Next Article in Journal
The Effects of Tomato Intercropping with Medicinal Aromatic Plants Combined with Trichoderma Applications in Organic Cultivation
Previous Article in Journal
Effect of In Vitro Pretreatment with Ag-Containing Amino Acid Nanofibers on Biometrics and Antioxidant Activity in Drought-Stressed Ex Vitro-Adapted Stevia rebaudiana Bertoni
 
 
Font Type:
Arial Georgia Verdana
Font Size:
Aa Aa Aa
Line Spacing:
Column Width:
Background:
Article

Impact of Ozone Exposure on the Biochemical Composition of Wheat, Broccoli, Alfalfa, and Radish Seeds During Germination

by
Ilze Bernate
1,
Tatjana Kince
1,
Vitalijs Radenkovs
2,3,*,
Karina Juhnevica-Radenkova
2,
Ingmars Cinkmanis
1,
Juris Bruveris
4,† and
Martins Sabovics
1,*
1
Food Institute, Faculty of Agriculture and Food Technology, Latvia University of Life Sciences and Technologies, Rigas Street 22a, LV-3004 Jelgava, Latvia
2
Processing and Biochemistry Department, Institute of Horticulture, Graudu Street 1, LV-3701 Dobele, Latvia
3
Research Laboratory of Biotechnology, Division of Smart Technologies, Latvia University of Life Sciences and Technologies, Rigas Street 22b, LV-3004 Jelgava, Latvia
4
Ozone Tech Ltd., Karla Ulmana Avenue 3, LV-1004 Riga, Latvia
*
Authors to whom correspondence should be addressed.
Juris Bruveris has passed away.
Agronomy 2024, 14(11), 2571; https://doi.org/10.3390/agronomy14112571
Submission received: 25 September 2024 / Revised: 27 October 2024 / Accepted: 30 October 2024 / Published: 1 November 2024
(This article belongs to the Section Plant-Crop Biology and Biochemistry)

Abstract

In recent years, there has been an increasing interest in the use of gaseous ozone (O3) to promote the germination of edible seeds. While its ability to improve seedling vigor and stimulate germination is acknowledged, there has been limited research on the impact of gaseous O3 on the biochemical profile, including phenolic compounds (TPC) and antioxidant activity, of cereals, seeds, and their sprouts. The lack of information has led to the initiation of this study, which aims to assess the impact of ozone treatment duration at a concentration of 50 ppm 1 L min−1, ranging from 1 to 5 h, on the biochemical attributes of broccoli (Brassica oleracea), radish (Raphanus sativus), alfalfa (Medicago sativa) seeds, and sprouts, as well as wheat (Triticum aestivum) grains and sprouts. By optimizing O3 exposure parameters, including duration, this approach has the potential to serve as a valuable tool for enhancing the microbiological and nutritional quality of seeds and cereals. The findings revealed that O3 treatment generally had an adverse impact on TPC in seeds, cereals, and sprouts, resulting in a significant reduction in TPC post O3 treatment. Wheat grains, in particular, displayed the lowest TPC following ozone exposure, with an average decrease of 39.4% compared to the untreated sample. However, it is noteworthy that alfalfa seeds exhibited a positive response to 4 and 5 h O3 treatment, manifesting an average increase in TPC of 13.0% and 27.7%, respectively. In turn, broccoli, radish, and wheat sprouts displayed the lowest TPC, with values of 47.7%, 20.2%, and 18.0% lower than the control samples, respectively. This study revealed that plant responses to O3 exposure varied, and the effects of O3 treatment on TPC levels depended on O3 exposure time. Furthermore, the effect of O3 on the sugar content of the seeds, cereals, and sprouts varied among different plant types, with some showing an increase in content and others showing no substantial changes. This suggests that, depending on the type of seed, O3 may have both positive and neutral effects.

1. Introduction

Seeds and grains play a crucial role in the agricultural system and are vital components of the global food supply [1]. Cereals alone contribute to half of the world’s food consumption. Unprocessed agricultural products provide essential nutrients and contain numerous biologically active compounds important for overall health [2].
Consumers tend to select convenient food ingredients that are easy to prepare and consume. Sprouts of various seeds and grains have garnered significant attention due to their freshness, crunchiness, and the simple and inexpensive process of germination [3]. According to reports, germination can increase the amount of nutrients and make certain nutrients more bioavailable. During the germination process, the nutritional content of seeds can improve, including the levels of vitamins, minerals, and beneficial enzymes [4]. This occurs due to various mechanisms, such as enzymatic activity, which helps break down complex nutrients into simpler forms that are easier for the body to absorb [5]. Furthermore, germination can deactivate enzyme inhibitors and reduce anti-nutrients, making the nutrients more bioavailable [6]. This makes sprouted foods a nutritious addition to the diet [7]. Research has shown that sprouts from the cruciferous family, like spinach (Spinacia oleracea), Brussels sprouts (Brassica oleracea var. gemmifera), cauliflower (Brassica oleracea var. botrytis), broccoli (Brassica oleracea), oilseed rape (Brassica napus), and radishes (Raphanus sativus), contain a substantial amount of biologically active compounds [8]. Wheat is one of the most widely cultivated and valuable cereal crops, contributing 20% of the daily intake of protein and food calories. Increasing attention has been given to the health benefits of consuming wheat sprout grain products, as they are rich in dietary fiber; essential vitamins (particularly A, C, and E); minerals such as potassium, calcium, phosphorus, zinc, copper, and iron; and phytochemicals, all of which can help lower the risk of various diseases [9,10]. The germination of seeds is a crucial stage influenced by both internal and external factors [11]. Temperature is one of the most significant environmental factors [12]. Low temperatures reduce inhibitors, while higher temperatures affect phytohormones, subsequently influencing germination [13,14]. The second crucial factor to consider is water uptake during seed germination. Adequate water absorption is essential for successful germination, as excessive moisture can hinder the process [15,16]. It is important to note that while the germination process enhances the nutritional value of seeds, it is crucial to ensure microbiological safety during the process due to the potential risk of bacterial contamination [17]. This can be mitigated by following proper hygiene practices and using high-quality seeds that are free from contamination. Ensuring the improvement of seed and grain germination while maintaining food safety is a top priority. Various processing methods are employed worldwide, including chemical, biological, and physical approaches. Chemical methods, although practical, have notable environmental drawbacks. These drawbacks include the potential for chemical residues to persist in the environment and the possibility of adverse effects on non-target organisms. Additionally, the production and use of chemical treatments can contribute to pollution and may have long-term ecological consequences [18]. In contrast, physical methods and innovative technologies such as pulsed electric fields, cold plasma technology, high-pressure processing, UV (ultraviolet) light processing, pulsed light, and ozone (O3) offer promising alternatives. Recently, the use of O3 in food production and processing has gained significant importance [19]. The O3 is a highly reactive and potent oxidizer that has been acknowledged by the FDA (Food and Drug Administration) as a GRAS (generally recognized as safe) substance for treating bottled distilled water in compliance with good manufacturing practices [20]. Its GRAS designation has contributed to the widespread utilization of gaseous O3 in the food industry. Notably, O3 technology is environmentally friendly and helps reduce a company’s environmental costs [21,22,23,24].
The use of O3 for water purification, bacteria elimination, and food disinfection is prevalent in many regions across the world. O3, known for its potent antimicrobial properties and ability to ensure microbiological safety, is effective in limited quantities. Unlike certain chemicals that leave behind carcinogenic compounds, O3 decomposes rapidly into oxygen without leaving any traces [25,26]. However, exposure to O3 has been found to have a significant adverse impact on sprout quality. High doses of O3 can lead to oxidation and deterioration of chemical components found in grains, resulting in starch loss, lipid oxidation, protein modification, discoloration, or a decrease in seed germination [27,28]. According to recent reports, gaseous O3 has been found to affect plants’ microbiological safety positively [29]. However, its impact on biologically active compounds varies depending on the plant, the type of O3, and the concentration. It has been indicated that O3, due to its strong oxidation capacity, causes a reduction in the content of phenolics in food, leading to changes in their chemical composition and potentially affecting their biological activity [30]. This oxidation process can alter the structure and function of phenolic compounds, impacting their interactions with other molecules and their overall antioxidant activity. However, the positive effect of gaseous O3 on the content of phenolic compounds, flavonoids, and anthocyanins in strawberries [31], raspberries [32], fresh-cut papaya [33], fresh-cut pineapple and banana [34] has been documented. Ozonation has been found to preserve phenolics in fruits due to its ability to inhibit the activity of enzymes responsible for degrading these compounds. Additionally, the reactive nature of O3 allows it to interact with unsaturated compounds, preventing the degradation of phenolics [35]. When germination and ozonation are used together, mixed conclusions can be drawn. While ozonation shows potential in ensuring microbiological safety and reducing environmental costs in food production and processing, its impact on sprouted seeds’ nutritional content and biological activity requires further investigation. This research may shed light on the potential trade-offs and benefits of integrating ozonation into seed treatment processes and provide insights into optimizing the combined use of these methods to achieve food safety and nutritional quality. The objective of this research was to investigate the impact of ozone treatment duration on the biochemical attributes of broccoli (Brassica oleracea), radish (Raphanus sativus), alfalfa (Medicago sativa) seeds and sprouts, and wheat (Triticum aestivum) grains and sprouts.

2. Materials and Methods

2.1. Materials

The seeds were acquired from a local market in Latvia. The broccoli (Brassica oleracea) seeds, bearing the lot number 62/T2 and an expiration date of June 2022, and the radish (Raphanus sativus) seeds, with the lot number 733/TA and an expiration date of April 2022, were sourced from Italy. Furthermore, the wheat grains (Triticum aestivum) were harvested in Latvia in 2022, while the alfalfa seeds (Medicago sativa), with an expiration date of 2023, originated in Italy. The experiments conducted at the Food Institute of Latvia University of Life Sciences and Technologies (LBTU) involved the treatment of fresh seeds through ozonation and biochemical quality assessment. These experiments took place in 2021, following the acquisition of the necessary materials. In contrast, the experiments that focused on the treatment of fresh wheat grain were executed in 2022.

2.2. Experimental Design

This research involved exposing wheat grains, radishes, broccoli, and alfalfa seeds to varying concentrations of O3. Subsequently, their biochemical quality, including phenolic content, antioxidant capacity, and individual saccharide content, was compared with those not subjected to the O3 treatment. The experimental design is depicted in Figure 1.

2.3. Treatment with Ozone and Further Germination

The seeds and grains were subjected to O3 treatments using the BNP OZ-7G series water/air OZ series O3 generator (BNPOZONE, Guangzhou, China). The O3 concentration was measured using a PSE—Priggen Special Electronic—meter (PSE Priggen Special Electronic GmbH, Steinfurt, Germany). O3 was introduced into a 10.0 L plastic container with a lid containing 20 ± 1 g of seeds/grains. The plastic container’s lid was equipped with connections for gas introduction and release. A concentration of 50 ppm of O3 was chosen with a flow rate of 1 L min−1 for seed exposure lasting 1, 2, 3, 4, and 5 h, based on previous studies confirming its effectiveness on wheat, rice, maize, and soybean [36]. Following treatment with gaseous O3, the seeds and grains underwent a thorough cleaning and washing process, followed by soaking in water at a ratio of 1:2 (seeds to water) for approximately 24 h at a temperature of 22 ± 2 °C. After soaking, excess water was drained, and the seeds were moved to glass Petri plates lined with sterile filter paper for germination under controlled temperature (22 ± 2 °C) and relative humidity (80 ± 3%) conditions in the dark using a climate chamber ICH110 (Memmert GmbH, Schwabach, Germany) [37]. Germination lasted for 72 h to assess the effect of O3 treatment on the biochemical quality of sprouted seeds and grains. All experiments were independently repeated three times under the same conditions, always using another set of plants.

2.4. Determination of Total Phenolic Content and Antioxidant Activity

Extraction. Extracts were prepared to measure total phenolic content (TPC) and antioxidant activity (AA). The extraction process was performed as described by Kruma et al. [37]. Briefly, the freeze-dried and ground (particle size < 0.2 mm) plant samples, which included seeds, grains, and seeds and grains with sprouts (2.0 g) underwent extraction using a solution of ethanol/acetone/water (7/7/6 v/v/v) in an ultrasonic bath YJ5120-1 (Oubo Dental, McHenry, IL, USA) operating at 35 kHz for 10 min at 20 ± 1 °C. Subsequently, the extracts were centrifuged in a centrifuge CM-6MT (Elmi Ltd., Riga, Latvia) at 3500 min−1 for 5 min. Residues were subjected to re-extraction using the same procedure. The extraction process was carried out in triplicate.
Total phenolic content (TPC). The TPC in extracts derived from seeds, grains, and seed/grain combinations with sprouts was determined using the Singleton et al. method [38]. To analyze the extract, 0.5 mL of the sample was mixed with 2.5 mL of diluted Folin–Ciocalteu reagent (Sigma-Aldrich Chemie Ltd., Steinheim, Germany) and left for 5 min. After that, 2.0 mL of 7.5% Na2CO3 (Sigma-Aldrich Chemie Ltd., Steinheim, Germany) was added, and the mixture was left for 30 min before the absorbance was measured at λ = 765 nm using a JENWAY 6300 spectrophotometer (Baroworld Scientific Ltd., Staffordshire, UK). The TPC of the test samples was expressed in milligrams of gallic acid (Merck & Co., Inc., Rahway, NJ, USA) equivalents (GAE) per 100 g−1 of the sample on a dry weight basis (mg GAE 100 g−1 DW).
Antioxidant activity (AA). For the determination of antioxidant activity, a stable 2,2-diphenyl-1-picrylhydrazyl (DPPH) radical reagent (Fluka, Buchs, Switzerland) was used [39]. Freshly prepared DPPH reagent (0.004 g DPPH in 100 mL ethanol) was mixed with 0.5 mL of the extract to be analyzed and left for 30 min. The absorbance was then measured at λ = 517 nm using a JENWAY 6300 spectrophotometer. The results of AA were expressed as mmol Trolox (Merck KGaA, Darmstadt, Germany) equivalents (TE) per 100 g−1 of plant material on a dry weight basis (mmol TE 100 g−1 DW).

2.5. Determination of Individual Sugar Content

The extraction procedure commenced by measuring 5 g of plant material and adding 10 mL of distilled water. The resulting mixture was then stirred for 1 h. Following this, the fructose, glucose, sucrose, and maltose (Sigma-Aldrich Chemie Ltd., Steinheim, Germany) levels in the extract were determined using high-performance liquid chromatography (HPLC) with a Shimadzu LC 20 Prominence system (Shimadzu Corporation, Tokyo, Japan), subsequent to filtration through a 0.45 µm hydrophilized polytetrafluoroethylene (H-PTFE) membrane filter from Macherey-Nagel GmbH & Co. KG (Dueren, Germany).

2.6. Statistical Analyses

The data were analyzed using Microsoft Excel (Microsoft 365 MSO, Version 2406) and RStudio, an Integrated Development Environment for R (version 2023.09.1). Mean and standard deviations were calculated for the obtained values. A one-way ANOVA and T-test were used to determine if there was a significant difference (p < 0.05).

3. Results and Discussion

3.1. Total Phenolic Content (TPC), Antioxidant Activity, and Individual Sugars

The selection of seed and grain samples for subsequent analysis of total phenols, radical scavenging activity, and sugars was based on the observed effectiveness of O3 in reducing microbiological contamination following treatment with 50 parts per million (ppm) O3 [40]. The control group comprised untreated seeds and sprouts. Further analysis of biochemical quality indicators considered the concentration of total microorganism counts (CFU) and Enterobacteriaceae in the samples obtained in our previous study [40]. The selected samples for analysis included broccoli seeds treated for 1, 2, 3, and 4 h, radish for 1, 2, 3, 4, and 5 h, alfalfa for 4 and 5 h, and wheat grain for 3, 4, and 5 h.

3.1.1. Total Phenolic Content (TPC)

Edible seeds and sprouts contain phenolic compounds that are considered to be responsible for radical scavenging capacity. These compounds have been shown to help protect the body from oxidative stress and reduce the risk of chronic diseases [41]. Additionally, phenolic compounds in seeds and sprouts may also exhibit anti-inflammatory and anti-cancer properties. However, it is reported that phenolic compounds in grains and seeds are often found in a bound form, which means they are bound to other compounds and are not readily available for absorption [42]. However, during the germination process, the bound phenolic compounds can be converted into a free form, making them more bioavailable and more accessible for the body to absorb and utilize [43]. Moreover, seed soaking and germination stimulate antioxidant synthesis [44]. This is one of the reasons why germination is often recommended as a way to increase the nutritional value of grains and seeds. The results on TPC are summarized in Table 1.
In the evaluation of dry seed control samples, it was found that the highest content of TPC was in broccoli seeds at 642.65 ± 21.82 > radish 615.95 ± 42.16 > alfalfa 315.09 ± 49.35 > wheat grain 254.80 ± 13.49 mg GAE 100 g−1 DW. Upon comparison of the control broccoli seed sample with the O3-treated seed samples, it was found that ozonation had a detrimental effect on the phenolic content. After 1, 2, and 3 h of seed exposure to O3, reductions of 8.4%, 7.3%, and 7.9% in total phenolic compound (TPC) values were observed, respectively, in comparison to the untreated sample. The difference in phenolic content between the control and O3-treated broccoli samples for shorter exposure periods was less pronounced but statistically significant (p < 0.05). Furthermore, a 13.9% reduction in phenolic content compared to the initial value was observed after subjecting the broccoli sample to 4 h of O3 treatment. In contrast, no phenolics were detected after 5 h of exposure. It is evident that the negative impact of O3 increases with longer exposure periods.
Treating radish seeds with O3 for 1 h did result in a significant reduction in TPC compared to the control samples (p < 0.05), as a 6.6% loss of phenolics was observed. However, exposing the seeds to O3 for 2 h led to a 14.3% decrease in TPC content, which indicates a significant impact of gaseous O3 on the seeds, as reflected by a p-value of 0.0368.
In a prior investigation conducted by Bernate et al. [40], it was noted that shorter durations of O3 exposure had no significant impact on the microbiological safety, including total plate count of alfalfa seeds. Treatments lasting 1, 2, and 3 h did not yield the desired results regarding reduction of microbiological contamination, leading to the exclusion of these samples from the TPC experiment. However, alfalfa seeds exposed to O3 for 4 and 5 h exhibited a positive response regarding microbiological safety and TPC, demonstrating a 13.0% and 27.7% increase in TPC compared to the untreated sample. These were the only seeds to show an increase in TPC in relation to O3 exposure time, which could be attributed to the thinner seed coat compared to broccoli, radish seeds, or wheat grains, enabling better penetration of O3 into the seed kernel and triggering the accumulation of compounds responsible for the antioxidant properties following the “Oxidation Stress Theory” [45,46].
As for wheat grain, the TPC for the control sample was 254.81 ± 13.49 mg 100 g−1 DW. Exposure of wheat grains to O3 for 1 and 2 h did not significantly impact microbiological safety [40]. Consequently, these samples were excluded from the biochemical quality testing due to the high total microorganism counts. While following 3 h of wheat grain processing, the TPC remained consistent with the initially detected concentration at the beginning of the experiment, prolonging the O3 treatment to 4 and 5 h resulted in reduction in TPC by 64.8% and 54.8%, respectively. This observation supports the earlier statement by Kaur et al. [47] that O3 can induce the production of reactive oxygen species (ROS), leading to an enhanced antioxidant concentration in seeds and throughout the plant, thereby mitigating the oxidative effects of ROS. On the other hand, high O3 concentrations during longer durations of plant treatment can cause over-oxidation, leading to a reduction in phenolic and non-phenolic antioxidants [48].
Comparing the TPC in dry seeds and sprouts, previous studies have observed an increase in TPC during seed germination [44,49]. In this study, TPC was higher in sprouts than in dry seeds, which supported the earlier observations made by Cevallos-Casals et al. [44]. The highest TPC was found in the broccoli sprouts, reaching 1409.54 ± 78.62 mg 100 g−1 DW in the control sample. However, when evaluating the broccoli samples treated with O3, it was revealed that O3 significantly (p = 0.003) affected the TPC content, resulting in a 50.9% reduction after a 4 h treatment. The TPC content in the control radish sprouts was 986.54 ± 92.09 mg 100 g−1 DW, while O3-treated sprouts showed an average 20.2% decrease in the TPC (p = 0.001). Wheat sprouts also showed a substantial reduction in the content of TPC from 185.76 ± 12.67 mg GAE 100 g−1 DW in the control sample to 149.51 ± 7.05 and 150.59 ± 11.41 mg GAE 100 g−1 DW in the O3 treated samples for 4 and 5 h, respectively. This study suggests that the effects of O3 treatment on TPC levels in seeds and sprouts differ based on the specific type of seed or sprout and the length of O3 exposure. The variation in TPC of the chosen seeds and grain indicates that plants react differently to O3, and the optimal time of O3 should be individually considered, considering the changes during treatment.

3.1.2. Antioxidant Activity (AA)

During the germination process of edible seeds, the sprouts undergo a change in AA. Although different methods have been used to determine AA, research consistently shows that the germination process enhances AA in sprouts compared to dry seeds and grains [50]. Increased TPC in sprouts can influence their ability to scavenge free radicals. Extracts from the seeds and sprouts were analyzed for their AA against DPPH free radicals, and the results are presented in Table 2.
In the current study, the research findings indicate that broccoli seeds exhibited the highest AA, whereas wheat grains showed the lowest, with values of 60.37 ± 1.71 and 4.22 ± 0.29 mmol TE 100 g−1 DW, respectively. Notably, minimal changes in AA were observed in broccoli seeds following a 3 h O3 treatment. However, a statistically significant decrease (p < 0.05) in AA was noted after 4 h of exposure, and no AA was observed after 5 h. The radish samples exhibited the most significant decrease in AA after being subjected to a 5 h O3 treatment, resulting in an 11.3% AA reduction. It has been observed that germination increased the AA of sprout samples, with broccoli having the highest AA, followed by radish, alfalfa, and wheat sprouts. The results can be supported by an observation made by Pająk et al. [41], indicating that sprouts generally exhibit higher AA than dry seeds. A similar observation has been made by Bernate et al. [51], revealing the increase in AA after seed germination for 12, 24, 36, and 48 h, both in light and darkness. Over an extended period, O3-treated seeds and grains exhibited significantly (p < 0.05) diminished AA in sprouts when compared to control samples. In the context of broccoli, the control sample exhibited an average AA of 95.76 ± 3.69 mmol TE 100 g−1 DW. Following a 5 h O3 treatment, the AA reduced to 68.80 ± 3.38 mmol TE 100 g−1 DW (p < 0.05), indicating a 28.1% decrease from the initial AA. Similarly, in the case of radish, the most significant (p < 0.05) decline in AA was observed after subjecting the seeds to 4 and 5 h of O3 treatment, resulting in reductions of 19.9% and 19.5% from the initial AA, respectively.

3.1.3. Individual Saccharide Content

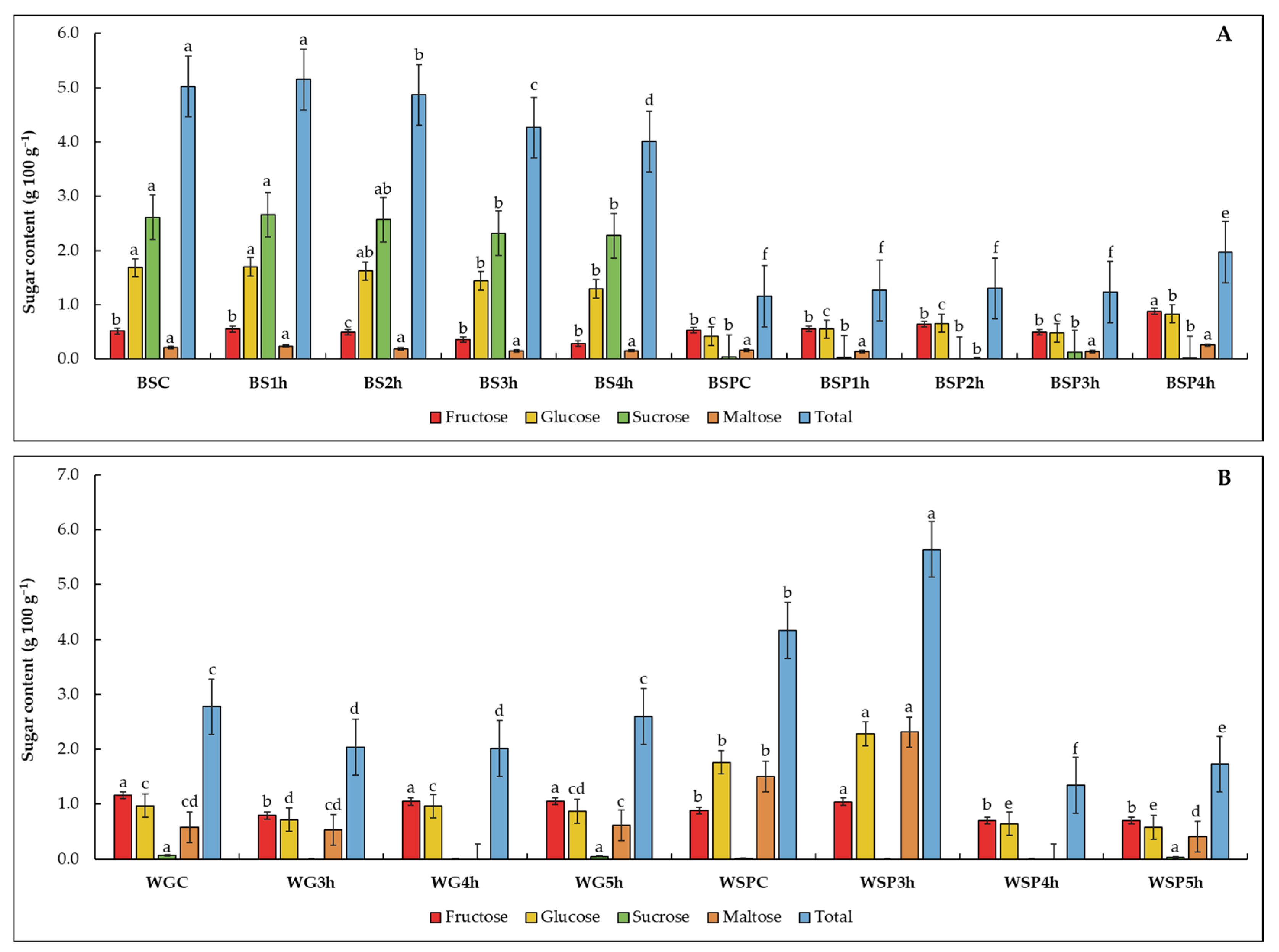
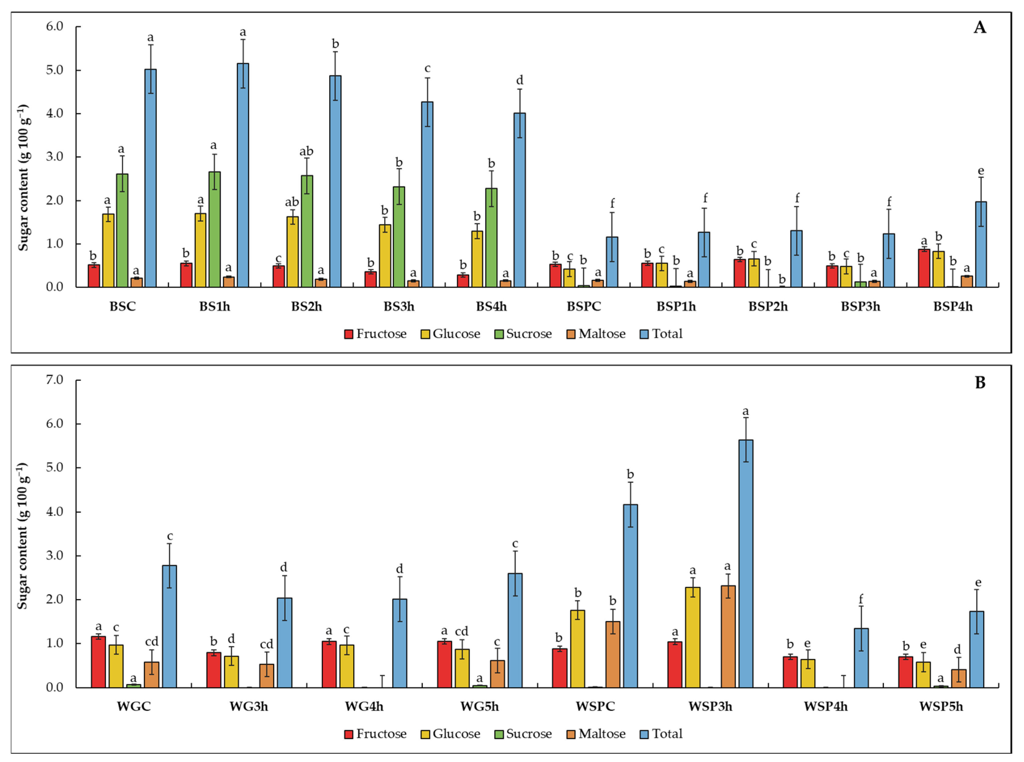
The concentrations of free mono- and disaccharides in selected seeds, grains, and their sprouts are presented in Figure 2A,B and Figure 3A,B. In broccoli seeds, sucrose was identified as the predominant monosaccharide, followed by glucose, with fluctuating concentrations from 2.27 ± 0.15 to 2.61 ± 0.18 g 100 g−1 and 1.29 ± 0.12 to 1.70 ± 0.17g 100 g−1, respectively. Traces of fructose and maltose were also observed in the broccoli seeds, with concentrations ranging from 0.29 ± 0.01 to 0.51 ± 0.12 g 100 g−1 and 0.15 ± 0.01 to 0.21 ± 0.04 g 100 g−1, respectively. The study findings indicated that the time of O3 exposure did not significantly influence the sugar content in broccoli seeds (p = 0.59). The predominant sugars identified in broccoli sprouts were fructose and glucose, with equivalent concentrations. The concentrations of fructose and glucose ranged from 0.54 ± 0.01 to 0.88 ± 0.17 g 100 g−1 and from 0.42 ± 0.02 to 0.83 ± 0.15 g 100 g−1, respectively.
In the analysis of sugar composition in wheat grains (Figure 2B), it was observed that fructose and glucose are the primary sugars, with a smaller amount of maltose. However, glucose is the predominant sugar in wheat grain sprouts, followed by maltose and fructose. O3 exposure generally did not have a significant (p = 0.03) impact on individual sugar composition in wheat grain, while a substantial effect was observed for wheat sprout samples. In particular, a notably higher concentration of glucose and maltose was observed in wheat sprouts following a 3 h O3 exposure, corresponding to 2.31 ± 0.34 and 2.28 ± 0.38 g 100 g−1 or a 54.0% and 29.5% increase compared to untreated grains, respectively. This finding is consistent with Senhofa et al. [52]. However, prolonged exposure of wheat grains to ozone led to decreased sugar content in the sprouts. Specifically, a 4 h exposure resulted in a loss of 100.0%, 63.4%, and 20.9% of maltose, glucose, and fructose, respectively, compared to untreated grains. Likewise, a 5 h exposure led to a 72.6%, 67.0%, and 20.5% reduction in these saccharides.
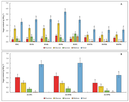
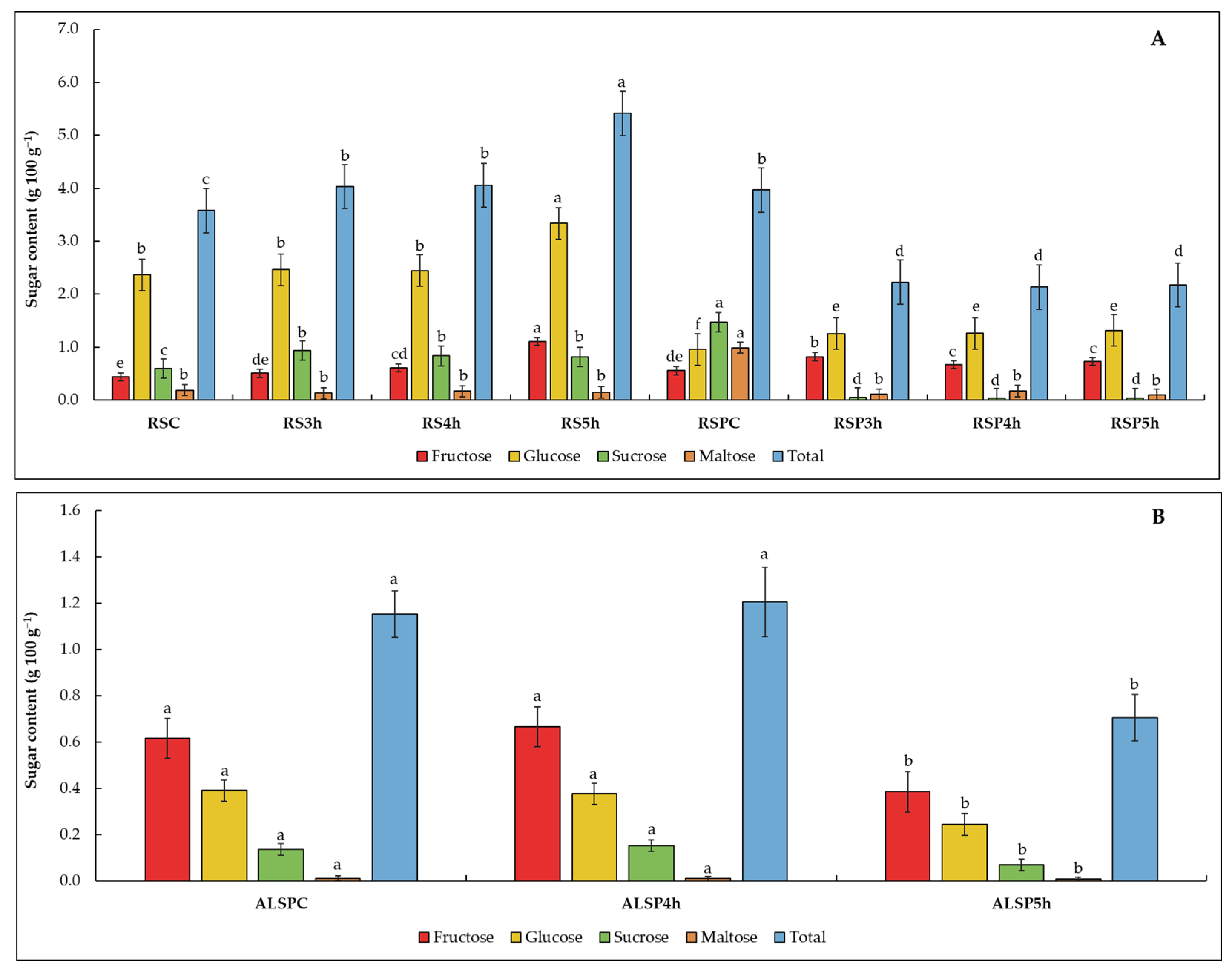
According to the findings, the predominant monosaccharides and disaccharides in radish seeds are glucose, sucrose, and fructose (Figure 3A). Their concentrations range from 2.36 ± 0.01 to 2.34 ± 0.51 g 100 g−1, 0.59 ± 0.02 to 0.82 ± 0.06 g 100 g−1, and 0.43 ± 0.02 to 1.11 ± 0.32 g 100 g−1, respectively. An increase in O3 exposure time led to a corresponding increase in the sugar content. The most significant increase, at 155.3%, was observed in fructose content after 5 h of O3 exposure. The glucose concentration remained largely unchanged, with a modest 3.3% increase compared to the control sample. The most substantial surge in sucrose content, at 57.6%, occurred after subjecting the seeds to 3 h of O3 exposure. As ozonation progressed, the impact of O3 on sucrose increase became less pronounced, contributing to a 37.6% increase after 5 h O3 exposure.
The research findings indicate a statistically significant impact (p = 0.04) of ozonation on the concentrations of glucose and fructose in radish sprouts. Following a 3 h exposure to O3 treatment, a notable increase of 47.9% in glucose and 31.1% in fructose content was observed in comparison to untreated seeds (Figure 3A). The measured concentrations of these sugars in radish sprouts were 0.82 ± 0.08 g and 1.25 ± 0.03 g 100 g−1, respectively. Subsequent ozonation did not lead to further accumulation of these sugars, as their levels remained unchanged.
The presence of mono- and disaccharide in alfalfa seeds was not observed in this study, whereas the data for alfalfa sprouts are provided in Figure 3B. The predominant monosaccharides in alfalfa sprouts were found to be fructose, with a lower amount of glucose present, while sucrose and maltose were detected in minimal quantities. The concentration of fructose and glucose in sprouts from untreated seeds was 0.62 ± 0.02 and 0.39 ± 0.01 g 100 g−1, respectively. The ozonation of alfalfa seeds had varying effects on the fructose and glucose content in the sprouts. Following a 4 h O3 treatment, an 8.1% increase in fructose level was observed, whereas a 37.6% decrease was noted after a 5 h O3 exposure, compared to unprocessed seeds. However, over the course of O3 treatment, the glucose content gradually decreased by 3.5% after 4 h of exposure and by 37.4% after 5 h of exposure.
In the context of this study, statistically significant differences (p < 0.05) were observed in the total sugar content when comparing control broccoli with O3-treated samples (Figure 2A). While differences between control seed samples and those treated with O3 for a short duration were less marked, the most substantial was noted following 3 h and 4 h O3 exposures, indicating a decrease. Subsequent investigation into broccoli seed germination revealed that the sample exposed to long-term O3 treatment exhibited the highest total sugar content. This observation was attributed to the modification of carbohydrate metabolic pathways, which promoted the accumulation of hexoses, disaccharides, sugar alcohols, and complex sugars, as reported by Chen et al. [53].
The examination of total sugar values revealed that the impact of ozonation on the sugar content of wheat grain was not definitively discernible (Figure 2B). However, a clear effect of wheat grain ozonation was evident in the sprouts derived from O3-treated seeds. The wheat sprouts from wheat grains treated with O3 for 3 h exhibited the highest total sugar content, while those from grains treated with O3 for 4 h and 5 h showed the lowest levels. This outcome is likely due to the ability of O3 to delay the activity of enzymes responsible for the hydrolysis of starch and other high-molecular-weight compounds. Prolonged exposure appears to accentuate this effect.
The impact of ozonation on radish seed samples was more prominent (p < 0.05), particularly evident when assessing the total sugar content in dry seeds (Figure 3A). In the control sample, the total sugar content was 3.58 ± 0.01 g 100 g−1, while in the O3-treated samples, the average was 4.50 ± 0.79 g 100 g−1. Notably, the total sugar values in O3-treated samples for 3 h, 4 h, and 5 h were 12.7%, 13.3%, and 51.2% higher, respectively, than those observed in the control sample. The analysis of total sugar content in alfalfa seeds, similar to that of wheat grain, did not yield conclusive results. Exposure of alfalfa seeds to 4 h of O3 treatment did not result in significant changes in total sugars. However, an additional 1 h treatment led to a 40.8% decrease in total sugar content (Figure 3B). This observation highlights the impact of O3 in altering both the nutritional value and enzymatic activity, emphasizing the dependence on the seed type.

4. Conclusions

This study showed that untreated broccoli seeds exhibited the highest total phenolic content (TPC), with a similar trend observed in their sprouts. O3 treatment generally reduced TPC and antioxidant activity across most seed types, except for alfalfa, which increased after more prolonged O3 exposure durations. This suggests that while ozonation might negatively impact TPC, certain conditions could enhance the release of phenolic compounds due to partial disintegration of cell structure. Furthermore, the varying effects of O3 on different seed types and durations highlight the need to consider treatment conditions carefully. The data revealed that longer O3 exposure was detrimental, leading to reductions in sugar content for some seeds, while others displayed increased sugar concentrations, challenging existing assumptions. Overall, the ambiguous effects of ozonation on the biochemical quality of seeds, grains, and sprouts warrant further investigation focusing on identifying optimal O3 exposure durations to maximize beneficial outcomes and minimize negative impacts on seed biochemical quality and antioxidant content.

Author Contributions

Conceptualization, methodology, validation, formal analysis, investigation, writing—original draft preparation, visualization, I.B., T.K., I.C., V.R., and J.B.; supervision, review, editing, V.R., T.K., K.J.-R., and M.S.; funding acquisition, M.S. All authors have read and agreed to the published version of the manuscript.

Funding

This research was supported by the Latvia University of Life Sciences and Technologies project No. 3.2-10/121, “Strengthening Research Capacity in the Latvia University of Life Sciences and Technologies”. This publication is supported by the funding of the scientific base of the Faculty of Agriculture and Food Technology of Latvia University of Life Sciences and Technologies.

Data Availability Statement

Data are contained within the article.

Conflicts of Interest

Author Juris Bruveris was employed by the company Ozone Tech Ltd. The remaining authors declare that the research was conducted in the absence of any commercial or financial relationships that could be construed as a potential conflict of interest.

References

  1. Wrigley, C.W. An Overview of the Family of Cereal Grains Prominent in World Agriculture; Wrigley, C., Corke, H., Seetharaman, K., Faubion, J., Eds.; Academic Press: Oxford, UK, 2016; pp. 73–85. ISBN 978-0-12-394786-4. [Google Scholar]
  2. Amine, E.K.; Baba, N.H.; Belhadj, M.; Deurenberg-Yap, M.; Djazayery, A.; Forrestre, T.; Galuska, D.A.; Herman, S.; James, W.P.T.; M’Buyamba Kabangu, J.R.; et al. Diet, Nutrition and the Prevention of Chronic Diseases; World Health Organization: Geneva, Switzerland, 2003; p. 160.
  3. Shohag, M.J.I.; Wei, Y.; Yang, X. Changes of Folate and Other Potential Health-Promoting Phytochemicals in Legume Seeds As Affected by Germination. J. Agric. Food Chem. 2012, 60, 9137–9143. [Google Scholar] [CrossRef] [PubMed]
  4. Kathuria, D.; Hamid; Chavan, P.; Jaiswal, A.K.; Thakur, A.; Dhiman, A.K. A Comprehensive Review on Sprouted Seeds Bioactives, the Impact of Novel Processing Techniques and Health Benefits. Food Rev. Int. 2024, 40, 370–398. [Google Scholar] [CrossRef]
  5. Maqbool, Z.; Khalid, W.; Mahum, A.; Khan, A.; Azmat, M.; Sehrish, A.; Zia, S.; Koraqi, H.; AL-Farga, A.; Aqlan, F.; et al. Cereal Sprout-Based Food Products: Industrial Application, Novel Extraction, Consumer Acceptance, Antioxidant Potential, Sensory Evaluation, and Health Perspective. Food Sci. Nutr. 2024, 12, 707–721. [Google Scholar] [CrossRef]
  6. Gunathunga, C.; Senanayake, S.; Jayasinghe, M.A.; Brennan, C.S.; Truong, T.; Marapana, U.; Chandrapala, J. Germination Effects on Nutritional Quality: A Comprehensive Review of Selected Cereals and Pulses Changes. J. Food Compos. Anal. 2024, 128, 106024. [Google Scholar] [CrossRef]
  7. Kruma, Z.; Kince, T.; Galoburda, R.; Tomsone, L.; Straumite, E.; Sabovics, M.; Sturite, I.; Kronberga, A. Influence of Germination Temperature and Time on Phenolic Content and Antioxidant Properties of Cereals. In Proceedings of the FOODBALT 2019 13th Baltic Conference on Food Science and Technology, Jelgava, Latvia, 2–3 May 2019; pp. 103–108. [Google Scholar] [CrossRef]
  8. Martínez-Villaluenga, C.; Frías, J.; Gulewicz, P.; Gulewicz, K.; Vidal-Valverde, C. Food Safety Evaluation of Broccoli and Radish Sprouts. Food Chem. Toxicol. 2008, 46, 1635–1644. [Google Scholar] [CrossRef] [PubMed]
  9. Chang, B.Y.; Bae, J.H.; Yun, S.B.; Kim, Y.D.; Park, S.J.; Kim, S.Y. Wheat Sprouts (Triticum aestivum Linn.) Cultured by a Smart Farm System Ameliorate NAFLD through the AMPK-Mediated SREBP Signaling Pathway. Food Sci. Biotechnol. 2023, 32, 1585–1594. [Google Scholar] [CrossRef]
  10. Dziki, D.; Gawlik-Dziki, U.; Kordowska-Wiater, M.; Domań-Pytka, M. Influence of Elicitation and Germination Conditions on Biological Activity of Wheat Sprouts. J. Chem. 2015, 2015, 649709. [Google Scholar] [CrossRef]
  11. Farooq, S.; Onen, H.; Tad, S.; Ozaslan, C.; Mahmoud, S.F.; Brestic, M.; Zivcak, M.; Skalicky, M.; El-Shehawi, A.M. The Influence of Environmental Factors on Seed Germination of Polygonum perfoliatum L.: Implications for Management. Agronomy 2021, 11, 1123. [Google Scholar] [CrossRef]
  12. Haj Sghaier, A.; Tarnawa, Á.; Khaeim, H.; Kovács, G.P.; Gyuricza, C.; Kende, Z. The Effects of Temperature and Water on the Seed Germination and Seedling Development of Rapeseed (Brassica napus L.). Plants 2022, 11, 2819. [Google Scholar] [CrossRef]
  13. Finch-Savage, W.E.; Leubner-Metzger, G. Seed Dormancy and the Control of Germination. New Phytol. 2006, 171, 501–523. [Google Scholar] [CrossRef]
  14. Moyo, M.; Amoo, S.O.; Van Staden, J. Aqueous Smoke and Karrikin Influence Seed Germination of Amaranthus Dubius in Varying Light, Temperature and Osmotic Stress Conditions. S. Afr. J. Bot. 2022, 148, 704–709. [Google Scholar] [CrossRef]
  15. Thakur, P.S.; Chatterjee, A.; Rajput, L.S.; Rana, S.; Bhatia, V.; Prakash, S. Laser Biospeckle Technique for Characterizing the Impact of Temperature and Initial Moisture Content on Seed Germination. Opt. Lasers Eng. 2022, 153, 106999. [Google Scholar] [CrossRef]
  16. Najib, T.; Heydari, M.M.; Meda, V. Combination of Germination and Innovative Microwave-Assisted Infrared Drying of Lentils: Effect of Physicochemical Properties of Different Varieties on Water Uptake, Germination, and Drying Kinetics. Appl. Food Res. 2022, 2, 100040. [Google Scholar] [CrossRef]
  17. World Health Organization. Prevention and Control of Microbiological Hazards in Fresh Fruits and Vegetables. Part 3: Sprout; WHO: Geneva, Switzerland, 2023. [Google Scholar]
  18. Mir, S.A.; Farooq, S.; Shah, M.A.; Sofi, S.A.; Dar, B.N.; Hamdani, A.M.; Mousavi Khaneghah, A. An Overview of Sprouts Nutritional Properties, Pathogens and Decontamination Technologies. LWT 2021, 141, 110900. [Google Scholar] [CrossRef]
  19. Dutta, D.; Nath, A.; Mukhim, K.; Swer, T.; Verma, N.; Deka, B.C.; Gangwar, B. A Review on Application of Ozone in the Food Processing and Packaging. J. Food Prod. Dev. Packag. 2014, 1, 7–21. [Google Scholar]
  20. Guzel-Seydim, Z.B.; Greene, A.K.; Seydim, A.C. Use of Ozone in the Food Industry. LWT 2004, 37, 453–460. [Google Scholar] [CrossRef]
  21. Pascual, A.; Llorca, I.; Canut, A. Use of Ozone in Food Industries for Reducing the Environmental Impact of Cleaning and Disinfection Activities. Trends Food Sci. Technol. 2007, 18, 29–35. [Google Scholar] [CrossRef]
  22. Tuan, P.A.; Sun, M.; Nguyen, T.-N.; Park, S.; Ayele, B.T. Molecular Mechanisms of Seed Germination; Feng, H., Nemzer, B., Devries, J.W., Eds.; AACC International Press: St. Paul, MN, USA, 2019; pp. 1–24. ISBN 978-0-12-811525-1. [Google Scholar]
  23. Chauret, C.P. Sanitization; Batt, C.A., Tortorello, M.L., Eds.; Academic Press: Oxford, UK, 2014; pp. 360–364. ISBN 978-0-12-384733-1. [Google Scholar]
  24. Fang, Y.; Franke, C.; Manthei, A.; McMullen, L.; Temelli, F.; Gänzle, M.G. Effects of High-Pressure Carbon Dioxide on Microbial Quality and Germination of Cereal Grains and Beans. J. Supercrit. Fluids 2021, 175, 105272. [Google Scholar] [CrossRef]
  25. Pandiselvam, R.; Thirupathi, V.; Anandakumar, S. Reaction Kinetics of Ozone Gas in Paddy Grains. J. Food Process Eng. 2015, 38, 594–600. [Google Scholar] [CrossRef]
  26. Hess-Erga, O.K.; Blomvågnes-Bakke, B.; Vadstein, O. Recolonization by Heterotrophic Bacteria after UV Irradiation or Ozonation of Seawater; a Simulation of Ballast Water Treatment. Water Res. 2010, 44, 5439–5449. [Google Scholar] [CrossRef]
  27. Isikber, A.A.; Athanassiou, C.G. The Use of Ozone Gas for the Control of Insects and Micro-Organisms in Stored Products. J. Stored Prod. Res. 2015, 64, 139–145. [Google Scholar] [CrossRef]
  28. Nickhil, C.; Mohapatra, D.; Kar, A.; Giri, S.K.; Verma, U.S.; Sharma, Y.; Singh, K.K. Delineating the Effect of Gaseous Ozone on Disinfestation Efficacy, Protein Quality, Dehulling Efficiency, Cooking Time and Surface Morphology of Chickpea Grains during Storage. J. Stored Prod. Res. 2021, 93, 101823. [Google Scholar] [CrossRef]
  29. Çetinkaya, N.; Pazarlar, S.; Paylan, İ.C. Ozone Treatment Inactivates Common Bacteria and Fungi Associated with Selected Crop Seeds and Ornamental Bulbs. Saudi J. Biol. Sci. 2022, 29, 103480. [Google Scholar] [CrossRef] [PubMed]
  30. Rawson, A.; Patras, A.; Tiwari, B.K.; Noci, F.; Koutchma, T.; Brunton, N. Effect of Thermal and Non Thermal Processing Technologies on the Bioactive Content of Exotic Fruits and Their Products: Review of Recent Advances. Food Res. Int. 2011, 44, 1875–1887. [Google Scholar] [CrossRef]
  31. Chen, C.; Zhang, H.; Dong, C.; Ji, H.; Zhang, X.; Li, L.; Ban, Z.; Zhang, N.; Xue, W. Effect of Ozone Treatment on the Phenylpropanoid Biosynthesis of Postharvest Strawberries. RSC Adv. 2019, 9, 25429–25438. [Google Scholar] [CrossRef] [PubMed]
  32. Piechowiak, T.; Grzelak-Błaszczyk, K.; Sójka, M.; Balawejder, M. Changes in Phenolic Compounds Profile and Glutathione Status in Raspberry Fruit During Storage in Ozone-Enriched Atmosphere. Postharvest Biol. Technol. 2020, 168, 111277. [Google Scholar] [CrossRef]
  33. Yeoh, W.K.; Ali, A.; Forney, C.F. Effects of Ozone on Major Antioxidants and Microbial Populations of Fresh-Cut Papaya. Postharvest Biol. Technol. 2014, 89, 56–58. [Google Scholar] [CrossRef]
  34. Alothman, M.; Kaur, B.; Fazilah, A.; Bhat, R.; Karim, A.A. Ozone-Induced Changes of Antioxidant Capacity of Fresh-Cut Tropical Fruits. Innov. Food Sci. Emerg. Technol. 2010, 11, 666–671. [Google Scholar] [CrossRef]
  35. Fan, X. Gaseous Ozone to Preserve Quality and Enhance Microbial Safety of Fresh Produce: Recent Developments and Research Needs. Compr. Rev. Food Sci. Food Saf. 2021, 20, 4993–5014. [Google Scholar] [CrossRef]
  36. Mendez, F.; Maier, D.E.; Mason, L.J.; Woloshuk, C.P. Penetration of Ozone into Columns of Stored Grains and Effects on Chemical Composition and Processing Performance. J. Stored Prod. Res. 2002, 39, 33–44. [Google Scholar] [CrossRef]
  37. Kruma, Z.; Tomsone, L.; Ķince, T.; Galoburda, R.; Senhofa, S.; Sabovics, M.; Straumite, E.; Sturite, I. Effects of Germination on Total Phenolic Compounds and Radical Scavenging Activity in Hull-Less Spring Cereals and Triticale. Agron. Res. 2016, 14, 1372–1383. [Google Scholar]
  38. Singleton, V.L.; Orthofer, R.; Lamuela-Raventos, R.M. Analysis of Total Phenols and Other Oxidation Substrates and Antioxidants by Means of Folin-Ciocalteu Reagent. Methods Enzym. 1999, 299, 152. [Google Scholar]
  39. Yu, L.; Perret, J.; Harris, M.; Wilson, J.; Haley, S. Antioxidant Properties of Bran Extracts from “Akron” Wheat Grown at Different Locations. J. Agric. Food Chem. 2003, 51, 1566–1570. [Google Scholar] [CrossRef] [PubMed]
  40. Bernate, I.; Sabovics, M. Effect of Ozone on Enterobacteriaceae Counts in Wheat Grain, Alfalfa, Radish, Broccoli Seeds and Sprouts. Rural. Sustain. Res. 2024, 51, 29–37. [Google Scholar] [CrossRef]
  41. Pająk, P.; Socha, R.; Gałkowska, D.; Rożnowski, J.; Fortuna, T. Phenolic Profile and Antioxidant Activity in Selected Seeds and Sprouts. Food Chem. 2014, 143, 300–306. [Google Scholar] [CrossRef]
  42. Shahidi, F.; Yeo, J.D. Insoluble-Bound Phenolics in Food. Molecules 2016, 21, 1216. [Google Scholar] [CrossRef]
  43. Baranzelli, J.; Somacal, S.; Monteiro, C.S.; Mello, R.d.O.; Rodrigues, E.; Prestes, O.D.; López-Ruiz, R.; Garrido Frenich, A.; Romero-González, R.; de Miranda, M.Z.; et al. Grain Germination Changes the Profile of Phenolic Compounds and Benzoxazinoids in Wheat: A Study on Hard and Soft Cultivars. Molecules 2023, 28, 721. [Google Scholar] [CrossRef]
  44. Cevallos-Casals, B.A.; Cisneros-Zevallos, L. Impact of Germination on Phenolic Content and Antioxidant Activity of 13 Edible Seed Species. Food Chem. 2010, 119, 1485–1490. [Google Scholar] [CrossRef]
  45. Sharma, Y.K.; Davis, K.R. The Effects of Ozone on Antioxidant Responses in Plants. Free Radic. Biol. Med. 1997, 23, 480–488. [Google Scholar] [CrossRef]
  46. Vijay Rakesh Reddy, S.; Sudhakar Rao, D.; Sharma, R.R.; Preethi, P.; Pandiselvam, R. Role of Ozone in Post-Harvest Disinfection and Processing of Horticultural Crops: A Review. Ozone Sci. Eng. 2022, 44, 127–146. [Google Scholar] [CrossRef]
  47. Kaur, K.; Pandiselvam, R.; Kothakota, A.; Padma Ishwarya, S.; Zalpouri, R.; Mahanti, N.K. Impact of Ozone Treatment on Food Polyphenols—A Comprehensive Review. Food Control 2022, 142, 109207. [Google Scholar] [CrossRef]
  48. Goffi, V.; Modesti, M.; Forniti, R.; Botondi, R. Quality of Green (Actinidia chinensis var. deliciosa ‘Hayward’) and Yellow (A. chinensis var. chinensis ‘Soreli’) Kiwifruit During Cold Storage at 0°C in Normal Atmosphere and with Gaseous Ozone. Acta Hortic. 2018, 1218, 473–480. [Google Scholar] [CrossRef]
  49. Niroula, A.; Khatri, S.; Khadka, D.; Timilsina, R. Total Phenolic Contents and Antioxidant Activity Profile of Selected Cereal Sprouts and Grasses. Int. J. Food Prop. 2019, 22, 427–437. [Google Scholar] [CrossRef]
  50. Gan, R.Y.; Lui, W.Y.; Wu, K.; Chan, C.L.; Dai, S.H.; Sui, Z.Q.; Corke, H. Bioactive Compounds and Bioactivities of Germinated Edible Seeds and Sprouts: An Updated Review. Trends Food Sci. Technol. 2017, 59, 1–14. [Google Scholar] [CrossRef]
  51. Bernate, I.; Sabovics, M.; Tomsone, L. Influence of Germination Conditions and Parameters on the Content of Total Phenolic Compounds and Scavenging Activity in Germinated Seeds. Rural Sustain. Res. 2020, 44, 46–53. [Google Scholar] [CrossRef]
  52. Senhofa, S.; Ķince, T.; Galoburda, R.; Cinkmanis, I.; Sabovics, M.; Sturite, I. Effects of germination on chemical composition of hull-less spring cereals. Res. Rural. Dev. 2016, 1, 91–97. [Google Scholar]
  53. Chen, Z.; Cao, J.; Yu, H.; Shang, H. Effects of Elevated Ozone Levels on Photosynthesis, Biomass and Non-Structural Carbohydrates of Phoebe bournei and Phoebe zhennan in Subtropical China. Front. Plant Sci. 2018, 9, 1764. [Google Scholar] [CrossRef]
Figure 1. Design of the experiment.
Figure 1. Design of the experiment.
Agronomy 14 02571 g001
Figure 2. The content of individual sugars in broccoli seeds and sprouts (A), wheat grain and sprouts (B). Note: Values are mean ± SD of triplicated (n = 3). BSC—control broccoli seeds; BS1h—broccoli seeds treated with ozone for 1 h; BS2h—broccoli seeds treated with ozone for 2 h; BS3h—broccoli seeds treated with ozone for 3 h; BS4h—broccoli seeds treated with ozone for 4 h; BSPC—broccoli sprouts from control seeds; BSP1h—broccoli sprouts from seeds treated with ozone for 1 h; BSP2h—broccoli sprouts from seeds treated with ozone for 2 h; BSP3h—broccoli sprouts from seeds treated with ozone for 3 h; BSP4h—broccoli sprouts from seeds treated with ozone for 4 h. Different letters (a–f) in the same saccharide indicate significant differences (p ≤ 0.05) between the samples.
Figure 2. The content of individual sugars in broccoli seeds and sprouts (A), wheat grain and sprouts (B). Note: Values are mean ± SD of triplicated (n = 3). BSC—control broccoli seeds; BS1h—broccoli seeds treated with ozone for 1 h; BS2h—broccoli seeds treated with ozone for 2 h; BS3h—broccoli seeds treated with ozone for 3 h; BS4h—broccoli seeds treated with ozone for 4 h; BSPC—broccoli sprouts from control seeds; BSP1h—broccoli sprouts from seeds treated with ozone for 1 h; BSP2h—broccoli sprouts from seeds treated with ozone for 2 h; BSP3h—broccoli sprouts from seeds treated with ozone for 3 h; BSP4h—broccoli sprouts from seeds treated with ozone for 4 h. Different letters (a–f) in the same saccharide indicate significant differences (p ≤ 0.05) between the samples.
Agronomy 14 02571 g002
Figure 3. The content of individual sugars in radish seeds and sprouts (A) and alfalfa seeds and sprouts (B). Note: RSC—control radish seeds; RS3h—radish seeds treated with ozone for 1 h; RS4h—radish seeds treated with ozone for 4 h; RS5h—radish seeds treated with ozone for 5 h; RSPC—radish sprouts from control seeds; RSP3h—radish sprouts from seeds treated with ozone for 3 h; RSP4h—radish sprouts from seeds treated with ozone for 4 h; RSP5h—radish sprouts from seeds treated with ozone for 5 h; ALSPC—control alfalfa sprouts; ALSP4h—alfalfa sprouts from seeds treated with ozone for 4 h; ALSP5h—alfalfa sprouts from seeds treated with ozone for 5 h. Different letters (a–f) in the same saccharide indicate significant differences (p ≤ 0.05) between the samples.
Figure 3. The content of individual sugars in radish seeds and sprouts (A) and alfalfa seeds and sprouts (B). Note: RSC—control radish seeds; RS3h—radish seeds treated with ozone for 1 h; RS4h—radish seeds treated with ozone for 4 h; RS5h—radish seeds treated with ozone for 5 h; RSPC—radish sprouts from control seeds; RSP3h—radish sprouts from seeds treated with ozone for 3 h; RSP4h—radish sprouts from seeds treated with ozone for 4 h; RSP5h—radish sprouts from seeds treated with ozone for 5 h; ALSPC—control alfalfa sprouts; ALSP4h—alfalfa sprouts from seeds treated with ozone for 4 h; ALSP5h—alfalfa sprouts from seeds treated with ozone for 5 h. Different letters (a–f) in the same saccharide indicate significant differences (p ≤ 0.05) between the samples.
Agronomy 14 02571 g003
Table 1. Total phenolic content (TPC) in seeds/sprouts and wheat grains/sprouts (mg GAE 100 g−1 DW).
Table 1. Total phenolic content (TPC) in seeds/sprouts and wheat grains/sprouts (mg GAE 100 g−1 DW).
Type of Seed/SproutTreatment Time (h)
012345
Broccoli (Se)642.65 ± 21.82 a588.97 ± 55.92 bc595.71 ± 45.76 b591.77 ± 11.73 b553.17 ± 57.93 cn.u.
Radish (Se)615.95 ± 42.16 a575.42 ± 40.17 c528.11 ± 61.14 f538.38 ± 38.09 e550.28 ± 40.82 d585.59 ± 51.49 b
Alfalfa (Se)315.09 ± 49.35 cn.u.n.u.n.u.356.16 ± 75.07 b402.34 ± 72.36 a
Wheat (G)254.81 ± 13.49 an.u.n.u.258.72 ± 50.61 a111.54 ± 13.62 b115.05 ± 32.45 b
Broccoli (Sp)1409.5 ± 78.62 a1322.87 ± 169.17 b812.22 ± 45.84 d861.36 ± 91.31 c692.36 ± 38.69 en.u.
Radish (Sp)986.54 ± 92.09 a819.63 ± 97.04 c828.72 ± 91.44 b796.61 ± 46.16 d743.27 ± 90.90 e749.32 ± 22.13 e
Alfalfa (Sp)398.38 ± 16.18 an.u.n.u.n.u.389.85 ± 71.33 c397.59 ± 54.95 b
Wheat (Sp)185.76 ± 12.67 an.u.n.u.157.03 ± 13.89 b149.51 ± 7.05 c150.59 ± 11.41 c
Note: Values are mean ± SD of triplicates (n = 3). (Se), (Sp), and (G) stand for seeds, sprouts, and grains, respectively. DW—the concentration of phenolics expressed on a dry weight basis; n.u.—seeds were not used in the experiment due to an excessive total microorganism count. Different letters (a–f) in the same row indicate significant differences (p ≤ 0.05) between the samples.
Table 2. Antioxidant activity of seeds/sprouts and wheat grains/sprouts (mmol TE 100 g−1 DW).
Table 2. Antioxidant activity of seeds/sprouts and wheat grains/sprouts (mmol TE 100 g−1 DW).
Type of
Seed/Sprout
Treatment Time (h)
012345
Broccoli (Se)60.37 ± 1.71 a55.75 ± 5.09 c54.64 ± 5.65 c58.76 ± 1.32 a57.80 ± 2.24 bn.u.
Radish (Se)59.71 ± 3.54 a54.80 ± 1.64 bc54.85 ± 3.28 bc56.69 ± 3.12 b55.40 ± 4.0 b52.97 ± 1.97 c
Alfalfa (Se)80.74 ± 5.97 cn.u.n.u.n.u.82.95 ± 3.87 b85.53 ± 5.71 a
Wheat (G)4.22 ± 0.29 an.u.n.u.4.32 ± 0.58 a3.67 ± 0.43 b3.80 ± 0.42 b
Broccoli (Sp)95.76 ± 3.69 b98.19 ± 3.95 a89.33 ± 4.94 d93.44 ± 2.69 c68.80 ± 3.38 en.u.
Radish (Sp)84.49 ± 3.32 a83.95 ± 11.36 a84.27 ± 8.95 a83. 66 ± 2.12 a67.68 ± 6.12 b68.04 ± 2.33 b
Alfalfa (Sp)44.95 ± 2.35 abn.u.n.u.n.u.43.46 ± 2.25 a45.34 ± 3.21 a
Wheat (Sp)8.79 ± 0.47 an.u.n.u.9.55 ± 0.40 a7.69 ± 0.24 a8.95 ± 0.57 a
Note: Values are mean ± SD of triplicates (n = 3). (Se), (Sp), and (G) stand for seeds, sprouts, and grains, respectively. DW—the antioxidant activity expressed on a dry weight basis; n.u.—seeds were not used in the experiment due to an excessive total microorganism count. Different letters (a–e) in the same row indicate significant differences (p ≤ 0.05) between the samples.
Disclaimer/Publisher’s Note: The statements, opinions and data contained in all publications are solely those of the individual author(s) and contributor(s) and not of MDPI and/or the editor(s). MDPI and/or the editor(s) disclaim responsibility for any injury to people or property resulting from any ideas, methods, instructions or products referred to in the content.

Share and Cite

MDPI and ACS Style

Bernate, I.; Kince, T.; Radenkovs, V.; Juhnevica-Radenkova, K.; Cinkmanis, I.; Bruveris, J.; Sabovics, M. Impact of Ozone Exposure on the Biochemical Composition of Wheat, Broccoli, Alfalfa, and Radish Seeds During Germination. Agronomy 2024, 14, 2571. https://doi.org/10.3390/agronomy14112571

AMA Style

Bernate I, Kince T, Radenkovs V, Juhnevica-Radenkova K, Cinkmanis I, Bruveris J, Sabovics M. Impact of Ozone Exposure on the Biochemical Composition of Wheat, Broccoli, Alfalfa, and Radish Seeds During Germination. Agronomy. 2024; 14(11):2571. https://doi.org/10.3390/agronomy14112571

Chicago/Turabian Style

Bernate, Ilze, Tatjana Kince, Vitalijs Radenkovs, Karina Juhnevica-Radenkova, Ingmars Cinkmanis, Juris Bruveris, and Martins Sabovics. 2024. "Impact of Ozone Exposure on the Biochemical Composition of Wheat, Broccoli, Alfalfa, and Radish Seeds During Germination" Agronomy 14, no. 11: 2571. https://doi.org/10.3390/agronomy14112571

APA Style

Bernate, I., Kince, T., Radenkovs, V., Juhnevica-Radenkova, K., Cinkmanis, I., Bruveris, J., & Sabovics, M. (2024). Impact of Ozone Exposure on the Biochemical Composition of Wheat, Broccoli, Alfalfa, and Radish Seeds During Germination. Agronomy, 14(11), 2571. https://doi.org/10.3390/agronomy14112571

Note that from the first issue of 2016, this journal uses article numbers instead of page numbers. See further details here.

Article Metrics

Back to TopTop