Spatial, Vertical, and Temporal Soil Water Content Variability Affected by Low-Pressure Drip Irrigation in Sandy Loam Soil: A Soil Bin Experimental Study
Abstract
1. Introduction
2. Materials and Methods
2.1. Soil Bin Preparation and Sensor Calibration
2.2. Experimental Layout and Procedures
3. Results
3.1. Impact of Drip Irrigation Pressure on SWC Variability
3.2. SWC Spatial Variability by Irrigation Pressure
3.3. SWC Vertical Variability by Irrigation Pressure
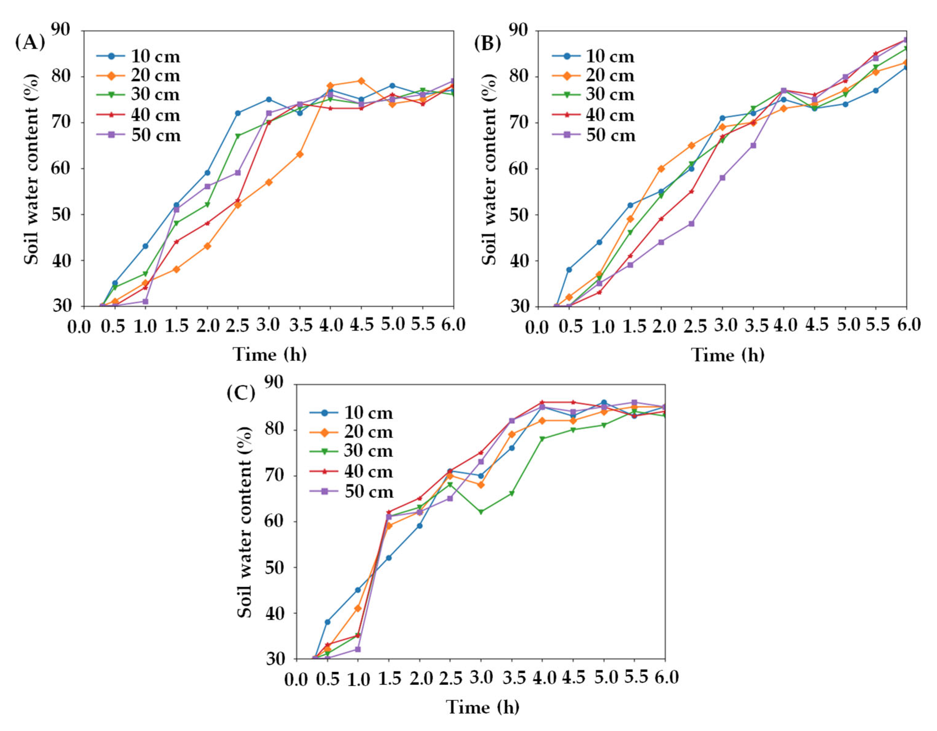
3.4. SWC Temporal Change by Irrigation Pressure
4. Discussion
5. Conclusions
Author Contributions
Funding
Data Availability Statement
Conflicts of Interest
References
- Hussain, M.I.; Farooq, M.; Muscolo, A.; Rehman, A. Crop diversification and saline water irrigation as potential strategies to save freshwater resources and reclamation of marginal soils—A review. Environ. Sci. Pollut. Res. 2020, 27, 28695–28729. [Google Scholar] [CrossRef] [PubMed]
- Ali, M.; Chowdhury, M.; Islam, M.N.; Islam, S.; Kiraga, S.; Jeong, J.H.; Chung, S.O. Irrigation control and image acquisition for rice cultivation in UAE desert soil. IOP Conf. Ser. Earth Environ. Sci. 2021, 924, 012018. [Google Scholar] [CrossRef]
- Li, H.; Dong, Z.; Wang, L. Research on temporal and spatial variety of soil moistures of shifting sand dune and four main plant communities on Otindag sandy land. J. Arid Land Resour. Environ. 2006, 20, 169–174. [Google Scholar]
- Çolak, Y.B.; Yazar, A.; Gönen, E.; Eroğlu, E.Ç. Yield and quality response of surface and subsurface drip-irrigated eggplant and comparison of net returns. Agric. Water Manag. 2018, 206, 165–175. [Google Scholar] [CrossRef]
- Yuan, Z.; Bi, J.; Moriguichi, Y. The circular economy: A new development strategy in China. J. Ind. Ecol. 2006, 10, 4–8. [Google Scholar] [CrossRef]
- Sezen, S.M.; Yazar, A.; Eker, S. Effect of drip irrigation regimes on yield and quality of field grown bell pepper. Agric. Water Manag. 2006, 81, 115–131. [Google Scholar] [CrossRef]
- Niu, Y.; Zhang, K.; Khan, K.S.; Fudjoe, S.K.; Li, L.; Wang, L.; Luo, Z. Deficit irrigation as an effective way to increase potato water use efficiency in Northern China: A meta-analysis. Agronomy 2024, 14, 1533. [Google Scholar] [CrossRef]
- Hartz, T.; Smith, R.; Cahn, M.; Bottoms, T.; Bustamante, S.C.; Tourte, L.; Coletti, L. Wood chip denitrification bioreactors can reduce nitrate in tile drainage. Calif. Agric. 2017, 71, 41–47. [Google Scholar] [CrossRef]
- Naorem, A.; Jayaraman, S.; Dang, Y.P.; Dalal, R.C.; Sinha, N.K.; Rao, C.S.; Patra, A.K. Soil constraints in an arid environment—Challenges, prospects, and implications. Agronomy 2023, 13, 220. [Google Scholar] [CrossRef]
- Chen, Y.; Zhang, J.H.; Chen, M.X.; Zhu, F.Y.; Song, T. Optimizing water conservation and utilization with a regulated deficit irrigation strategy in woody crops: A review. Agric. Water Manag. 2023, 289, 108523. [Google Scholar] [CrossRef]
- Li, X.; Zhao, W.; Li, J.; Li, Y. Effects of irrigation strategies and soil properties on the characteristics of deep percolation and crop water requirements for a variable rate irrigation system. Agric. Water Manag. 2021, 257, 107143. [Google Scholar] [CrossRef]
- Qi, W.; Zhang, Z.; Wang, C.; Huang, M. Prediction of infiltration behaviors and evaluation of irrigation efficiency in clay loam soil under Moistube® irrigation. Agric. Water Manag. 2021, 248, 106756. [Google Scholar] [CrossRef]
- Velayudhan, N.K.; Pradeep, P.; Rao, S.N.; Devidas, A.R.; Ramesh, M.V. IoT-enabled water distribution systems—A comparative technological review. IEEE Access 2022, 10, 101042–101070. [Google Scholar] [CrossRef]
- Aiswarya, L.; Siddharam; Sandeepika, M. Soil moisture distribution pattern under drip irrigation in sandy loam soil using gravimetric method. Asian J. Soil Sci. Plant Nutr. 2024, 10, 198–204. [Google Scholar] [CrossRef]
- Ladányi, Z.; Barta, K.; Blanka, V.; Pálffy, B. Assessing available water content of sandy soils to support drought monitoring and agricultural water management. Water Resour. Manag. 2021, 35, 869–880. [Google Scholar] [CrossRef]
- Oklahoma Cooperative Extension Service (OCES). Managing Pressure in the Home Irrigation System (HLA-6617). 2019. Available online: https://extension.okstate.edu/fact-sheets/managing-pressure-in-the-home-irrigation-system.html (accessed on 27 November 2024).
- Nikolaou, G.; Neocleous, D.; Christou, A.; Kitta, E.; Katsoulas, N. Implementing sustainable irrigation in water-scarce regions under the impact of climate change. Agronomy 2020, 10, 1120. [Google Scholar] [CrossRef]
- Bhatti, S.; Heeren, D.M.; O’Shaughnessy, S.A.; Neale, C.M.; LaRue, J.; Melvin, S.; Bai, G. Toward automated irrigation management with integrated crop water stress index and spatial soil water balance. Precis. Agric. 2023, 24, 2223–2247. [Google Scholar] [CrossRef]
- Alhammadi, M.; Al-Shrouf, A. Irrigation of sandy soils, basics and scheduling. In Crop Production; Goyal, A., Asif, M., Eds.; IntechOpen: London, UK, 2013. [Google Scholar]
- Zin El-Abedin, T.K.; Mattar, M.A.; Alazba, A.A. Soil wetting pattern from subsurface drip irrigation as affected by application of a polyacrylamide layer. Irrig. Drain. 2015, 64, 609–618. [Google Scholar] [CrossRef]
- Hou, L.; Wang, X.-S.; Hu, B.X.; Shang, J.; Wan, L. Experimental and numerical investigations of soil water balance at the hinterland of the Badain Jaran Desert for groundwater recharge estimation. J. Hydrol. 2016, 540, 386–396. [Google Scholar] [CrossRef]
- Fu, C.; Zhao, J.; Mei, F.; Shao, T.; Zuo, J. Vertical distribution of soil moisture and surface sandy soil wind erosion for different types of sand dune on the southeastern margin of the Mu Us Sandy Land, China. Sci. Cold Arid Reg. 2015, 7, 675–686. [Google Scholar]
- Fares, A.; Awal, R.; Bayabil, H.K. SWC sensor response to organic matter content under laboratory conditions. Sensors 2016, 16, 1239. [Google Scholar] [CrossRef] [PubMed]
- Provenzano, G.; Rallo, G.; Ghazouani, H. Assessing field and laboratory calibration protocols for the Diviner 2000 probe in a range of soils with different textures. J. Irrig. Drain. Eng. 2015, 142, 04015040. [Google Scholar] [CrossRef]
- Vaz, A.C.; Richards, K.J.; Jia, Y.; Paris, C.B. Mesoscale flow variability and its impact on connectivity for the island of Hawaii. Geophys. Res. Lett. 2013, 40, 332–337. [Google Scholar] [CrossRef]
- Corradini, C. Soil moisture in the development of hydrological processes and its determination at different spatial scales. J. Hydrol. 2014, 516, 1–5. [Google Scholar] [CrossRef]
- Robinson, D.A.; Campbell, C.S.; Hopmans, J.W.; Hornbuckle, B.K.; Jones, S.B.; Knight, R.; Ogden, F.; Selker, J.; Wendroth, O. Soil moisture measurement for ecological and hydrological watershed-scale observatories: A review. Vadose Zone J. 2008, 7, 358–389. [Google Scholar] [CrossRef]
- Gonçalves, A.C.A.; Rezende, R.; Frizzone, J.A.; Folegatti, M.V.; Tormena, C.A. Distribution of water in sandy soil applied by drip irrigation. Eng. Agrícola 2014, 34, 1175–1185. [Google Scholar] [CrossRef]
- Lazarovitch, N.; Warrick, A.W.; Furman, A.; Šimůnek, J. Subsurface water distribution from drip irrigation described by moment analyses. Vadose Zone J. 2007, 6, 116–123. [Google Scholar] [CrossRef]
- Yousef, K.; Abo Gabal, E.M.; Galal, M.E.; El-Gendy, R.W.; Elmoneam, M.A. Soil moisture distribution in sandy soil under drip irrigation system using neutron scattering method. Misr J. Agric. Eng. 2011, 28, 68–86. [Google Scholar] [CrossRef]
- Appels, W.M.; Karimi, R. Analysis of soil wetting patterns in subsurface drip irrigation systems—Indoor alfalfa experiments. Agric. Water Manag. 2021, 250, 106832. [Google Scholar] [CrossRef]
- Zotarelli, L.; Scholberg, J.M.; Dukes, M.D.; Munoz-Carpena, R.; Icerman, J. Tomato yield, biomass accumulation, root distribution and irrigation water use efficiency on a sandy soil, as affected by nitrogen rate and irrigation scheduling. Agric. Water Manag 2009, 96, 23–34. [Google Scholar] [CrossRef]
- Dukes, M.D.; Scholberg, J.M. Soil moisture controlled subsurface drip irrigation on sandy soils. Appl. Eng. Agric. 2005, 21, 89–101. [Google Scholar] [CrossRef]
- Kumar, M.; Sansaniwal, S.K.; Khatak, P. Progress in solar dryers for drying various commodities. Renew. Sustain. Energy Rev. 2016, 55, 346–360. [Google Scholar] [CrossRef]
- Kulmány, I.M.; Bede-Fazekas, Á.; Beslin, A.; Giczi, Z.; Milics, G.; Kovács, B.; Kovács, M.; Ambrus, B.; Bede, L.; Vona, V. Calibration of an Arduino-based low-cost capacitive soil moisture sensor for smart agriculture. J. Hydrol. Hydromech. 2022, 70, 330–340. [Google Scholar] [CrossRef]
- Ali, M.; Ali, M.R.; Gulandaz, M.A.; Haque, M.A.; Sazzadul, M.; Kabir, S.O.C. Development of a sandy soil water content monitoring system for greenhouses using Internet of Things. Precis. Agric. Sci. Technol. 2023, 5, 170–180. [Google Scholar] [CrossRef]
- Akhtar, P.; Khan, Z.; Frynas, J.G.; Tse, Y.K.; Rao-Nicholson, R. Essential micro-foundations for contemporary business operations: Top management tangible competencies, relationship-based business networks and environmental sustainability. Br. J. Manag. 2018, 29, 43–62. [Google Scholar] [CrossRef]
- Radi, R.; Isleem, U.; Al Omari, L.; Alimoğlu, O.; Ankarali, H.; Taha, H. Attitudes and barriers towards using complementary and alternative medicine among university students in Jordan. Complement. Ther. Med. 2018, 41, 175–179. [Google Scholar] [CrossRef]
- Peranić, J.; Vivoda Prodan, M.; Škuflić, R.; Arbanas, Ž. Preliminary experiences in determining the soil–water characteristic curve of a sandy soil using physical slope modeling. Water 2024, 16, 1859. [Google Scholar] [CrossRef]
- Kang, Y.; Wan, S. Effect of soil water potential on radish (Raphanus sativus L.) growth and water use under drip irrigation. Sci. Hortic. 2005, 106, 275–292. [Google Scholar] [CrossRef]
- Daccache, A.; Knox, J.W.; Weatherhead, E.K.; Daneshkhah, A.; Hess, T.M. Implementing precision irrigation in a humid climate–Recent experiences and on-going challenges. Agric. Water Manag. 2015, 147, 135–143. [Google Scholar] [CrossRef]
- Lakhiar, I.A.; Yan, H.; Zhang, C.; Wang, G.; He, B.; Hao, B.; Han, Y.; Wang, B.; Bao, R.; Syed, T.N.; et al. A review of precision irrigation water-saving technology under changing climate for enhancing water use efficiency, crop yield, and environmental footprints. Agriculture 2024, 14, 1141. [Google Scholar] [CrossRef]
- Smeal, D.; Lombard, K.; West, M.; O’Neill, M.; Arnold, R.N. Low-pressure drip irrigation for small plots and urban landscapes. Res. Rep. 2011, 773, 1–16. [Google Scholar]
- Poh, B.L.; Gazula, A.; Simonne, E.H.; Hochmuth, R.C.; Alligood, M.R. Use of reduced irrigation operating pressure in irrigation scheduling. II. Effect of reduced irrigation system operating pressure on drip-tape flow rate, water application uniformity, and soil wetting pattern on a sandy soil. HortTechnology 2011, 21, 22–29. [Google Scholar] [CrossRef]
- Seyedzadeh, A.; Maroufpoor, S.; Maroufpoor, E.; Shiri, J.; Bozorg-Haddad, O.; Gavazi, F. Artificial intelligence approach to estimate discharge of drip tape irrigation based on temperature and pressure. Agric. Water Manag. 2020, 228, 105905. [Google Scholar] [CrossRef]
- Hageman, B. How to Solve Common Problems with Water Pressure for Drip Irrigation. Grow Organic 2024, Published on July 29. Available online: https://www.groworganic.com/blogs/articles/how-to-solve-common-problems-with-water-pressure-for-drip-irrigation?srsltid=AfmBOooavo5s5KHhOuVfo6AP2aDsal3vGperoFvpXlVx7-j5eJA48gzd (accessed on 18 November 2024).
- Wang, S.; Jiao, X.; Guo, W.; Lu, J.; Bai, Y.; Wang, L. Adaptability of shallow subsurface drip irrigation of alfalfa in an arid desert area of Northern Xinjiang. PLoS ONE 2018, 13, e0195965. [Google Scholar] [CrossRef] [PubMed]










| Bulk Density (g/cm3) | Porosity (%) | Particle Size (%) | Soil Texture | ||
|---|---|---|---|---|---|
| Sand | Silt | Clay | |||
| 1.58 | 41 | 78 | 14 | 8 | Sandy loam |
| Cone Base Diameter (cm) | Cone Angle (0) | Cone Depth (cm) | Diameter of Rod (cm) | Penetration Resistance (kPa) |
|---|---|---|---|---|
| 2 | 90 | 10–60 | 1.6 | 58.9–180.9 |
| Items | Model | Specifications |
|---|---|---|
| Raspberry Pi (processor) | Raspberry Pi 4 B+, Raspberry Pi Foundation, Cambridge, England, UK | CPU type/speed: Quad-core Cortex-A72, 1.5 GHz |
| RAM size: 8 GB LPDDR4-3200 | ||
| Connection: 802.11ac wireless, Bluetooth 5 | ||
| Connector: Standard 40-pin GPIO | ||
| Storage: Micro-SD card | ||
| Power: 5 V DC | ||
| Operating temperature: 0–50 °C | ||
| Arduino (microcontroller) | Arduino Mega 2560, Arduino S.R.L., Ivrea, Italy | Dimensions (length × width): 101.52 × 53.3 mm |
| Microcontroller: ATmega2560 | ||
| Digital input/output pins: 54 | ||
| Analog input pins: 16 | ||
| Flash memory: 256 kB | ||
| Raspberry Pi monitor | Raspberry Pi Foundation, Cambridge, England, UK | Screen dimensions: 194 × 110 × 20 mm |
| Power requirement: 200 mA @ 5 V | ||
| LCD display size: 800 × 480 mm | ||
| Capacitive SWC sensor | SEN0193-DFRobot, Shanghai, China | Dimension: 98 × 16 mm (3.9 × 0.63 inch) |
| Operating voltage: 3.3 ~ 5.5 V DC | ||
| Output voltage: 1.2 ~ 2.5 V | ||
| Interface: PH2.0-3P | ||
| Weight: 15 g | ||
| Operating temperature: Not specified | ||
| Temperature and humidity sensor | DHT22, Aosong Electronics Co., Ltd., Guangzhou, China | Operating voltage: 3.5 to 5.5 V |
| Sensing period: 2 s | ||
| Operating current: 0.3 mA | ||
| Resolution: 16 bit | ||
| Temperature range: −40 to +80 °C | ||
| Humidity range: 0 to 100% | ||
| Accuracy: ±0.5 °C and ±1% | ||
| Water pump | FL-43, Guangzhou White Whale Mechanical Co. Ltd., Guangzhou, China | Self-priming pump: pumping rate: 12.5 L/m, material: rubber–elastic; pressure 40 psi (2.8 bar); and voltage supply: 220 V AC |
| Pump power regulator | Tangxi, Hangzhou, China | Voltage: AC 220 V |
| Max. power: 1000 W | ||
| Dimension: 7.48 × 5.12 × 3.15 inches |
| Depth | SWC in Low Water Pressure (25 kPa) | SWC in Medium Water Pressure (50 kPa) | SWC in High Water Pressure (75 kPa) | ||||||||||||
|---|---|---|---|---|---|---|---|---|---|---|---|---|---|---|---|
| Mean | Minimum | Maximum | Std | CV | Mean | Minimum | Maximum | Std | CV | Mean | Minimum | Maximum | Std | CV | |
| 10 cm | 77.16 A | 68.4 | 87.9 | 5.64 | 7.3 | 73.77 A | 60.72 | 83.06 | 4.93 | 6.68 | 75.20 A | 65.94 | 85.71 | 5.85 | 7.78 |
| 20 cm | 73.30 A | 54.93 | 89.38 | 11.64 | 15.89 | 72.95 A | 58.49 | 87.43 | 9.17 | 12.57 | 73.81 A | 54.77 | 85.09 | 9.41 | 12.75 |
| 30 cm | 72.82 A | 52.16 | 84.01 | 9.56 | 13.13 | 71.28 A | 60.12 | 85.94 | 6.71 | 9.41 | 68.24 A | 47.75 | 85.11 | 9.38 | 13.75 |
| 40 cm | 71.83 A | 53.95 | 84.88 | 9.87 | 13.74 | 73.39 A | 60.02 | 82.83 | 6.08 | 8.28 | 69.85 A | 50.52 | 82.31 | 8.27 | 11.84 |
| 50 cm | 74.61 A | 64.23 | 81.58 | 5.97 | 8.00 | 76.31 A | 60.94 | 86.71 | 8.37 | 10.97 | 69.46 A | 48.94 | 86.05 | 11.46 | 16.49 |
Disclaimer/Publisher’s Note: The statements, opinions and data contained in all publications are solely those of the individual author(s) and contributor(s) and not of MDPI and/or the editor(s). MDPI and/or the editor(s) disclaim responsibility for any injury to people or property resulting from any ideas, methods, instructions or products referred to in the content. |
© 2024 by the authors. Licensee MDPI, Basel, Switzerland. This article is an open access article distributed under the terms and conditions of the Creative Commons Attribution (CC BY) license (https://creativecommons.org/licenses/by/4.0/).
Share and Cite
Ali, M.; Haque, M.A.; Ali, M.R.; Rahman, M.A.; Jin, H.; Jang, Y.Y.; Chung, S.-O. Spatial, Vertical, and Temporal Soil Water Content Variability Affected by Low-Pressure Drip Irrigation in Sandy Loam Soil: A Soil Bin Experimental Study. Agronomy 2024, 14, 2848. https://doi.org/10.3390/agronomy14122848
Ali M, Haque MA, Ali MR, Rahman MA, Jin H, Jang YY, Chung S-O. Spatial, Vertical, and Temporal Soil Water Content Variability Affected by Low-Pressure Drip Irrigation in Sandy Loam Soil: A Soil Bin Experimental Study. Agronomy. 2024; 14(12):2848. https://doi.org/10.3390/agronomy14122848
Chicago/Turabian StyleAli, Mohammod, Md Asrakul Haque, Md Razob Ali, Md Aminur Rahman, Hongbin Jin, Young Yoon Jang, and Sun-Ok Chung. 2024. "Spatial, Vertical, and Temporal Soil Water Content Variability Affected by Low-Pressure Drip Irrigation in Sandy Loam Soil: A Soil Bin Experimental Study" Agronomy 14, no. 12: 2848. https://doi.org/10.3390/agronomy14122848
APA StyleAli, M., Haque, M. A., Ali, M. R., Rahman, M. A., Jin, H., Jang, Y. Y., & Chung, S.-O. (2024). Spatial, Vertical, and Temporal Soil Water Content Variability Affected by Low-Pressure Drip Irrigation in Sandy Loam Soil: A Soil Bin Experimental Study. Agronomy, 14(12), 2848. https://doi.org/10.3390/agronomy14122848

