Postharvest LED Treatment of Tomatoes Harvested at an Early Stage of Coloration
Abstract
1. Introduction
2. Materials and Methods
2.1. Material, Treatments, and Storage Conditions
2.2. Quality Assessment
- -
- Softening: 1—no perceptible softening; 3—light; 5—moderate; 7—strong; 9—very strong;
- -
- Rotting: 1—lack of visible rotting; 3—affected up to 1% of surface (1–2 small spots); 5—affected up to 15% (quite strong); 7—affected up to 50% (strong); 9—affected over 75% (very strong);
- -
- Marketable value: 1—no marketable value; 3—limited (eatable threshold); 5—fair (shelf life threshold); 7—good; 9—excellent.
2.3. Color Parameter Measurements
2.4. Chemical Analysis of Metabolites and Antiradical Activity in Tomatoes
2.5. Statistical Analysis
3. Results
3.1. Storage Ability of Tomatoes
3.2. Weight Loss
3.3. Color Parameters
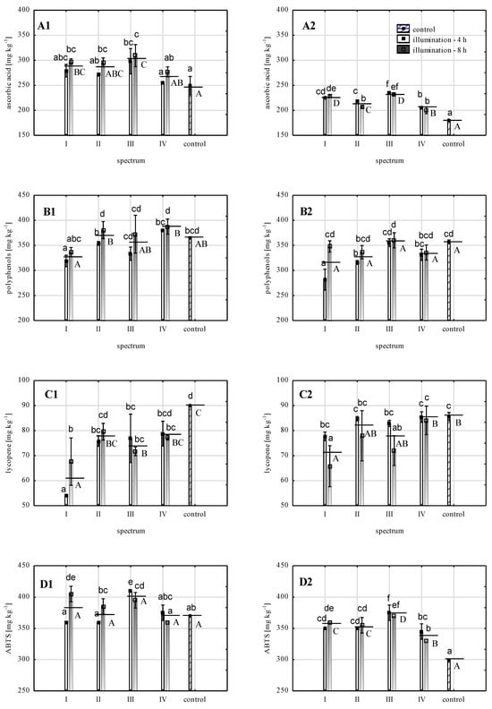
3.4. Pro-Healthy Value of Tomato
4. Discussion
5. Conclusions
Author Contributions
Funding
Data Availability Statement
Conflicts of Interest
Abbreviations
References
- Alba, R.; Cordonnier-Pratt, M.M.; Pratt, L.H. Fruit-Localized Phytochromes Regulate Lycopene Accumulation Independently of Ethylene Production in Tomato. Plant Physiol. 2000, 123, 363–370. [Google Scholar] [CrossRef] [PubMed]
- Tilbrook, K.; Arongaus, B.; Binkert, M.; Heijde, M.; Yin, R.; Ulm, R. The UVR8 UV-B photoreceptor: Perception, signaling and response. Arab. Book 2013, 11, e0164. [Google Scholar] [CrossRef] [PubMed]
- Jiao, Y.; Lau, S.; Deng, W. Light-regulated transcriptional networks in higher plants. Nat. Rev. Genet. 2007, 8, 217–230. [Google Scholar] [CrossRef] [PubMed]
- Baenas, N.; Iniesta, C.; Gonzalez-Barrio, R.; Nunez-Gomez, V.; Periago, M.J.; Garcia-Alonso, F.J. Post-harvest use of ultraviolet light (UV) and light emitting diode (LED) to enhance bioactive compounds in refrigerated tomatoes. Molecules 2021, 26, 1847. [Google Scholar] [CrossRef]
- Shi, Y.; Pang, X.; Liu, W.; Wang, R.; Su, D.; Gao, Y.; Wu, M.; Deng, W.; Liu, Y.; Li, Z. SIZHD I7 is involved in the control of chlorophyll and carotenoid metabolism in tomato fruit. Hortic. Res. 2021, 8, 259. [Google Scholar] [CrossRef]
- D’Souza, C.; Yuk, H.G.; Kho, G.H.; Zhou, W. Application of light-emitting diodes in food production, postharvest preservation, and microbiological food safety. CRFSFS 2015, 14, 719–740. [Google Scholar] [CrossRef]
- Dhakal, R.; Baek, K.H. Short period irradiation of single blue wavelength light extends the storage period of mature green tomatoes. Postharvest Biol. Technol. 2014, 90, 73–77. [Google Scholar] [CrossRef]
- Najera, C.; Guil-Guerrero, J.L.; Enriquea, L.J.; Alvaro, J.E.; Urrestarazu, M. LED enhanced dietary and organoleptic qualities in postharvest tomato fruit. Postharvest Biol. Technol. 2018, 145, 151–156. [Google Scholar] [CrossRef]
- Nassarawa, S.S.; Abdelshafy, A.M.; Xu, Y.; Li, L.; Luo, Z. Effect of light-emitting diodes (LEDs) on the quality of fruits and vegetables during postharvest period: A Review. Food Bioprocess Technol. 2021, 14, 388–414. [Google Scholar] [CrossRef]
- Poonia, A.; Pandey, S.; Vasundhara. Application of light emitting diodes (LEDs) for food preservation, postharvest losses and production of bioactive compounds: A review. Food Prod. Process Nutr. 2022, 4, 8. [Google Scholar] [CrossRef]
- Liu, H.; Zabaras, D.; Bennett, L.E.; Aguas, P.; Woonton, B.W. Effect of UV-C: Red light and sun light on the carotenoid content and physical qualities of tomatoes during post-harvest storage. Food Chem. 2009, 115, 495–500. [Google Scholar] [CrossRef]
- Panjai, L.; Noga, G.; Fiebig, N.; Munsche, M. Effects of continuous red light and short daily UV exposure during postharvest on carotenoid concentration and antioxidant capacity in stored tomatoes. Sci. Hortic. 2017, 226, 97–103. [Google Scholar] [CrossRef]
- Lee, S.U.; Lee, J.H.; Choi, S.H.; Lee, J.S.; Kamemyama, M.O.; Kozukue, N.; Friedman, M. Flavonoid content in fresh, home-processed, and light-exposed onions and in dehydrated commercial onion products. J. Agric. Food Chem. 2008, 56, 8541–8548. [Google Scholar] [CrossRef] [PubMed]
- Kanazawa, K.; Hashimoto, T.; Yoshida, S.; Sungwon, P.; Fukuda, S. Short photoirradiation induces flavonoid synthesis and increases its production in postharvest vegetables. J. Agric. Food Chem. 2012, 60, 4359–4368. [Google Scholar] [CrossRef]
- Shi, I.; Cao, S.; Chen, W.; Yang, Z. Blue light induced anthocyanin accumulation and expression of associated genes in Chinese bayberry fruit. Sci. Hortic. 2014, 179, 98–102. [Google Scholar] [CrossRef]
- Ma, G.; Zhang, I.; Kato, M.; Yamawaki, K.; Kiriiwa, Y.; Yahata, M.; Ikoma, Y.; Matsumoto, H. Effect of blue and red light irradiation on β-cryptoxanthin accumulation in the flavedo of citrus fruits. J. Agric. Food Chem. 2011, 60, 197–201. [Google Scholar] [CrossRef]
- Lee, Y.J.; Ha, J.Y.; Oh, J.E.; Cho, M.S. The effect of LED irradiation on the quality of cabbage stored at a low temperature. Food Sci. Biotechnol. 2014, 23, 1087–1093. [Google Scholar] [CrossRef]
- Braidot, E.; Petrussa, E.; Peresson, C.; Patui, S.; Bertolini, A.; Tubaro, F.; Wahlby, U.; Coan, M.; Vianello, A.; Zancani, M. Low-intensity light improve the quality of lamb’s lettuce (Valerianella olitoria [L.] Pollich) during storage at low temperature. Postharvest Biol. Technol. 2014, 90, 15–23. [Google Scholar] [CrossRef]
- Lester, G.E.; Makus, D.J.; Hodges, D.M. Relationship between fresh-packaged spinach leaves exposed to continuous light or dark and bioactive contents; effect of cultivar, leaf size and storage duration. J. Agric. Food Chem. 2010, 58, 2980–2987. [Google Scholar] [CrossRef]
- Zhan, L.; Hu, J.; Lim, L.T.; Pang, L.Y.; Li, Y.; Schao, J. Light exposure inhibited tissue browning and improving antioxidant capacity of fresh-cut celery (Apium graveolens var. dulce). Food Chem. 2013, 136, 273–278. [Google Scholar] [CrossRef]
- Ma, G.; Zhang, I.; Setiawan, C.K.; Yamawaki, K.; Asai, T.; Nishikava, F.; Maczewa, S.; Sato, H.; Kanemitsu, N.; Kato, M. Effect of red and blue LED light irradiation on ascorbate content and expression of genes related to ascorbate metabolism in postharvest broccoli. Postharvest Biol. Technol. 2014, 94, 97–103. [Google Scholar] [CrossRef]
- Maurya, A.K.; Mishra, R.; John, V. Tomato cultivation techniques. Agric. Food E-Newsl. 2019, 10, 570–571. [Google Scholar]
- Affandi, F.Y.; Pijnenburg, C.; Verdonk, J.C.; Woltering, E.J.; Schouten, R.E. Growth temperature influences postharvest quality and cold tolerance of green harvested dwarf tomatoes during storage. Front. Sustain. Food Syst. 2022, 6, 876597. [Google Scholar] [CrossRef]
- Ntagkas, N.; Woltering, E.J.; Nicole, C.C.; Labrie, C. Light regulation of vitamin C in tomato fruit is mediated through photosynthesis. Environ. Exp. Bot. 2018, 158, 182. [Google Scholar] [CrossRef]
- Panjai, L.; Noga, G.; Hunsche, M.; Fiebig, A. Optimal red light irradiation time to increase health-promoting compounds in tomato fruit postharvest. Sci. Hortic. 2019, 251, 189–196. [Google Scholar] [CrossRef]
- Cano-Molina, C.; Lopez-Fernandez, A.; Diaz-Gonzalez, N.; Gonzalez-Barrio, R.; Baenas, N.; Periago, M.J.; Garcia-Alonso, F.J. Storage under combined ultraviolet (UV) and light-emitting diodes (LED) enhances carotenoid concentration in mature green tomato. Acta Aliment. 2021, 50, 465–474. [Google Scholar] [CrossRef]
- Zamora, L.M.; Castillejo, N.; Artez-Hernandez, F. Effect of postharvest visible spectrum LED lighting on quality and bioactive compounds of tomatoes during shelf life. LWT 2023, 174, 114420. [Google Scholar] [CrossRef]
- Messina, V.; Dominguea, P.G.; Sancho, A.M.; De Reca, N.W.; Carrari, F.; Grigioni, G. Tomato quality during short term storage assessed by colour and electronic nose. Int. J. Electrochem. 2012, 2012, 687429. [Google Scholar] [CrossRef]
- Lopez Camelo, A.F.; Gomez, P.A. Comparison of color indexes for tomato ripening. Hortic. Bras. 2004, 2, 534–537. [Google Scholar] [CrossRef]
- Ropelewska, E.; Szwejda-Grzybowska, J.; Mieszczakowska-Frąc, M.; Celejewska, K.; Kruczyńska, D.E.; Rutkowski, K.P.; Konopacka, D. Physicochemical Properties, Image Textures, and Relationships between Parameters of Red-Fleshed Apples Collected on Different Harvest Dates. Agronomy 2023, 13, 2452. [Google Scholar] [CrossRef]
- IFU. Determination of L-Ascorbic Acid in Fruit Juices by HPLC. Method 17b; International Fruit and Vegetable Juice Association. 2024. Available online: https://ifu-fruitjuice.com/page/ListofIFUMethods (accessed on 7 October 2024).
- Sluis, A.; Dekker, M.; Skrede, G.; Jongen, W. Activity and concentration of polyphenolic antioxidants in apple juice. Effect of existing production methods. J. Agric. Food Chem. 2002, 50, 7211–7214. [Google Scholar] [CrossRef] [PubMed]
- Bohoyo-Gil, D.; Dominguez-Valhondo, D.; García-Parra, J.J.; González-Gómez, D. UHPLC as a suitable methodology for the analysis of carotenoids in food matrix. Eur. Food Res. Technol. 2012, 235, 1055–1061. [Google Scholar] [CrossRef]
- Re, R.; Pellegrini, N.; Proteggente, A.; Pannala, A.; Yang, M.; Rice-Evans, C. Antioxidant activity applying an improved ABTS radical cation decolorization assay. Free Radic. Biol. Med. 1999, 26, 1231–1237. [Google Scholar] [CrossRef] [PubMed]
- Boe, A.A. Some Biochemical Changes Occurring in Tomato Fruit Ripened by Several Treatments. Ph.D. Thesis, Utah State University, Logan, UT, USA, 2016. Volume 196. p. 4813. [Google Scholar]
- Ito, Y.; Nakano, T. Development and regulation of pedicel abscission in tomato. Front. Plant Sci. 2015, 6, 442. [Google Scholar] [CrossRef]
- Gulfishan, M.; Jahan, A.; Bhat, T.A.; Sahab, D. Plant Senescence and Organ Abscission. Chapter 16 of Senescence Signaling and Control in Plants; Academic Press: Cambridge, UK, 2019; pp. 255–272. [Google Scholar] [CrossRef]
- Famuyini, M.J.; Olalusi, A.P.; Sedara, A.M. Effect of maturity stage on quality and shelf life of tomato (Lycopersicon esculentum mill) using refrigerator storage system. Eurasian J. Agric. Res. 2020, 4, 23–44. [Google Scholar]
- Oduntan, A.O.; Oyetunde, O.A.; Shobo, B.A.; Bodunde, J.G. Effect of harvest maturity stage and ripening remediation agents on the shelf life and biochemical quality attributes of tomato (Solanum lycopersicum L.) fruits. Adv. Hort. Sci. 2022, 36, 255–263. [Google Scholar] [CrossRef]
- Ciptaningtyas, D.; Benyakart, N.; Umehara, H.; Johkan, M.; Nakamura, N.; Nagata, M.; Orikasa, T.; Thammawong, M.; Shiina, T. Modeling the metachronous ripening pattern of mature green tomato as affected by cultivar and storage temperature. Sci. Rep. 2022, 12, 8241. [Google Scholar] [CrossRef]
- Choi, H.G.; Park, K.S. Ripening process of tomato fruits postharvest: Impact environmental conditions on quality and chlorophyll a fluorescence characteristics. Horticulture 2023, 8, 812. [Google Scholar] [CrossRef]
- Appolloni, E.; Pennisi, G.; Paucek, I.; Cellini, A.; Crepaldi, A.; Spinelli, F.; Gianquinto, G.; Gabarrell, X.; Orsini, F. Potential application of pre-harvest LED interlighting to improve tomato quality and storability. Postharvest Biol. Technol. 2023, 195, 112113. [Google Scholar] [CrossRef]
- Martinez-Sanchez, A.; Tudela, J.A.; Luna, C.; Allende, A.; Gill, M.I. Low oxygen levels and light exposure affect quality of fresh-cut Romaine lettuce. Postharvest Biol. Technol. 2011, 59, 34–42. [Google Scholar] [CrossRef]
- Hasperue, J.H.; Rodoni, L.M.; Guardianelli, L.; Chaves, A.R.; Martinez, G. Use of LED light for brussels sprouts postharvest conservation. Sci. Hortic. 2016, 213, 281–286. [Google Scholar] [CrossRef]
- Liu, C.; Wan, H.; Yang, Y.; Ye, Q.; Zhou, G.; Wang, X.; Ahammed, G.J.; Cheng, Y. Postharvest LED light irradiation affects firmness, bioactive substances, and amino acid compositions in chili pepper (Capsicum annum L.). Foods 2022, 11, 2712. [Google Scholar] [CrossRef] [PubMed]
- Jarerat, A.; Techavuthiporn, C.; Chanchomsuek, C.; Nimitkeatkai, H. Enhancement of antioxidant and bioactive compounds in eggplants using postharvest LEDs irradiation. Horticulturae 2022, 8, 134. [Google Scholar] [CrossRef]
- Batu, A. Some factors affecting on determination and measurement of tomato firmness. Turk. J. Agric. For. 1998, 22, 411–418. [Google Scholar]
- Bruijn, J.; Fuentes, N.; Solar, V.; Valdebenito, A.; Vidal, L.; Melin, P.; Fagundes, F.; Valdes, H. The Effect of Visible Light on the Postharvest Life of Tomatoes (Solanum lycopersicum L.). Horticulturae 2023, 9, 94. [Google Scholar] [CrossRef]
- Batu, A. Determination of acceptable firmness and color values of tomatoes. J. Food Eng. 2004, 61, 471–475. [Google Scholar] [CrossRef]
- Grzegorzewska, M.; Badelek, E.; Matysiak, B.; Kaniszewski, S.; Dysko, J.; Kowalczyk, W.E.; Wrzodak, A.; Szwejda-Grzybowska, J. Assessment of romaine lettuce cultivars grown in a vertical hydroponic system at two levels of LED light intensity. Sci. Hortic. 2023, 313, 111913. [Google Scholar] [CrossRef]
- Xie, B.X.; Wei, J.J.; Zhang, Y.T.; Song, S.W.; Wei, S.U.; Sun, G.W.; Hao, Y.W.; Liu, H.C. Supplemental blue and red light promote lycopene synthesis in tomato fruits. J. Integr. Agric. 2019, 18, 590–598. [Google Scholar] [CrossRef]
- Meiramkulova, K.; Devrishov, D.; Adylbek, Z.; Kydyrbekova, A.; Zhangazin, S.; Ualiyeva, R.; Temirbekova, A.; Adilbektegi, G.; Mkilima, T. The impact of various LED light spectra on tomato preservation. Sustainability 2023, 15, 1111. [Google Scholar] [CrossRef]
- Arif, A.B.; Budiyanto, A.; Setiawan, C.T.; Sulistiyani, T.R.; Marwati, T.; Widayanti, S.M.; Setyadjit, M.L.P.; Adinegoro, H.; Yustiningsih, N.; Hadipernata, M.; et al. Application of red and blue LED light on cultivation and postharvest of tomatoes (Solanum lycopersicum L.). Scientica 2024, 3815651. [Google Scholar] [CrossRef]
- Sipos, L.; Li, T.; Orbaqn, C.; Balint, I.; Csambalik, L.; Diveky-Ertsey, A.; Gere, A. Colour parameters as indicators of lycopene and antioxidant activity traits of cherry tomatoes (Solanum lycopersicum L.). Eur. Food Res. Technol. 2017, 243, 1533–1543. [Google Scholar] [CrossRef]
- Wang, S.; Jin, N.; Jin, L.; Xiao, X.; Hu, L.; Liu, Z.; Wu, Y.; Xie, Y.; Zhu, W.; Lyu, J.; et al. Response of tomato fruit quality depends on period of LED supplementary light. Front. Nutr. 2022, 9, 833723. [Google Scholar] [CrossRef] [PubMed]
- Ntagkas, N.; Woltering, E.; Bouras, S.; de Vos, R.C.H.; Dieleman, J.A.; Nicole, C.C.S.; Labrie, C.; Marcelis, L.F.M. Light-induced vitamin C accumulation in tomato fruits is independent of carbohydrate availability. Plants 2019, 8, 86. [Google Scholar] [CrossRef] [PubMed]






| Spectrum | Irradiation Time per d. (h) | Storage Time at 20 °C After 14 Days of Irradiation at 15 °C (d) | |||
|---|---|---|---|---|---|
| 0 | 7 | 14 | 21 | ||
| Average for spectrum and irradiation time per d. | |||||
| I | 8 | 0.9 ± 0.1 a | 0.9 ± 0.1 a | 0.8 ± 0.1 b | 0.8 ± 0.1 b |
| II | 8 | 1.1 ± 0.1 b | 1.1 ± 0.1 bc | 1.1 ± 0.1 cde | 1.0 ± 0.1 cd |
| III | 8 | 0.9 ± 0.1 a | 0.8 ± 0.1 a | 0.7 ± 0.1 a | 0.7 ± 0.1 a |
| IV | 8 | 1.1 ± 0.2 bc | 1.1 ± 0.1 bc | 1.1 ± 0.1 def | 1.1 ± 0.1 cd |
| I | 4 | 1.1 ± 0.1 b | 1.0 ± 0.1 bc | 1.0 ± 0.1 cd | 1.0 ± 0.1 c |
| II | 4 | 1.2 ± 0.2 bc | 1.2 ± 0.2 c | 1.1 ± 0.1 ef | 1.1 ± 0.1 d |
| III | 4 | 1.1 ± 0.1 b | 1.0 ± 0.1 b | 1.0 ± 0.1 c | 1.0 ± 0.1 c |
| IV | 4 | 1.3 ± 0.2 c | 1.2 ± 0.1 d | 1.2 ± 0.1 f | 1.1 ± 0.1 d |
| Control | 0 | 1.4 ± 0.1 d | 1.3 ± 0.1 e | 1.3 ± 0.1 g | 1.3 ± 0.1 e |
| Average for spectrum | |||||
| I | 1.0 ± 0.2 a | 0.9 ± 0.1 a | 0.9 ± 0.1 b | 0.9 ± 0.1 b | |
| II | 1.2 ± 0.1 b | 1.1 ± 0.1 b | 1.1 ± 0.1 c | 1.1 ± 0.1 c | |
| III | 1.0 ± 0.2 a | 0.9 ± 0.1 a | 0.9 ± 0.2 a | 0.8 ± 0.1 a | |
| IV | 1.2 ± 0.2 b | 1.1 ± 0.1 b | 1.1 ± 0.1 c | 1.1 ± 0.1 c | |
| Control | 1.4 ± 0.1 c | 1.3 ± 0.1 c | 1.3 ± 0.1 d | 1.3 ± 0.1 d | |
| Average for irradiation time per d | |||||
| 8 | 1.0 ± 0.2 a | 0.9 ± 0.2 a | 0.9 ± 0.2 a | 0.9 ± 0.2 a | |
| 4 | 1.2 ± 0.2 b | 1.1 ± 0.2 b | 1.1 ± 0.1 b | 1.0 ± 0.1 b | |
| 0 | 1.4 ± 0.1 c | 1.3 ± 0.1 c | 1.3 ± 0.1 c | 1.3 ± 0.1 c | |
Disclaimer/Publisher’s Note: The statements, opinions and data contained in all publications are solely those of the individual author(s) and contributor(s) and not of MDPI and/or the editor(s). MDPI and/or the editor(s) disclaim responsibility for any injury to people or property resulting from any ideas, methods, instructions or products referred to in the content. |
© 2024 by the authors. Licensee MDPI, Basel, Switzerland. This article is an open access article distributed under the terms and conditions of the Creative Commons Attribution (CC BY) license (https://creativecommons.org/licenses/by/4.0/).
Share and Cite
Grzegorzewska, M.; Szwejda-Grzybowska, J.; Mieszczakowska-Frąc, M.; Matysiak, B. Postharvest LED Treatment of Tomatoes Harvested at an Early Stage of Coloration. Agronomy 2024, 14, 2727. https://doi.org/10.3390/agronomy14112727
Grzegorzewska M, Szwejda-Grzybowska J, Mieszczakowska-Frąc M, Matysiak B. Postharvest LED Treatment of Tomatoes Harvested at an Early Stage of Coloration. Agronomy. 2024; 14(11):2727. https://doi.org/10.3390/agronomy14112727
Chicago/Turabian StyleGrzegorzewska, Maria, Justyna Szwejda-Grzybowska, Monika Mieszczakowska-Frąc, and Bożena Matysiak. 2024. "Postharvest LED Treatment of Tomatoes Harvested at an Early Stage of Coloration" Agronomy 14, no. 11: 2727. https://doi.org/10.3390/agronomy14112727
APA StyleGrzegorzewska, M., Szwejda-Grzybowska, J., Mieszczakowska-Frąc, M., & Matysiak, B. (2024). Postharvest LED Treatment of Tomatoes Harvested at an Early Stage of Coloration. Agronomy, 14(11), 2727. https://doi.org/10.3390/agronomy14112727

