Trichoderma Rhizosphere Soil Improvement: Regulation of Nitrogen Fertilizer in Saline–Alkali Soil in Semi-Arid Region and Its Effect on the Microbial Community Structure of Maize Roots
Abstract
1. Introduction
2. Materials and Methods
2.1. Test Sites and Varieties
2.2. Experimental Design
2.3. Determination of Plant Nutrient Elements
2.4. Rhizosphere Soil Sampling
2.5. DNA Extraction
2.6. Statistical Analysis
3. Results
3.1. Changes of α Diversity in Rhizosphere Soil under Different Treatments
3.2. Bacterial and Fungal Community Composition and Cluster Analysis of Rhizosphere Soil under Different Treatments
3.3. β Diversity of Microbial Community in Different Treatments
3.4. LEfSe Species Difference Analysis
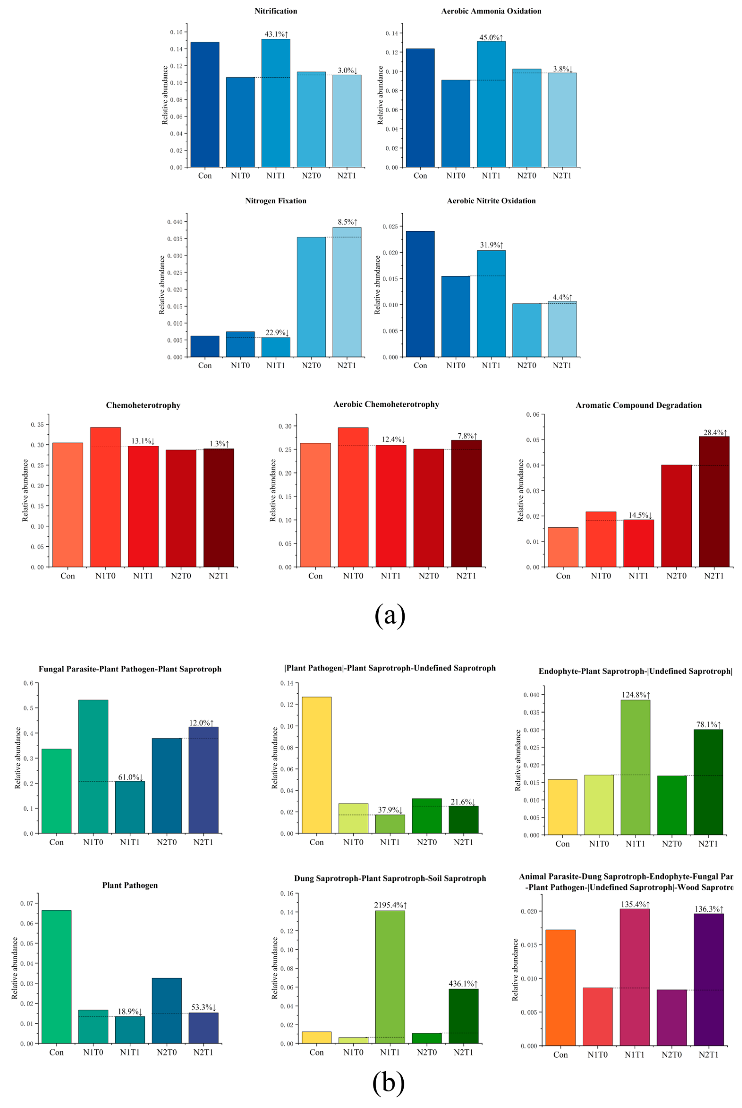
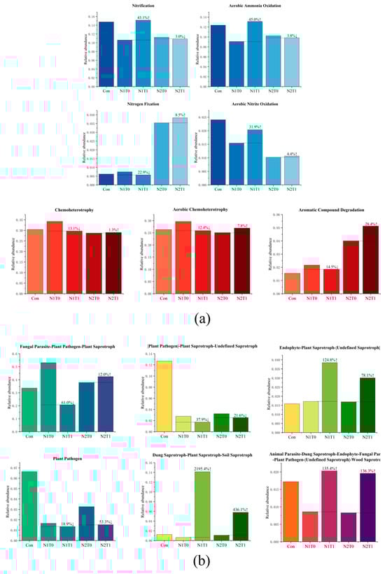
3.5. Functional Prediction of Microbial Communities
3.6. The Effects of Trichoderma Combined with Nitrogen Fertilizer Treatment on Plant Leaf Nutrients, Plant Stem Nutrients, and Grain Nutrients and Their Relationship with Microbial Diversity and Richness Were Analyzed
4. Discussion
4.1. Effects of Nitrogen Fertilizer Combined with Trichoderma on Microbial Community Composition in Maize Rhizosphere Soil
4.2. Effects of Nitrogen Fertilizer Combined with Trichoderma on Microbial Differences and Markers in Maize Rhizosphere Soil
4.3. Prediction of Nitrogen Fertilizer Combined with Trichoderma on Microbial Micro-Function in Maize Rhizosphere Soil
4.4. The Effects of Trichoderma Combined with Nitrogen Fertilizer Treatment on Plant Leaf Nutrients, Plant Stem Nutrients, and Grain Nutrients and Their Relationship with Microbial Diversity and Richness Were Analyzed
5. Conclusions
Supplementary Materials
Author Contributions
Funding
Data Availability Statement
Acknowledgments
Conflicts of Interest
Correction Statement
References
- Li, N.; Shao, T.; Zhou, Y.; Cao, Y.; Hu, H.; Sun, Q.; Long, X.; Yue, Y.; Gao, X.; Rengel, Z. Effects of Planting Melia azedarach L. on Soil Properties and Microbial Community in Saline-Alkali Soil. Land Degrad. Dev. 2021, 32, 2951–2961. [Google Scholar] [CrossRef]
- Lorito, M.; Woo, S.L.; Harman, G.E.; Monte, E. Translational Research on Trichoderma: From ’omics to the Field. Annu. Rev. Phytopathol. 2010, 48, 395–417. [Google Scholar] [CrossRef]
- Woo, S.L.; Pepe, O. Microbial Consortia: Promising Probiotics as Plant Biostimulants for Sustainable Agriculture. Front. Plant Sci. 2018, 9, 1801. [Google Scholar] [CrossRef]
- Harman, G.E.; Howell, C.R.; Viterbo, A.; Chet, I.; Lorito, M. Trichoderma Species—Opportunistic, Avirulent Plant Symbionts. Nat. Rev. Microbiol. 2004, 2, 43–56. [Google Scholar] [CrossRef]
- Vinale, F.; Sivasithamparam, K.; Ghisalberti, E.L.; Marra, R.; Barbetti, M.J.; Li, H.; Woo, S.L.; Lorito, M. A Novel Role for Trichoderma Secondary Metabolites in the Interactions with Plants. Physiol. Mol. Plant Pathol. 2008, 72, 80–86. [Google Scholar] [CrossRef]
- Vinale, F.; Sivasithamparam, K.; Ghisalberti, E.L.; Marra, R.; Woo, S.L.; Lorito, M. Trichoderma–Plant–Pathogen Interactions. Soil Biol. Biochem. 2008, 40, 1–10. [Google Scholar] [CrossRef]
- Whipps, J.M. Microbial Interactions and Biocontrol in the Rhizosphere. J. Exp. Bot. 2001, 52, 487–511. [Google Scholar] [CrossRef] [PubMed]
- Ramírez-Valdespino, C.A.; Casas-Flores, S.; Olmedo-Monfil, V. Trichoderma as a Model to Study Effector-like Molecules. Front. Microbiol. 2019, 10, 1030. [Google Scholar] [CrossRef]
- Woo, S.L.; Ruocco, M.; Vinale, F.; Nigro, M.; Marra, R.; Lombardi, N.; Pascale, A.; Lanzuise, S.; Manganiello, G.; Lorito, M. Trichoderma-Based Products and Their Widespread Use in Agriculture. Open Mycol. J. 2014, 8, 71–126. [Google Scholar] [CrossRef]
- Tilman, D.; Balzer, C.; Hill, J.; Befort, B.L. Global Food Demand and the Sustainable Intensification of Agriculture. Proc. Natl. Acad. Sci. USA 2011, 108, 20260–20264. [Google Scholar] [CrossRef]
- Fan, M.; Shen, J.; Yuan, L.; Jiang, R.; Chen, X.; Davies, W.J.; Zhang, F. Improving Crop Productivity and Resource Use Efficiency to Ensure Food Security and Environmental Quality in China. J. Exp. Bot. 2012, 63, 13–24. [Google Scholar] [CrossRef] [PubMed]
- Ferguson, R.B.; Hergert, G.W.; Schepers, J.S.; Gotway, C.A.; Cahoon, J.E.; Peterson, T.A. Site-Specific Nitrogen Management of Irrigated Maize: Yield and Soil Residual Nitrate Effects. Soil Sci. Soc. Am. J. 2002, 66, 544–553. [Google Scholar] [CrossRef]
- Cui, Z.; Zhang, F.; Chen, X.; Dou, Z.; Li, J. In-Season Nitrogen Management Strategy for Winter Wheat: Maximizing Yields, Minimizing Environmental Impact in an over-Fertilization Context. Field Crop. Res. 2010, 116, 140–146. [Google Scholar] [CrossRef]
- Hirel, B.; Tétu, T.; Lea, P.J.; Dubois, F. Improving Nitrogen Use Efficiency in Crops for Sustainable Agriculture. Sustainability 2011, 3, 1452–1485. [Google Scholar] [CrossRef]
- Bai-Ge, Z.; Qiang, L.I.; Qiong-Xian, C.; Shao-Bo, L.; Jian, C.; Yu-Juan, Z.; Qiu, Y. Research on Index System for Sweet Maize Fertilization in Guangdong. Guangdong Agric. Sci. 2013, 40, 67–70. [Google Scholar]
- Wang, J.; Shao, L.; Yan, J.; Wang, R.; Pang, X.; Zhang, X. Influence of Fertilization and Density on Sweet Maize Ear Commodity and Soil Characters. Guizhou Agric. Sci. 2016, 44, 38–42. [Google Scholar]
- Przemieniecki, S.W.; Kurowski, T.P.; Kotlarz, K.; Krawczyk, K.; Damszel, M.; Pszczółkowska, A.; Kacprzak-Siuda, K.; Chareńska, A.; Mastalerz, J. Bacteria Isolated from Treated Wastewater for Biofertilization and Crop Protection Against Fusarium spp. Pathog. J. Soil Sci. Plant Nutr. 2019, 19, 1–11. [Google Scholar] [CrossRef]
- Bhattacharyya, D.; Lee, Y.H. The Bacterial Community in the Rhizosphere of Kimchi Cabbage Restructured by Volatile Compounds Emitted from Rhizobacterium Proteus vulgaris JBLS202. Appl. Soil Ecol. 2016, 105, 48–56. [Google Scholar] [CrossRef]
- Ejechi, B.O.; Akpomedaye, D.E. The Hurdle Effect of Ureolytic Proteus sp. Activity and Trichoderma viride Culture Filtrate on Growth and Wood Deteriorating Activities of Four Fungi. Int. Biodeterior. Biodegrad. 1998, 41, 153–155. [Google Scholar] [CrossRef]
- Fu, J.; Xiao, Y.; Liu, Z.; Zhang, Y.; Wang, Y.; Yang, K. Trichoderma asperellum Improves Soil Microenvironment in Different Growth Stages and Yield of Maize in Saline-Alkaline Soil of the Songnen Plain. Plant Soil Environ. 2020, 66, 639–647. [Google Scholar] [CrossRef]
- Wei, Y.; Yang, H.; Hu, J.; Li, H.; Zhao, Z.; Wu, Y.; Li, J.; Zhou, Y.; Yang, K.; Yang, H. Trichoderma harzianum Inoculation Promotes Sweet Sorghum Growth in the Saline Soil by Modulating Rhizosphere Available Nutrients and Bacterial Community. Front. Plant Sci. 2023, 14, 1258131. [Google Scholar] [CrossRef] [PubMed]
- Fu, J.; Xiao, Y.; Wang, Y.-F.; Liu, Z.-H.; Zhang, Y.-F.; Yang, K.-J. Trichoderma asperellum Alters Fungal Community Composition in Saline–Alkaline Soil Maize Rhizospheres. Soil Sci. Soc. Am. J. 2021, 85, 1091–1104. [Google Scholar] [CrossRef]
- Zhang, F.; Huo, Y.; Cobb, A.B.; Luo, G.; Zhou, J.; Yang, G.; Wilson, G.W.T.; Zhang, Y. Trichoderma Biofertilizer Links to Altered Soil Chemistry, Altered Microbial Communities, and Improved Grassland Biomass. Front. Microbiol. 2018, 9, 848. [Google Scholar] [CrossRef] [PubMed]
- Loganathachetti, D.S.; Alhashmi, F.; Chandran, S.; Mundra, S. Irrigation Water Salinity Structures the Bacterial Communities of Date Palm (Phoenix dactylifera)-Associated Bulk Soil. Front. Plant Sci. 2022, 13, 944637. [Google Scholar] [CrossRef] [PubMed]
- López-Mondéjar, R.; Algora, C.; Baldrian, P. Lignocellulolytic Systems of Soil Bacteria: A Vast and Diverse Toolbox for Biotechnological Conversion Processes. Biotechnol. Adv. 2019, 37, 107374. [Google Scholar] [CrossRef]
- Asaf, S.; Numan, M.; Khan, A.L.; Al-Harrasi, A. Sphingomonas: From Diversity and Genomics to Functional Role in Environmental Remediation and Plant Growth. Crit. Rev. Biotechnol. 2020, 40, 138–152. [Google Scholar] [CrossRef]
- Koch, H.; Lücker, S.; Albertsen, M.; Kitzinger, K.; Herbold, C.; Spieck, E.; Nielsen, P.H.; Wagner, M.; Daims, H. Expanded Metabolic Versatility of Ubiquitous Nitrite-Oxidizing Bacteria from the Genus Nitrospira. Proc. Natl. Acad. Sci. USA 2015, 112, 11371–11376. [Google Scholar] [CrossRef]
- Theuerl, S.; Buscot, F. Laccases: Toward Disentangling Their Diversity and Functions in Relation to Soil Organic Matter Cycling. Biol. Fertil. Soils 2010, 46, 215–225. [Google Scholar] [CrossRef]
- Radhakrishnan, R.; Kang, S.-M.; Baek, I.-Y.; Lee, I.-J. Characterization of Plant Growth-Promoting Traits of Penicillium Species against the Effects of High Soil Salinity and Root Disease. J. Plant Interact. 2014, 9, 754–762. [Google Scholar] [CrossRef]
- Edgington, S.; Thompson, E.; Moore, D.; Hughes, K.A.; Bridge, P. Investigating the Insecticidal Potential of Geomyces (Myxotrichaceae: Helotiales) and Mortierella (Mortierellacea: Mortierellales) Isolated from Antarctica. SpringerPlus 2014, 3, 289. [Google Scholar] [CrossRef]
- Khan, M.S.; Gao, J.; Munir, I.; Zhang, M.; Liu, Y.; Moe, T.S.; Xue, J.; Zhang, X. Characterization of Endophytic Fungi, Acremonium sp., from Lilium davidii and Analysis of Its Antifungal and Plant Growth-Promoting Effects. BioMed Res. Int. 2021, 2021, 9930210. [Google Scholar] [CrossRef] [PubMed]
- Tyśkiewicz, R.; Nowak, A.; Ozimek, E.; Jaroszuk-Ściseł, J. Trichoderma: The Current Status of Its Application in Agriculture for the Biocontrol of Fungal Phytopathogens and Stimulation of Plant Growth. Int. J. Mol. Sci. 2022, 23, 2329. [Google Scholar] [CrossRef] [PubMed]
- Oljira, A.M.; Hussain, T.; Waghmode, T.R.; Zhao, H.; Sun, H.; Liu, X.; Wang, X.; Liu, B. Trichoderma Enhances Net Photosynthesis, Water Use Efficiency, and Growth of Wheat (Triticum aestivum L.) under Salt Stress. Microorganisms 2020, 8, 1565. [Google Scholar] [CrossRef] [PubMed]
- Oki, T.; Yano, K.; Komatsu, K.; Shimomoto, Y.; Arie, T.; Morita, Y. Ophiosphaerella agrostidis Causes Leaf-Sheath Rot of Zingiber mioga. J. Gen. Plant Pathol. 2022, 88, 173–177. [Google Scholar] [CrossRef]
- Freeman, J.; Ward, E. Gaeumannomyces graminis, the Take-All Fungus and Its Relatives. Mol. Plant Pathol. 2004, 5, 235–252. [Google Scholar] [CrossRef]
- Gonçalves, O.S.; Fernandes, A.S.; Tupy, S.M.; Ferreira, T.G.; Almeida, L.N.; Creevey, C.J.; Santana, M.F. Insights into Plant Interactions and the Biogeochemical Role of the Globally Widespread Acidobacteriota Phylum. Soil Biol. Biochem. 2024, 192, 109369. [Google Scholar] [CrossRef]
- Contreras-Cornejo, H.A.; Macías-Rodríguez, L.; del-Val, E.; Larsen, J. Ecological Functions of Trichoderma spp. and Their Secondary Metabolites in the Rhizosphere: Interactions with Plants. FEMS Microbiol. Ecol. 2016, 92, fiw036. [Google Scholar] [CrossRef]
- Pii, Y.; Mimmo, T.; Tomasi, N.; Terzano, R.; Cesco, S.; Crecchio, C. Microbial Interactions in the Rhizosphere: Beneficial Influences of Plant Growth-Promoting Rhizobacteria on Nutrient Acquisition Process. A Review. Biol. Fertil. Soils 2015, 51, 403–415. [Google Scholar] [CrossRef]
- Xun, W.; Shao, J.; Shen, Q.; Zhang, R. Rhizosphere Microbiome: Functional Compensatory Assembly for Plant Fitness. Comput. Struct. Biotechnol. J. 2021, 19, 5487–5493. [Google Scholar] [CrossRef]
- Li, Z.; Zhang, K.; Qiu, L.; Ding, S.; Wang, H.; Liu, Z.; Zhang, M.; Wei, Z. Soil Microbial Co-Occurrence Patterns under Controlled-Release Urea and Fulvic Acid Applications. Microorganisms 2022, 10, 1823. [Google Scholar] [CrossRef]
- Shah, F.; Nicolás, C.; Bentzer, J.; Ellström, M.; Smits, M.; Rineau, F.; Canbäck, B.; Floudas, D.; Carleer, R.; Lackner, G.; et al. Ectomycorrhizal Fungi Decompose Soil Organic Matter Using Oxidative Mechanisms Adapted from Saprotrophic Ancestors. New Phytol. 2016, 209, 1705–1719. [Google Scholar] [CrossRef] [PubMed]
- Nicolás, C.; Martin-Bertelsen, T.; Floudas, D.; Bentzer, J.; Smits, M.; Johansson, T.; Troein, C.; Persson, P.; Tunlid, A. The Soil Organic Matter Decomposition Mechanisms in Ectomycorrhizal Fungi Are Tuned for Liberating Soil Organic Nitrogen. ISME J. 2019, 13, 977–988. [Google Scholar] [CrossRef] [PubMed]
- Liu, T.; Wu, X.; Li, H.; Alharbi, H.; Wang, J.; Dang, P.; Chen, X.; Kuzyakov, Y.; Yan, W. Soil Organic Matter, Nitrogen and pH Driven Change in Bacterial Community Following Forest Conversion. For. Ecol. Manag. 2020, 477, 118473. [Google Scholar] [CrossRef]
- Thamdrup, B. New Pathways and Processes in the Global Nitrogen Cycle. Annu. Rev. Ecol. Evol. Syst. 2012, 43, 407–428. [Google Scholar] [CrossRef]
- Coskun, D.; Britto, D.T.; Shi, W.; Kronzucker, H.J. Nitrogen Transformations in Modern Agriculture and the Role of Biological Nitrification Inhibition. Nat. Plants 2017, 3, 17074. [Google Scholar] [CrossRef] [PubMed]
- Di Martino, C.; Palumbo, G.; Di Iorio, E.; Colombo, C.; Crawford, T.W. Effects of Olive Mill Wastewater and Two Natural Extracts as Nitrification Inhibitors on Activity of Nitrifying Bacteria, Soil Nitrate Leaching Loss, and Nitrogen Metabolism of Celery (Apium graveolens L.). J. Plant Growth Regul. 2021, 40, 1922–1938. [Google Scholar] [CrossRef]
- Cameron, K.C.; Di, H.J.; Moir, J.L. Nitrogen Losses from the Soil/Plant System: A Review. Ann. Appl. Biol. 2013, 162, 145–173. [Google Scholar] [CrossRef]
- Bohlool, B.B.; Ladha, J.K.; Garrity, D.P.; George, T. Biological Nitrogen Fixation for Sustainable Agriculture: A Perspective. Plant Soil 1992, 141, 1–11. [Google Scholar] [CrossRef]
- Zin, N.A.; Badaluddin, N.A. Biological Functions of Trichoderma spp. for Agriculture Applications. Ann. Agric. Sci. 2020, 65, 168–178. [Google Scholar] [CrossRef]
- Gerke, J. The Central Role of Soil Organic Matter in Soil Fertility and Carbon Storage. Soil Syst. 2022, 6, 33. [Google Scholar] [CrossRef]
- Smith, P.; Fang, C.; Dawson, J.J.C.; Moncrieff, J.B. Impact of Global Warming on Soil Organic Carbon. In Advances in Agronomy; Academic Press: Cambridge, MA, USA, 2008; Volume 97, pp. 1–43. [Google Scholar]
- Lorenz, K.; Lal, R. Soil Organic Carbon Sequestration in Agroforestry Systems. A Review. Agron. Sustain. Dev. 2014, 34, 443–454. [Google Scholar] [CrossRef]
- Di Martino, C.; Torino, V.; Minotti, P.; Pietrantonio, L.; Del Grosso, C.; Palmieri, D.; Palumbo, G.; Crawford, T.W.; Carfagna, S. Mycorrhized Wheat Plants and Nitrogen Assimilation in Coexistence and Antagonism with Spontaneous Colonization of Pathogenic and Saprophytic Fungi in a Soil of Low Fertility. Plants 2022, 11, 924. [Google Scholar] [CrossRef] [PubMed]
- Vinale, F.; Sivasithamparam, K. Beneficial Effects of Trichoderma Secondary Metabolites on Crops. Phytother. Res. 2020, 34, 2835–2842. [Google Scholar] [CrossRef] [PubMed]
- López-Bucio, J.; Pelagio-Flores, R.; Herrera-Estrella, A. Trichoderma as Biostimulant: Exploiting the Multilevel Properties of a Plant Beneficial Fungus. Sci. Hortic. 2015, 196, 109–123. [Google Scholar] [CrossRef]
- Poorter, H.; Niklas, K.J.; Reich, P.B.; Oleksyn, J.; Poot, P.; Mommer, L. Biomass Allocation to Leaves, Stems and Roots: Meta-Analyses of Interspecific Variation and Environmental Control. New Phytol. 2012, 193, 30–50. [Google Scholar] [CrossRef]
- Fu, J.; Xiao, Y.; Wang, Y.; Liu, Z.; Yang, K. Saline–Alkaline Stress in Growing Maize Seedlings Is Alleviated by Trichoderma asperellum through Regulation of the Soil Environment. Sci. Rep. 2021, 11, 11152. [Google Scholar] [CrossRef]



| Trichoderma | No Trichoderma Agent (T0) | Trichoderma Agent (T1) | |
|---|---|---|---|
| Nitrogen Level | |||
| 60 kg N ha−1 (N1) | N1T0 | N1T1 | |
| 300 kg N ha−1 (N2) | N2T0 | N2T1 | |
| Plant Organs | Treatments | Total Nitrogen (g/kg) | Total Potassium (mg/kg) | Total Phosphorus (g/kg) |
|---|---|---|---|---|
| Leaf | Con | 17.20 e | 4555.57 d | 0.13 b |
| N1T0 | 16.16 d | 5793.80 b | 0.10 c | |
| N1T1 | 15.65 c | 5378.82 c | 0.09 d | |
| N2T0 | 15.30 b | 5727.31 b | 0.11 c | |
| N2T1 | 18.57 a | 7676.90 a | 0.18 a | |
| Stem | Con | 3.08 c | 7312.98 c | 0.03 a |
| N1T0 | 3.05 d | 8472.85 a | 0.02 a | |
| N1T1 | 2.58 e | 5148.07 d | 0.01 a | |
| N2T0 | 3.81 b | 7926.38 b | 0.02 a | |
| N2T1 | 4.21 a | 3926.60 e | 0.08 a | |
| Grain | Con | 12.08 d | 1752.34 e | 0.16 d |
| N1T0 | 13.64 c | 1967.23 c | 0.19 c | |
| N1T1 | 14.95 a | 2170.43 b | 0.20 b | |
| N2T0 | 10.75 e | 1929.60 d | 0.15 e | |
| N2T1 | 14.11 b | 2647.65 a | 0.21 a |
Disclaimer/Publisher’s Note: The statements, opinions and data contained in all publications are solely those of the individual author(s) and contributor(s) and not of MDPI and/or the editor(s). MDPI and/or the editor(s) disclaim responsibility for any injury to people or property resulting from any ideas, methods, instructions or products referred to in the content. |
© 2024 by the authors. Licensee MDPI, Basel, Switzerland. This article is an open access article distributed under the terms and conditions of the Creative Commons Attribution (CC BY) license (https://creativecommons.org/licenses/by/4.0/).
Share and Cite
Li, Y.; Cui, J.; Kang, J.; Zhao, W.; Yang, K.; Fu, J. Trichoderma Rhizosphere Soil Improvement: Regulation of Nitrogen Fertilizer in Saline–Alkali Soil in Semi-Arid Region and Its Effect on the Microbial Community Structure of Maize Roots. Agronomy 2024, 14, 2340. https://doi.org/10.3390/agronomy14102340
Li Y, Cui J, Kang J, Zhao W, Yang K, Fu J. Trichoderma Rhizosphere Soil Improvement: Regulation of Nitrogen Fertilizer in Saline–Alkali Soil in Semi-Arid Region and Its Effect on the Microbial Community Structure of Maize Roots. Agronomy. 2024; 14(10):2340. https://doi.org/10.3390/agronomy14102340
Chicago/Turabian StyleLi, Yicong, Jianming Cui, Jiarui Kang, Wei Zhao, Kejun Yang, and Jian Fu. 2024. "Trichoderma Rhizosphere Soil Improvement: Regulation of Nitrogen Fertilizer in Saline–Alkali Soil in Semi-Arid Region and Its Effect on the Microbial Community Structure of Maize Roots" Agronomy 14, no. 10: 2340. https://doi.org/10.3390/agronomy14102340
APA StyleLi, Y., Cui, J., Kang, J., Zhao, W., Yang, K., & Fu, J. (2024). Trichoderma Rhizosphere Soil Improvement: Regulation of Nitrogen Fertilizer in Saline–Alkali Soil in Semi-Arid Region and Its Effect on the Microbial Community Structure of Maize Roots. Agronomy, 14(10), 2340. https://doi.org/10.3390/agronomy14102340

