Next Article in Journal
Moulding Test and Process Parameter Optimization of Biomass Seedling Pots for Cow Dung and Corn Stover
Next Article in Special Issue
The Half-Heading Stage May Represent the Optimal Harvest Time for the First Cut of Tall Wheatgrass
Previous Article in Journal
World’s Best Practice Locust and Grasshopper Management: Accurate Forecasting and Early Intervention Treatments Using Reduced Chemical Pesticide
Previous Article in Special Issue
Transcriptome Analysis Reveals the Vital Role of ABA Plays in Drought Tolerance of the ABA-Insensitive Alfalfa (Medicago sativa L.)
 
 
Font Type:
Arial Georgia Verdana
Font Size:
Aa Aa Aa
Line Spacing:
Column Width:
Background:
Article

The Effects of Different Grazing Periods on the Functional Traits of Leymus chinensis (Trin.) Tzvelev in a Typical Inner Mongolia Steppe

1
Inner Mongolia Academy of Forestry Sciences, Hohhot 010010, China
2
Key Laboratory of Grassland Ecology, School of Ecology and Environment, Inner Mongolia University, Hohhot 010021, China
*
Authors to whom correspondence should be addressed.
These authors contributed equally to this work.
Agronomy 2024, 14(10), 2370; https://doi.org/10.3390/agronomy14102370
Submission received: 2 September 2024 / Revised: 5 October 2024 / Accepted: 8 October 2024 / Published: 14 October 2024

Abstract

Plant functional traits are effective indicators and predictors of environmental change, revealing plants’ ecological countermeasures and adaptability through phenotypic plasticity. We conducted a 6-year grazing experiment on typical temperate grassland to assess the impact of different grazing periods on the plasticity and variability of the functional traits of Leymus chinensis and the relationship between traits and individual plant biomass. Our study included four treatments: CK (enclosure), T1 (grazing in May and July), T2 (grazing in June and August), and T3 (grazing in July and September). The results for 13 functional traits indicated that the T3 treatment showed the smallest reduction in individual plant biomass, plant height, leaf area, stem length, and leaf length, making it the most effective type of grassland management and optimal for the maintenance and restoration of L. chinensis traits. Under T1, T2, and T3, the plasticity of stem weight, total leaf weight, total leaf area, and stem length was higher and crucial for regulating individual plant biomass. The results underscore that the changes and plasticity of dominant species under grazing treatments are key to understanding the relationship between ecosystem function and grassland management. This study provides a theoretical basis and data support for the adaptive utilization and restoration management of typical grassland resources.

Graphical Abstract

1. Introduction

Grassland ecosystems are vital terrestrial systems, covering approximately 30% of the world’s land area, with significant production and ecological importance [1,2,3]. The temperate steppe in Inner Mongolia, a key component of the Eurasian steppe, features Leymus chinensis (Trin.) Tzvelev grassland as the dominant type in the eastern part of the region [4,5]. Grasslands serve as substantial terrestrial carbon sinks and green ecological barriers, and they are crucial for herbivorous animal husbandry, supplying substantial forage for meat and dairy products [6,7]. Recently, extensive grassland degradation in Inner Mongolia has occurred due to climate change and poor grazing management [2,8]. Grazing, a traditional and widespread practice, has complex and enduring effects on grasslands [9]. Understanding the mechanisms of grassland degradation and restoration under varying grazing conditions remains a central focus in grassland ecology research. Overgrazing, selective grazing, trampling, and other factors have led to significant [10,11] grassland degradation and a decline in plant community productivity [12,13]. Effective grazing management is vital to ensuring the accumulation of plant photosynthates [14], which supports plant growth and the regeneration of grassland vegetation. Adopting a well-planned and scientifically grounded grazing system is key to achieving sustainable animal husbandry and safeguarding grassland ecosystems [15].
Plant functional traits can indicate changes in the plant’s living environment and influence ecosystem function [16,17]. Researchers often use these traits to explain mechanisms within ecological processes. Plant functional traits are affected not only by genetic factors but also by external environmental disturbances such as grazing [18]. The adaptive responses of plant functional traits to grazing can reflect grazing pressure to some extent, though responses may vary under different grazing conditions [19]. Plants can adapt to long-term grazing disturbances by altering their traits, which is characterized by plant phenotypic plasticity and can be understood as evolutionary strategies for environmental adaptation [20,21]. This adaptation process mainly involves shifting species traits toward different defense and growth strategies [22,23]. Understanding the impact of long-term grazing on the functional traits of dominant grassland species is crucial to revealing how grazing affects the structure and function of grassland ecosystems.
Plants primarily adopt three strategies—tolerance, avoidance, and escape—to ensure their survival [24]. Plants enhance photosynthesis and resource acquisition by increasing the specific leaf area to adapt to grazing stress [25,26]. Plant height and leaf area are also key indicators affected by grazing. Dwarfing and leaf area reduction may be mechanisms to mitigate grazing stress [24,27]. Additionally, stem weight, leaf weight, and leaf length have been identified as key factors influencing plant biomass under grazing treatment [28]. Compared with traditional grazing, light grazing and periodic grazing have been found to positively impact plant productivity and community composition [29]. The effect of seasonal grazing or grazing at different times of the year on plant functional traits is worth exploring. It has been observed that no grazing in spring and grazing in autumn and winter increases plant height, leaf water content, individual plant biomass, and specific leaf area [30]. Grazing from July to September is considered a key method for the sustainable development and optimal utilization of grassland resources [31].
L. chinensis, a perennial rhizomatous grass, is the dominant vegetation in the eastern part of the Eurasian grassland and plays a crucial role in environmental protection [4]. Due to its high nutritional value, good palatability, and strong stress resistance (including tolerance to grazing, mowing, and drought) [32,33], it has been a significant high-quality forage resource in northern China [34]. However, the recent irrational management and utilization of grasslands have exacerbated salinization and desertification trends, leading to a decline in pasture quality [4]. To explore the impact of different grazing treatments on the functional traits and individual plant biomass of L. chinensis, we implemented four distinct grazing treatments in a natural steppe environment and carried out grazing experiments over a period of 6 years. This study seeks to answer the following questions: (a) How do various grazing treatments affect the traits, plasticity, and variability of L. chinensis? (b) Which specific traits contribute to the individual plant biomass of L. chinensis?

2. Materials and Methods

2.1. Study Sites

The study was conducted at Maodeng Pasture (44°10′02″ N, 116°28′56″ E, 1160 m a.s.l.) in Xilinhot, Inner Mongolia, China (Figure 1A). This region is characterized by a temperate semi-arid continental grassland climate, with hot, rainy summers and cold, dry winters. The average annual temperature is 3.15 °C, and annual precipitation averages 299.38 mm [35]. Precipitation is highly seasonal, with 87.1% of the annual rainfall occurring between May and September. The soil in the area is classified as Chestnut Calcium [36]. The plant community is a slightly degraded L. chinensis community, with L. chinensis as the dominant species, accompanied by Cleistogenes squarrosa and Stipa krylovii as co-dominants and Artemisia frigida and Thalictrum petaloideum as associated species.

2.2. Experimental Design

Our experimental platform began in 2011, and grazing experiments commenced in May 2012. We designed one control (CK) and three different grazing treatments: the CK involved enclosure with a grazing ban since 2012; T1 included one grazing event in May and another in July; T2 involved one grazing event in June and another in August; and T3 had one grazing event in July and another in September. Grazing commenced on the 20th of each month, and the termination of grazing was determined by a stubble height of 6–7 cm each time [37]. The grazing time of the T1 treatment was 4 days, the T2 treatment was 5 days, and the T3 treatment was 5.5–6 days, which enabled the plants to regrow. There were three replicates for each treatment, resulting in a total of 12 plots, each 33.3 m × 33.3 m in size, with six sheep per plot. During the 6-year period, we found that the rainfall in the experimental plot was mainly concentrated from May to September, accounting for 83.1% of the total annual rainfall, with an average temperature of 17.8 °C (Figure 1B).

2.3. Methods for Sample Collection and Determination

After six years of grazing treatment, in mid-August 2017, we sampled and measured 13 trait indexes of L. chinensis. We randomly select 10 L. chinensis plants in each plot and cut them close to the ground. The measurement indicators are provided in Table 1. To investigate the response of various functional indexes to seasonal grazing treatments, L. chinensis traits were categorized into three groups: leaf traits (TLW, TLA, TLL, LH, LW, and LN), stem traits (SW, SL, SH, and SD), and whole-plant traits (PH, SLA, and SLR).
SH, PH, LH, TLL, LW, LN, SL, and SD were measured using a tape measure and Vernier calipers. A portable leaf area meter was used to measure TLA (LI-COR 3000C, LI-COR, Inc., Lincoln, NE, USA). Stem and total leaf weights were determined by separating and drying the stems and leaves in an oven at 65 °C before weighing.

2.4. Calculation of Plasticity Index of Plant Functional Traits

The plasticity index reflects the degree of response of plant traits to grazing in different seasons. The plasticity index (PI) for the plant traits in the CK, T1, T2, and T3 plots was calculated as follows: (CK plots minus T1, T2, and T3) values divided by CK values [38]. The variation in plant traits was characterized by the coefficient of variation (CV), calculated as the ratio of the standard deviation to the mean.

2.5. Statistical Analysis

We employed linear regression analysis to investigate the relationship between the individual plant biomass and the functional traits of L. chinensis. To analyze the functional traits across different treatments, we used one-way analysis of variance (ANOVA) in SPSS 25.0 software (SPSS, Inc., Chicago, IL, USA). Duncan’s multiple range test was employed to identify the differences between treatments at the 0.05 level. Figures were created using R version 4.3.1, and random forest analysis was conducted using the randomForest package in R. The random forest analysis was used for the regression and correlation comparison between the functional traits and individual plant biomass of L. chinensis.

3. Results

3.1. Effects of Different Grazing Periods on Plant Height, Stem Height below Leaf, Leaf Height Distribution, and Stem Length of L. chinensis

Different grazing treatments significantly reduced plant height, stem height below the leaf, leaf height distribution, and stem length (p < 0.05, Figure 2). Compared with CK, the trend in plant height under the T1, T2, and T3 treatments decreased gradually (Figure 2A). The changing trend in stem height below the leaf and leaf height distribution were the same as that in plant height (Figure 2B,C). The decreasing trend in stem height below the leaf and leaf height distribution under the T1 treatment was significantly less than that under T3 (p < 0.05, Figure 2B,C). Under different grazing treatments, the decrease in stem length was the smallest under the T3 treatment (Figure 2C,D). The decline in these four traits gradually decreased with the delay in the grazing period.

3.2. Effects of Different Grazing Periods on the Specific Area of the Leaf, Stem Diameter, Stem-to-Leaf Ratio, Total Leaf Weight, Stem Weight, and the Individual Biomass of L. chinensis

The different grazing treatments did not affect the specific leaf area and stem diameter (Figure 3A,B) but significantly reduced the total leaf weight, stem weight, and individual plant biomass (p < 0.05, Figure 3D–F). The stem-to-leaf ratio decreased under different grazing treatments, particularly with the T3 treatment (p < 0.05, Figure 3C). Compared with CK, there was an increasing trend in the specific leaf area under T3 (Figure 3A). The decreasing trend in the total leaf weight and individual plant biomass of L. chinensis under the T1, T2, and T3 treatments was gradually reduced (Figure 3D,F).

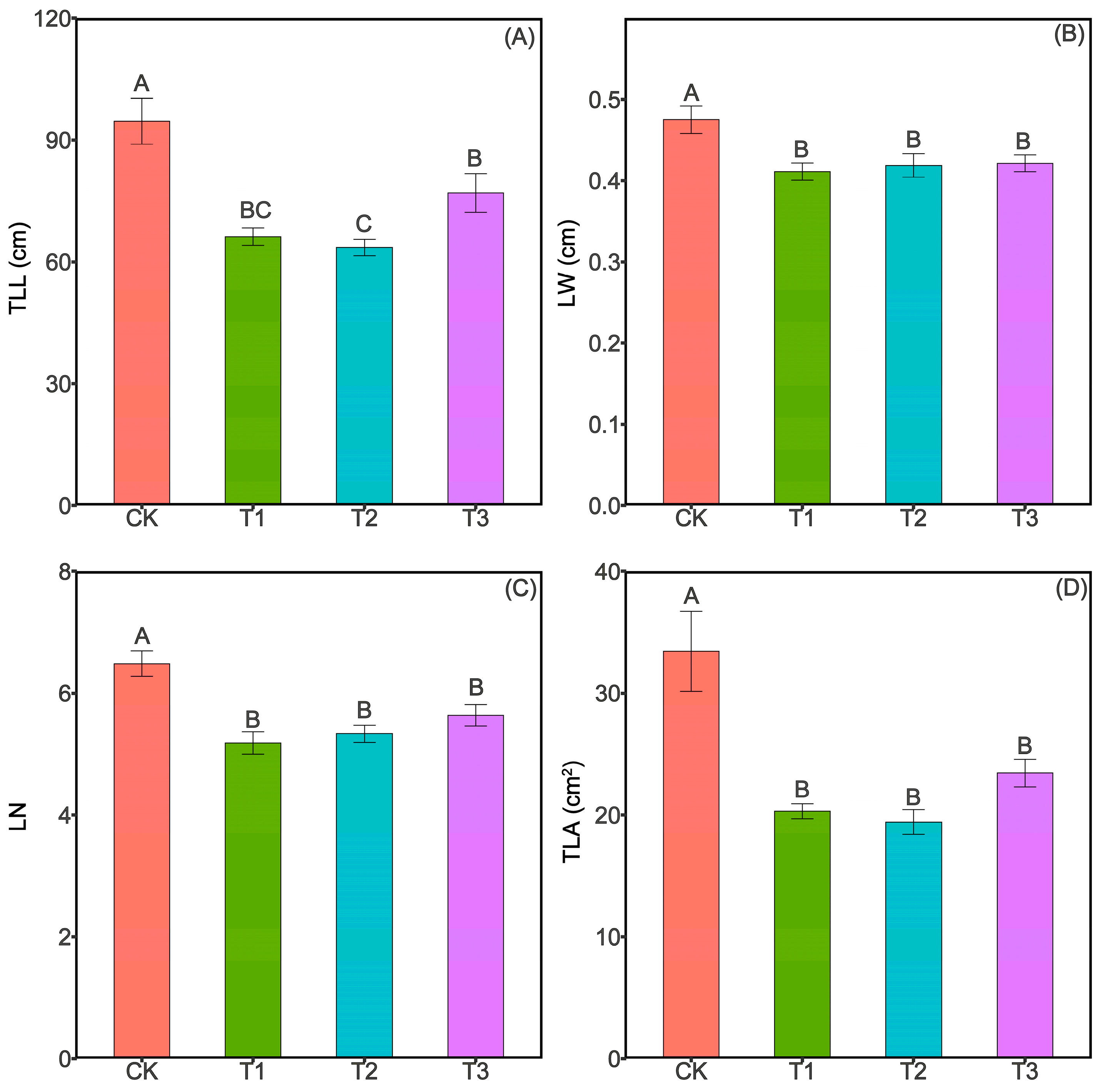
3.3. Effects of Different Grazing Periods on Total Leaf Length, Leaf Width, Leaf Number, and Total Leaf Area of L. chinensis

Grazing treatments significantly decreased the total leaf length, leaf width, leaf number, and total leaf area of L. chinensis (p < 0.05, Figure 4). Compared with CK, the decrease in the total leaf length, leaf width, leaf number, and total leaf area of L. chinensis under the T1, T2, and T3 treatments was gradually reduced (Figure 4A–D). Overall, the impact on leaf traits was reduced with a delay in grazing periods, although no significant differences were observed among the different grazing treatments. In addition, the weather conditions of the experimental plots were very suitable for the growth of L. chinensis. The rainfall concentration and high temperatures from May to September laid the foundation for L. chinensis to become a grazing-tolerant variety in this area.

3.4. Analysis of the Relationship between the Individual Plant Biomass and Other Functional Traits of L. chinensis

The relationship between the aboveground biomass of L. chinensis and other traits under different grazing treatments was analyzed. The analysis demonstrated that the aboveground individual plant biomass of L. chinensis was significantly proportional to the plant height, stem height below the leaf, leaf height distribution, total leaf length, total leaf weight, leaf width, leaf number, total leaf area, stem-to-leaf ratio, stem weight, stem diameter, and stem length and was negatively correlated with the specific area of the leaf (p < 0.05, Figure 5).

3.5. Effects of Different Grazing Periods on Plasticity and Variability of Functional Traits of L. chinensis

Using long-term enclosure as a reference, plasticity indexes for L. chinensis under the T1, T2, and T3 treatments were analyzed (Figure 6). Overall, the plasticity index for each trait followed a similar order across the grazing treatments. Traits such as stem weight, total leaf weight, total leaf area, and stem length showed greater plasticity (PI > 0.40), indicating higher sensitivity to grazing, while traits such as specific leaf area, leaf width, stem diameter, and leaf number had lower plasticity (PI < 0.20), indicating lower sensitivity to grazing (Figure 6A–C). Among the various functional traits, stem weight exhibited the greatest variability, while stem diameter, leaf width, and leaf number showed the least variability (Figure 6D–F). There was a significant positive correlation between trait plasticity and variability (Figure 7).

3.6. The Main Mechanism of Different Grazing Periods Affecting Individual Plant Biomass

Random forest analysis revealed that 7 of the 13 traits had a significant impact on the individual plant biomass of L. chinensis (p < 0.05, Figure 8A). In particular, the effects of total leaf weight, stem weight, total leaf area, total leaf length, stem length, leaf height distribution, and plant height on individual plant biomass gradually decreased (Figure 8A). Although leaf width, leaf number, and stem height below the leaf were reduced under the different grazing treatments, they did not significantly affect the individual plant biomass (Figure 8A,B).

4. Discussion

4.1. The Effects of Different Grazing Periods on the Traits of L. chinensis

When plants are subjected to stress, they often exhibit a strong response in their traits. Long-term grazing, for instance, can lead plants to invest in defense traits, such as specific leaf area, and alter their growth strategies [22,23]. For example, in this study, grazing in July and September (T3) increased the specific leaf area by 12.6% (Figure 3A), enhancing resource capture efficiency and tolerance to grazing pressure [39,40]. Consistent with previous research, various grazing treatments reduced plant height and leaf area [17,41]. After 6 years of grazing, L. chinensis showed a “dwarfing” effect [42], a mechanism that helps plants avoid grazing by reducing the likelihood of herbivore feeding [18]. We observed that T3 grazing partially mitigated the reduction in stem height below the leaves of L. chinensis and maintained growth through increased leaf density. Additionally, the decrease in stem weight was greater than that of leaf weight, indicating that L. chinensis sacrifices stem quality as an adaptation strategy to grazing stress, which was proven by the decrease in the stem–leaf ratio (Figure 3C).
This study examined the effects of different grazing periods by comparing the functional traits of L. chinensis. T3 (grazing in July and September) was found to be more beneficial for maintaining and recovering traits such as total leaf area, total leaf length, leaf number, leaf width, and individual plant biomass (Figure 4), compared with T1 (grazing in May and July) and T2 (grazing in June and August). Previous literature reports describe an increase in plant productivity and improved nutrient cycling in the ecosystem after grazing carried out during the summer [12]. Furthermore, the rest period during May and June allowed sufficient time for plant growth and provided ample feed for livestock. The high temperatures and concentrated precipitation in summer help plants to recover quickly after grazing, achieve compensatory growth for a short time, and improve their grazing tolerance [43]. With a full month of no grazing in August, many plants had completed nutrient transport, meaning that September grazing had a minimal impact on nutrient cycling. Conversely, spring grazing in T1 and T2 hindered the plant’s ability to form adequate leaf area for photosynthesis, adversely affecting growth and yield later [44]. Our results show that the reduction in individual plant biomass and traits was lowest for T3. Thus, the T3 grazing treatment emerges as a highly recommended grassland management practice.

4.2. Effect of Grazing on Plasticity of L. chinensis

The mechanism of plant morphological plasticity under grazing treatments has been a topic of interest for researchers, but no consistent conclusions have been reached [19,45,46]. Some researchers propose that smaller plants avoid selective feeding by predators through genetic modifications, including changes in plant surface traits such as height and leaf area [46,47]. Others argue that the trade-off between plant morphological plasticity and various traits is primarily driven by changes in the soil environment [48,49]. Previous research has observed that long-term grazing causes L. chinensis to “miniaturize” [24], a finding consistent with our results (Figure 8B). Our study revealed that, under different grazing treatments, the order of plasticity indices for each trait remained relatively stable. Traits such as total leaf weight, stem weight, total leaf area, and stem length showed greater plasticity (Figure 6; PI > 0.40), indicating that they are sensitive to grazing. In contrast, traits like specific leaf area, leaf width, stem diameter, and leaf number exhibited lower plasticity (Figure 6; PI < 0.20), suggesting they are less sensitive to grazing [19]. We found that sensitive traits tend to exhibit greater variability, and there is a significant positive correlation between plasticity and variability [28]. Plant functional traits are crucial for understanding adaptive grazing in relation to ecosystem function [50]. Changes in these traits often trigger chain reactions from the individual plant to the population level and even to the ecosystem [51,52]. Thus, this topic merits significant attention.

4.3. Driving Mechanism of Individual Plant Biomass of L. chinensis under Different Grazing Treatments

The effect of grazing on grassland productivity is a major concern for ecologists. L. chinensis, the dominant species in the study area, contributes 60% to 90% of the community’s productivity [34]. Individual plant biomass can impact population function and even ecosystem dynamics [53]. The changes in plant functional characteristics reflect the changes in ecosystem function and process to a certain extent [17]. In this study, we employed random forest analysis to examine how the various traits of L. chinensis affect individual plant biomass. Our findings revealed that the most significant traits influencing a decrease in individual plant biomass were total leaf weight, followed by stem weight, leaf area, leaf length, stem length, plant height, and leaf height distribution (Figure 8A). Leaf traits are crucial [18,54] because they are directly related to photosynthesis intensity, thereby affecting plant biomass [48,55]. Plant height primarily influences photosynthesis through light competition, with taller plants experiencing greater light competition [36,56]. Our results indicate that leaf width, leaf number, stem diameter, and stem-to-leaf ratio have a minimal impact on L. chinensis biomass, aligning with previous research [28]. These results suggest that the individual biomass of L. chinensis is predominantly regulated by sensitive traits, with a weaker relationship to non-sensitive traits (Figure 8A).

5. Conclusions

In grassland grazing ecosystems, plant functional traits effectively reflect responses to varying grazing intensities and patterns. Most current research focuses on plant functional traits and their mechanisms under different grazing intensities, with less attention given to the effects of varying grazing periods and recovery responses. Under grazing treatments, changes in plant traits are easily measurable and serve as economical ecological markers. They offer a simple and efficient means to manage grazing pressure and maintain sustainable grassland management. Our study found that, compared to the ungrazed control, three different grazing treatments significantly reduced the plant height, stem height below the leaf, leaf height distribution, stem length, total leaf weight, stem weight, total leaf length, leaf width, leaf number, and total leaf area of Leymus chinensis. Specifically, grazing once in July and once in September (treatment T3) to a 6–7 cm stubble resulted in the smallest decreases in individual plant biomass, plant height, leaf area, stem length, and leaf length. The T3 grazing treatment emerged as the most effective for maintaining and recovering Leymus chinensis traits post grazing. During the experimental period, the climate characteristics of the experimental area were closely related to the growth and grazing tolerance of plants. The highest rainfall and temperature occur in July, providing favorable climatic conditions for the regeneration of Leymus chinensis. This study, conducted over six years of field grazing experiments, examined plant response strategies to resource and environmental changes, offering theoretical insights and data to support the planning of rational grazing systems and the sustainable management of typical steppe ecosystems in Inner Mongolia.

Author Contributions

Conceptualization, H.X., J.Z. and L.Z.; formal analysis, J.Z., T.Y. and T.B.; writing—original draft, H.X., J.Z. and L.Z.; resources, H.X., T.B. and L.Z.; writing—review and editing, T.B., J.Z. and L.Z.; validation, T.Y.; funding acquisition, H.X. and L.Z. All authors have read and agreed to the published version of the manuscript.

Funding

The study was funded by “The Inner Mongolia Forestry Science Research Institute’s Research Capacity Enhancement “Unveiling and Leading” project” (2024NLTS03) and the National Key Basic Research Development Program, China (2014CB138805).

Data Availability Statement

Data will be made available on request.

Acknowledgments

We are very grateful to Zhang Lu, Hao Bitai, Xing Xiaoqing, and Wu Siyu for their contributions to the experiment and data collection. We thank Mi Yuqing for her contribution to the literature retrieval for the article. Thank you for the experimental platform provided by the grassland Ecology Research Base of Inner Mongolia University and the staff’s support of our work.

Conflicts of Interest

The authors declare no conflicts of interest.

References

  1. Del Grosso, S.J.; Parton, W.; Derner, J.D.; Chen, M.; Tucker, C.J. Simple models to predict grassland ecosystem C exchange and actual evapotranspiration using NDVI and environmental variables. Agric. For. Meteorol. 2018, 249, 1–10. [Google Scholar] [CrossRef]
  2. Kemp, D.R.; Guodong, H.; Xiangyang, H.; Yingjun, Z. Innovative grassland management systems for environmental and livelihood benefits. Proc. Natl. Acad. Sci. USA 2013, 110, 8369–8374. [Google Scholar] [CrossRef] [PubMed]
  3. Briske, D.D. Rangeland systems: Foundation for a conceptual framework. In Rangeland Systems: Processes, Management and Challenges; Spring Open: Gewerbestrase, Switzerland, 2017; pp. 1–21. [Google Scholar]
  4. He, F.; Tong, Z.; Hannaway, D.B.; Li, X. Erratic precipitation and clipping frequency reshape the community structure and species stability of leymus chinensis steppe. Ecol. Indic. 2021, 133, 108432. [Google Scholar] [CrossRef]
  5. Xu, Z.; Jiang, L.; Ren, H.; Han, X. Opposing responses of temporal stability of aboveground and belowground net primary productivity to water and nitrogen enrichment in a temperate grassland. Glob. Change Biol. 2024, 30, e17071. [Google Scholar] [CrossRef] [PubMed]
  6. Jiang, Z.Y.; Hu, Z.M.; Lai, D.Y.; Han, D.; Wang, M.; Liu, M.; Guo, M. Light grazing facilitates carbon accumulation in subsoil in Chinese grasslands: A meta-analysis. Glob. Change Biol. 2020, 26, 7186–7197. [Google Scholar] [CrossRef]
  7. Kang, L.; Han, X.; Zhang, Z.; Sun, O. Grassland ecosystems in China: Review of current knowledge and research advancement. Philos. Trans. R. Soc. B-Biol. 2007, 362, 997–1008. [Google Scholar] [CrossRef]
  8. Fang, J.; Bai, Y.; Li, L.; Jiang, G.; Huang, J.; Huang, Z.; Gao, S. Scientific basis and practical ways for sustainable development of China’s pasture regions. Chin. Sci. Bull. 2016, 61, 155–164. [Google Scholar]
  9. Gao, Y.; An, Y.; Qi, B.; Liu, J.; Yu, H.; Wang, D. Grazing exclusion mediates the trade-off between plant diversity and productivity in Leymus chinensis meadows along a chronosequence on the Songnen Plain, China. Ecol. Indic. 2021, 126, 107655. [Google Scholar] [CrossRef]
  10. Salgado-Luarte, C.; Escobedo, V.M.; Stotz, G.C.; Rios, R.S.; Arancio, G.; Gianoli, E. Goat grazing reduces diversity and leads to functional, taxonomic, and phylogenetic homogenization in an arid shrubland. Land Degrad. Dev. 2019, 30, 178–189. [Google Scholar] [CrossRef]
  11. Yuan, T.; Ren, W.; Wang, Z.; Fry, E.L.; Tang, S.; Yin, J.; Jia, Z. How does the pattern of root metabolites regulating beneficial microorganisms change with different grazing pressures? Front. Plant Sci. 2023, 14, 1180576. [Google Scholar] [CrossRef]
  12. Zhang, T.; Li, F.Y.; Shi, C.; Li, Y.; Tang, S.; Baoyin, T. Enhancement of nutrient resorption efficiency increases plant production and helps maintain soil nutrients under summer grazing in a semi-arid steppe. Agric. Ecosyst. Environ. 2020, 292, 106840. [Google Scholar] [CrossRef]
  13. Martinsen, V.; Mulder, J.; Austrheim, G.; Mysterud, A. Carbon storage in low-alpine grassland soils: Effects of different grazing intensities of sheep. Eur. J. Soil Sci. 2011, 62, 822–833. [Google Scholar] [CrossRef]
  14. Dawson, L.; Grayston, S.; Paterson, E. Effects of grazing on the roots and rhizosphere of grasses. In Grassland Ecophysiology and Grazing Ecology; CABI Publishing: Wallingford, UK, 2000; pp. 61–84. [Google Scholar]
  15. Díaz, S.; Noy-Meir, I.; Cabido, M. Can grazing response of herbaceous plants be predicted from simple vegetative traits? J. Appl. Ecol. 2001, 38, 497–508. [Google Scholar] [CrossRef]
  16. Lavorel, S.; Grigulis, K.; Lamarque, P.; Colace, M.P.; Garden, D.; Girel, J.; Douzet, R. Using plant functional traits to understand the landscape distribution of multiple ecosystem services. J. Appl. Ecol. 2011, 99, 135–147. [Google Scholar] [CrossRef]
  17. Díaz, S.; Lavorel, S.; McIntyre, S.; Falczuk, V.; Casanoves, F.; Milchunas, D.G.; Campbell, B.D. Plant trait responses to grazing—A global synthesis. Glob. Change Biol. 2007, 13, 313–341. [Google Scholar] [CrossRef]
  18. Cai, J.; Pan, X.; Xiao, Y. Below-ground root nutrient-acquisition strategies are more sensitive to long-term grazing than above-ground leaf traits across a soil nutrient gradient. Funct. Ecol. 2024, 38, 1475–1485. [Google Scholar] [CrossRef]
  19. Li, X.; Wu, Z.; Liu, Z.; Hou, X.; Badgery, W.; Guo, H.; Ren, W. Contrasting effects of long-term grazing and clipping on plant morphological plasticity: Evidence from a rhizomatous grass. PLoS ONE 2015, 10, e0141055. [Google Scholar] [CrossRef]
  20. De Kroon, H.; Huber, H.; Stuefer, J.F. A modular concept of phenotypic plasticity in plants. New Phytol. 2005, 166, 73–82. [Google Scholar] [CrossRef]
  21. Savić, A.; Matzrafi, M.; Đurović, S.; Gentili, R.; Citterio, S. Is Ambrosia trifida L. Preparing for a wider invasion? changes in the plant morpho-functional traits over a decade. Agronomy 2024, 14, 1601. [Google Scholar] [CrossRef]
  22. Agrawal, A.A. Overcompensation of plants in response to herbivory and the by-product benefits of mutualism. Trends Plant Sci. 2000, 5, 309–313. [Google Scholar] [CrossRef]
  23. Coley, P.D.; Bryant, J.P.; Chapin, F.S., III. Resource availability and plant antiherbivore defense. Science 1985, 230, 895–899. [Google Scholar] [CrossRef] [PubMed]
  24. Kurze, S.; Bilton, M.C.; Álvarez-Cansino, L.; Bangerter, S.; Prasse, R.; Tielbörger, K.; Engelbrecht, B.M. Evaluating grazing response strategies in winter annuals: A multi-trait approach. J. Ecol. 2021, 109, 3074–3086. [Google Scholar] [CrossRef]
  25. Niu, K.; He, J.; Lechowicz, M.J. Grazing-induced shifts in community functional composition and soil nutrient availability in Tibetan alpine meadows. J. Appl. Ecol. 2016, 53, 1554–1564. [Google Scholar] [CrossRef]
  26. Zheng, S.; Ren, H.; Lan, Z.; Li, W.H.; Wang, K.B.; Bai, Y.F. Effects of grazing on leaf traits and ecosystem functioning in Inner Mongolia grasslands: Scaling from species to community. Biogeosciences 2010, 7, 1117–1132. [Google Scholar] [CrossRef]
  27. Poorter, H.; Niinemets, Ü.; Poorter, L.; Wright, I.J.; Villar, R. Causes and consequences of variation in leaf mass per area (LMA): A meta-analysis. New Phytol. 2009, 182, 565–588. [Google Scholar] [CrossRef]
  28. Li, X.; Hou, X.; Wu, X. Plastic responses of stem and leaf functional traits in Leymus chinensis to long-term grazing in a meadow steppe. China. J. Plant Ecol. 2014, 38, 440. [Google Scholar]
  29. Wu, G.; Dong, W.; Yu, L.; Lu, M.D.; Zhen-Heng, L. Warm-season grazing benefits species diversity conservation and topsoil nutrient sequestration in alpine meadow. Land Degrad. Dev. 2017, 28, 1311–1319. [Google Scholar]
  30. Msadek, J.; Tlili, A.; Moumni, M.; Louhaichi, M.; Tarhouni, M. Community diversity, functional traits and adaptation of Stipa tenacissima L. under different grazing regimes in a North African arid montane rangeland. Afr. J. Range Forage Sci. 2021, 38, 122–129. [Google Scholar] [CrossRef]
  31. Tang, J.; Davy, A.J.; Jiang, D.; Musa, A.; Wu, D.; Wang, Y.; Miao, C. Effects of excluding grazing on the vegetation and soils of degraded sparse-elm grassland in the Horqin Sandy Land, China. Agric. Ecosyst. Environ. 2016, 235, 340–348. [Google Scholar] [CrossRef]
  32. Lu, N.; Qu, L.; Liu, J.; Yang, J.; Bai, L.; Huang, Y.; Zhou, Y. Leymus chinensis Tolerates Mowing Disturbance by Maintaining Photosynthesis in Saline-Alkali Heterogeneous Habitats. J. Sens. 2020, 2020, 4510275. [Google Scholar] [CrossRef]
  33. Liu, G.; Li, X.; Zhang, Q. Sheepgrass (Leymus chinensis): An Environmentally Friendly Native Grass for Animals; Springer: Berlin/Heidelberg, Germany, 2019. [Google Scholar]
  34. Yao, Z.; Qing, H.; Yang, L.; Zhao, L. Non-destructive aboveground biomass estimation of Leymus chinensis individual across large scale. Ecol. Indic. 2021, 131, 108212. [Google Scholar] [CrossRef]
  35. Du, L.; Luo, Y.; Zhang, J.; Shen, Y.; Zhang, J.; Tian, R.; Shao, W.; Xu, Z. Reduction in precipitation amount, precipitation events, and nitrogen addition change ecosystem carbon fluxes differently in a semi-arid grassland. Sci. Total Environ. 2024, 927, 172276. [Google Scholar] [CrossRef]
  36. Luo, Y.; Du, L.; Zhang, J.; Ren, H.; Shen, Y.; Zhang, J.; Li, N.; Tian, R.; Wang, S.; Liu, H.; et al. Nitrogen addition alleviates the adverse effects of drought on plant productivity in a temperate steppe. Ecol. Appl. 2024, 34, e2969. [Google Scholar] [CrossRef]
  37. Chen, L.; Xu, H.; Wu, S.; Baoyin, Y. Plant and soil properties mediate the response of soil microbial communities to moderate grazing in a semiarid grassland of northern China. J. Environ. Manag. 2021, 284, 112005. [Google Scholar] [CrossRef]
  38. Valladares, F.; Wright, S.J.; Lasso, E. Plastic phenotypic response to light of 16 congeneric shrubs from a Panamanian rainforest. Ecology 2000, 81, 1925–1936. [Google Scholar] [CrossRef]
  39. Wright, I.J.; Westoby, M. Understanding seedling growth relationships through specific leaf area and leaf nitrogen concentration: Generalisations across growth forms and growth irradiance. Oecologia 2001, 127, 21–29. [Google Scholar] [CrossRef]
  40. Poorter, H.; Garnier, E. Ecological significance of inherent variation in relative growth rate and its components. In Functional Plant Ecology; CRC Press: Boca Raton, FL, USA, 2007; pp. 67–100. [Google Scholar]
  41. Wang, D.; Du, J.; Zhang, B.; Ba, L.; Hodgkinson, K.C. Grazing intensity and phenotypic plasticity in the clonal grass Leymus chinensis. Rangel. Ecol. Manag. 2017, 70, 740–747. [Google Scholar] [CrossRef]
  42. Ren, W.; Hu, N.; Hou, X.; Zhang, J.; Guo, H.; Liu, Z.; Li, X. Long-term overgrazing-induced memory decreases photosynthesis of clonal offspring in a perennial grassland plant. Front. Plant Sci. 2017, 8, 419. [Google Scholar] [CrossRef]
  43. Chen, L.; Haobitai; Baoyin, T. Effects of plant productivity and species on soil carbon and nitrogen sequestration under seasonal grazing in a semi-arid grassland of North China. Land Degrad. Dev. 2024, 35, 1960–1970. [Google Scholar] [CrossRef]
  44. Su, R.; Cheng, J.; Chen, D. Effects of grazing on spatiotemporal variations in community structure and ecosystem function on the grasslands of Inner Mongolia, China. Sci. Rep. 2017, 7, 40. [Google Scholar] [CrossRef]
  45. Verón, S.R.; Paruelo, J.M.; Oesterheld, M. Grazing-induced losses of biodiversity affect the transpiration of an arid ecosystem. Oecologia 2011, 165, 501–510. [Google Scholar] [CrossRef]
  46. McKinney, K.K.; Fowler, N.L. Genetic adaptations to grazing and mowing in the unpalatable grass Cenchrus incertus. Oecologia 1991, 88, 238–242. [Google Scholar] [CrossRef]
  47. Fu, Y.; Thompson, D.; Willms, W.; Mackay, M. Long-term grazing effects on genetic variability in mountain rough fescue. Rangel. Ecol. Manag. 2005, 58, 637–642. [Google Scholar] [CrossRef]
  48. McIntire, E.J.; Hik, D.S. Grazing history versus current grazing: Leaf demography and compensatory growth of three alpine plants in response to a native herbivore (Ochotona collaris). J. Ecol. 2002, 90, 348–359. [Google Scholar] [CrossRef]
  49. Bardgett, R.D.; Streeter, T.C.; Cole, L.; Hartley, I.R. Linkages between soil biota, nitrogen availability, and plant nitrogen uptake in a mountain ecosystem in the Scottish Highlands. Appl. Soil Ecol. 2002, 19, 121–134. [Google Scholar] [CrossRef]
  50. Butterfield, B.J.; Suding, K.N. Single-trait functional indices outperform multi-trait indices in linking environmental gradients and ecosystem services in a complex landscape. J. Ecol. 2013, 101, 9–17. [Google Scholar] [CrossRef]
  51. Zhou, Z.; Sun, O.; Huang, J.; Gao, Y.; Han, X. Land use affects the relationship between species diversity and productivity at the local scale in a semi-arid steppe ecosystem. Funct. Ecol. 2006, 20, 753–762. [Google Scholar] [CrossRef]
  52. Osem, Y.; Perevolotsky, A.; Kigel, J. Site productivity and plant size explain the response of annual species to grazing exclusion in a Mediterranean semi-arid rangeland. J. Ecol. 2004, 92, 297–309. [Google Scholar] [CrossRef]
  53. Milton, S.J.; du Plessis, M.A.; Siegfried, W.R. A conceptual model of arid rangeland degradation. Bioscience 1994, 44, 70–76. [Google Scholar] [CrossRef]
  54. Huang, G.; Shu, Y.; Peng, S.; Li, Y. Leaf photosynthesis is positively correlated with xylem and phloem areas in leaf veins in rice (Oryza sativa) plants. Ann. Bot. 2022, 129, 619–631. [Google Scholar] [CrossRef]
  55. Hikosaka, K.; Kurokawa, H.; Arai, T.; Takayanagi, S.; Tanaka, H.O.; Nagano, S.; Nakashizuka, T. Intraspecific variations in leaf traits, productivity and resource use efficiencies in the dominant species of subalpine evergreen coniferous and deciduous broad-leaved forests along the altitudinal gradient. J. Ecol. 2021, 109, 1804–1818. [Google Scholar] [CrossRef]
  56. Carol Adair, E.; Hooper, D.U.; Paquette, A.; Hungate, B.A. Ecosystem context illuminates conflicting roles of plant diversity in carbon storage. Ecol. Lett. 2018, 21, 1604–1619. [Google Scholar] [CrossRef]
Figure 1. Location map of experimental plots (A) and long-term average temperature and precipitation from 2012 to 2017 at Xilinhot, Inner Mongolia, China (B). The green bars represent the average precipitation per month, and the red dots represent the average temperature per month.
Figure 1. Location map of experimental plots (A) and long-term average temperature and precipitation from 2012 to 2017 at Xilinhot, Inner Mongolia, China (B). The green bars represent the average precipitation per month, and the red dots represent the average temperature per month.
Agronomy 14 02370 g001
Figure 2. Effects of different grazing periods over 6 years at Xilinhot, Inner Mongolia, China, on (A) plant height, (B) stem height below the leaf, (C) leaf height distribution, and (D) stem length of L. chinensis. CK, enclosure and grazing ban since 2012, with no other treatments during this period; T1, grazing once each in May and July; T2, grazing once each in June and August; T3, grazing once each in July and September. Bars indicate mean ± SE. Different capital letters indicate significant differences between treatments (p < 0.05).
Figure 2. Effects of different grazing periods over 6 years at Xilinhot, Inner Mongolia, China, on (A) plant height, (B) stem height below the leaf, (C) leaf height distribution, and (D) stem length of L. chinensis. CK, enclosure and grazing ban since 2012, with no other treatments during this period; T1, grazing once each in May and July; T2, grazing once each in June and August; T3, grazing once each in July and September. Bars indicate mean ± SE. Different capital letters indicate significant differences between treatments (p < 0.05).
Agronomy 14 02370 g002
Figure 3. Effects of different grazing periods over 6 years at Xilinhot, Inner Mongolia, China, on (A) specific area of leaf, (B) stem diameter, (C) stem-to-leaf ratio, (D) total leaf weight, (E) stem weight, and (F) individual biomass of L. chinensis. CK, enclosure and grazing ban since 2012, with no other treatments during this period; T1, grazing once each in May and July; T2, grazing once each in June and August; T3, grazing once each in July and September. Bars indicate mean ± SE. Different capital letters indicate significant differences between treatments (p < 0.05).
Figure 3. Effects of different grazing periods over 6 years at Xilinhot, Inner Mongolia, China, on (A) specific area of leaf, (B) stem diameter, (C) stem-to-leaf ratio, (D) total leaf weight, (E) stem weight, and (F) individual biomass of L. chinensis. CK, enclosure and grazing ban since 2012, with no other treatments during this period; T1, grazing once each in May and July; T2, grazing once each in June and August; T3, grazing once each in July and September. Bars indicate mean ± SE. Different capital letters indicate significant differences between treatments (p < 0.05).
Agronomy 14 02370 g003
Figure 4. Effects of different grazing periods over 6 years at Xilinhot, Inner Mongolia, China, on (A) total leaf length, (B) leaf width, (C) leaf number, and (D) total leaf area of L. chinensis. CK, enclosure and grazing ban since 2012, with no other treatments during this period; T1, grazing once each in May and July; T2, grazing once each in June and August; T3, grazing once each in July and September. Bars indicate mean ± SE. Different capital letters indicate significant differences between treatments (p < 0.05).
Figure 4. Effects of different grazing periods over 6 years at Xilinhot, Inner Mongolia, China, on (A) total leaf length, (B) leaf width, (C) leaf number, and (D) total leaf area of L. chinensis. CK, enclosure and grazing ban since 2012, with no other treatments during this period; T1, grazing once each in May and July; T2, grazing once each in June and August; T3, grazing once each in July and September. Bars indicate mean ± SE. Different capital letters indicate significant differences between treatments (p < 0.05).
Agronomy 14 02370 g004
Figure 5. Relationship of individual plant biomass with plant height (A), stem height below leaf (B), leaf height distribution (C), total leaf length (D), total leaf weight (E), leaf width (F), leaf number (G), total leaf area (H), stem-to-leaf ratio (I), specific leaf area (J), stem weight (K), stem diameter (L), and stem length (M) under different grazing treatments (T1, T2, and T3 represent different grazing periods).
Figure 5. Relationship of individual plant biomass with plant height (A), stem height below leaf (B), leaf height distribution (C), total leaf length (D), total leaf weight (E), leaf width (F), leaf number (G), total leaf area (H), stem-to-leaf ratio (I), specific leaf area (J), stem weight (K), stem diameter (L), and stem length (M) under different grazing treatments (T1, T2, and T3 represent different grazing periods).
Agronomy 14 02370 g005
Figure 6. Effect of different grazing periods on the plasticity index (AC) and coefficient of variation (DF). Traits index: stem height below the leaf (SH), plant height (PH), leaf height distribution (LH), stem-to-leaf ratio (SLR), total leaf length (TLL), leaf width (LW), leaf number (LN), total leaf area (TLA), total leaf weight (TLW), specific leaf area (SLA), stem weight (SW), stem length (SL), and stem diameter (SD).
Figure 6. Effect of different grazing periods on the plasticity index (AC) and coefficient of variation (DF). Traits index: stem height below the leaf (SH), plant height (PH), leaf height distribution (LH), stem-to-leaf ratio (SLR), total leaf length (TLL), leaf width (LW), leaf number (LN), total leaf area (TLA), total leaf weight (TLW), specific leaf area (SLA), stem weight (SW), stem length (SL), and stem diameter (SD).
Agronomy 14 02370 g006
Figure 7. Relationship between the coefficient of variation (CV) and plasticity index (PI) of L. chinensis. T1: grazing once each in May and July; T2: grazing once each in June and August; T3: grazing once each in July and September.
Figure 7. Relationship between the coefficient of variation (CV) and plasticity index (PI) of L. chinensis. T1: grazing once each in May and July; T2: grazing once each in June and August; T3: grazing once each in July and September.
Agronomy 14 02370 g007
Figure 8. Main predictors of the effect of grazing on individual plant biomass in different periods (A). Chart shows the prediction of individual plant biomass by leaf, stem, and whole-plant traits in the random forest analysis (percentage increase in mean variance error [MSE]). * and ** indicate significant effects at the 0.05 and 0.01 levels, respectively. The conceptual model diagram shows the mechanism of how grazing (T1, T2, and T3) affects individual plant biomass by affecting plant functional traits (B). Traits index: stem height below the leaf (SH), plant height (PH), leaf height distribution (LH), stem-to-leaf ratio (SLR), total leaf length (TLL), leaf width (LW), average width of all leaves of a plant, leaf number (LN), total leaf area (TLA), total leaf weight (TLW), specific leaf area (SLA), stem weight (SW), stem length (SL), and stem diameter (SD). T1, grazing once each in May and July; T2, grazing once each in June and August; T3, grazing once each in July and September. The results are based on 6 years and 3 replicates.
Figure 8. Main predictors of the effect of grazing on individual plant biomass in different periods (A). Chart shows the prediction of individual plant biomass by leaf, stem, and whole-plant traits in the random forest analysis (percentage increase in mean variance error [MSE]). * and ** indicate significant effects at the 0.05 and 0.01 levels, respectively. The conceptual model diagram shows the mechanism of how grazing (T1, T2, and T3) affects individual plant biomass by affecting plant functional traits (B). Traits index: stem height below the leaf (SH), plant height (PH), leaf height distribution (LH), stem-to-leaf ratio (SLR), total leaf length (TLL), leaf width (LW), average width of all leaves of a plant, leaf number (LN), total leaf area (TLA), total leaf weight (TLW), specific leaf area (SLA), stem weight (SW), stem length (SL), and stem diameter (SD). T1, grazing once each in May and July; T2, grazing once each in June and August; T3, grazing once each in July and September. The results are based on 6 years and 3 replicates.
Agronomy 14 02370 g008
Table 1. Basic functional trait definitions of L. chinensis.
Table 1. Basic functional trait definitions of L. chinensis.
Trait IndexesBasic Definition
Stem height below leaf (SH)The length from the base of the stem to the base of the first leaf.
Plant height (PH)The height of plants in their natural state.
Leaf height distribution (LH)Calculated as plant height minus stem height below the leaf.
Stem-to-leaf ratio (SLR)The ratio of stem dry weight to leaf dry weight.
Total leaf length (TLL)The sum of all leaf lengths on a single plant.
Leaf width (LW)The average width of all leaves.
Leaf number (LN)The total number of leaves.
Total leaf area (TLA) The sum of all leaf areas on a single plant.
Total leaf weight (TLW)The sum of the dry weight of all leaves.
Specific leaf area (SLA) The ratio of total leaf area to leaf dry weight.
Stem weight (SW) The weight of the stem.
Stem length (SL)The length of the stem after removing all leaves.
Stem diameter (SD)The width of the thickest part of the stem.
Disclaimer/Publisher’s Note: The statements, opinions and data contained in all publications are solely those of the individual author(s) and contributor(s) and not of MDPI and/or the editor(s). MDPI and/or the editor(s) disclaim responsibility for any injury to people or property resulting from any ideas, methods, instructions or products referred to in the content.

Share and Cite

MDPI and ACS Style

Xu, H.; Zhang, J.; Baoyin, T.; Zhang, L.; Yuan, T. The Effects of Different Grazing Periods on the Functional Traits of Leymus chinensis (Trin.) Tzvelev in a Typical Inner Mongolia Steppe. Agronomy 2024, 14, 2370. https://doi.org/10.3390/agronomy14102370

AMA Style

Xu H, Zhang J, Baoyin T, Zhang L, Yuan T. The Effects of Different Grazing Periods on the Functional Traits of Leymus chinensis (Trin.) Tzvelev in a Typical Inner Mongolia Steppe. Agronomy. 2024; 14(10):2370. https://doi.org/10.3390/agronomy14102370

Chicago/Turabian Style

Xu, Hongbin, Jiatao Zhang, Taogetao Baoyin, Lei Zhang, and Ting Yuan. 2024. "The Effects of Different Grazing Periods on the Functional Traits of Leymus chinensis (Trin.) Tzvelev in a Typical Inner Mongolia Steppe" Agronomy 14, no. 10: 2370. https://doi.org/10.3390/agronomy14102370

APA Style

Xu, H., Zhang, J., Baoyin, T., Zhang, L., & Yuan, T. (2024). The Effects of Different Grazing Periods on the Functional Traits of Leymus chinensis (Trin.) Tzvelev in a Typical Inner Mongolia Steppe. Agronomy, 14(10), 2370. https://doi.org/10.3390/agronomy14102370

Note that from the first issue of 2016, this journal uses article numbers instead of page numbers. See further details here.

Article Metrics

Back to TopTop