Estimation of Rice Protein Content Based on Unmanned Aerial Vehicle Hyperspectral Imaging
Abstract
1. Introduction
2. Materials and Methods
2.1. Experimental Design
2.1.1. Experiment 1
2.1.2. Experiment 2
2.2. Data Acquisition
2.2.1. Rice Grain Crushing and Rice Flour Preparation
2.2.2. Protein Content Determination
2.2.3. UAV Hyperspectral Imaging Acquisition
2.2.4. Image Preprocessing
2.2.5. Selection of Vegetation Indices
2.3. Model Construction and Validation
3. Results and Analysis
3.1. Correlation Analysis Between Rice Canopy Hyperspectral Data and Rice Protein Content
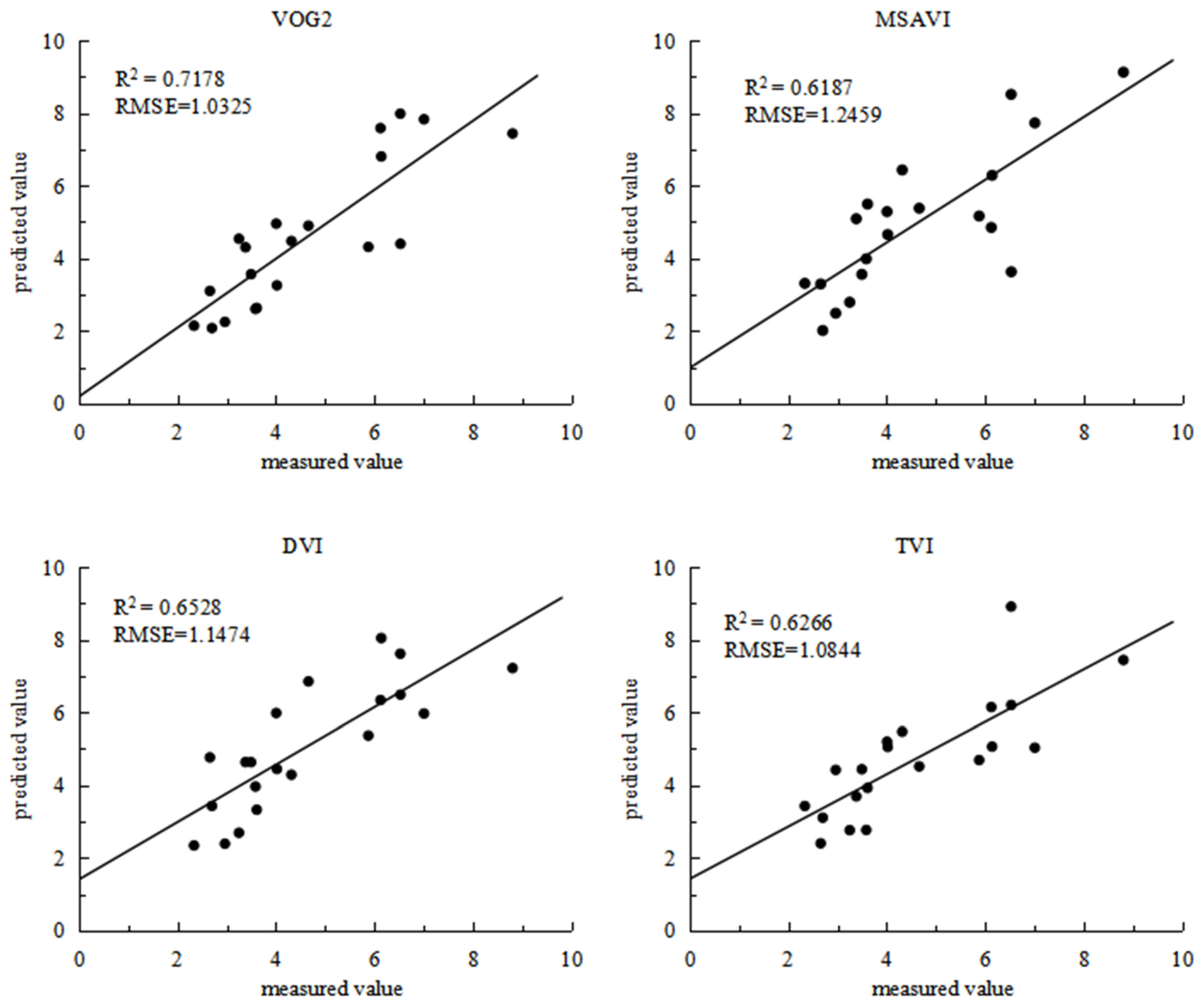
3.2. Analysis of the Correlation Between Selected Spectral Vegetation Indices and Rice Protein Content
3.3. Establishment and Validation of a Rice Protein Content Estimation Model Based on StepWise Multiple Linear Regression
3.3.1. Model Establishment
3.3.2. Model Validation
3.4. Establishment and Validation of a Rice Protein Content Estimation Model Based on BP Neural Network
3.5. Rice Variety Selection Based on Protein Content Estimation Model
4. Discussion
4.1. Accuracy of the Estimation Model for Rice Quality
- (1)
- The current study attempted to estimate rice protein contents using hyperspectral information from the rice canopy during the grain filling stage. The results indicate that the estimation model developed using the BP neural network method demonstrates good accuracy and stability, validating the feasibility of this approach. However, rice quality includes many indicators, such as appearance and processing quality. Therefore, further research is needed to determine which quality indicators can be more effectively estimated using hyperspectral information from the rice canopy.
- (2)
- Previous research shows that hyperspectral imaging technology is widely used in rice variety selection, with different rice varieties exhibiting distinct external characteristics such as shape, texture, and color. Image processing techniques can extract these features from images for rice variety selection [13,14]. However, most current studies focus on feature extraction from images of rice grains, while studies on variety selection based on spectral information of external rice features (such as stems and leaves) are less common [15,16]. This study utilized hyperspectral information from the rice canopy during the grain filling stage and, through the established protein content estimation model, preliminarily screened 60 rice varieties in the experiment, effectively identifying several varieties with high protein contents. However, compared to previous studies that selected rice varieties based on spectral information from rice grains, the high-protein rice varieties selected in this study have a certain applicability, but their effectiveness requires further validation.
4.2. Comparative Analysis of Estimation Models
- (1)
- Multiple regression analysis for rice quality estimation
- (2)
- BP neural network analysis for rice quality estimation
- (3)
- Comparison between multiple regression and BP neural network models
5. Conclusions
Author Contributions
Funding
Data Availability Statement
Conflicts of Interest
References
- Lü, H.; Zhang, Z.; Wang, S.; Qi, L.; Lin, M. Analysis and identification of rice quality based on near-infrared spectroscopy technology. Food Ind. Sci. Technol. 2012, 33, 322–325. [Google Scholar]
- Li, Y. Establishment of Near-Infrared Models for Rice Protein Content and QTL Analysis of Rice Protein and Amylose Content Under Water and Drought Conditions. Master’s Thesis, Huazhong Agricultural University, Wuhan, China, 2006. [Google Scholar]
- Zhang, H.; Wu, J.; Luo, L.; Li, Y.; Yang, H. Comparison of Near-Infrared Spectroscopy Models for Determining Protein and Amylose Contents Between Calibration Samples of Recombinant Inbred Lines and Conventional Varieties of Rice. Agric. Sci. China 2007, 6, 941–948. [Google Scholar] [CrossRef]
- Cheng, W.; Xu, Z.; Fan, S.; Zhang, P.; Xia, F.; Wang, H.; Ye, Y.; Liu, B.; Wang, Q.; Wu, Y. Effects of Variations in the Chemical Composition of Individual Rice Grains on the Eating Quality of Hybrid Indica Rice Based on Near-Infrared Spectroscopy. Foods 2022, 11, 2634. [Google Scholar] [CrossRef] [PubMed]
- Barnaby, J.; Huggins, T.; Lee, H.; McClung, A.; Pinson, S.; Oh, M.; Pinson, G.; Tarpley, L.; Lee, K.; Kim, M.; et al. Vis/NIR hyperspectral imaging distinguishes sub-population, production environment, and physicochemical grain properties in rice. Sci. Rep. 2020, 10, 9284. [Google Scholar] [CrossRef] [PubMed]
- Zhang, X.; Yan, Y.; Wang, W.; Zheng, H.; Yao, X.; Zhu, Y.; Cheng, T. Hyperspectral prediction of rice grain amylose content based on wavelet analysis. Acta Agron. Sin. 2021, 47, 1563–1580. [Google Scholar]
- Xue, L.; Cao, W.; Li, Y.; Zhou, D.; Li, W. Correlation study between rice canopy reflectance spectral characteristics and grain quality indicators. China J. Rice Sci. 2004, 18, 431–436. [Google Scholar]
- Peng, X.; Wu, W.; Dong, Q.; Li, P.; Zhu, M.; Liu, D.; Liu, Z.; Yu, C. Quality estimation of cold-region rice based on UAV multispectral imagery. J. Plant Nutr. Fertil. 2024, 30, 12–26. [Google Scholar]
- Liu, H.; Bruning, B.; Garnett, T.; Berger, B. The performances of hyperspectral sensors for proximal sensing of nitrogen levels in wheat. Sensors 2020, 20, 4550. [Google Scholar] [CrossRef] [PubMed]
- Liu, L.; Dong, Y.; Huang, W.; Du, X.; Ma, H. Monitoring Wheat Fusarium Head Blight Using Unmanned Aerial Vehicle Hyperspectral Imagery. Remote Sens. 2020, 12, 3811. [Google Scholar] [CrossRef]
- Hu, J.; Peng, J.; Zhou, Y.; Xu, D.; Zhao, R.; Jiang, Q.; Fu, T.; Wang, F.; Shi, Z. Quantitative Estimation of Soil Salinity Using UAV-Borne Hyperspectral and Satellite Multispectral Images. Remote Sens. 2019, 11, 736. [Google Scholar] [CrossRef]
- Fu, Z.; Jiang, J.; Gao, Y.; Krienke, B.; Wang, M.; Zhong, K.; Cao, Q.; Tian, Y.; Zhu, Y.; Cao, W.; et al. Wheat growth monitoring and yield estimation based on multi-rotor unmanned aerial vehicle. Remote Sens. 2020, 12, 508. [Google Scholar] [CrossRef]
- Sendin, K.; Williams, P.; Manley, M. Near infrared hyperspectral imaging in quality and safety evaluation of cereals. Crit. Rev. Food Sci. Nutr. 2018, 58, 575–590. [Google Scholar] [CrossRef] [PubMed]
- Wang, L.; Liu, D.; Pu, H.; Sun, D.; Gao, W.; Xiong, Z. Use of Hyperspectral Imaging to Discriminate the Variety and Quality of Rice. Food Anal. Methods 2015, 8, 515–523. [Google Scholar] [CrossRef]
- Caporaso, N.; Whitworth, M.; Fisk, I. Near-Infrared spectroscopy and hyperspectral imaging for non-destructive quality assessment of cereal grains. Appl. Spectrosc. Rev. 2018, 53, 667–687. [Google Scholar] [CrossRef]
- Sun, D.; Cen, H.; Weng, H.; Wan, L.; Abdalla, A.; El-Manawy, A.; Zhu, Y.; Zhao, N.; Fu, H.; Tang, J.; et al. Using hyperspectral analysis as a potential high throughput phenotyping tool in GWAS for protein content of rice quality. Plant Methods 2019, 15, 54. [Google Scholar] [CrossRef] [PubMed]
- Shi, Y.; Yuan, H.; Xiong, C.; Zhang, Q.; Jia, S.; Liu, J.; Men, H. Improving performance: A collaborative strategy for the multi-data fusion of electronic nose and hyperspectral to track the quality difference of rice. Sens. Actuators B-Chem. 2021, 333, 129546. [Google Scholar] [CrossRef]
- Kang, S.; Zhang, Q.; Wei, H.; Shi, Y. An efficient multiscale integrated attention method combined with hyperspectral system to identify the quality of rice with different storage periods and humidity. Comput. Electron. Agric. 2023, 23, 108259. [Google Scholar] [CrossRef]
- Sun, R. Study on Remote Sensing Monitoring of Wheat Leaf Rust Based on Near-Ground Hyperspectral and UAV Imagery. Master’s Thesis, Yangzhou University, Yangzhou, China, 2021. [Google Scholar]
- Chen, B.; Cai, D.; An, H. Research progress on remote sensing prediction of grain quality in rice and wheat crops. J. Heilongjiang Bayi Agric. Univ. 2008, 20, 47–49. [Google Scholar]





| Plot Number | Variety Name | Plot Number | Variety Name | Plot Number | Variety Name |
|---|---|---|---|---|---|
| S01 | Taiwan 0206 | S21 | Lianjing 6 | S41 | Ningjing 1 |
| S02 | Taiwan 65 | S22 | Nanjing 5718 | S42 | Nanjing 44 |
| S03 | Taiwan 30 | S23 | Su Xiu 867 | S43 | Wuyun Jing 30 |
| S04 | Taiwan 50 | S24 | Xudao 3 | S44 | Ningxiang Jing 9 |
| S05 | Nong Ken 58 | S25 | Huai Dao 5 | S45 | Xiang Xue Dao 515 |
| S06 | Yan Feng 47 | S26 | Si Dao 301 | S46 | Wujing 15 |
| S07 | Dang Jing 8 | S27 | MG7200 | S47 | Wuxiang Jing 14 |
| S08 | Wan Dao 8 | S28 | Yan Dao 83006 | S48 | Zhen Nuo 19 |
| S09 | Zhongzhong Xiangnuo | S29 | Huai Dao 13 | S49 | Su Yu Nuo |
| S10 | Zhongyan Dao 881 | S30 | Nanjing 45 | S50 | Xiu Shui 123 |
| S11 | Wu Yu Jing 3 | S31 | Wuling Jing 1 | S51 | Hu Ruan 1212 |
| S12 | Lian Jia Jing 1 | S32 | Yan Dao 10 | S52 | Shang Shi Da 19 |
| S13 | Lian Jing 7 | S33 | Nanjing 9108 | S53 | Xiu Shui 110 |
| S14 | Yan Jing 2 | S34 | Si Dao 17 | S54 | Xiu Shui 114 |
| S15 | Zhen Dao 88 | S35 | Jin Xiangyu 1 | S55 | Jia He 218 |
| S16 | Hua Jing 5 | S36 | Nanjing 46 | S56 | Xiu Shui 134 |
| S17 | Huai You Jing 2 | S37 | Wu Xiang Jing 9 | S57 | Jia 58 |
| S18 | Hua Jing 6 | S38 | Guangling Xiangnuo | S58 | Chang Nong Jing 1 |
| S19 | Lian Jing 4 | S39 | Wuyun Jing 7 | S59 | Su Xiang Jing 100 |
| S20 | Huai Dao 11 | S40 | Guangling You Jing | S60 | Xiang Ruan Yu |
| Vegetation Index | Abbreviation | Calculation Formula | Reference |
|---|---|---|---|
| Normalized Difference Vegetation Index | NDVI | (NIR − R)/(NIR + R) | [9] |
| Ratio Vegetation Index | RVI | NIR/R | [9] |
| Difference Vegetation Index | DVI | NIR − R | [9] |
| Triangular Vegetation Index | TVI | 60 × (NIR − G) − 100 × (R − G) | [9] |
| Optimized Soil-Adjusted Vegetation Index | OSAVI | (1 + 0.16) × (NIR − R)/(NIR + R + 0.16) | [10] |
| Re-normalized Difference Vegetation Index | RDVI | √NDVI × DVI | [10] |
| Vogelmann Red Edge Index | VOG2 | (R734 − R747)/(R715 + R726) | [10] |
| Enhanced Vegetation Index | EVI | 2.5 × ((NIR − R)/(NIR + 6 *R − 7.5 × Blue + 1) | [10] |
| Green Normalized Difference Vegetation Index | GNDVI | (NIR − G)/(NIR + G) | [11] |
| Modified Simple Ratio Index | MSR | ((NIR/R) − 1)/√NIR/R + 1 | [11] |
| Modified Soil-Adjusted Vegetation Index | MSAVI | (2 NIR + 1 − √(2 NIR + 1)^2 − 8(NIR − R))/2 | [11] |
| Plant Senescence Reflectance Index | PSRI | (R − B)/NIR | [12] |
| Transformed Chlorophyll Absorption in Reflectance Index | TCARI | 3 × [(R700 − R670) − 0.2 × (R700 − R550) × (R700/R670)] | [12] |
| Vegetation Index | Correlation Coefficient |
|---|---|
| TCARI | 0.684 ** |
| PSRI | −0.467 |
| VOG2 | −0.847 ** |
| EVI | 0.749 ** |
| OSAVI | 0.748 ** |
| MSAVI | 0.761 ** |
| GNDVI | 0.466 |
| RVI | 0.727 ** |
| NDVI | 0.727 ** |
| DVI | 0.768 ** |
| RDVI | 0.758 ** |
| TVI | 0.766 ** |
| MSR | 0.728 ** |
| Variety Name | Protein Content (%) | Variety Name | Protein Content (%) |
|---|---|---|---|
| Hua Jing 5 | 10.25 | Lian Jia Jing 1 | 7.71 |
| Yan Feng 47 | 9.84 | Yan Jing 2 | 7.29 |
| Xu Dao 3 | 9.36 | Ning Xiang Jing 9 | 7.27 |
| Nan Jing 5718 | 9.14 | Xiu Shui 110 | 7.22 |
| Taiwan 50 | 7.95 | Huai You Jing 2 | 7.19 |
| Su Xiang Jing 100 | 7.91 | Nong Ken 58 | 7.16 |
| Nan Jing 9108 | 7.79 | Su Xiu 867 | 7.12 |
| Wan Dao 64 | 7.78 | Xiang Xue Dao 515 | 7.01 |
Disclaimer/Publisher’s Note: The statements, opinions and data contained in all publications are solely those of the individual author(s) and contributor(s) and not of MDPI and/or the editor(s). MDPI and/or the editor(s) disclaim responsibility for any injury to people or property resulting from any ideas, methods, instructions or products referred to in the content. |
© 2024 by the authors. Licensee MDPI, Basel, Switzerland. This article is an open access article distributed under the terms and conditions of the Creative Commons Attribution (CC BY) license (https://creativecommons.org/licenses/by/4.0/).
Share and Cite
Yan, L.; Liu, C.; Zain, M.; Cheng, M.; Huo, Z.; Sun, C. Estimation of Rice Protein Content Based on Unmanned Aerial Vehicle Hyperspectral Imaging. Agronomy 2024, 14, 2479. https://doi.org/10.3390/agronomy14112479
Yan L, Liu C, Zain M, Cheng M, Huo Z, Sun C. Estimation of Rice Protein Content Based on Unmanned Aerial Vehicle Hyperspectral Imaging. Agronomy. 2024; 14(11):2479. https://doi.org/10.3390/agronomy14112479
Chicago/Turabian StyleYan, Lei, Cen Liu, Muhammad Zain, Minghan Cheng, Zhonhyang Huo, and Chenming Sun. 2024. "Estimation of Rice Protein Content Based on Unmanned Aerial Vehicle Hyperspectral Imaging" Agronomy 14, no. 11: 2479. https://doi.org/10.3390/agronomy14112479
APA StyleYan, L., Liu, C., Zain, M., Cheng, M., Huo, Z., & Sun, C. (2024). Estimation of Rice Protein Content Based on Unmanned Aerial Vehicle Hyperspectral Imaging. Agronomy, 14(11), 2479. https://doi.org/10.3390/agronomy14112479

