Next Article in Journal
Assessment of Genetic Diversity and Protein Content of Scandinavian Peas (Pisum sativum)
Next Article in Special Issue
Effects of Methyl Jasmonate on Fruit Coloration and Quality Improvement in Pears (Pyrus bretschneideri)
Previous Article in Journal
Effects of Different Tillage and Residue Retention Measures on Silage Maize Yield and Quality and Soil Phosphorus in Karst Areas
Previous Article in Special Issue
Deciphering Ciprofloxacin’s Impact on Growth Attributes and Antioxidant Compounds in Pasankalla Quinoa
 
 
Font Type:
Arial Georgia Verdana
Font Size:
Aa Aa Aa
Line Spacing:
Column Width:
Background:
Article

Improvement of Fruit Quality and Phytochemical Components of Pomegranate by Spraying with B2O3 and ZnO Nanoparticles

by
Adel M. Al-Saif
1,
Ibrahim A. Elnaggar
2,
Abd El-wahed N. Abd El-wahed
2,
Ibrahim M. Taha
3,
Hosny F. Abdel-Aziz
2,
Mohammed H. Farouk
4 and
Ashraf E. Hamdy
2,*
1
Department of Plant Production, College of Food and Agriculture Sciences, King Saud University, P.O. Box 2460, Riyadh 11451, Saudi Arabia
2
Department of Horticulture, Faculty of Agriculture, Al-Azhar University, Cairo 11651, Egypt
3
Department of Food Science and Technology, Faculty of Agriculture, Al-Azhar University, Cairo 11884, Egypt
4
Key Laboratory of Product Quality and Security, Jilin Agricultural University, Ministry of Education, Changchun 130117, China
*
Author to whom correspondence should be addressed.
Agronomy 2023, 13(9), 2305; https://doi.org/10.3390/agronomy13092305
Submission received: 31 July 2023 / Revised: 25 August 2023 / Accepted: 30 August 2023 / Published: 31 August 2023

Abstract

Pomegranate is one of the most important and widely distributed trees. Boron and zinc are important nutrients for plant growth and fruit quality. Nanotechnology has emerged as one of the most innovative scientific fields in agriculture. This study was conducted to describe the changes in the physiochemical characteristics (weight, diameter, length, firmness and color), as well as the phytochemicals attributes (total phenolics, total flavonoids, ascorbic acid, anthocyanin and antioxidant %) and minerals contents, of pomegranates fruits of the ‘Wonderful’ cultivar as a result of spraying pomegranate trees using nanomaterials (zinc oxide (ZnONPs) and boron oxide (B2O3NPs)). In three successive developmental stages (full bloom, 6 weeks after full bloom and one month before harvest time), the trees were sprayed with 0.25, 0.5 and 1 g/L ZnONPs, as well as 0.25, 0.5 and 1 g/L B2O3NPs during the 2021 and 2022 seasons. The application of ZnONPs and B2O3NPs influenced the qualitative characteristics of the fruits in the studied seasons. The highest marketable % was observed for the 0.50 and 1 g/L ZnONPs and 1 g/L B2O3NPs compared to the other treatments. Also, a positive effect was recorded for the ZnONPs and B2O3NPs on the fruits’ physical properties. All of the ZnONP and B2O3NP treatments resulted in increasing the total phenolic, flavonoid, anthocyanin and ascorbic acid contents and the antioxidant activity in the pomegranate juices. In conclusion, our results suggest that spraying pomegranate trees with ZnONPs and B2O3NPs improves the marketable fruit, enhances the fruit quality and increases the bioactive components and antioxidant activity.

1. Introduction

Pomegranate (Punica granatum L.) is a member of the family Punicaceae, and it is cultivated in subtropical and tropical regions [1]. Although there are more than 500 variations, juice manufacturing currently uses the cultivar ‘Wonderful’ [2], which arose as a crop in Florida and then spread to the state of California in 1896. The tree is strong and productive, while the fruit is round and flat in the poles, large in size, and dark in color, with a medium thick shell, and it has a deep juicy red pulp [3]. According to statistics, the total area cultivated with pomegranates in Egypt is 80,109 feddan [4]. The chemical composition of pomegranate fruit and juice is affected by the genetic and geographical origin, climatic conditions, maturity stage, agricultural practices, microbial load and the method of juice extraction [5].
Pomegranate fruit is known as a primary source of many essential components, such as polyphenols, flavonoids and anthocyanins macro and micronutrients. Several health benefits of fruits have already been proven, where recent studies have shown a decrease in erythropogenic levels in the serum of patients with type 2 diabetes, in blood pressure, in total and harmful cholesterol in diabetics patients, in muscle damage, in creatinine and insulin levels, in glucose and triglycerides in the blood in obesity people. It is also said to be a tonic for the heart and has been used in traditional medicine to treat sore throats, dysentery, epistaxis, hemorrhoids, intestinal parasites, diarrhea and vaginal itching [6,7,8,9,10,11]. The aqueous extract of pomegranate peels has shown the ability to inhibit coronavirus replication [11]. In addition to the above, its fruits are used to make a variety of food items, such as juices, charcuterie and dairy products. Pomegranate juice is gaining consumer attention because of it is distinct organoleptic properties resulting from its sugars and organic acids [12]. The growing demand for consumer favorite and health-promoting pomegranate products has prompted researchers to choose high-yielding pomegranate cultivars with organoleptic and physicochemical properties suitable for commercial processing [13,14].
Nanofertilizers (NFs) have great potential in increasing the efficiency of nutrients and reducing unfavorable environmental effects through the slow launch mechanism. Plants treated with NFs have the ability to combat environmental stress and sustain the quality of their fruit [15,16]. Zinc (Zn) is crucial for plant growth and development, and it is involved in a variety of physiological and enzymatic processes. It serves as an enzyme component, a catalyst or a structural cofactor in the synthesis of proteins, carbohydrates and nucleic acids, as well as energy production, macromolecule metabolism and chlorophyll biosynthesis. Moreover, it promotes radical growth, controls water uptake and transport, and shields plants from the harmful effects of heat, dehydration and salt stress. It is also required for the production of plant hormones, such as auxins and gibberellins [17,18]. Studies have shown that using ZnONPs improves the antioxidant function, seed germination, growth, yield and quality of tomato and cabbage crops [19,20]. Similarly, the addition of ZnONPs to cucumber plants showed that natural plants absorbed more ZnO from ZnONFs than their manufactured counterparts [21]. Boron (B) plays a significant role in the increase in the percentage of flowers, fruit set and yield, in addition to being directly responsible for the activation of dehydrogenase enzymes, nucleic acids, sugar translocation and plant hormones. Cell division, cell wall synthesis, membrane integrity, carbohydrate and phenolic metabolism and translocation to meristems are affected by boron [22,23]. Olive trees sprayed with boron and zinc nanofertilizers produced the most fruit with the highest seed oil content [24].
Because of the lack of studies on the application of boron and zinc oxide nanoparticles on pomegranate trees of the variety ‘Wonderful’ and, likewise, the effect of preharvest treatments at different phenological stages on the marketing value and fruit properties and their content from bioactive components, the purpose of this research, therefore, was to increase the marketable and competitive value of ‘Wonderful’ pomegranate fruits, improve the coloration of the peel and pulp and enhance the fruit’s physical properties (weight, diameter, length and firmness), the content of the bioactive components (total phenols, total flavonoids, ascorbic acid and anthocyanin), the antioxidant activity and the mineral contents using treatments of zinc oxide nanoparticles (ZnONPs) and boron oxide nanoparticles (B2O3NPs) under Egyptian conditions.

2. Materials and Methods

2.1. Chemicals

Boric acid, potassium hydroxide and zinc nitrate were obtained from Sigma-Aldrich, Taufkirchen, Germany. Other reagents and chemicals were purchased from Al-Nasr Company, Cairo, Egypt.

2.2. Plant Material and Field Conditions

This research was conducted over two consecutive seasons, 2021 and 2022, on 11-year-old ‘Wonderful’ trees in a private pomegranate grove located in the El-Bostan region (30°45′49.4″ N 30°18′24.9″ E), El-Behera Governorate, Egypt. The experimental trees (at a distance of 3 × 4 m) were similar and exposed to the same agricultural practices over three successive stages (full bloom stage, 6 weeks after full bloom stage and one month before harvest stage). The pomegranate trees were sprayed with 0.25, 0.5 and 1 g/L ZnONPs (T1, T2 and T3), as well as 0.25, 0.5 and 1 g/L B2O3NPs (T4, T5 and T6) and control (T0, trees sprayed with water only). The spraying was carried out using a 17 L back sprayer (Cifarelli 1200, Cifarelli S.p.A—Voghera, Italia) with an output of 5 L min−1. Seven liters of solutions were applied per tree treatment group, including a control containing 0.1% of Tween 20 as the spreading agent to better the sprays’ adherence to the plants’ foliage.

2.3. Synthesis of Nanoparticles

Zinc oxide nanoparticles (ZnONPs) were prepared as reported by Menazea et al. [25] with slight modification. Zinc nitrate (1 M) was mixed with potassium hydroxide in deionized water containing ethylene glycol (300 M.w) for 2 h for aging of the precipitate. The obtained supernatant liquid was carefully discarded. A white precipitate was separated by centrifugation (Centurion Scientific Ltd., C2 series, West Sussex, UK) for 15 min at 3000× g, and the residue was dried using a laboratory oven at 65 °C for 10 h. The produced particles were calcinated at 310 °C using a muffle furnace (Thermolyne MF-8020, Gilson Co., Inc., Lewis Center, Columbus, OH, USA).
To synthesize the boron oxide nanoparticles (B2O3NPs), boric acid was decomposed into metaboric acid (HBO2) at 170 °C; on continuous heating up to 300 °C, the metaboric acid was decomposed to form boron trioxide (B2O3). After the powder cooled, the B2O3 was pulverized to obtain B2O3NPs using a ball mill [24,25,26,27]. The sample was taken out after 2 h of milling, and it was characterized with transmission electron microscopy and X-ray diffraction.

2.4. Characterization of Nanoparticles

The size and shape of the produced nanoparticles were investigated using a JEM-2100 transmission electron microscope (TEM) at an acceleration voltage of 200 kV. The TEM images revealed that the prepared zinc oxide was at the nanoscale with an average size of 18.24 to 23.40 nm and had a spherical-like shape. On the other hand, the B2O3NPs were spherical in shape and ranged in size from 52 to 89 nm, as illustrated in Figure 1a,b.
X-ray diffraction (XRD) was performed with the PANalytical X’Pert Pro targeting Cu-Kα with secondary monochromator Holland radiation, and the tube was operating at 45 kV with a 0.1540 nm wavelength over a 2θ range of 5–80°. Figure 2a,b show the XRD patterns of the ZnONPs and B2O3NPs.

2.5. Analysis Methods

2.5.1. Marketable and Unmarketable %

The marketable and unmarketable fruits % were calculated as reported by Hegazi et al. [28], as follows:
Marketable fruits % = total number of fruits − (cracked + sunburned) × 100
Unmarketable % = (cracked + sunburned)/total number of fruits) × 100

2.5.2. Physical Characteristics of Fruits

The physical parameters of the pomegranate fruits were evaluated every season. The average weights of the fruits (20 fruits), peels and arils (g) were computed using an ordinary balance with a 0.01 g sensitivity (20 fruits). The diameter and length of the fruits (20 fruits) were measured using a digital caliper (DCLR-1205, Clockwise Tools Inc., Palo Alto, CA, USA), and the average (cm) was calculated. Meanwhile, the firmness of the fruits (20 fruits) was calculated and expressed in g/cm2 using a pressure tester (digital Force-Gouge ModelIGV-OSA to FGV-100A, Shimpo instruments, SHIMPO-Direct, Wilmington, NC, USA).

2.5.3. Physicochemical Characteristics of Arils

The pomegranate fruits were cleaned, divided into quarters with a stainless-steel knife and the edible part (arils) were manually separated. The juice was extracted using a kitchen juicer (Model MJW176P, Panasonic, Osaka, Japan) and then filtered with a muslin cloth. The following parameters were determined: arils/whole fruit (%), juice/whole fruit (%) and juice/arils (%). A Minolta Chroma Meter CR-400 (Osaka, Japan) was used to calculate the color hue angle (ho) values in order to determine the color of the arils. The hue angles (0 = red–purple, 90 = yellow, 180 = bluish–green and 270 = blue) were as defined by Fundo et al. [28].

2.5.4. Chemical Characteristics of Juice

The content of the ascorbic acid in the pomegranate juice was estimated using the direct titration method with 2.6 dichlorophenol indophenol, and the results are presented as mg/100 mL juice. The anthocyanin pigments were extracted with acidified methanol (0.1% hydrochloric acid, v/v) using the method of Holzwarth et al. [29]. The absorption was measured using a light spectrum scale at 535 nm, and the anthocyanins were measured as mentioned by Vargas et al. [30]. The total phenolics (TPC) were determined using the Folin–Ciocalteu method with slight modification [31]. Initially, 200 µL of juice was mixed with 800 µL (10%) and 2 mL (7.5%) sodium carbonate. The final amount of the mixture completed to 7 mL with ionic water; then, the mixture was incubated in the dark for 2 h. The absorption was measured at 765 nm using a PG Instrument T70 UV/Vis. The results are represented as mg gallic acid (GAE)/100 mL juice. For the flavonoids content (TFC), the method of Ramkissoon et al. [31] was used. Initially, 2.5 mL juice, 150 µL NaNO2 (5%), 150 µL AlCl3 (10%) and 1 mL NaOH (1M) were added to a test tube. Then, the tube’s mixture was completed with distilled water to 5 mL. The absorbance was measured spectrophotometrically at 510 nm. A standard quercetin (QU) curve was applied and is presented as mg of QU per 100 mL juice. The DPPH% was measured according to Gülçin et al. [32]. One milliliter of juice was mixed with four milliliters of 0.15 mM DPPH and then incubated for 1 h. The absorbance was read at 517 nm using a UV-Vis spectrophotometer. For the minerals content, the potassium (K), phosphorus (P), zinc (Zn) and boron (B) contents of the fresh juices were estimated. The juice samples were dissolved in a diacid mixture (H2SO4:HClO4, 3:1, v/v) according to the method defined by Bouhlali et al. [33]. The zinc and boron contents were determined using atomic absorption spectrometry (AAS, AA4000, Spectrum-SP, Darmstadt, Germany), potassium using a flame photometer (128, Systronics, Ahmedabad, India) and phosphorus with a UV-VIS spectrophotometer.

2.5.5. Statistical Analysis

A complete randomized block design was followed, and the analysis of variance (ANOVA) was performed using the ANOVA Co-statistical software package version 8 (COSTAS) program; the treatment means were compared with an LSD range test at the 5% level of probability according to Steel and Torrie [34].

3. Results

3.1. Marketable and Unmarketable %

As shown in Figure 3, all treatments significantly reduced the unmarketable % and increased the marketable % compared to the untreated sample (T0) during the 2021 and 2022 seasons. The highest unmarketable % was recorded for the control (T0) in both seasons. This was because of the height % of cracking and sunburn; therefore, it recorded the lowest marketable %. Meanwhile, the lowest unmarketable % was obtained from T3 followed by T2 and then T6 in the first and second seasons. A decrease in the unmarketable % may have been due to the role of ZnONPs and B2O3NPs in reducing the percentage of fruit cracking and sunburn.
A number of preharvest treatments can impact fruits’ attributes and quality [28]. Among these treatments, the correct nutrition with zinc and boron for fruit quality avoids cracking, because it reduces water absorption [35,36]. Lötze and Hoffman [37] reported that the foliar application of boron with calcium as a preharvest treatment significantly reduced the percent of sunburn in apple fruits. Also, it was found that zinc plays an important role in many biological systems, impacts on carbohydrate metabolism, and is a component of enzymes involved in photosynthesis and chlorophyll production [38]. In addition, Cronje et al. [39] found that the spraying of boric acid (0.4%) at pit hardening led to a significant reduction of cracking in litchi fruits. Furthermore, Fischer et al. [40] pointed out that the physiological role of boron is due to the synthesis of the pectic substance in plants.

3.2. Physical Characteristics of Fruits

The data in Figure 4 show that the spraying of ZnONPs and B2O3NPs significantly increased the fruits’ weight. Moreover, the application of the ZnONP (T3, T2 and T1) treatments had more of an effect on the fruits’ weight than the B2O3NP treatments (T4, T5 and T6). T3 and T2 recorded the highest significant weights; meanwhile, the control samples registered the lowest weights (361.31 and 372.65 g for the 2021 and 2022 seasons, respectively). As reported by Khan et al. [41], foliar sprays of BO3H3 and ZnSO4 increased fruit weight in mandarins. The firmness values ranged from 403.53 to 521.81 g/cm2 in the 2021 and from 413.53 to 540.45 g/cm2 in the 2022 seasons. The highest significant values were recorded for T6 and T3 for both seasons, while the lowest significant value was recorded for the control treatment. Also, the ZnONP and B2O3NP treatments significantly increased the fruit diameter and length compared to the control for both seasons. The ZnONPs at 1 g/L (T3) resulted in the highest significant values (9.23 and 8.93 cm for fruit diameter; 10.83 and 10.67 cm for fruit length), while the control exhibited the minimum values for diameter (7.37 and 7.17 cm) and length (7.8 and 8.07 cm) in the 2021 and 2022 seasons, respectively. Increases in fruit length and diameter have been attributed to the impact of zinc on the synthesis of tryptophan and auxin [42,43].
In general, the improvement in the fruits’ physical characteristics caused by the boron and zinc nanoparticles is in accordance with the findings for Zaghloul date palms by Roshdy and Refaai and for pomegranate by Amer et al. [44].

3.3. Physicochemical Characteristics of Arils

Regarding the color measurements, the colors of the arils are expressed using the hue angles, and a decrease in the hue angle values means an increase in the color values, as shown in Figure 5.
From Figure 5, all treatments showed a lower hue angle value compared to the control in the two studied seasons. The highest hue angle values were observed for the control (359.20 and 357.20 in the two seasons). However, the lowest values were recorded for the treatments with ZnONPs at 1 g/L (327.73 and 324) followed by B2O3NPs at 1 g/L (330.83 and 327.43). The outer color turned red because of the loss of chlorophyll pigments, as indicated by the decrease in the hue angle values [45].
According to the data on the aril weight (Figure 6), T3 and T6 in the two seasons recorded the highest significant values, closely followed by T2, T1 and T5 in the first season and T5 and T2 in the second. The aril weight is in agreement with findings by Tehranifar et al. [46] and Russo et al. [47]. The results show that all treatments with ZnONPs and B2O3NPs decreased the peel/whole fruit (%) compared to the control (42.01%), except for T6 which showed an increase (42.11%) in the 2021 season. In the 2022 season, the peel/whole fruit (%) showed an increase with T4, T5 and T6 (42.19, 42.22 and 43.90%). Nevertheless, the ZnONP treatments showed a decrease (41.44, 41.12 and 41.09%) in peel/whole fruit (%) compared to the control (41.88%).
One of the most important parameters from an industrial point of view is the juice yield, obtained from arils, which in this study was significantly affected by the different treatments’ concentrations. All treatments with ZnONPs and B2O3NPs led to an increase in the juice % per arils and whole fruit compared to the control. The lowest juice per arils % was recorded in the control treatment in the first and second seasons (54 and 55.33%, respectively); meanwhile, T1, T2 and T3 produced the highest % (62.91, 66.07 and 65.13% during the first season and 64.31, 66.79 and 66.38% during the 2022 season). Similarly, Labbé et al. [48] reported yields of pomegranate juice ranging between 50.1 and 62.6% (L juice kg−1 arils). In light of this, Khan et al. [41] observed that the foliar application of ZnSO4 and H3BO3 increased the juice % in mandarin fruit. This was ascribed to the involvement of Zn in the synthesis of tryptophan [42] thereby affecting cell elongation and division. As a consequence, we could observe significantly higher arils percentages in the treated fruits. The juice yield is influenced by the cultivar and extraction method, with blender extraction generally yielding more juice compared to mechanical pressing [49].

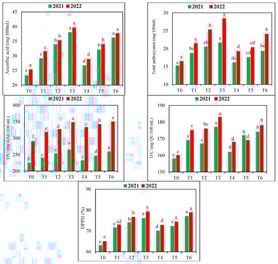
3.4. Phytochemicals Properties of Pomegranate Juice

All of the phytochemical properties of the pomegranate fruit were significantly affected by the diverse treatments. The determination of the ascorbic acid content is very crucial to evaluate the final juice quality and detect any damage caused by the different processing steps [13]. From the results, there were significant differences among the treatments during the 2021 and 2022 seasons (Figure 7). The ascorbic acid content ranged from 23.23 to 38 mg/100 mL juice in the first season and from 25.32 to 39.58 mg/100 mL in the second season. The ZnONPs at 1 g/L (T3) recorded the highest content of ascorbic acid (38 and 39.58 mg/100 mL during the 2021 and 2022 seasons). Meanwhile, the control (T0) recorded the lowest ascorbic acid content (23.23 and 25.32 mg/100 mL) for both seasons.
One of the most important quality properties of pomegranate fruits is the color of the seeds and juice, which is affected by the anthocyanin concentration. A significant improvement was observed in the anthocyanin concentration for juices upon sprayings of ZnONPs and B2O3NPs (Figure 7). The anthocyanin content grew upon an increase in the concentration of ZnONPs and B2O3NPs, resulting in a significant value of anthocyanin. Also, the effect of the ZnONPs on the anthocyanin concentration was much more pronounced than that of the B2O3NPs. These findings are in agreement with those of Song et al. [50], who noticed an improved accumulation of anthocyanin in berries upon the foliar application of zinc fertilizer. The lowest value of anthocyanin was recorded for the control treatment in the 2021 and 2022 seasons (15.20 and 16.49 mg/100 mL), so its juice had the lowest value with a reddish color. On the other hand, the highest significant values for anthocyanin content were obtained from T3 closely followed by T2 (21.63 and 20.50 mg/100 mL in the 2021 season and 28.38 and 25.29 mg/100 mL in the 2022 season). This may be attributed to the improved photosynthesis and accumulation of sugar resulting from sprayings of zinc, which could possibly increase the biosynthesis of phenolic components, particularly flavonoids [51]. Also, the known function of boron in phenolic compounds’ metabolism [52] has been confirmed in olive trees [53], and these flavanols are some of the intermediate products of the anthocyanin biosynthetic pathway. Therefore, the greater number of flavanols that transform into anthocyanidins might have caused the higher anthocyanin concentration in the fruits treated with zinc fertilizer. Our results are confirmed by Song et al. [50], who also observed an increased accumulation of total phenols and anthocyanin in berries upon the foliar application of zinc fertilizer.
The results in Figure 7 show that the contents of the total phenolics (TPC) in the pomegranate juices ranged from 225 to 265 and 290 to 350 mg GAE/100 mL, respectively, in the first and second seasons. Also, T3 and T6 displayed higher significant amounts of TPC (265 and 259 mg GAE/100 mL in the first season; 350 and 348 mg GAE/100 mL in the second season). On the other hand, the control treatment (T0) had the lowest TPC during both seasons (225 and 290 mg GAE/100 mL). These results agree with Russo et al. [47], Arendse et al. [54], and Elfazazi et al. [55]; they found that the TPC ranged from 130 to 480 mg GAE/100 mL juice. Also, many studies observed a positive influence of zinc and boron on the phenolic content. For instance, foliar sprays with zinc and boron increased the phenolic compounds for olive [56] and for grape [50]. Our results indicate that pomegranate juice displayed the highest TPC. Song et al. [52] indicate that the increase was due to an increased expression of the genes responsible for phenolic compound biosynthesis. Also, the known role of boron in the metabolism of phenolic components [52] has been confirmed in olive trees [53].
The same trend in the total phenolic content was noticed in the total flavonoid content (TFC), where the control treatment (T0) recorded the lowest flavonoid content (158 and 160 mg QU/100 mL) in both seasons in comparison to the other treatments, which ranged from 162 to 177 mg QU/100 mL in the first season and from 168 to 183 mg QU/100mL in the second season (Figure 7). This range is smaller than that reported by Fernandes et al. [57] (20.8 to 189.4 mg QE/100 mL juice); meanwhile, it is higher than that reported by Orak et al. [58], who obtained values between 38.78 and 45.50 mg QE/100 mL for Turkish pomegranates. The T3 and T6 treatments recorded the heaviest flavonoid content for both seasons.
The antioxidant component is considered one of the most important nutritional parameters of pomegranate juice, which is attributed to its high contents and composition of anthocyanin, phenolic acids and ascorbic acid, either alone or in combination [59]. Figure 6 shows the percentage of antioxidants with a significant difference (p < 0.05) among the control, ZnONP and B2O3NP treatments in both seasons. In addition, it was noticed that the control treatments (T0) had the lowest antioxidant activities (63 and 65%). In addition, the treatments with ZnONPs and B2O3NPs had the highest values (70 to 77% and 72.8% to 79.12%). As reported by Singh et al. [19], the application of ZnONPs led to improved antioxidants in cabbage and tomato crops. Also, boron and zinc contribute to the contents of antioxidant compounds, as well as their amounts in kernels [60]. The anthocyanin content and antioxidant capacity may vary among fruits of similar types due to different internal and external factors, such as genetic and agronomic factors, light intensity, temperature, processing method and storage conditions [57,61].

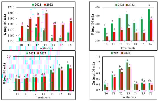
3.5. Mineral Contents

The potassium, phosphorus, zinc and boron contents were measured in the pomegranate juices, as they are presented in Figure 8. From the results, the determined minerals in the pomegranate juices can be arranged in the following order: potassium > phosphorus > boron > zinc.
Regarding the potassium concentrations, it is clear that most treatments significantly increased the juices’ percentage of potassium compared to the control in both seasons. Where the ZnONPs (T1, T2 and T3) and B2O3NPs at 1 g/L (T6) had the highest potassium values (1171, 1174, 1169 and 1165 mg/100 mL in the first season) and (1189, 1193, 1199 and 1185 mg/100 mL in the second season), respectively. On the contrary, the B2O3NPs at 0.25 and 0.5 g/L and the control recorded the minimum potassium concentrations in the first and second seasons. Concerning the phosphorus concentrations in the juices, the results show that the ZnONP and B2O3NP treatments (T1 to T6) exhibited the maximum phosphorus concentrations in the juices in both seasons. Meanwhile, the control treatment (T0) recorded the lowest concentrations (401 mg/100 mL in the first season and 380 mg/100 mL in the second season).
Also, Figure 8 shows that the B2O3NPs (T4, T5 and T6) produced the highest significant values for boron (1.92, 2.01 and 2.15 mg/100 mL in the 2021 season and 1.79, 1.88 and 1.97 mg/100 mL in the 2022 season) compared to the ZnONPs and the control. On the contrary, the lowest boron concentrations were detected in the control sample for both seasons (1.53 and 1.49 mg/100 mL). When compared to the control, the ZnONP treatments (T1, T2 and T3) exhibited the highest values for zinc in both seasons. The ZnONPs at 1g/L (T3) recorded the highest zinc concentrations (1.19 and 1.03 mg/100 mL in 2021 and 2022, respectively). Contrarily, the control group had the lowest contents (0.40 mg/100 mL in the first season and 0.32 mg/100 mL in the second season). The foliar applications with Zn and B had the highest Zn and B concentrations in the pomegranate fruits. These results are in accordance with earlier studies that showed significant increases in leaf and fruit micronutrient contents in apple and olive trees upon foliar spraying of micronutrient fertilizers [62,63]. The higher concentrations of K, P, Zn and B in fruits correspond to their elevated concentration in leaves arising from the foliar application of Zn and B fertilizers. Therefore, these results infer that micronutrients were possibly transported in the phloem to other locations with high metabolic activities for any reason [62]. This increased concentration of micronutrients in fruit after foliar sprays of Zn and B is very much desirable owing to the widespread deficiency of micronutrients in the food hierarchy Ros [64]. Numerous studies have shown that the primary minerals present in pomegranate juice include potassium, phosphorous, magnesium, calcium, iron, zinc and manganese, in approximately decreasing order. These concentration ranges are largely influenced by genotype and maturation stage in addition to pedological, climatic and agricultural factors [65,66].

4. Conclusions

According to the overall data presented above, it can be proved that pomegranate fruits are a rich source of bioactive components (ascorbic acid, anthocyanin, total phenolic, total flavonoids and minerals) and antioxidants capacity. High levels (0.5 and 1 g/L) of zinc oxide (ZnONPs) and boron oxide (B2O3NPs) nanoparticles resulted in the maximum significant values of productivity and fruit quality for the ‘Wonderful’ pomegranate. On the other hand, the control treatment (i.e., untreated trees) had the least significant values for productivity and fruit quality. It can be recommended that by spraying pomegranate trees with ZnONPs and B2O3NPs in three successive developmental stages (full bloom, 6 weeks after full bloom and one month before harvest), this will promote and increase the productivity, marketable fruit percent and fruit quality.

Author Contributions

Conceptualization, A.E.-w.N.A.E.-w. and I.A.E.; methodology, A.E.-w.N.A.E.-w., I.A.E. and I.M.T.; software, I.M.T.; validation, I.M.T. and I.A.E.; formal analysis, A.E.-w.N.A.E.-w.; investigation, A.E.-w.N.A.E.-w. and A.E.H.; resources, I.A.E. and A.E.-w.N.A.E.-w.; data curation, A.E.H.; writing—original draft preparation, A.E.-w.N.A.E.-w. and I.A.E.; writing—review and editing, A.E.-w.N.A.E.-w., I.M.T. and M.H.F.; visualization, H.F.A.-A.; supervision, A.E.H.; project administration, A.M.A.-S.; funding acquisition, A.M.A.-S. All authors have read and agreed to the published version of the manuscript.

Funding

This research was funded by the Researchers Supporting Project, number: RSP2023R334, King Saud University, Riyadh, Saudi Arabia.

Data Availability Statement

Not applicable.

Acknowledgments

This research was supported by the Researchers Supporting Project, number: RSP2023R334, King Saud University, Riyadh, Saudi Arabia.

Conflicts of Interest

The authors declare no conflict of interest.

References

  1. Naser, A.; Abd-Alrazik, A.M.A.M.; Khalifa, S.M. Effect of Some Nutrients on Growth, Yield and Fruit Quality of “Wonderful” Cultivar Pomegranate. Al-Azhar J. Agric. Res. 2021, 46, 1–15. [Google Scholar] [CrossRef]
  2. Mathon, C.; Chater, J.M.; Green, A.; Merhaut, D.J.; Mauk, P.A.; Preece, J.E.; Larive, C.K. Quantification of Punicalagins in Commercial Preparations and Pomegranate Cultivars, by Liquid Chromatography–Mass Spectrometry. J. Sci. Food Agric. 2019, 99, 4036–4042. [Google Scholar] [CrossRef]
  3. Mohseni, A. The Situation of Pomegranate Orchards in Iran. Acta Hortic. 2009, 818, 35–42. [Google Scholar] [CrossRef]
  4. FAO. World Food and Agriculture—Statistical Yearbook 2020; FAO: Rome, Italy, 2020; ISBN 978-92-5-133394-5. [Google Scholar]
  5. Putnik, P.; Kresoja, Ž.; Bosiljkov, T.; Režek Jambrak, A.; Barba, F.J.; Lorenzo, J.M.; Roohinejad, S.; Granato, D.; Žuntar, I.; Bursać Kovačević, D. Comparing the Effects of Thermal and Non-Thermal Technologies on Pomegranate Juice Quality: A Review. Food Chem. 2019, 279, 150–161. [Google Scholar] [CrossRef]
  6. Banihani, S.A.; Shuaibu, S.M.; Al-Husein, B.A.; Makahleh, S.S. Fresh Pomegranate Juice Decreases Fasting Serum Erythropoietin in Patients with Type 2 Diabetes. Int. J. Food Sci. 2019, 2019, 1269341. [Google Scholar] [CrossRef]
  7. Sohrab, G.; Roshan, H.; Ebrahimof, S.; Nikpayam, O.; Sotoudeh, G.; Siasi, F. Effects of Pomegranate Juice Consumption on Blood Pressure and Lipid Profile in Patients with Type 2 Diabetes: A Single-Blind Randomized Clinical Trial. Clin. Nutr. ESPEN 2019, 29, 30–35. [Google Scholar] [CrossRef]
  8. Achraf, A.; Hamdi, C.; Turki, M.; Abdelkarim, O.; Ayadi, F.; Hoekelmann, A.; Yaich, S.; Souissi, N. Natural Pomegranate Juice Reduces Inflammation, Muscle Damage and Increase Platelets Blood Levels in Active Healthy Tunisian Aged Men. Alex. J. Med. 2018, 54, 45–48. [Google Scholar] [CrossRef]
  9. Kandylis, P.; Kokkinomagoulos, E. Food Applications and Potential Health Benefits of Pomegranate and Its Derivatives. Foods 2020, 9, 122. [Google Scholar] [CrossRef]
  10. Shokri Heydari, H.; Askari Sarcheshmeh, M.A.; Babalar, M.; Ranjbar Malidarreh, T.; Ahmadi, A. Effect of Pre-Harvest Salicylic Acid and Iron Treatments on Postharvest Quality of Peach Fruits. Int. J. Hortic. Sci. Technol. 2020, 7, 187–198. [Google Scholar] [CrossRef]
  11. Mosa, A.F.; Mohamed, M.A.E. Potential Effect of Pomegranate Peels Extract (Punica granatum) against COVID-19 Virus. Res. Sq. 2021, preprint. [Google Scholar] [CrossRef]
  12. Calín-Sánchez, Á.; Martínez, J.J.; Vázquez-Araújo, L.; Burló, F.; Melgarejo, P.; Carbonell-Barrachina, Á.A. Volatile Composition and Sensory Quality of Spanish Pomegranates (Punica granatum L.): Volatile Composition of Spanish Pomegranates. J. Sci. Food Agric. 2011, 91, 586–592. [Google Scholar] [CrossRef] [PubMed]
  13. Mena, P.; Galindo, A.; Collado-González, J.; Ondoño, S.; García-Viguera, C.; Ferreres, F.; Torrecillas, A.; Gil-Izquierdo, A. Sustained Deficit Irrigation Affects the Colour and Phytochemical Characteristics of Pomegranate Juice: Sustained Deficit Irrigation Affects Phenolics and Colour of Pomegranate Juice. J. Sci. Food Agric. 2013, 93, 1922–1927. [Google Scholar] [CrossRef]
  14. Todaro, A.; Cavallaro, R.; Malfa, S.L.; Continella, A.; Gentile, A.; Fischer, U.A.; Carle, R.; Spagna, G. Anthocyanin Profile and Antioxidant Activity of Freshly Squeezed Pomegranate (Punica granatum L.) Juices of Sicilian and Spanish Provenances. Ital. J. Food Sci. 2016, 28, 464–479. [Google Scholar]
  15. Kopittke, P.M.; Lombi, E.; Wang, P.; Schjoerring, J.K.; Husted, S. Nanomaterials as Fertilizers for Improving Plant Mineral Nutrition and Environmental Outcomes. Environ. Sci. Nano 2019, 6, 3513–3524. [Google Scholar] [CrossRef]
  16. Zahedi, S.M.; Abdelrahman, M.; Hosseini, M.S.; Hoveizeh, N.F.; Tran, L.-S.P. Alleviation of the Effect of Salinity on Growth and Yield of Strawberry by Foliar Spray of Selenium-Nanoparticles. Environ. Pollut. 2019, 253, 246–258. [Google Scholar] [CrossRef]
  17. Eisvand, H.R.; Kamaei, H.; Nazarian, F. Chlorophyll Fluorescence, Yield and Yield Components of Bread Wheat Affected by Phosphate Bio-Fertilizer, Zinc and Boron under Late-Season Heat Stress. Photosynthetica 2018, 56, 1287–1296. [Google Scholar] [CrossRef]
  18. Szőllősi, R.; Molnár, Á.; Kondak, S.; Kolbert, Z. Dual Effect of Nanomaterials on Germination and Seedling Growth: Stimulation vs. Phytotoxicity. Plants 2020, 9, 1745. [Google Scholar] [CrossRef]
  19. Singh, N.B.; Amist, N.; Yadav, K.; Singh, D.; Pandey, J.K.; Singh, S.C. Zinc Oxide Nanoparticles as Fertilizer for the Germination, Growth and Metabolism of Vegetable Crops. J. Nanoeng. Nanomanuf. 2013, 3, 353–364. [Google Scholar] [CrossRef]
  20. Monreal, C.M.; DeRosa, M.; Mallubhotla, S.C.; Bindraban, P.S.; Dimkpa, C. Nanotechnologies for Increasing the Crop Use Efficiency of Fertilizer-Micronutrients. Biol. Fertil. Soils 2016, 52, 423–437. [Google Scholar] [CrossRef]
  21. Moghaddasi, S.; Fotovat, A.; Khoshgoftarmanesh, A.H.; Karimzadeh, F.; Khazaei, H.R.; Khorassani, R. Bioavailability of Coated and Uncoated ZnO Nanoparticles to Cucumber in Soil with or without Organic Matter. Ecotoxicol. Environ. Saf. 2017, 144, 543–551. [Google Scholar] [CrossRef]
  22. Davarpanah, S.; Tehranifar, A.; Davarynejad, G.; Abadía, J.; Khorasani, R. Effects of Foliar Applications of Zinc and Boron Nano-Fertilizers on Pomegranate (Punica granatum cv. Ardestani) Fruit Yield and Quality. Sci. Hortic. 2016, 210, 57–64. [Google Scholar] [CrossRef]
  23. García-Sánchez, F.; Simón-Grao, S.; Martínez-Nicolás, J.J.; Alfosea-Simón, M.; Liu, C.; Chatzissavvidis, C.; Pérez-Pérez, J.G.; Cámara-Zapata, J.M. Multiple Stresses Occurring with Boron Toxicity and Deficiency in Plants. J. Hazard. Mater. 2020, 397, 122713. [Google Scholar] [CrossRef]
  24. Genaidy, E.A.E.; Abd-Alhamid, N.; Hassan, H.S.A.; Hassan, A.M.; Hagagg, L.F. Effect of Foliar Application of Boron Trioxide and Zinc Oxide Nanoparticles on Leaves Chemical Composition, Yield and Fruit Quality of Olea europaea L. cv. Picual. Bull. Natl. Res. Cent. 2020, 44, 106. [Google Scholar] [CrossRef]
  25. Menazea, A.A.; Ismail, A.M.; Samy, A. Novel Green Synthesis of Zinc Oxide Nanoparticles Using Orange Waste and Its Thermal and Antibacterial Activity. J. Inorg. Organomet. Polym. 2021, 31, 4250–4259. [Google Scholar] [CrossRef]
  26. Alizadeh, M.; Singh, S.K.; Patel, V.B.; Bhattacharya, R.C.; Yadav, B.P. In Vitro Responses of Grape Rootstocks to NaCl. Biol. Plant 2010, 54, 381–385. [Google Scholar] [CrossRef]
  27. Hegazi, A.; Samra, N.; El-Baz, E.; Khalil, B.; Gawish, M. Improving fruit quality of manfaloty and wonderfull pomegranates by using bagging and some spray treatments with gibberellic acid, calcium chloride and kaolin. J. Plant Prod. 2014, 5, 779–792. [Google Scholar] [CrossRef]
  28. Fundo, J.F.; Miller, F.A.; Mandro, G.F.; Tremarin, A.; Brandão, T.R.S.; Silva, C.L.M. UV-C Light Processing of Cantaloupe Melon Juice: Evaluation of the Impact on Microbiological, and Some Quality Characteristics, during Refrigerated Storage. Lebensm.-Wiss. Technol. 2019, 103, 247–252. [Google Scholar] [CrossRef]
  29. Holzwarth, M.; Korhummel, S.; Carle, R.; Kammerer, D.R. Impact of Enzymatic Mash Maceration and Storage on Anthocyanin and Color Retention of Pasteurized Strawberry Purées. Eur. Food Res. Technol. 2012, 234, 207–222. [Google Scholar] [CrossRef]
  30. Vargas, M.; Albors, A.; Chiralt, A.; González-Martínez, C. Quality of Cold-Stored Strawberries as Affected by Chitosan–Oleic Acid Edible Coatings. Postharvest Biol. Technol. 2006, 41, 164–171. [Google Scholar] [CrossRef]
  31. Nuncio-Jáuregui, N.; Munera-Picazo, S.; Calín-Sánchez, Á.; Wojdyło, A.; Hernández, F.; Carbonell-Barrachina, Á.A. Bioactive Compound Composition of Pomegranate Fruits Removed during Thinning. J. Food Compos. Anal. 2015, 37, 11–19. [Google Scholar] [CrossRef]
  32. Göçer, H.; Gülçin, İ. Caffeic Acid Phenethyl Ester (CAPE): Correlation of Structure and Antioxidant Properties. Int. J. Food Sci. Nutr. 2011, 62, 821–825. [Google Scholar] [CrossRef]
  33. Bouhlali, E.D.T.; Derouich, M.; Meziani, R.; Bourkhis, B.; Filali-Zegzouti, Y.; Alem, C. Nutritional, Mineral and Organic Acid Composition of Syrups Produced from Six Moroccan Date Fruit (Phoenix dactylifera L.) Varieties. J. Food Compos. Anal. 2020, 93, 103591. [Google Scholar] [CrossRef]
  34. Steel, R.G.D.; Torrie, J.H.; Dickey, D.A. Principles and Procedures of Statistics: A Biometrical Approach, 3rd ed.; McGraw-Hill Series in Probability and Statistics; McGraw-Hill: New York, NY, USA, 1997; ISBN 978-0-07-061028-6. [Google Scholar]
  35. Blevins, D.G.; Lukaszewski, K.M. Boron in plant structure and function. Annu. Rev. Plant. Physiol. Plant. Mol. Biol. 1998, 49, 481–500. [Google Scholar] [CrossRef]
  36. Liao, L.; Li, S.; Li, Y.; Huang, Z.; Li, J.; Xiong, B.; Zhang, M.; Sun, G.; Wang, Z. Pre- or Post-Harvest Treatment with MeJA Improves Post-Harvest Storage of Lemon Fruit by Stimulating the Antioxidant System and Alleviating Chilling Injury. Plants 2022, 11, 2840. [Google Scholar] [CrossRef] [PubMed]
  37. Lötze, E.; Hoffman, E.W. Foliar Application of Calcium plus Boron Reduces the Incidence of Sunburn in ‘Golden Delicious’ Apple. J. Hortic. Sci. Biotechnol. 2014, 89, 607–612. [Google Scholar] [CrossRef]
  38. Fariduddin, Q.; Saleem, M.; Khan, T.A.; Hayat, S. Zinc as a Versatile Element in Plants: An Overview on Its Uptake, Translocation, Assimilatory Roles, Deficiency and Toxicity Symptoms. In Microbial Biofertilizers and Micronutrient Availability; Khan, S.T., Malik, A., Eds.; Springer International Publishing: Cham, Switzerland, 2022; pp. 137–158. ISBN 978-3-030-76608-5. [Google Scholar]
  39. Cronje, R.B.; Sivakumar, D.; Mostert, P.G.; Korsten, L. Effect of Different Preharvest Treatment Regimes on Fruit Quality of Litchi Cultivar ‘Maritius’. J. Plant Nutr. 2009, 32, 19–29. [Google Scholar] [CrossRef]
  40. Fischer, G.; Balaguera-López, H.E.; Álvarez-Herrera, J. Causes of Fruit Cracking in the Era of Climate Change. A Review. Agron. Colomb. 2021, 39, 196–207. [Google Scholar] [CrossRef]
  41. Khan, A.S.; Ullah, W.; Malik, A.U.; Ahmad, R.; Saleem, B.A.; Rajwana, I.A. Exogenous Applications of Boron and Zinc Influence Leaf Nutrient Status, Tree Growth and Fruit Quality of Feutrell’s Early (Citrus reticulata Blanco). Pak. J. Agric. Sci. 2012, 49, 113–119. [Google Scholar]
  42. Sahota, G.S.; Arora, J.S. Effect of N and Zn on ‘Hamlin’ Sweet Orange (Citrus sinensis Osbeck). J. Jpn. Soc. Hortic. Sci. 1981, 50, 281–286. [Google Scholar] [CrossRef][Green Version]
  43. Bottcher, C.; Keyzers, R.A.; Boss, P.K.; Davies, C. Sequestration of Auxin by the Indole-3-Acetic Acid-Amido Synthetase GH3-1 in Grape Berry (Vitis vinifera L.) and the Proposed Role of Auxin Conjugation during Ripening. J. Exp. Bot. 2010, 61, 3615–3625. [Google Scholar] [CrossRef]
  44. Amer, R.; Abdelghany, N.; Haggag, L.; Mansour, N.; Korayem, A. Efficacy of Zinc Foliar Application from Different Sources on Productivity and Fruit Quality of Wonderful Pomegranate Trees. Arab. Univ. J. Agric. Sci. 2020, 28, 275–291. [Google Scholar] [CrossRef]
  45. McGuire, R.G. Reporting of Objective Color Measurements. HortScience 1992, 27, 1254–1255. [Google Scholar] [CrossRef]
  46. Tehranifar, A.; Zarei, M.; Nemati, Z.; Esfandiyari, B.; Vazifeshenas, M.R. Investigation of Physico-Chemical Properties and Antioxidant Activity of Twenty Iranian Pomegranate (Punica granatum L.) Cultivars. Sci. Hortic. 2010, 126, 180–185. [Google Scholar] [CrossRef]
  47. Russo, M.; Fanali, C.; Tripodo, G.; Dugo, P.; Muleo, R.; Dugo, L.; De Gara, L.; Mondello, L. Analysis of Phenolic Compounds in Different Parts of Pomegranate (Punica granatum) Fruit by HPLC-PDA-ESI/MS and Evaluation of Their Antioxidant Activity: Application to Different Italian Varieties. Anal. Bioanal. Chem. 2018, 410, 3507–3520. [Google Scholar] [CrossRef]
  48. Labbé, M.; Ulloa, P.A.; López, F.; Sáenz, C.; Peña, Á.; Salazar, F.N. Characterization of Chemical Compositions and Bioactive Compounds in Juices from Pomegranates (Wonderful, Chaca and Codpa) at Different Maturity Stages. Chil. J. Agric. Res. 2016, 76, 479–486. [Google Scholar] [CrossRef][Green Version]
  49. Radunić, M.; Jukić Špika, M.; Goreta Ban, S.; Gadže, J.; Díaz-Pérez, J.C.; MacLean, D. Physical and Chemical Properties of Pomegranate Fruit Accessions from Croatia. Food Chem. 2015, 177, 53–60. [Google Scholar] [CrossRef]
  50. Song, C.-Z.; Liu, M.-Y.; Meng, J.-F.; Chi, M.; Xi, Z.-M.; Zhang, Z.-W. Promoting Effect of Foliage Sprayed Zinc Sulfate on Accumulation of Sugar and Phenolics in Berries of Vitis Vinifera Cv. Merlot Growing on Zinc Deficient Soil. Molecules 2015, 20, 2536–2554. [Google Scholar] [CrossRef]
  51. Horacio, P.; Martinez-Noel, G. Sucrose Signaling in Plants: A World yet to Be Explored. Plant Signal. Behav. 2013, 8, e23316. [Google Scholar] [CrossRef]
  52. Dear, J.; Aronoff, S. Relative Kinetics of Chlorogenic and Caffeic Acids During the Onset of Boron Deficiency in Sunflower. Plant Physiol. 1965, 40, 458–459. [Google Scholar] [CrossRef]
  53. Liakopoulos, G.; Karabourniotis, G. Boron Deficiency and Concentrations and Composition of Phenolic Compounds in Olea Europaea Leaves: A Combined Growth Chamber and Field Study. Tree Physiol. 2005, 25, 307–315. [Google Scholar] [CrossRef]
  54. Arendse, E.; Nieuwoudt, H.; Fawole, O.A.; Opara, U.L. Effect of Different Extraction Methods on the Quality and Biochemical Attributes of Pomegranate Juice and the Application of Fourier Transformed Infrared Spectroscopy in Discriminating Between Different Extraction Methods. Front. Plant Sci. 2021, 12, 702575. [Google Scholar] [CrossRef] [PubMed]
  55. Elfazazi, K.; Chafki, L.; Elkettabi, Z.; Noutfia, Y.; Charafi, J.; Fakhour, S. Quality Attributes, Chemical Properties, and Selected Bioactive Compounds of Pomegranate Juice (Punica granatum L.) Processed from Arils after Freezing Storage. Afr. Mediterr. Agric. J. Al Awamia 2022, 4, 236–255. [Google Scholar] [CrossRef]
  56. Saadati, S.; Moallemi, N.; Mortazavi, S.M.H.; Seyyednejad, S.M. Effects of Zinc and Boron Foliar Application on Soluble Carbohydrate and Oil Contents of Three Olive Cultivars during Fruit Ripening. Sci. Hortic. 2013, 164, 30–34. [Google Scholar] [CrossRef]
  57. Fernandes, L.; Pereira, J.A.; Lopéz-Cortés, I.; Salazar, D.M.; González-Álvarez, J.; Ramalhosa, E. Physicochemical Composition and Antioxidant Activity of Several Pomegranate (Punica granatum L.) Cultivars Grown in Spain. Eur. Food Res. Technol. 2017, 243, 1799–1814. [Google Scholar] [CrossRef]
  58. Orak, H.H.; Yagar, H.; Isbilir, S.S. Comparison of Antioxidant Activities of Juice, Peel, and Seed of Pomegranate (Punica granatum L.) and Inter-Relationships with Total Phenolic, Tannin, Anthocyanin, and Flavonoid Contents. Food Sci. Biotechnol. 2012, 21, 373–387. [Google Scholar] [CrossRef]
  59. Hmid, I.; Elothmani, D.; Hanine, H.; Oukabli, A.; Mehinagic, E. Comparative Study of Phenolic Compounds and Their Antioxidant Attributes of Eighteen Pomegranate (Punica granatum L.) Cultivars Grown in Morocco. Arab. J. Chem. 2017, 10, S2675–S2684. [Google Scholar] [CrossRef]
  60. Özenç, N.; Bender Özenç, D.; Duyar, Ö. Nutritional Composition of Hazelnut (Corylus avellana L.) as Influenced by Basic Fertilization. Acta Agric. Scand. Sect. B Soil Plant Sci. 2014, 64, 710–721. [Google Scholar] [CrossRef]
  61. Zaouay, F.; Mena, P.; Garcia-Viguera, C.; Mars, M. Antioxidant Activity and Physico-Chemical Properties of Tunisian Grown Pomegranate (Punica granatum L.) Cultivars. Ind. Crops Prod. 2012, 40, 81–89. [Google Scholar] [CrossRef]
  62. Kurešová, G.; Neumannová, A.; Svoboda, P. Absorption of Foliar Applied Micronutrients by Apple Leaves. Acta Hortic. 2018, 1217, 82–88. [Google Scholar] [CrossRef]
  63. Başar, H.; Gürel, S. The Influence of Zn, Fe and B Applications on Leaf and Fruit Absorption of Table Olive “Gemlik” Based on Phonological Stages. Sci. Hortic. 2016, 198, 336–343. [Google Scholar] [CrossRef]
  64. Ros, G.H.; Van Rotterdam, A.M.D.; Bussink, D.W.; Bindraban, P.S. Selenium Fertilization Strategies for Bio-Fortification of Food: An Agro-Ecosystem Approach. Plant Soil 2016, 404, 99–112. [Google Scholar] [CrossRef]
  65. Topalović, A.; Knežević, M.; Gačnik, S.; Mikulic-Petkovsek, M. Detailed Chemical Composition of Juice from Autochthonous Pomegranate Genotypes (Punica granatum L.) Grown in Different Locations in Montenegro. Food Chem. 2020, 330, 127261. [Google Scholar] [CrossRef] [PubMed]
  66. Montefusco, A.; Durante, M.; Migoni, D.; De Caroli, M.; Ilahy, R.; Pék, Z.; Helyes, L.; Fanizzi, F.P.; Mita, G.; Piro, G.; et al. Analysis of the Phytochemical Composition of Pomegranate Fruit Juices, Peels and Kernels: A Comparative Study on Four Cultivars Grown in Southern Italy. Plants 2021, 10, 2521. [Google Scholar] [CrossRef] [PubMed]
Figure 1. TEM images of (a) ZnONPs and (b) B2O3NPs.
Figure 1. TEM images of (a) ZnONPs and (b) B2O3NPs.
Agronomy 13 02305 g001
Figure 2. XRD patterns of the (a) ZnONPs and (b) B2O3NPs.
Figure 2. XRD patterns of the (a) ZnONPs and (b) B2O3NPs.
Agronomy 13 02305 g002
Figure 3. Effect of foliar spraying with ZnONPs and B2O3NPs on the marketable and unmarketable (%) of pomegranate fruits during the 2021 and 2022 seasons. T0: control; T1, T2 and T3: treatments with ZnONPs at 0.25, 0.5 and 1 g/L; T4, T5 and T6: treatments with B2O3NPs at 0.25, 0.5 and 1 g/L, respectively. Different letters in the same season are significantly different (p < 0.05).
Figure 3. Effect of foliar spraying with ZnONPs and B2O3NPs on the marketable and unmarketable (%) of pomegranate fruits during the 2021 and 2022 seasons. T0: control; T1, T2 and T3: treatments with ZnONPs at 0.25, 0.5 and 1 g/L; T4, T5 and T6: treatments with B2O3NPs at 0.25, 0.5 and 1 g/L, respectively. Different letters in the same season are significantly different (p < 0.05).
Agronomy 13 02305 g003
Figure 4. Effect of foliar spraying with ZnONPs and B2O3NPs on the fruit physical properties (weight, firmness, diameter and length) of pomegranate during the 2021 and 2022 seasons. T0: control; T1, T2 and T3: treatments with ZnONPs at 0.25, 0.5 and 1 g/L; T4, T5 and T6: treatments with B2O3NPs at 0.25, 0.5 and 1 g/L, respectively. Different letters in the same season are significantly different (p < 0.05).
Figure 4. Effect of foliar spraying with ZnONPs and B2O3NPs on the fruit physical properties (weight, firmness, diameter and length) of pomegranate during the 2021 and 2022 seasons. T0: control; T1, T2 and T3: treatments with ZnONPs at 0.25, 0.5 and 1 g/L; T4, T5 and T6: treatments with B2O3NPs at 0.25, 0.5 and 1 g/L, respectively. Different letters in the same season are significantly different (p < 0.05).
Agronomy 13 02305 g004
Figure 5. Effect of foliar spraying with ZnONPs and B2O3NPs on the color (hue angle) of the arils of pomegranate during the 2021 and 2022 seasons. Different letters in the same season are significantly different (p < 0.05).
Figure 5. Effect of foliar spraying with ZnONPs and B2O3NPs on the color (hue angle) of the arils of pomegranate during the 2021 and 2022 seasons. Different letters in the same season are significantly different (p < 0.05).
Agronomy 13 02305 g005
Figure 6. Effect of foliar spraying with ZnONPs and B2O3NPs on the physical properties of the edible portion of pomegranate in the 2021 and 2022 seasons. Different letters in the same season are significantly different (p < 0.05).
Figure 6. Effect of foliar spraying with ZnONPs and B2O3NPs on the physical properties of the edible portion of pomegranate in the 2021 and 2022 seasons. Different letters in the same season are significantly different (p < 0.05).
Agronomy 13 02305 g006
Figure 7. Effect of foliar spraying with ZnONPs and B2O3NPs on the phytochemical components and antioxidant activity of pomegranate juice during the 2021 and 2022 seasons. Different letters in the same season are significantly different (p < 0.05).
Figure 7. Effect of foliar spraying with ZnONPs and B2O3NPs on the phytochemical components and antioxidant activity of pomegranate juice during the 2021 and 2022 seasons. Different letters in the same season are significantly different (p < 0.05).
Agronomy 13 02305 g007
Figure 8. Effect of foliar spraying with ZnONPs and B2O3NPs on the mineral contents of pomegranate juice during the 2021 and 2022 seasons. Different letters in the same season are significantly different (p < 0.05).
Figure 8. Effect of foliar spraying with ZnONPs and B2O3NPs on the mineral contents of pomegranate juice during the 2021 and 2022 seasons. Different letters in the same season are significantly different (p < 0.05).
Agronomy 13 02305 g008
Disclaimer/Publisher’s Note: The statements, opinions and data contained in all publications are solely those of the individual author(s) and contributor(s) and not of MDPI and/or the editor(s). MDPI and/or the editor(s) disclaim responsibility for any injury to people or property resulting from any ideas, methods, instructions or products referred to in the content.

Share and Cite

MDPI and ACS Style

Al-Saif, A.M.; Elnaggar, I.A.; Abd El-wahed, A.E.-w.N.; Taha, I.M.; Abdel-Aziz, H.F.; Farouk, M.H.; Hamdy, A.E. Improvement of Fruit Quality and Phytochemical Components of Pomegranate by Spraying with B2O3 and ZnO Nanoparticles. Agronomy 2023, 13, 2305. https://doi.org/10.3390/agronomy13092305

AMA Style

Al-Saif AM, Elnaggar IA, Abd El-wahed AE-wN, Taha IM, Abdel-Aziz HF, Farouk MH, Hamdy AE. Improvement of Fruit Quality and Phytochemical Components of Pomegranate by Spraying with B2O3 and ZnO Nanoparticles. Agronomy. 2023; 13(9):2305. https://doi.org/10.3390/agronomy13092305

Chicago/Turabian Style

Al-Saif, Adel M., Ibrahim A. Elnaggar, Abd El-wahed N. Abd El-wahed, Ibrahim M. Taha, Hosny F. Abdel-Aziz, Mohammed H. Farouk, and Ashraf E. Hamdy. 2023. "Improvement of Fruit Quality and Phytochemical Components of Pomegranate by Spraying with B2O3 and ZnO Nanoparticles" Agronomy 13, no. 9: 2305. https://doi.org/10.3390/agronomy13092305

APA Style

Al-Saif, A. M., Elnaggar, I. A., Abd El-wahed, A. E.-w. N., Taha, I. M., Abdel-Aziz, H. F., Farouk, M. H., & Hamdy, A. E. (2023). Improvement of Fruit Quality and Phytochemical Components of Pomegranate by Spraying with B2O3 and ZnO Nanoparticles. Agronomy, 13(9), 2305. https://doi.org/10.3390/agronomy13092305

Note that from the first issue of 2016, this journal uses article numbers instead of page numbers. See further details here.

Article Metrics

Back to TopTop