xu, C. (2024). Impact of Organic Fertilizer Substitution and Chemical Nitrogen Fertilizer Reduction on Soil Enzyme Activity and Microbial Communities in an Apple Orchard. Agronomy, 14(12), 2917. https://doi.org/10.3390/agronomy14122917

