Using Plasma-Activated Water Generated by an Air Gliding Arc as a Nitrogen Source for Rice Seed Germination
Abstract
:1. Introduction
2. Materials and Methods
2.1. Gliding Arc Plasma Device and PAW Generation
2.2. Optical Emission Spectra (OES) Measurement and Vibrational Temperature of N2
2.3. Analysis of PAW Chemical Properties
2.3.1. The NO3− and NO2− Concentrations
2.3.2. The H2O2 Concentration
2.3.3. The pH Level, EC and ORP Value
2.4. Storage Period of PAW
2.5. Rice Seed Sample
2.6. PAW Treatment of Rice Seed
2.7. Determination of Total N and GA3 in Rice Seed
2.7.1. Total N Accumulation
2.7.2. GA3 Concentration
2.8. Evaluation of Rice Seed Germination Characteristics
2.8.1. Germination (G)
2.8.2. Germination Index (GI)
2.8.3. Radicle Emergence (RE)
2.8.4. Fresh Weight (FW) and Dry Weight (DW) of Seedling
2.8.5. Seedling Moisture Content (SMC)
2.8.6. Shoot Length (SL) and Root Length (RL)
2.9. Statistical Analysis
3. Results
3.1. Plasma Optical Emission Spectra (OES) Characteristics and Vibrational Temperature of N2
3.2. PAW Characteristics
3.2.1. Effect of Storage Period on PAW Chemical Properties
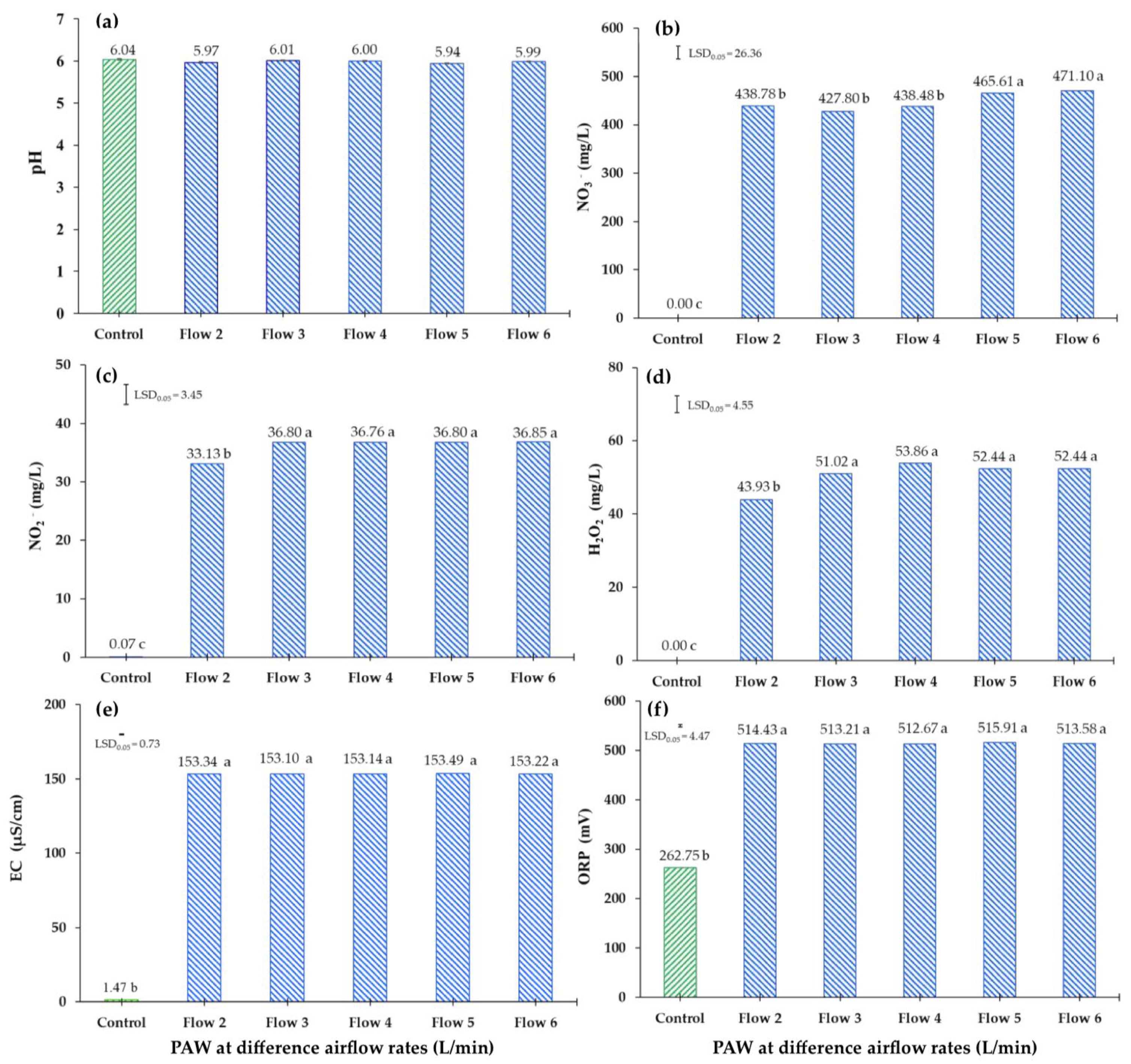
3.2.2. Effect of Different Plasma Airflow Rates on PAW Chemical Properties
3.3. Effect of PAW Treatment on Total N and GA3 Concentration in Rice Seed
3.3.1. Total N Accumulation
3.3.2. GA3 Concentration
3.4. Effect of PAW Treatment on Rice Seed Germination Characteristics
4. Discussion
5. Conclusions
Author Contributions
Funding
Data Availability Statement
Acknowledgments
Conflicts of Interest
References
- Ohyama, T. Nitrogen as a Major Essential Element of Plants. Nitrogen Assim. Plants 2010, 37, 1–17. [Google Scholar]
- Cherkasov, N.; Ibhadon, A.O.; Fitzpatrick, P. A Review of the Existing and Alternative Methods for Greener Nitrogen Fixation. Chem. Eng. Process. Process Intensif. 2015, 90, 24–33. [Google Scholar] [CrossRef]
- Chen, J.G.; Crooks, R.M.; Seefeldt, L.C.; Bren, K.L.; Bullock, R.M.; Darensbourg, M.Y.; Holland, P.L.; Hoffman, B.; Janik, M.J.; Jones, A.K.; et al. Beyond Fossil Fuel–Driven Nitrogen Transformations. Science 2018, 360, eaar6611. [Google Scholar] [CrossRef] [PubMed]
- Fridman, A. Plasma Chemistry; Cambridge University Press: Cambridge, UK, 2008; ISBN 1-139-47173-2. [Google Scholar]
- Bhullar, M.; Gavahian, M.; Misra, N. Cold Plasma Processing: Methods and Applications in Study of Food Decontamination. In Emerging Food Processing Technologies; Springer: Berlin/Heidelberg, Germany, 2022; pp. 31–45. [Google Scholar]
- Priatama, R.A.; Pervitasari, A.N.; Park, S.; Park, S.J.; Lee, Y.K. Current Advancements in the Molecular Mechanism of Plasma Treatment for Seed Germination and Plant Growth. Int. J. Mol. Sci. 2022, 23, 4609. [Google Scholar] [CrossRef] [PubMed]
- Gao, Y.; Francis, K.; Zhang, X. Review on Formation of Cold Plasma Activated Water (PAW) and the Applications in Food and Agriculture. Food Res. Int. 2022, 157, 111246. [Google Scholar] [CrossRef] [PubMed]
- Zhou, R.; Zhou, R.; Wang, P.; Xian, Y.; Mai-Prochnow, A.; Lu, X.; Cullen, P.; Ostrikov, K.K.; Bazaka, K. Plasma-Activated Water: Generation, Origin of Reactive Species and Biological Applications. J. Phys. D Appl. Phys. 2020, 53, 303001. [Google Scholar] [CrossRef]
- Ranieri, P.; Sponsel, N.; Kizer, J.; Rojas-Pierce, M.; Hernández, R.; Gatiboni, L.; Grunden, A.; Stapelmann, K. Plasma Agriculture: Review from the Perspective of the Plant and Its Ecosystem. Plasma Process. Polym. 2021, 18, 2000162. [Google Scholar] [CrossRef]
- Guo, D.; Liu, H.; Zhou, L.; Xie, J.; He, C. Plasma-Activated Water Production and Its Application in Agriculture. J. Sci. Food Agric. 2021, 101, 4891–4899. [Google Scholar] [CrossRef]
- Ruamrungsri, S.; Sawangrat, C.; Panjama, K.; Sojithamporn, P.; Jaipinta, S.; Srisuwan, W.; Intanoo, M.; Inkham, C.; Thanapornpoonpong, S. Effects of Using Plasma-Activated Water as a Nitrate Source on the Growth and Nutritional Quality of Hydroponically Grown Green Oak Lettuces. Horticulturae 2023, 9, 248. [Google Scholar] [CrossRef]
- Lamichhane, P.; Veerana, M.; Lim, J.S.; Mumtaz, S.; Shrestha, B.; Kaushik, N.K.; Park, G.; Choi, E.H. Low-Temperature Plasma-Assisted Nitrogen Fixation for Corn Plant Growth and Development. Int. J. Mol. Sci. 2021, 22, 5360. [Google Scholar] [CrossRef]
- Zhang, S.; Rousseau, A.; Dufour, T. Promoting Lentil Germination and Stem Growth by Plasma Activated Tap Water, Demineralized Water and Liquid Fertilizer. RSC Adv. 2017, 7, 31244–31251. [Google Scholar] [CrossRef]
- Guragain, R.P.; Pradhan, S.P.; Baniya, H.B.; Pandey, B.P.; Basnet, N.; Sedhai, B.; Dhungana, S.; Chhetri, G.K.; Joshi, U.M.; Subedi, D.P. Impact of Plasma-Activated Water (PAW) on Seed Germination of Soybean. J. Chem. 2021, 2021, 7517052. [Google Scholar] [CrossRef]
- Pawłat, J.; Terebun, P.; Kwiatkowski, M.; Tarabová, B.; Kovaľová, Z.; Kučerová, K.; Machala, Z.; Janda, M.; Hensel, K. Evaluation of Oxidative Species in Gaseous and Liquid Phase Generated by Mini-Gliding Arc Discharge. Plasma Chem. Plasma Process. 2019, 39, 627–642. [Google Scholar] [CrossRef]
- Darvish, F.; Sarkari, N.M.; Khani, M.; Eslami, E.; Shokri, B.; Mohseni, M.; Ebrahimi, M.; Alizadeh, M.; Dee, C.F. Direct Plasma Treatment Approach Based on Non-Thermal Gliding Arc for Surface Modification of Biaxially-Oriented Polypropylene with Post-Exposure Hydrophilicity Improvement and Minus Aging Effects. Appl. Surf. Sci. 2020, 509, 144815. [Google Scholar] [CrossRef]
- Thirumdas, R.; Kothakota, A.; Annapure, U.; Siliveru, K.; Blundell, R.; Gatt, R.; Valdramidis, V.P. Plasma Activated Water (PAW): Chemistry, Physico-Chemical Properties, Applications in Food and Agriculture. Trends Food Sci. Technol. 2018, 77, 21–31. [Google Scholar] [CrossRef]
- Sivachandiran, L.; Khacef, A. Enhanced Seed Germination and Plant Growth by Atmospheric Pressure Cold Air Plasma: Combined Effect of Seed and Water Treatment. RSC Adv. 2017, 7, 1822–1832. [Google Scholar] [CrossRef]
- Sajib, S.A.; Billah, M.; Mahmud, S.; Miah, M.; Hossain, F.; Omar, F.B.; Roy, N.C.; Hoque, K.M.F.; Talukder, M.R.; Kabir, A.H. Plasma Activated Water: The Next Generation Eco-Friendly Stimulant for Enhancing Plant Seed Germination, Vigor and Increased Enzyme Activity, a Study on Black Gram (Vigna mungo L.). Plasma Chem. Plasma Process. 2020, 40, 119–143. [Google Scholar] [CrossRef]
- Ndiffo Yemeli, G.B.; Švubová, R.; Kostolani, D.; Kyzek, S.; Machala, Z. The Effect of Water Activated by Nonthermal Air Plasma on the Growth of Farm Plants: Case of Maize and Barley. Plasma Process. Polym. 2021, 18, 2000205. [Google Scholar] [CrossRef]
- Kostoláni, D.; Ndiffo Yemeli, G.B.; Švubová, R.; Kyzek, S.; Machala, Z. Physiological Responses of Young Pea and Barley Seedlings to Plasma-Activated Water. Plants 2021, 10, 1750. [Google Scholar] [CrossRef]
- Šerá, B.; Vanková, R.; Roháček, K.; Šerý, M. Gliding Arc Plasma Treatment of Maize (Zea mays L.) Grains Promotes Seed Germination and Early Growth, Affecting Hormone Pools, but Not Significantly Photosynthetic Parameters. Agronomy 2021, 11, 2066. [Google Scholar] [CrossRef]
- Škarpa, P.; Klofáč, D.; Krčma, F.; Šimečková, J.; Kozáková, Z. Effect of Plasma Activated Water Foliar Application on Selected Growth Parameters of Maize (Zea mays L.). Water 2020, 12, 3545. [Google Scholar] [CrossRef]
- Rashid, M.; Reza, M.; Talukder, M. Combined Effects of Air Plasma Seed Treatment and Foliar Application of Plasma Activated Water on Enhanced Paddy Plant Growth and Yield. Plasma Chem. Plasma Process. 2021, 41, 1081–1099. [Google Scholar] [CrossRef]
- Hashizume, H.; Kitano, H.; Mizuno, H.; Abe, A.; Yuasa, G.; Tohno, S.; Tanaka, H.; Ishikawa, K.; Matsumoto, S.; Sakakibara, H. Improvement of Yield and Grain Quality by Periodic Cold Plasma Treatment with Rice Plants in a Paddy Field. Plasma Process. Polym. 2021, 18, 2000181. [Google Scholar] [CrossRef]
- Carter, L.; Leslie, J.; Webster, R. Population Structure of Fusarium fujikuroi from California Rice and Water Grass. Phytopathology 2008, 98, 992–998. [Google Scholar] [CrossRef] [PubMed]
- Kang, M.-H.; Veerana, M.; Eom, S.; Uhm, H.-S.; Ryu, S.; Park, G. Plasma Mediated Disinfection of Rice Seeds in Water and Air. J. Phys. D Appl. Phys. 2020, 53, 214001. [Google Scholar] [CrossRef]
- Takashima, K.; Hu, Y.; Goto, T.; Sasaki, S.; Kaneko, T. Liquid Spray Transport of Air–Plasma-Generated Reactive Species toward Plant Disease Management. J. Phys. D Appl. Phys. 2020, 53, 354004. [Google Scholar] [CrossRef]
- Duermeyer, L.; Khodapanahi, E.; Yan, D.; Krapp, A.; Rothstein, S.J.; Nambara, E. Regulation of Seed Dormancy and Germination by Nitrate. Seed Sci. Res. 2018, 28, 150–157. [Google Scholar] [CrossRef]
- Gnanamanickam, S.S.; Gnanamanickam, S.S. Rice and Its Importance to Human Life. Biol. Control Rice Dis. 2009, 8, 1–11. [Google Scholar]
- Deepika; Singh, A. Expression Dynamics Indicate the Role of Jasmonic Acid Biosynthesis Pathway in Regulating Macronutrient (N, P and K+) Deficiency Tolerance in Rice (Oryza sativa L.). Plant Cell Rep. 2021, 40, 1495–1512. [Google Scholar] [CrossRef]
- Shin, S.-Y.; Jeong, J.S.; Lim, J.Y.; Kim, T.; Park, J.H.; Kim, J.-K.; Shin, C. Transcriptomic Analyses of Rice (Oryza sativa) Genes and Non-Coding RNAs under Nitrogen Starvation Using Multiple Omics Technologies. BMC Genom. 2018, 19, 532. [Google Scholar] [CrossRef]
- Wu, J.; Zhang, Z.; Xia, J.; Alfatih, A.; Song, Y.; Huang, Y.; Wan, G.; Sun, L.; Tang, H.; Liu, Y.; et al. Rice NIN-LIKE PROTEIN 4 Plays a Pivotal Role in Nitrogen Use Efficiency. Plant Biotechnol. J. 2021, 19, 448–461. [Google Scholar] [CrossRef] [PubMed]
- Crawford, N.M.; Forde, B.G. Molecular and Developmental Biology of Inorganic Nitrogen Nutrition. Arab. Book Am. Soc. Plant Biol. 2002, 1, e0011. [Google Scholar] [CrossRef] [PubMed]
- Bi, Y.-M.; Kant, S.; Clark, J.; Gidda, S.; Ming, F.; Xu, J.; Rochon, A.; Shelp, B.J.; Hao, L.; Zhao, R.; et al. Increased Nitrogen-Use Efficiency in Transgenic Rice Plants Over-Expressing a Nitrogen-Responsive Early Nodulin Gene Identified from Rice Expression Profiling. Plant Cell Environ. 2009, 32, 1749–1760. [Google Scholar] [CrossRef] [PubMed]
- Fatima, H.; Ullah, M.U.; Ahmad, S.; Imran, M.; Sajjad, S.; Hussain, S.; Qayyum, A. Spectroscopic Evaluation of Vibrational Temperature and Electron Density in Reduced Pressure Radio Frequency Nitrogen Plasma. SN Appl. Sci. 2021, 3, 1–11. [Google Scholar] [CrossRef]
- Phan, K.T.K.; Phan, H.T.; Brennan, C.S.; Regenstein, J.M.; Jantanasakulwong, K.; Boonyawan, D.; Phimolsiripol, Y. Gliding Arc Discharge Non-Thermal Plasma for Retardation of Mango Anthracnose. LWT 2019, 105, 142–148. [Google Scholar] [CrossRef]
- International Seed Testing Association (ISTA). International Rules for Seed Testing, 2019th ed.; The International Seed Testing Association: Wallisellen, Switzerland, 2019. [Google Scholar]
- AOAC International. Protein (Crude) in Animal Feed, Combustion Method, 18th ed.; Official Methods of Analysis: Gaithersburg, MD, USA, 2006. [Google Scholar]
- Rivera, J.D.; Ocampo-Serna, D.M.; Martínez-Rubio, R.A.; Correa-Navarro, Y.M. Determination of Gibberellic Acid and Abscisic Acid in (Zea mays L.) (ICA-V305) Seeds Germinated Using Dynamic Sonication Assisted Solvent Extraction and Maceration. MethodsX 2022, 9, 101821. [Google Scholar] [CrossRef] [PubMed]
- Dechthummarong, C. Characterizations of Electrical Discharge Plasma in Air Micro/Nano-Bubbles Water Mixture. J. Plasma Environ. Sci. Technol 2019, 12, 64–68. [Google Scholar]
- Dong, F.; Zhang, J.; Wang, K.; Liu, Z.; Guo, J.; Zhang, J. Cold Plasma Gas Loaded Microbubbles as a Novel Ultrasound Contrast Agent. Nanoscale 2019, 11, 1123–1130. [Google Scholar] [CrossRef]
- Mai-Prochnow, A.; Zhou, R.; Zhang, T.; Ostrikov, K.; Mugunthan, S.; Rice, S.A.; Cullen, P.J. Interactions of Plasma-Activated Water with Biofilms: Inactivation, Dispersal Effects and Mechanisms of Action. NPJ Biofilms Microbiomes 2021, 7, 11. [Google Scholar] [CrossRef]
- Fageria, N.; Baligar, V. Growth and Nutrient Concentrations of Common Bean, Lowland Rice, Corn, Soybean, and Wheat at Different Soil pH on an Inceptisol. J. Plant Nutr. 1999, 22, 1495–1507. [Google Scholar] [CrossRef]
- Kosumsupamala, K.; Thana, P.; Palee, N.; Lamasai, K.; Kuensaen, C.; Ngamjarurojana, A.; Yangkhamman, P.; Boonyawan, D. Air to H2-N2 Pulse Plasma Jet for in-Vitro Plant Tissue Culture Process: Source Characteristics. Plasma Chem. Plasma Process. 2022, 42, 535–559. [Google Scholar] [CrossRef]
- Laux, C.O.; Spence, T.G.; Kruger, C.H.; Zare, R.N. Optical Diagnostics of Atmospheric Pressure Air Plasmas. Plasma Sources Sci. Technol. 2003, 12, 125–138. [Google Scholar] [CrossRef]
- Hong, J.; Zhang, T.; Zhou, R.; Zhou, R.; Ostikov, K.; Rezaeimotlagh, A.; Cullen, P.J. Plasma Bubbles: A Route to Sustainable Chemistry. AAPPS Bull. 2021, 31, 26. [Google Scholar] [CrossRef]
- Kaushik, N.K.; Ghimire, B.; Li, Y.; Adhikari, M.; Veerana, M.; Kaushik, N.; Jha, N.; Adhikari, B.; Lee, S.-J.; Masur, K.; et al. Biological and Medical Applications of Plasma-Activated Media, Water and Solutions. Biol. Chem. 2018, 400, 39–62. [Google Scholar] [CrossRef] [PubMed]
- Anderson, C.E.; Cha, N.R.; Lindsay, A.D.; Clark, D.S.; Graves, D.B. The Role of Interfacial Reactions in Determining Plasma–Liquid Chemistry. Plasma Chem. Plasma Process. 2016, 36, 1393–1415. [Google Scholar] [CrossRef]
- Burlica, R.; Shih, K.-Y.; Locke, B. Formation of H2 and H2O2 in a Water-Spray Gliding Arc Nonthermal Plasma Reactor. Ind. Eng. Chem. Res. 2010, 49, 6342–6349. [Google Scholar] [CrossRef]
- Shen, J.; Tian, Y.; Li, Y.; Ma, R.; Zhang, Q.; Zhang, J.; Fang, J. Bactericidal Effects against S. aureus and Physicochemical Properties of Plasma Activated Water Stored at Different Temperatures. Sci. Rep. 2016, 6, 28505. [Google Scholar] [CrossRef]
- Fan, L.; Liu, X.; Ma, Y.; Xiang, Q. Effects of Plasma-Activated Water Treatment on Seed Germination and Growth of Mung Bean Sprouts. J. Taibah Univ. Sci. 2020, 14, 823–830. [Google Scholar] [CrossRef]
- Zhou, R.; Zhou, R.; Prasad, K.; Fang, Z.; Speight, R.; Bazaka, K.; Ostrikov, K. Cold Atmospheric Plasma Activated Water as a Prospective Disinfectant: The Crucial Role of Peroxynitrite. Green Chem. 2018, 20, 5276–5284. [Google Scholar] [CrossRef]
- Rashid, M.; Rashid, M.M.; Alam, M.S.; Talukder, M.R. Enhancement of Growth, Enzymes, Nutrition and Yield of Eggplant: Combined Effects of Plasma Treatments. Plasma Chem. Plasma Process. 2023, 43, 163–181. [Google Scholar] [CrossRef]
- Terebun, P.; Kwiatkowski, M.; Hensel, K.; Kopacki, M.; Pawłat, J. Influence of Plasma Activated Water Generated in a Gliding Arc Discharge Reactor on Germination of Beetroot and Carrot Seeds. Appl. Sci. 2021, 11, 6164. [Google Scholar] [CrossRef]
- Herman, E.M.; Larkins, B.A. Protein Storage Bodies and Vacuoles. Plant Cell 1999, 11, 601–613. [Google Scholar] [CrossRef] [PubMed]
- Akazawa, T.; Yamaguchi, J.; Hayashi, M. Rice α-Amylase and Gibberellin Action—A Personal View. In Gibberellins; Springer: Berlin/Heidelberg, Germany, 1990; pp. 114–124. [Google Scholar]
- Woodger, F.; Jacobsen, J.V.; Gubler, F. Gibberellin Action in Germinated Cereal Grains. In Plant Hormones: Biosynthesis, Signal Transduction, Action! Springer: Berlin/Heidelberg, Germany, 2004; pp. 221–240. [Google Scholar]
- Mildaziene, V.; Ivankov, A.; Sera, B.; Baniulis, D. Biochemical and Physiological Plant Processes Affected by Seed Treatment with Non-Thermal Plasma. Plants 2022, 11, 856. [Google Scholar] [CrossRef] [PubMed]








| Treatment | Total Nitrogen (%) | Gibberellic Acid (µg/g) |
|---|---|---|
| T1 | 1.519 c | 0.708 d |
| T2 | 1.751 a | 0.995 cd |
| T3 | 1.616 b | 1.467 c |
| T4 | 1.797 a | 7.047 b |
| T5 | 1.751 a | 10.855 a |
| T6 | 1.806 a | 11.327 a |
| F-test | ** | ** |
| CV (%) | 2.29 | 6.79 |
| LSD 0.05 | 0.028 | 0.544 |
| Treatment | Radicle Emergence (%) | Germination (%) | Germination Index | ||
|---|---|---|---|---|---|
| 24 h | 48 h | 72 h | |||
| T1 | 9.33 | 85.00 c | 94.00 b | 94.00 c | 19.81 c |
| T2 | 13.00 | 91.67 b | 95.67 ab | 96.67 ab | 22.19 b |
| T3 | 12.00 | 93.33 ab | 97.00 a | 96.67 ab | 22.13 b |
| T4 | 13.00 | 92.00 b | 95.67 ab | 96.00 b | 21.86 b |
| T5 | 11.33 | 94.33 a | 97.00 a | 98.33 a | 22.89 a |
| T6 | 11.33 | 91.67 b | 97.67 a | 97.33 ab | 21.60 b |
| F-test | ns | ** | * | * | ** |
| CV (%) | 11.61 | 1.21 | 12.7 | 1.15 | 1.77 |
| LSD 0.05 | - | 1.97 | 2.18 | 1.97 | 0.68 |
| Treatment | Length (cm) | Seedling Weight (mg/Seedling) | Seedling Moisture Content (%) | ||
| Shoot | Root | Fresh | Dry | ||
| T1 | 13.44 b | 12.38 | 76.70 b | 9.89 b | 87.11 |
| T2 | 13.54 b | 13.01 | 88.79 a | 10.78 a | 87.86 |
| T3 | 14.60 a | 13.02 | 89.51 a | 10.78 a | 87.94 |
| T4 | 14.34 a | 12.45 | 85.33 a | 10.40 a | 87.80 |
| T5 | 14.76 a | 13.26 | 87.08 a | 10.80 a | 87.56 |
| T6 | 14.35 a | 12.91 | 86.65 a | 10.83 a | 87.49 |
| F-test | * | ns | * | * | ns |
| CV (%) | 2.78 | 6.43 | 4.27 | 2.29 | 0.49 |
| LSD 0.05 | 0.70 | - | 6.51 | 0.43 | - |
Disclaimer/Publisher’s Note: The statements, opinions and data contained in all publications are solely those of the individual author(s) and contributor(s) and not of MDPI and/or the editor(s). MDPI and/or the editor(s) disclaim responsibility for any injury to people or property resulting from any ideas, methods, instructions or products referred to in the content. |
© 2023 by the authors. Licensee MDPI, Basel, Switzerland. This article is an open access article distributed under the terms and conditions of the Creative Commons Attribution (CC BY) license (https://creativecommons.org/licenses/by/4.0/).
Share and Cite
Chuea-uan, S.; Boonyawan, D.; Sawangrat, C.; Thanapornpoonpong, S.-n. Using Plasma-Activated Water Generated by an Air Gliding Arc as a Nitrogen Source for Rice Seed Germination. Agronomy 2024, 14, 15. https://doi.org/10.3390/agronomy14010015
Chuea-uan S, Boonyawan D, Sawangrat C, Thanapornpoonpong S-n. Using Plasma-Activated Water Generated by an Air Gliding Arc as a Nitrogen Source for Rice Seed Germination. Agronomy. 2024; 14(1):15. https://doi.org/10.3390/agronomy14010015
Chicago/Turabian StyleChuea-uan, Siraporn, Dheerawan Boonyawan, Choncharoen Sawangrat, and Sa-nguansak Thanapornpoonpong. 2024. "Using Plasma-Activated Water Generated by an Air Gliding Arc as a Nitrogen Source for Rice Seed Germination" Agronomy 14, no. 1: 15. https://doi.org/10.3390/agronomy14010015
APA StyleChuea-uan, S., Boonyawan, D., Sawangrat, C., & Thanapornpoonpong, S.-n. (2024). Using Plasma-Activated Water Generated by an Air Gliding Arc as a Nitrogen Source for Rice Seed Germination. Agronomy, 14(1), 15. https://doi.org/10.3390/agronomy14010015

