Enhancing the Photosynthetic and Yield Performance of Rice in Saline Soil by Foliar-Applying Cost-Effective Compounds as Sources of Carbon Dioxide and Potassium
Abstract
1. Introduction
2. Materials and Methods
2.1. Experimental Site and Agricultural Practices
2.2. Experimental Design and Treatments
2.3. Measured Parameters
2.3.1. Physiological Parameters
2.3.2. Agronomic Parameters
2.4. Statistical Analysis
3. Results
3.1. Impacts of Experimental Factors on Different Parameters
3.1.1. Pigment Contents
3.1.2. Photosynthetic and Relative Water Content
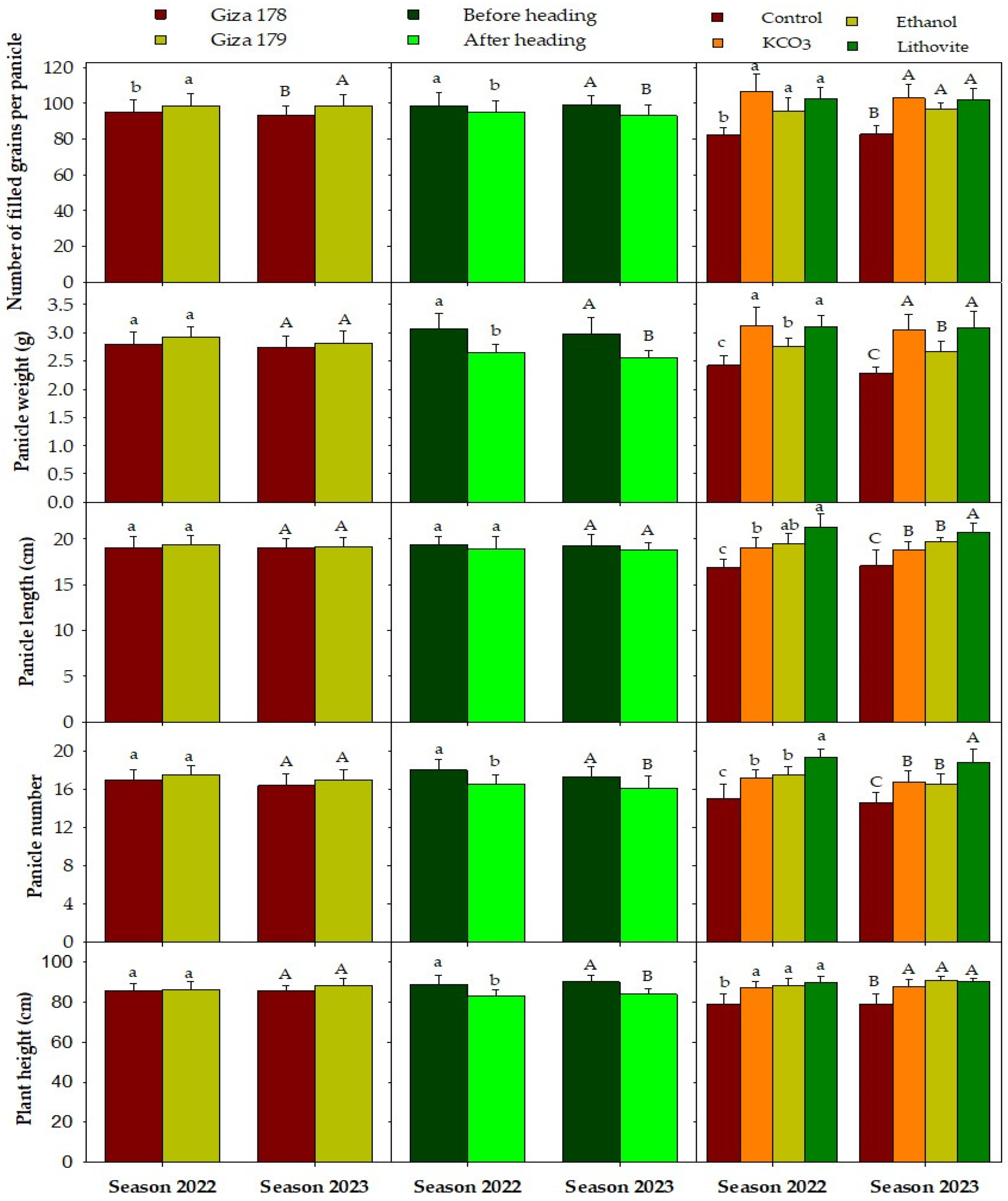
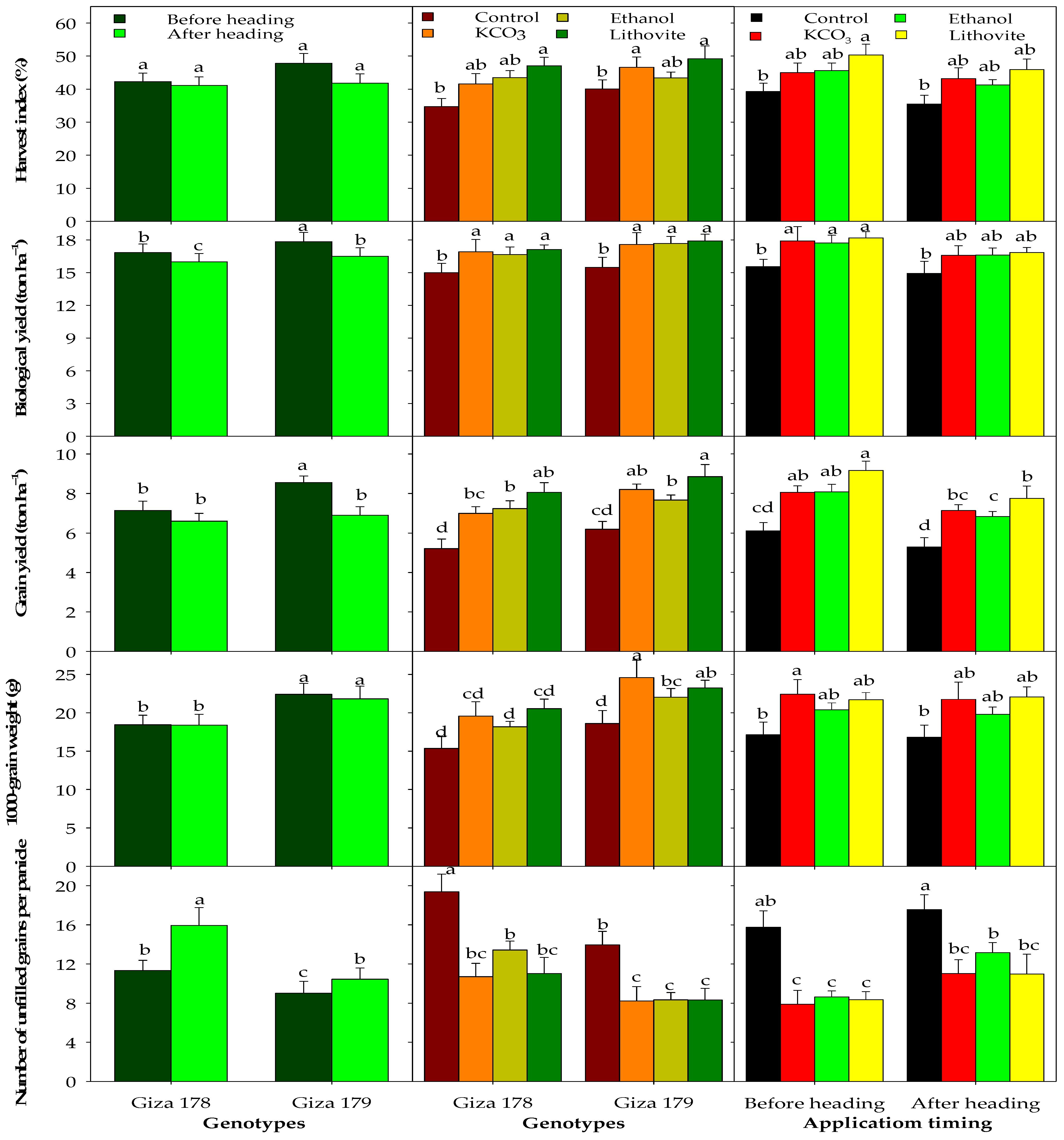
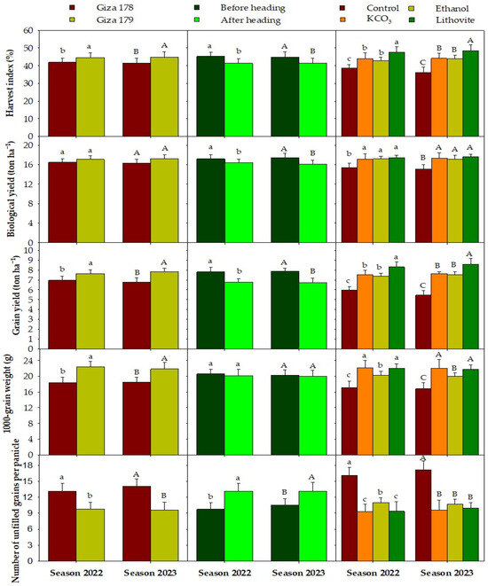
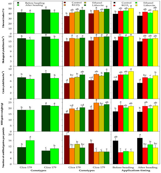
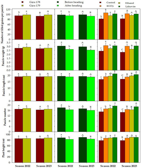
3.1.3. Grain Yield and Yield Components
3.2. Relationships Between Different Parameters for Each Experimental Factor
3.3. An Overview of the Association Between Various Agro-Physiological Parameters and Experimental Factors
4. Discussion
5. Conclusions
Supplementary Materials
Author Contributions
Funding
Data Availability Statement
Acknowledgments
Conflicts of Interest
References
- FAOSTAT. Food and Agriculture Organization of the United Nations Statistics Database, Rome. 2021. Available online: https://www.fao.org/statistics/en (accessed on 15 February 2021).
- Yuan, S.; Linquist, B.A.; Wilson, L.T.; Cassman, K.G.; Stuart, A.M.; Pede, V.; Miro, B.; Saito, K.; Agustiani, N.; Aristya, V.E.; et al. Sustainable intensification for a larger global rice bowl. Nat. Commun. 2021, 12, 7163. [Google Scholar] [CrossRef] [PubMed]
- Steinwand, M.A.; Ronald, P.C. Crop biotechnology and the future of food. Nat. Food 2020, 1, 273–283. [Google Scholar] [CrossRef]
- Tian, Z.; Wang, J.W.; Li, J.; Han, B. Designing future crops: Challenges and strategies for sustainable agriculture. Plant J. 2021, 105, 1165–1178. [Google Scholar] [CrossRef] [PubMed]
- Rengasamy, P. Soil processes affecting crop production in salt-affected soils. Funct. Plant Biol. 2010, 37, 613–620. [Google Scholar] [CrossRef]
- El-Hendawy, S.E.; Hassan, W.M.; Al-Suhaibani, N.A.; Refay, Y.; Abdella, K.A. Comparative performance of multivariable agro-physiological parameters for detecting salt tolerance of wheat cultivars under simulated saline field growing conditions. Front. Plant Sci. 2017, 8, 435. [Google Scholar] [CrossRef]
- Wang, Z.; Fan, B.; Guo, L. Soil salinization after long-term mulched drip irrigation poses a potential risk to agricultural sustainability. Eur. J. Soil Sci. 2019, 70, 20–24. [Google Scholar] [CrossRef]
- Xu, Z.; Shao, T.; Lv, Z.; Yue, Y.; Liu, A.; Long, X.; Zhou, Z.; Gao, X.; Rengel, Z. The mechanisms of improving coastal saline soils by planting rice. Sci. Total Environ. 2020, 703, 135529. [Google Scholar] [CrossRef]
- Oyiga, B.C.; Sharma, R.C.; Shen, J.; Baum, M.; Ogbonnaya, F.C.; Léon, J. Identification and characterization of salt tolerance of wheat germplasm using a multivariable screening approach. J. Agron. Crop Sci. 2016, 202, 472–485. [Google Scholar] [CrossRef]
- Rodríguez Coca, L.I.; García González, M.T.; Gil Unday, Z.; Jiménez Hernández, J.; Rodríguez Jáuregui, M.M.; Fernández Cancio, Y. Effects of Sodium Salinity on Rice (Oryza sativa L.) Cultivation: A Review. Sustainability 2023, 15, 1804. [Google Scholar] [CrossRef]
- Arif, Y.; Singh, P.; Siddiqui, H.; Bajguz, A.; Hayat, S. Salinity induced physiological and biochemical changes in plants: An omic approach towards salt stress tolerance. Plant Physiol. Biochem. 2020, 16, 64–77. [Google Scholar] [CrossRef]
- Shahid, M.A.; Sarkhosh, A.; Khan, N.; Balal, R.M.; Ali, S.; Rossi, L.; Gómez, C.; Mattson, N.; Nasim, W.; Garcia-Sanchez, F. Insights into the physiological and biochemical impacts of salt stress on plant growth and development. Agronomy 2020, 10, 938. [Google Scholar] [CrossRef]
- Plaut, Z.; Grieve, C.M.; Maas, E.V. Salinity effects on CO2 assimilation and diffusive conductance of cowpea leaves. Physiol. Plant. 1990, 79, 31–38. [Google Scholar] [CrossRef]
- Qiu, D.I.; Lin, P.; Guo, S.Z. Effects of salinity on leaf characteristics and CO2/H2O exchange of Kandelia candel (L.) Druce seedlings. J. For. Sci. 2007, 53, 13–19. [Google Scholar]
- Niaz, A.; Syed, S.Z.; Shahid, M. Alternative routes to improving photosynthesis in field crops. Trends Plant Sci. 2020, 25, 958–960. [Google Scholar]
- Chang, Z.; Hao, L.; Lu, Y.; Liu, L.; Chen, C.; Shi, W.; Li, Y.; Wang, Y.; Tian, Y. Effects of elevated CO2 concentration and experimental warming on morphological, physiological, and biochemical responses of winter wheat under soil water deficiency. Front. Plant Sci. 2023, 14, 1227286. [Google Scholar] [CrossRef]
- Yu, J.; Chen, L.; Xu, M.; Huang, B. Effects of elevated CO2 on physiological responses of tall fescue to elevated temperature, drought stress, and the combined stress. Crop. Sci. 2012, 52, 1848–1858. [Google Scholar] [CrossRef]
- Zhang, X.; Xu, D.; Guan, Z.; Wang, S.; Zhang, Y.; Wang, W.; Zhang, X.; Fan, X.; Li, F.; Ye, N. Elevated CO2 concentrations promote growth and photosynthesis of the brown alga Saccharina japonica. J. Appl. Phycol. 2020, 32, 1949–1959. [Google Scholar] [CrossRef]
- Liu, L.; Hao, L.; Zhang, Y.; Zhou, H.; Ma, B.; Cheng, Y.; Tian, Y.; Chang, Z.; Zheng, Y. The CO2 fertilization effect on leaf photosynthesis of maize (Zea mays L.) depends on growth temperatures with changes in leaf anatomy and soluble sugars. Front. Plant Sci. 2022, 13, 890928. [Google Scholar] [CrossRef]
- Zheng, Y.; Li, F.; Hao, L.H.; Yu, J.J.; Guo, L.L.; Zhou, H.R.; Ma, C.; Zhang, X.; Xu, M. Elevated CO2 concentration induces photosynthetic down-regulation with changes in leaf structure, non-structural carbohydrates and nitrogen content of soybean. BMC Plant Biol. 2019, 19, 255. [Google Scholar] [CrossRef]
- Fan, X.D.; Cao, X.; Zhou, H.R.; Dong, W.; He, C.L.; Xu, M.; Wu, X.; Wang, L.; Chang, Z.; Zheng, Y. Carbondioxide fertilization effect on plant growth under soil water stress associates with changes in stomatal traits, leaf photosynthesis, and foliar nitrogen of bell pepper (Capsicum annuum L.). Environ. Exp. Bot. 2020, 179, 104203. [Google Scholar] [CrossRef]
- Kazemi, S.; Eshghizadeh, H.R.; Zahed, M. Responses of four rice varieties to elevated CO2 and different salinity levels. Rice Sci. 2018, 25, 142–151. [Google Scholar] [CrossRef]
- Lotze-Campen, H.; Schellnhuber, H.J. Climate impacts and adaptation options in agriculture: What we know and what we don’t know. J. Verbrauch. Lebensm. 2009, 4, 145–150. [Google Scholar] [CrossRef]
- Shanker, A.K.; Gunnapaneni, D.; Bhanu, D.; Vanaja, M.; Lakshmi, N.J.; Yadav, S.K.; Prabhakar, M.; Singh, V.K. Elevated CO2 and water stress in combination in plants: Brothers in Arms or Partners in Crime? Biology 2022, 11, 1330. [Google Scholar] [CrossRef]
- Vanaja, M.; Sarkar, B.; Sathish, P.; Jyothi Lakshmi, N.; Yadav, S.K.; Mohan, C.H.; Sushma, A.; Yashavanth, B.S.; Srinivasa Rao, M.; Prabhakar, M.; et al. Elevated CO2 ameliorates the high temperature stress effects on physio biochemical, growth, yield traits of maize hybrids. Sci. Rep. 2024, 14, 2928. [Google Scholar] [CrossRef]
- Markelz, R.C.; Strellner, R.S.; Leakey, A.D. Impairment of C4 photosynthesis by drought is exacerbated by limiting nitrogen and ameliorated by elevated [CO2] in maize. J. Exp. Bot. 2011, 62, 3235–3246. [Google Scholar] [CrossRef]
- Manderscheid, R.; Erbs, M.; Weigel, H.-J. Interactive effects of free-air CO2 enrichment and drought stress on maize growth. Eur. J. Agron. 2014, 52, 11–21. [Google Scholar] [CrossRef]
- Li, Y.; Zhang, P.; Sheng, W.; Zhang, Z.; Rose, R.J.; Song, Y. Securing maize reproductive success under drought stress by harnessing CO2 fertilization for greater productivity. Front. Plant Sci. 2023, 14, 1221095. [Google Scholar] [CrossRef]
- Attia, A.N.E.; El-Hendi, M.H.; Hamoda, S.A.F.; El-Sayed, S.O.S. Effect of nanofertilizer (lithovit) and potassium on leaves chemical composition of Egyptian cotton under different planting dates. J. Plant Prod. Mansoura Univ. 2016, 7, 935–942. [Google Scholar]
- Morsy, A.S.M.; Awadalla, A.; Sherif, M.M. Effect of irrigation, foliar spray with nano-fertilizer (lithovit) and N levels on productivity and quality of durum wheat under Toshka Conditions. Assiut J. Agri. Sci. 2018, 49, 1–26. [Google Scholar] [CrossRef]
- Zorovski, P.; Vlahova, V.; Sevov, A.; Georgieva, T. Effect of applied fertilizers on vegetative growth and soil respiration in organically grown Triticum monococcum L. Sci. Pap. Ser. Manag. Econ. Eng. Agric. Rural. Dev. 2021, 21, 831–838. [Google Scholar]
- Rout, G.R.; Sahoo, S. Role of iron in plant growth and metabolism. Rev. Agri. Sci. 2015, 3, 1–24. [Google Scholar] [CrossRef]
- Nawaz, F.; Shehzad, M.A.; Majeed, S.; Ahmad, K.S.; Aqib, M.; Usmani, M.M.; Shabbir, R.N. Role of mineral nutrition in improving drought and salinity tolerance in field crops. In Agronomic Crops Volume 3: Stress Responses and Tolerance; Hasanuzzaman, M., Ed.; Springer: Singapore, 2020; pp. 129–147. [Google Scholar]
- Byan, U.A.I. Influence of using some safety materials on water requirement and water use efficiency of snap bean plant. Arab. Univ. J. Agric. Sci. 2014, 22, 381–393. [Google Scholar] [CrossRef]
- Moisa, R.; Berar, V. Researchers regarding the growth of tomato seedlings under different treatments with natural fertilizers. J. Hortic. For. Biotechnol. 2015, 19, 82–86. [Google Scholar]
- Mohammed, E.M.A.; Meawad, A.A.; Elesawy, A.E.; Abdelkader, M.A.I. Maximizing land utilization efficiency and competitive indices of roselle and cluster bean plants by intercropping pattern and foliar spray with lithovit. Saudi J. Biol. Sci. 2022, 29, 2886–2891. [Google Scholar] [CrossRef]
- Moghadam, A.K.; Rokhzadi, A. Growth and yield parameters of safflower (Carthamus tinctorius) as influenced by foliar methanol application under well-watered and water deficit conditions. Environ. Exp. Bot. 2015, 13, 93–97. [Google Scholar]
- Das, A.K.; Anik, T.R.; Rahman, M.M.; Keya, S.S.; Islam, M.R.; Rahman, M.A.; Sultana, S.; Ghosh, P.K.; Khan, S.; Ahamed, T.; et al. Ethanol treatment enhances physiological and biochemical responses to mitigate saline toxicity in soybean. Plants 2022, 11, 272. [Google Scholar] [CrossRef]
- Muhibuddin, A.; Maulana, Z.; Salam, S.; Syamsia, S.; Reta, R.; Fattah, A. The effect of ethanol on potato growth and production at moderate elevation. Res. Agri. Eng. 2022, 68, 113–119. [Google Scholar] [CrossRef]
- Rahman, M.M.; Mostofa, M.G.; Das, A.K.; Anik, T.R.; Keya, S.S.; Ahsan, S.M.; Khan, M.A.R.; Ahmed, M.; Rahman, M.A.; Hossain, M.M.; et al. Ethanol positively modulates photosynthetic traits, antioxidant defense and osmoprotectant levels to enhance drought acclimatization in soybean. Antioxidants 2022, 11, 516. [Google Scholar] [CrossRef]
- Kato-Noguchi, H. Low temperature acclimation mediated by ethanol production is essential for chilling tolerance in rice roots. Plant Signal. Behav. 2008, 3, 202–203. [Google Scholar] [CrossRef][Green Version]
- Todaka, D.; Quynh, D.T.N.; Tanaka, M.; Utsumi, Y.; Utsumi, C.; Ezoe, A.; Takahashi, S.; Ishida, J.; Kusano, M.; Kobayashi, M.; et al. Application of ethanol alleviates heat damage to leaf growth and yield in tomato. Front. Plant Sci. 2024, 15, 1325365. [Google Scholar] [CrossRef]
- Nguyen, H.M.; Sako, K.; Matsui, A.; Suzuki, Y.; Mostofa, M.G.; Ha, C.V.; Tanaka, M.; Tran, L.-S.P.; Habu, Y.; Seki, M. Ethanol enhances high-salinity stress tolerance by detoxifying reactive oxygen species in Arabidopsis thaliana and rice. Front. Plant Sci. 2017, 8, 1001. [Google Scholar] [CrossRef] [PubMed]
- Marschner, H. Marschner’s Mineral Nutrition of Higher Plants, 3rd ed.; Academic Press: London, UK, 2012; pp. 178–189. [Google Scholar]
- Hasanuzzaman, M.; Bhuyan, M.H.M.B.; Nahar, K.; Hossain, M.S.; Mahmud, J.A.; Hossen, M.S.; Masud, A.A.C.; Moumita; Fujita, M. Potassium: A vital regulator of plant responses and tolerance to abiotic stresses. Agronomy 2018, 8, 31. [Google Scholar] [CrossRef]
- Burbulis, N.; Vainoriene, R.; Blinstrubienė, A.; Jonytienė, V.; Liakas, V. Effect of potassium bicarbonate on photosynthetic parameters of Setaria viridis under drought conditions. Zemdirb.-Agric. 2017, 104, 79–84. [Google Scholar] [CrossRef][Green Version]
- Li, Y.C.; Hao, J.J. The effect of KHCO3 on photosynthesis of eggplant seedlings. Adv. Mater. Res. 2013, 634, 1129–1134. [Google Scholar] [CrossRef]
- Cottenie, A.; Verloo, M.; Velghe, M.; Camerlynck, R. Chemical Analysis of Plant and Soil. In Manual Laboratory of Analytical and Agrochemistry; Ghent State University Press: Ghent, Belgium, 1982. [Google Scholar]
- Burt, R. Soil Survey Laboratory Manual Report No. 42 USDA, National Resources Conservation Service; 1100; United States Department of Agriculture: Washington, DC, USA, 2004.
- Arnon, D.I. Copper enzymes in isolated chloroplasts. Polyphenoloxidase in Beta vulgaris. Plant Physiol. 1949, 24, 1–15. [Google Scholar] [CrossRef] [PubMed]
- Lichtenthaler, H.K.; Wellburn, A.R. Determinations of total carotenoids and chlorophylls a and b of leaf extracts in different solvents. Biochem. Soc. Trans. 1983, 11, 591–592. [Google Scholar] [CrossRef]
- Hanson, B.; Grattan, S.R.; Fulton, A. Agricultural Salinity and Drainage; University of California, Division of Agriculture and Natural Resources, UC DANR Pub: Oakland, CA, USA, 1999; Volume 3375, 160p. [Google Scholar]
- Djaman, K.; Mel, V.; Boye, A.; Diop, L.; Manneh, B.; El-Namaky, R.; Koudahe, K.; Futakuchi, K. Rice genotype and fertilizer management for improving rice productivity under saline soil conditions. Paddy Water Environ. 2020, 18, 43–57. [Google Scholar] [CrossRef]
- Zayed, B.A.; Amira, M.O.; Rashwan, E. Impact of different rates of phosphoric acid foliar spraying on rice growth and yield traits under normal and saline soils conditions. East Afr. Sch. J. Agric. Life Sci. 2019, 2, 56–66. [Google Scholar]
- Mondal, K.M.; Bhuiyan, S.I.; Franco, D.T. Soil salinity reduction and prediction of salt dynamics in the coastal rice lands of Bangladesh. Agric. Water Manag. 2001, 47, 9–23. [Google Scholar] [CrossRef]
- Zhang, J.; Jia, W.; Yang, J.; Ismail, A.M. Role of ABA in integrating plant responses to drought and salt stresses. Field Crops Res. 2006, 97, 111–119. [Google Scholar] [CrossRef]
- Muhammad, J.; Muhammad, A.; Noor, S.A.; Muhammad, Y.; Javaid, I.; Xiuling, L.; Depeng, W.; Shah, F. Modulation in growth, gas exchange, and antioxidant activities of salt-stressed rice (Oryza sativa L.) genotypes by zinc fertilization. Arab. J. Geosci. 2019, 12, 775. [Google Scholar]
- Wang, M.; Zheng, Q.; Shen, Q.; Guo, S. The critical role of potassium in plant stress response. Int. J. Mol. Sci. 2013, 14, 7370–7390. [Google Scholar] [CrossRef] [PubMed]
- Cakmak, I. The role of potassium in alleviating detrimental effects of abiotic stresses in plants. J. Plant Nutr. Soil Sci. 2005, 168, 521–530. [Google Scholar] [CrossRef]
- Arndal, M.F.; Schmidt, I.K.; Kongstad, J.; Beier, C.; Michelsen, A. Root growth and N dynamics in response to multi-year experimental warming, summer drought and elevated CO2 in a mixed heath land-grass ecosystem. Funct. Plant Biol. 2014, 41, 1–10. [Google Scholar] [CrossRef]
- Keshav, D.; Vicki, L.K.; William, C.P.; Norman, P.A.H. Enhancement of photosynthetic performance, water use efficiency and grain yield during long-term growth under elevated CO2 in wheat and rye is growth temperature and cultivar dependent. Environ. Exp. Bot. 2014, 106, 207–220. [Google Scholar]
- Sorour, S.G.H.R.; Mosalem, M.E.; Abotaleb, A.A.N.; Gharieb, A.S. Alleviation of salt-stress on sugar beet (Beta vulgaris L.) using molasses, humic, and nano-CaCO3. App. Ecol. Environ. Res. 2021, 19, 4923–4939. [Google Scholar] [CrossRef]
- Maswada, H.F.; Abd El-Rahman, L.A. Inducing salinity tolerance in wheat plants by hydrogen peroxide and lithovit “a nano-CaCO3 fertilizer”. J. Agric. Res. Kafr El-Sheikh Univ. 2014, 40, 696–719. [Google Scholar]
- Shaban, N.; Rizkallah, J.; Sassine, Y.N. Performance of salt-stressed tomato crop as affected by nano-CaCO3, glycine betaine, MKP fertilizer and aspirin application. Agric. For. 2019, 65, 19–27. [Google Scholar]
- Gomaa, R.; Tantawy, A.; El-Behairy, U.; El-Shinawy, M. Effect of nano-calcium and nano-silicon compounds on salinity tolerance for green bean plants. In Proceedings of the Twelfth International Dryland Development Conference, ‘Sustainable Development of Drylands in the Post 2015 World’, Alexandria, Egypt, 21–24 August 2017; International Dryland Development Commission (IDDC): Cairo, Egypt, 2017; pp. 252–263. [Google Scholar]
- Abd El-All, A.M. Nano-Fertilizer application to increase growth and yield of sweet pepper under potassium levels. Agri. Res. Technol. Open Access J. 2019, 19, 145–156. [Google Scholar] [CrossRef]
- Schmidt, S.B.; Husted, S. The Biochemical properties of manganese in plants. Plants 2019, 8, 381. [Google Scholar] [CrossRef]
- Ashraf, M.Y.; Tariq, S.; Saleem, M.; Khan, M.A.; Hassan, S.W.U.; Sadef, Y. Calcium and zinc mediated growth and physiobiochemical changes in mung bean grown under saline conditions. J. Plant Nutr. 2020, 43, 512–525. [Google Scholar] [CrossRef]
- Mostofa, M.G.; Rahman, M.M.; Ghosh, T.K.; Kabir, A.H.; Abdelrahman, M.; Khan, M.A.R.; Mochida, K.; Tran, L.S.P. Potassium in plant physiological adaptation to abiotic stresses. Plant Physiol. Biochem. 2022, 186, 279–289. [Google Scholar] [CrossRef] [PubMed]
- Kumari, V.V.; Banerjee, P.; Verma, V.C.; Sukumaran, S.; Chandran, M.A.S.; Gopinath, K.A.; Venkatesh, G.; Yadav, S.K.; Singh, V.K.; Awasthi, N.K. Plant nutrition: An effective way to alleviate abiotic stress in agricultural crops. Int. J. Mol. Sci. 2022, 23, 8519. [Google Scholar] [CrossRef] [PubMed]
- Bashir, K.; Todaka, D.; Rasheed, S.; Matsui, A.; Ahmad, Z.; Sako, K.; Utsumi, Y.; Vu, A.T.; Tanaka, M.; Takahashi, S.; et al. Ethanol-mediated novel survival strategy against drought stress in plants. Plant Cell Physiol. 2022, 63, 1181–1192. [Google Scholar] [CrossRef]
- Zheng, Y.; Jia, A.; Ning, T.; Xu, J.; Li, Z.; Jian, G. Potassium nitrate application alleviates sodium chloride stress in winter wheat cultivars differing in salt tolerance. J. Plant Physiol. 2008, 165, 1455–1465. [Google Scholar] [CrossRef]
- Fayez, K.A.; Bazaid, S.A. Improving drought and salinity tolerance in barley by application of salicylic acid and potassium nitrate. J. Saudi Soc. Agric. Sci. 2014, 3, 45–55. [Google Scholar] [CrossRef]
- Merwad, A.R.M.A. Efficiency of potassium fertilization and salicylic acid on yield and nutrient accumulation of sugar beet grown on saline soil. Commun. Soil Sci. Plant Anal. 2016, 47, 1184–1192. [Google Scholar] [CrossRef]
- Akram, M.S.; Ashraf, M.; Akram, N.A. Effectiveness of potassium sulfate in mitigating salt-induced adverse effects on different physio-biochemical attributes in sunflower (Helianthus annuus L.). Flora 2009, 204, 471–483. [Google Scholar] [CrossRef]
- Cuin, T.A.; Shabala, S. Compatible solutes reduce ROS induced potassium efflux in Arabidopsis roots. Plant Cell Environ. 2007, 30, 875–885. [Google Scholar] [CrossRef]
- Naz, T.; Mazhar Iqbal, M.; Tahir, M.; Hassan, M.M.; Rehmani, M.I.A.; Zafar, M.I.; Ghafoor, U.; Qazi, M.A.; EL Sabagh, A.; Sakran, M.I. Foliar application of potassium mitigates salinity stress conditions in spinach (Spinacia oleracea L.) through reducing NaCl toxicity and enhancing the activity of antioxidant enzymes. Horticulturae 2021, 7, 566. [Google Scholar] [CrossRef]
- Cha-um, S.; Siringam, K.; Juntawong, N.; Kirdmanee, C. Water relations, pigment stabilization, photosynthetic cabilities and growth improvement in salt stressed rice plants treated with exogenous potassium nitrate application. Int. J. Plant Prod. 2010, 4, 187–198. [Google Scholar]
- Islam, A.; Muttaleb, A. Effect of potassium fertilization on yield and potassium nutrition of Boro rice in a wetland ecosystem of Bangladesh. Arch. Agron. Soil Sci. 2016, 62, 1530–1540. [Google Scholar] [CrossRef]
- Bahamonde, H.A.; Pimentel, C.; Lara, L.A.; Bahamonde-Fernández, V.; Fernández, V. Foliar application of potassium salts to olive, with focus on accompanying anions. Plants 2023, 12, 472. [Google Scholar] [CrossRef] [PubMed]
- Mahmoodi, B.; Moballeghi, M.; Eftekhari, A.; Neshaie-Mogadam, M. Effects of foliar application of liquid fertilizer on agronomical and physiological traits of rice (Oryza sativa L.). Acta Agrobot. 2020, 73, 7332. [Google Scholar] [CrossRef]
- Kumar, R.; Singh, A.; Yadav, R.B.; Kumar, A.; Kumar, S.; Shahi, U.P.; Singh, A.P. Growth, development and yield response of rice (Oryza sativa L.) as influenced by efficient nitrogen management under subtropical climatic condition. J. Pharmacogn. Phytochem. 2017, 1, 791–797. [Google Scholar]
- Liang, W.; Ma, X.; Wan, P.; Liu, L. Plant salt-tolerance mechanism: A review. Biochem. Biophys. Res. Commun. 2018, 495, 286–291. [Google Scholar] [CrossRef]
- Chen, Y.; Liu, Y.; Ge, J.; Li, R.; Zhang, R.; Zhang, Y.; Huo, Z.; Xu, K.; Wei, H.; Dai, Q. Improved physiological and morphological traits of root synergistically enhanced salinity tolerance in rice under appropriate nitrogen application rate. Front. Plant Sci. 2022, 13, 982637. [Google Scholar] [CrossRef]
- Li, Z.; Zhou, T.; Zhu, K.; Wang, W.; Zhang, W.; Zhang, H.; Liu, L.; Zhang, Z.; Wang, Z.; Wang, B.; et al. Effects of salt stress on grain yield and quality parameters in rice cultivars with differing salt tolerance. Plants 2023, 12, 3243. [Google Scholar] [CrossRef]











| Soil Properties | 2022 | 2023 | Soil Properties | 2022 | 2023 | ||
|---|---|---|---|---|---|---|---|
| Soil texture (%) | Clay | 56.15 | 55.90 | Cations content (meq L−1) | Ca2+ | 8.3 | 8.5 |
| Silt | 30.20 | 30.65 | Mg2+ | 10.10 | 10.2 | ||
| Sand | 13.65 | 13.45 | K+ | 0.70 | 0.70 | ||
| Organic matter (%) | 1.00 | 0.90 | Na+ | 60.1 | 62.4 | ||
| pH | 8.20 | 8.30 | Anions content (meq L−1) | HCO3− | 9.24 | 9.74 | |
| ECe (dS m−1) | 7.90 | 8.20 | Cl− | 61.5 | 60.9 | ||
| Available ion content (mg kg−1) | N | 30.0 | 29.0 | SO42− | 9.03 | 11.03 | |
| P | 11.0 | 10.2 | Microelements content (ppm) | Fe2+ | 5.23 | 5.15 | |
| K | 400 | 380 | Zn2+ | 0.90 | 0.82 | ||
| Mn2+ | 4.60 | 4.50 | |||||
Disclaimer/Publisher’s Note: The statements, opinions and data contained in all publications are solely those of the individual author(s) and contributor(s) and not of MDPI and/or the editor(s). MDPI and/or the editor(s) disclaim responsibility for any injury to people or property resulting from any ideas, methods, instructions or products referred to in the content. |
© 2024 by the authors. Licensee MDPI, Basel, Switzerland. This article is an open access article distributed under the terms and conditions of the Creative Commons Attribution (CC BY) license (https://creativecommons.org/licenses/by/4.0/).
Share and Cite
Zayed, B.A.; El-Hendawy, S.; Hu, Y.; Okasha, A.M.; Abdelhamed, M.M.; Ghazy, H.A.; Aamer, S.M.; El-Sharnobi, D.E.; Soltan, S.A.; Gaber, A.A.; et al. Enhancing the Photosynthetic and Yield Performance of Rice in Saline Soil by Foliar-Applying Cost-Effective Compounds as Sources of Carbon Dioxide and Potassium. Agronomy 2024, 14, 2850. https://doi.org/10.3390/agronomy14122850
Zayed BA, El-Hendawy S, Hu Y, Okasha AM, Abdelhamed MM, Ghazy HA, Aamer SM, El-Sharnobi DE, Soltan SA, Gaber AA, et al. Enhancing the Photosynthetic and Yield Performance of Rice in Saline Soil by Foliar-Applying Cost-Effective Compounds as Sources of Carbon Dioxide and Potassium. Agronomy. 2024; 14(12):2850. https://doi.org/10.3390/agronomy14122850
Chicago/Turabian StyleZayed, Bassiouni A., Salah El-Hendawy, Yuncai Hu, Amira M. Okasha, Mohamed M. Abdelhamed, Hasnaa A. Ghazy, Samah M. Aamer, Dalia E. El-Sharnobi, Saied A. Soltan, Abdelfatah A. Gaber, and et al. 2024. "Enhancing the Photosynthetic and Yield Performance of Rice in Saline Soil by Foliar-Applying Cost-Effective Compounds as Sources of Carbon Dioxide and Potassium" Agronomy 14, no. 12: 2850. https://doi.org/10.3390/agronomy14122850
APA StyleZayed, B. A., El-Hendawy, S., Hu, Y., Okasha, A. M., Abdelhamed, M. M., Ghazy, H. A., Aamer, S. M., El-Sharnobi, D. E., Soltan, S. A., Gaber, A. A., & Elsayed, S. (2024). Enhancing the Photosynthetic and Yield Performance of Rice in Saline Soil by Foliar-Applying Cost-Effective Compounds as Sources of Carbon Dioxide and Potassium. Agronomy, 14(12), 2850. https://doi.org/10.3390/agronomy14122850

