Abstract
Maize kernel growth is sensitive to heat stress, which is predicted to result in yield loss. However, the response of maize to short-term heat stress during different kernel-growth stages is still not clear. A 3-year field experiment, included two heat-stress treatments (LSH, lag-stage heat stress; FSH, effective-filling-stage heat stress), was conducted in 2019–2021. The results showed that LSH and FSH significantly reduced the grain yield by 8.7–14.9% and 11.6–17.6%, respectively, compared with the control (CK). LSH mainly reduced the kernel number per ear, and FSH mainly reduced the kernel weight. Heat stress reduced the SPAD and chlorophyll content during the effective-filling stage, but not in the lag stage. Photosynthesis was obviously reduced under heat stress during both stages; however, the photosynthesis rate during the lag stage was higher than during the effective-filling stage. The decreased amplitude of dry matter under LSH was higher than under FSH during the heating period. However, there was no difference between the CK and LSH samples in terms of dry-matter accumulation from the end of heat stress to harvest, which was significantly reduced under FSH. Additionally, decreased starch-synthesis-related enzyme activity, i.e., adenosine diphos-phoglucose pyrophosphprylase, contributed to the kernel number and kernel weight loss in LSH and FSH, respectively. The kernel-growth rate (per ear) was lowered, but the growth duration was not shortened in this study. Consequently, LSH mainly reduced the photosynthesis rate (Pn), resulting in kernel abortion and yield penalty. FSH mainly reduced the Pn and chlorophyll content, which reduced the kernel weight, and increased yield loss.
1. Introduction
Climate warming is accompanied by an increase in the intensity, frequency, and duration of high temperatures [1], which is predicted to reduce cereal yield, including in maize [2,3]. Lobell et al. [4] have indicated that maize yield is negatively correlated with extreme-high-temperature days, and with the accumulation of temperatures higher than 30 °C. Moreover, Gourdji et al. [5] suggested that, by 2050, 45% of global maize will experience 5 days during which the maximum temperature is above 35 °C during the reproductive stage. Historical and modeling studies have reported how heat stress affect maize productivity [6,7,8]; however, field-based experiments that evaluate the physiological effect of heat stress on maize are needed, especially regarding short and intense heat stress [1].
The grain-filling stage is the critical stage for grain yield and quality formation. Heat stress during this stage can strongly affect the grain weight and quality [9]. The process of grain filling is generally divided into three physiological phases: the lag stage, the effective-filling stage, and the maturation–drying stage [10]. The first stage is about 2 weeks long, with rapid endosperm cell division [11]. Dry matter predominantly accumulates during the effective-grain-filling period, to fill the endosperm with starch. The last drying stage is characterized by dehydration [12]. Both the grain number and weight (kernel sink capacity) are determined during the lag stage. Heat stress during the lag stage has been known to not only reduce the kernel number [13], but also reduce the grain weight, by reducing the number of endosperm cells, and disturbing sugar-to-starch synthesis [14]. However, the primary cause of yield reduction is attributed to a reduction in the kernel number [15], as the grain weight may be increased to mitigate the cost of the decreasing kernel number [3]. The effective-filling stage is the critical phase for kernel biomass accumulation. Lu et al. [16] indicated that 15 d of heat stress during the lag stage showed a more obvious reduction in the kernel weight than that at the effective-filling stage. A previous review indicated that heat stress reduced the kernel weight by shortening the filling duration, not by reducing the grain-filling rate [17]. Farooq et al. [18] also showed that the increase in the filling rate could not compensate for the reduction in duration caused by heat stress during the effective-grain-filling stage.
Additionally, heat stress is predicted to disturb sugar-to-starch synthesis, even though the sucrose supply is adequate [19]. Cell wall acid invertase (CWIN) contributes to the sink strength, and has been previously reported to play a critical role in sucrose import and kernel filling [20]. An increased sugar availability could improve the relative transcript abundance of CWIN and its activity [21]. However, heat stress did not reduce CWIN activity during the lag stage [13]. ADP-glucose pyrophosphorylase, a key rate-limiting enzyme in starch synthesis, was demonstrated to be inhibited under heat stress [13,22]. The different effects of heat stress during the lag stage and effective-filling stage on these enzymatic activities are not clear.
The effects of long-term heat stress (continuous heat stress for ≥10 day) in different grain filling stages on maize have been well documented in previous research. However, the average number of continuous days of extreme heat events on the Haihe Plain (which mainly includes Hebei Province, Tianjin, and Beijing in northern China) was less than six, based on the daily maximum temperature data of 26 meteorological stations in 1960–2019 [23]. Thus, the objective of this study was to assess the responses of short-duration (6 days) high temperature during the key stages of grain growth on physiological and yield parameters. We hypothesized that (i) short heat stress during the lag stage would have greater negative impacts on the grain yield than that during the effective-filling stage; (ii) critical enzyme activities in kernels would be reduced to different degrees under heat stress during the lag stage and effective-filling stage.
2. Materials and Methods
2.1. Experimental Site
The field experiment was conducted from 2019 to 2021 at the Shenzhou Dry Farming Water Saving Experimental Station of the Hebei Academy of Agriculture and Forestry Sciences (Hengshui, China, 37.91° N, 115.71° E). The experimental site is located in the temperate monsoon climate zone, where high temperatures and precipitation are mainly concentrated in June and July. The rainfall and temperature during the summer maize-growing season are shown in Figure 1. The soil at the station is loam fluvo-aquic, with 12.5 g kg−1 organic matter, 65.8 mg kg−1 total nitrogen, 15.3 mg kg−1 available phosphorus, and 121.9 mg kg−1 available potassium.
Figure 1.
Daily rainfall, maximum temperature (Tmax), average temperature (Tave), and minimum temperature (Tmin) during the summer maize-growing season.
2.2. Experimental Design and Field Management
During the lag stage (5–10 d after silking) and effective-filling stage (25–30 d after silking), simple greenhouses were constructed for heat treatment, lasting six days, in daytime (8:00–18:00). The heat treatment during the lag and effective-filling stage was defined as LSH and FSH, respectively. The height, width, and length of the greenhouse were 3.5 m, 3.5 m, and 5 m, respectively. Polyethylene film with 92% (average) light transmittance was used in this study. The bottom of the greenhouse was open (1.2 m) for ventilation. The field experiment was conducted as a completely randomized design, with three replicates. The heat-sensitive hybrid Xianyu335 was employed in this study. The maize was sown on 16 June 2019, 15 June 2020, and 15 June 2021. The row spacing was 60 cm, and the density was 7.5 plants m−2. After sowing, sufficient irrigation was supplied, using the surface flood method, to ensure seedling emergence. The compound fertilizer (N:P2O5:K2O = 25:8:12) was applied before sowing, at a rate of 750 kg per hectare, and 140 kg urea per hectare was top dressed at V12. Weeds, pests, drought, and diseases were well controlled.
2.3. Sampling and Measurements
2.3.1. Temperature Measurement
During the period of heat treatment, L95-2 temperature and humidity recorders (Sail Huachuang Technology Co., Ltd., Beijing, China) were placed inside and outside the greenhouse (middle position between the tassel and ear) to record the temperature change, as shown in Figure 2. Continuous rainy weather in 2020 resulted in failure in increasing the temperature; thus, the indexes were not measured that year.
Figure 2.
The hourly dynamics of temperature for the nonheated control (CK; black line) and heat treatments (red line) imposed during the lag stage (left), or during the effective-grain-filling period (right).
2.3.2. Dry-Matter Change
Three representative plants were sampled in each plot at the silking and maturity points, to calculate the dry-matter accumulation after silking, for the three seasons. Furthermore, to evaluate the effect of heat treatment on the organ dry matter during the treating period and after treatment, three representative plants were taken before and after the heat treatment in 2021. Then, the plants were divided into stem, leaf, and ear, and dried at 80 °C to a constant weight. Plants in the control were sampled whenever plants in any heat stress treatment were collected. The dry-matter change (δDM) was calculated as follows:
where x represents the stem, leaves, ear, and total plant.
δDM-x after treating = dry matter of organ at R6 −
dry matter of organ after heat treating
dry matter of organ after heat treating
δDM-x during treating period = dry matter of organ after heat treating −
dry matter of organ before heat treating
dry matter of organ before heat treating
2.3.3. Leaf Photosynthesis
In 2019 and 2021, the net photosynthetic rate (Pn) of the ear leaf (the leaf covering the ear; three plants per plot) was measured using a photosynthetic instrument (LiCor 6400, Li-Cor, Inc., Lincoln, NE, USA) from 10:30 to 12:30 a.m. on the last day of heat treatment (10 and 30 days after silking). The leaf chamber temperature was set at 30 °C, and the light intensity was 1200 μmol m−2 s−1.
2.3.4. Correlative Enzyme Activities
On the fifth day of treatment in 2019 and 2021, fresh ear-leaf and grain samples were taken and stored in liquid nitrogen. An amount of 100 mg of preserved fresh samples was ground and extracted, according to Niu et al. [13]. The sucrose synthase (SUS), adenosine diphosphate pyrophosphorylase (AGPase), cell-wall acid invertase (CWIN), and ribulose diphosphate carboxylase (RuBPCase) were detected using an ELISA kit (Bioroyee Biotechnology Co., Ltd., Beijing, China).
2.3.5. SPAD and Chlorophyll Content
In 2019, the SPAD value of the ear leaf (n = 5, five plants per plot) was measured on the last day of heat treatment using the SPAD-502 chlorophyll meter (Minolta Camera Co., Osaka, Japan), which provides estimates of the relative leaf chlorophyll content. Each leaf was repeatedly measured at least ten times. In 2021, the ear leaf was sampled (n = 3) and cut into small pieces on the last day of heat treatment, to measure the chlorophyll content, using the ethanol method. Then, 0.2 g of leaf pieces was placed in a 50 mL volumetric flask with 95% ethanol for 72 h in a dark room. The chlorophyll content was measured using a UV–vis spectrophotometer (UV-1100, Solarbio, Beijing, China), according to Ren et al. [24].
2.3.6. Kernel Growth Dynamics
From silking to maturity, three ears were taken from each plot every 10 days. Two rows of kernels were collected to be dried at 70 °C to a constant weight for measuring the dry weight. The growth rate of the kernel weight per ear was fitted using a logistic growth Equation (3). The kernel-growth stage (early, middle, and late stage) was calculated using the derivative of the equation, which was inconsistent from the physiology phase. The ending date of the early stage, middle stage, and late stage was defined by Equations (4)–(6), respectively:
where W is the grain weight per ear (g), a is the maximum grain weight per ear (g), t is the date after silking (d), b and c are coefficients determined by regression [25], and e is the base of the natural log (2.71828).
W = a/(1 + be − ct)
T1 = (lnb − 1.317)/c
T2 = (lnb + 1.317)/c
T3 = (lnb + 4.59512)/c
2.3.7. Grain Yield
At harvest, two rows (1.2 m) × 3 m row length of maize ears were hand-harvested per plot. All harvested areas were surrounded by at least two guard rows. The total ear fresh weight and ear number were measured to calculate the ear number per square meter, and the average fresh ear weight. Ten ears were selected, according to the average fresh ear weight, to determine the kernel number per ear (KNE), and the thousand-kernel weight (TKW, dry weight). The grain yield was calculated with a 14% moisture content.
2.4. Statistical Analyses
General linear modeling (GLM) was employed to analyze the influence of the year type and heat treatment, and their interactions on the grain yield and yield components, using SPSS 22.0 (SPSS, Inc., Chicago, IL, USA). Differences were compared using the Tukey test, at a 0.05 level of probability. A two-tailed Student’s t test was used to determine the significant differences between CK (during the lag stage or effective-filling stage) and the heating treatment samples for the photosynthesis rate and chlorophyll content enzymatic activities.
3. Results
3.1. Temperature Change during the Heat-Treatment Process
The hourly temperature change during the treatment period is shown in Figure 2. In 2019 and 2021, the greenhouse increased the temperature on average by 3.48 °C and 5.32 °C during the lag stage, and by 2.96 °C and 4.87 °C during the effective-filling stage, compared with the non-heated control (CK), respectively. The average maximum temperature under heat stress during the lag stage was 38.8 °C and 40.8 °C, and during the effective-filling stage was 39.4 °C and 41.5 °C, in 2019 and 2021, respectively. In 2020, the average maximum temperature of LSH and FSH was only 30.9 °C and 32.9 °C, respectively.
3.2. Yield as Affected by Heat Stress during the Lag and Effective-Filling Stage
The year type (Y) and heat treatment (T) significantly affected the grain yield and yield components. The interaction of Y and T had a significant influence on the grain yield and TKW, but not on the KNE (Table 1). Compared with CK, LSH significantly reduced the KNE by 12.6% and 7.8% in 2019 and 2021, respectively; in contrast, the TKW under LSH was increased by 2.9% and 5.8%, respectively. FSH did not affect the KNE, but it decreased the TKWs by 10.1% and 5.1% compared to CK in 2019 and 2021, respectively. The grain yields under LSH and FSH were decreased by 14.9% and 17.6% in 2019, and 8.7% and 11.6% in 2021, respectively, relative to CK. The grain yield reduction under FSH was higher than under LSH, but not significant. Additionally, the heat treatment did not affect the grain yield and yield components in 2020, because the temperature under the heat treatment was the same as the ambient temperature.
Table 1.
Effects of heat stress on the summer maize grain yield and yield components.
3.3. Dry-Matter Accumulation after Silking and Dry-Matter Change during and after Heat Treatment
Short-term heat treatment, in this study, significantly reduced the dry-matter accumulation after silking, except in 2020. There was no significant difference between LSH and FSH (Figure 3). Due to dry-matter translocation, the dry matter of stems and leaves was reduced 5–10 d after silking. The stem and leaf dry-matter accumulation under LSH in this period was 808.6% and 252.0% lower than that of CK, respectively. The ear weight and total plant weight under LSH were 25.5% and 74.6% lower than that of CK, respectively. During the effective-filling stage, the change in stem biomass between the FSH and CK samples was not significantly different. The dry-matter change in leaves under FSH was significantly lower than that of CK. Unexpectedly, the increase in ear weight between the CK and FSH samples during the heating process was consistent (Figure 4A). Moreover, there was no significant difference between the CK and LSH samples in dry-matter accumulation from the end of heat stress to harvest. In contrast, FSH significantly reduced the dry-matter accumulation after heating (Figure 4B).
Figure 3.
The dry-matter accumulation after silking, as affected by heat stress. Different lowercase letters indicate significant differences at the 0.05 level. CK, the control; LSH, heat treatment during the lag stage; FSH, heat treatment during the effective-filling stage.

Figure 4.
Dry-matter change during the heating process (A) and from the end of heat treatment to maturity (B). δDM, the dry-matter change during the heating process or after heating. CK, the control; LSH, heat treatment during the lag stage; FSH, heat treatment during the effective-filling stage. CK represents the values of the nonheated control during the lag and effective-filling stage, respectively. NS means non-significant. *, **, and *** indicate significant differences at the p < 0.05, p < 0.01, and p < 0.001 probability levels, respectively.
3.4. The Effects of High Temperature on Leaf Photosynthesis
Heat treatment significantly reduced the Pn and relative enzyme activity. The Pn under LSH was reduced by 28.6% and 31.4% compared with CK in 2019 and 2021, respectively. The Pn under FSH was decreased by 26.7% and 28.5%, respectively (Figure 5). Similarly, the RuBPcase activity under LSH was also decreased by 14.1% and 31.2%, and under FSH, it was decreased by 7.5% and 19.7% compared with CK in 2019 and 2021, respectively (Figure 6).
Figure 5.
The photosynthesis rate, as affected by heat stress, in 2019 and 2021. CK, the control; LSH, heat treatment during the lag stage; FSH, heat treatment during the effective-filling stage. CK represents the values of the nonheated control during the lag and effective-filling stage, respectively. ** and *** indicate significant differences at the p < 0.01 and p < 0.001 probability levels, respectively.
Figure 6.
Effects of heat stress on RuBPCase activity in the ear leaf in maize. CK, the control; LSH, heat treatment during the lag stage; FSH, heat treatment during the effective-filling stage. CK represents the values of the nonheated control during the lag and effective-filling stage, respectively. *, **, and *** indicate significant differences at the p < 0.05, p < 0.01, and p < 0.001 probability levels, respectively.
Interestingly, the SPAD value of the ear leaf under LSH was not significantly reduced, while the SPAD value under FSH was significantly reduced, by 7.2%, compared to CK in 2019. In 2021, the chlorophyll content was measured. The chlorophyll content under LSH was slightly increased compared with CK. However, the chlorophyll content in FSH was significantly reduced, by 17.8%, compared with CK (Figure 7); i.e., heat stress during the effective-filling stage damaged the maize leaves.
Figure 7.
The SPAD value and chlorophyll content, as affected by heat stress, in 2019 and 2021. CK, the control; LSH, heat treatment during the lag stage; FSH, heat treatment during the effective-filling stage. CK represents the values of the nonheated control during the lag and effective-filling stage, respectively. NS means non-significant, and * indicates significant differences at the p < 0.05 probability level.
3.5. Effect of High Temperature on Sink Activity and Grain Filling
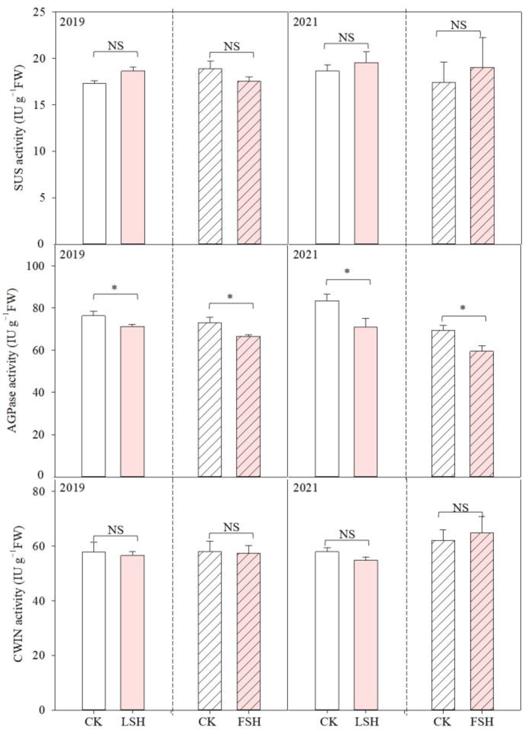
In this study, heat stress did not significantly affect the SUS and CWIN activities, while it significantly reduced the AGPase activity at both stages. In 2019, the AGPase activity under LSH and FSH was reduced by 6.6% and 8.9% compared with CK, respectively. In 2021, the AGPase activity was decreased by 15.0% and 14.4% under LSH and FSH, respectively (Figure 8).
Figure 8.
Effects of high temperature on the sucrose synthase decomposition direction (SuS), adenosine diphosphate pyrophosphorylase (AGPase), and cell-wall acid invertase (CWIN) activities in 2019 and 2021. CK, the control; LSH, heat treatment during the lag stage; FSH, heat treatment during the effective-filling stage. CK represents the values of the nonheated control during the lag and effective-filling stage, respectively. NS means non-significant, and * indicates significant differences at the p < 0.05 probability level.
As shown in Figure 9, LSH and FSH did not significantly shorten the duration of the whole-grain filling in this study. LSH and FSH slightly shortened the duration of the early-filling stage, but this was statistically insignificant in both years. The duration of the middle- and late-filling stages under LSH were not changed compared with CK; however, the duration of the middle and late filling stages under FSH was significantly increased compared with CK. The grain-growth rate-per-ear during the early and late stages of LSH was slightly reduced. During the middle stage, the grain-filling rate per ear under LSH and FSH were dramatically reduced, by 21.4% and 29.0%, compared with CK, respectively. LSH and FSH also significantly reduced the grain-growth rate per ear compared with CK during the late growth stage.
Figure 9.
The kernels-per-ear growth rate and growth duration during the early, middle, and late stage, divided by logistic equation, were affected by heat stress. Different lowercase letters indicate significant differences at the 0.05 level. CK, the control; LSH, heat treatment during the lag stage; FSH, heat treatment during the effective stage.
3.6. Principal Component Analysis
Principal component analysis (PCA) was performed to visualize the relationships between the yield components, Pn, SPAD, or chlorophyll content, and the change in the dry-matter weight (Figure 10). A small acute angle between the loading vectors, and a close correlation between the variables were found. The Pn was located close to the kernel number per ear, AGPase activity, and grain yield. The δDM-TR6 (after heating to maturity) was positively correlated with the grain yield in 2021, indicating that the aftereffect of FSH was positively correlated with the grain yield.
Figure 10.
Principal component analysis (PCA) of the yield components, enzyme activity, Pn, SPAD, chlorophyll content, and stem dry-matter change. δDM-stem, dry-matter accumulation of stems during the heating process; δDM-leaves, dry-matter accumulation of leaves during the heating process; δDM-ear, dry-matter accumulation of ears during the heating process; δDM-total, dry-matter accumulation of total plants during the heating process; δDM-TR6, dry-matter accumulation of total plants after heating.
4. Discussion
4.1. Short Heat Stress during the Lag Stage Reduced the Kernel Number by Inhibiting Photosynthesis
Heat stress during the flowering stage usually reduced the kernel number by destroying pollen [8]. After pollination, heat stress reduced the kernel number by lowering the carbohydrate supply [13]. In this study, heat stress during the lag stage resulted in 7.8–12.6% aborted kernels. Previous research showed that a reduced carbohydrate supply played a key role in kernel setting [26]. Shen et al. [27] also demonstrated that a low level of assimilates was the main cause of grain abortion. However, the sucrose infusion experiment, which ensured that maize plants received sufficient assimilates, did not completely reverse the kernel abortion caused by drought [21]. The down-regulation of the cell-wall invertase and soluble invertase genes under stressful conditions depleted the ovary sugar pools, and resulted in an up-regulation of the genes for the ribosome-inactivating protein and for phospholipase, which initiated senescence, thus causing irreversible abortion [28]. In our study, heat stress reduced the photosynthesis rate, thus directly reducing the carbohydrate availability. Research has shown that impaired photosynthesis inhibits biological carbon fixation [29], which inhibits glucose and starch synthesis in the kernel and reduces the activity of related enzymes [30,31,32]. The PCA analysis also indicated that the Pn was related to the kernel number. Additionally, the heat stress did not significantly reduce CWIN activity in our study, which contributed to sucrose import and kernel filling [20]. The activity of AGPase, a key enzyme in starch synthesis, was obviously reduced under LSH, which showed a close relationship with the KNE and yield (Figure 10). Therefore, we concluded that reduced photosynthesis (carbohydrate supply) and AGPase activity determined the kernel number under short heat stress in the lag stage. However, Wang et al. [3] indicated that a gradually increased temperature had less influence on photosynthesis than a sharply increased temperature. Many studies have shown that heat stress negatively affects maize photosynthesis [33,34,35], especially in developed leaves [36], even though the threshold temperature that has resulted in irreversible damage to maize leaf photosynthesis is 45 °C [37]. Additionally, long-term heat stress (15 days) during the lag stage has significantly reduced the TKW by 15.8–37.5%; however, our 6-day heat treatment increased the TKW. Thus, long-term heat stress had a severe effect on the grain development and TKW, which was caused by the destruction of endosperm cell division and starch biosynthesis.
4.2. Short Heat Stress Affected Kernel Weight by Reducing Assimilates and AGPase Activity but Not Filling Duration
During the effective-filling stage (after R3), stressful conditions usually did not result in kernel abortion but, instead, in a reduction in the kernel weight [38]. FSH in the present experiment also reduced the kernel weight without affecting the kernel number. Additionally, the lag stage is a critical period during kernel development in maize [39]. Both the kernel weight potential and kernel number are determined during this period [40]. However, the final grain weight is mainly filled during the effective-grain-filling period [41]. Therefore, heat stress during the lag stage might reduce the kernel number and kernel weight, simultaneously. However, the kernel weight was increased under LSH in our study, therefore suggesting that the kernel weight was compensated at the cost of the decreased kernel number, but the yield loss caused by the reduction in the kernel number was still observed. The results of the present study are in line with the reports of Wang et al. [3]. The effective-filling stage is a key stage in kernel biomass accumulation. A decrease in the kernel weight is the main reason for the yield penalty at this stage [17]. The maize grain filling was largely determined by the starch synthesis in the endosperm, which accounted for approximately 80% of the final weight [42]. Under heat stress, sugar-to-starch synthesis was generally inhibited, even with a sufficient carbohydrate supply [17]. The key enzymes, such as ADP-glucose pyrophosphorylase and starch synthase, were also disturbed under heat-stress conditions [22]. The increase in the carbohydrate supply could enhance the activities of sugar-metabolizing enzymes [21]. This suggests that the lower Pn and heat stress co-inhibited starch synthesis.
The kernel weight was generally co-determined by the filling rate and the duration. Heat stress accelerated the filling rate, but shortened the duration [17]. Zhang [43] indicated that heat stress increased the vascular bundle area of the shank pedicle, which increased the assimilate transportation rate and filling rate. Farooq et al. [18] showed that the increase in the filling rate could not compensate for the reduction in duration caused by heat stress. Additionally, a previous study has proven that heat stress accelerates leaf senescence and shortens the duration of effective grain filling [44]. However, in our study, the short heat stress did not shorten the fitted kernel growth duration. The Pn was reduced under heat stress, regardless of the period. In general, aging leaves are more sensitive to stressful conditions, compared to newly expended leaves [17]. The Pn during the lag stage was significantly higher than that during the effective-filling stage (Figure 5). Thus, during the heat-treatment period, LSH showed a higher reduction in ear and plant biomass than FSH. The SPAD and chlorophyll content was not affected by heat stress during the lag stage, while they were significantly reduced under FSH. Additionally, the biomass accumulation from the end of the heat treatment to maturity was significantly reduced under FSH, suggesting that FSH resulted in leaf senescence, but LSH did not. Therefore, the aftereffect of FSH would be expected to further reduce the grain yield, and be the main cause of a greater yield loss under FSH than under LSH.
4.3. Limitations of This Study
The transparent polyethylene used to increase the temperature inevitably decreases the incident radiation. In our study, the polyethylene film decreased the light intensity at noon by an average of 8%. It cannot be neglected that at least a small part of the yield loss may be due to the reduced light. Inversely, the polyethylene film could improve the proportion of diffuse radiation [45], thus elevating the light-use efficiency [46]. Moreover, the treatment in this study did not obviously increase the air temperature, and did not significantly affect the grain yield in 2020. Consequently, the reduction in incident radiation could be compensated for by the increase in diffuse radiation. Additionally, heat-sensitive and tolerant varieties showed different responses to heat stress. The former had more significant reductions in grain yield and photosynthesis than the latter [13]. However, only the heat-sensitive variety was used in this study. The results might be different using heat-tolerant varieties.
5. Conclusions
Short heat stress during the lag stage and effective-filling stage significantly reduced the grain yield. Lag-stage heat stress mainly reduced the kernel number, while heat stress during the effective filling stage mainly reduced the kernel weight. Heat stress reduced photosynthesis, and inhibited AGPase activity in both stages, but did not shorten the duration of grain growth. Additionally, short heat stress did not reduce the SPAD or chlorophyll content of the ear leaf in the lag stage. Effective-stage heat stress significantly reduced the chlorophyll content and lowered the dry-matter accumulation after heat treatment. The aftereffect of FSH resulted in a relative greater yield loss than that of LSH. Consequently, the immediate effects of short heat stress during the lag and effective-filling stages were similar, while the latter had an adverse aftereffect on the yield.
Author Contributions
Conceptualization, Z.G. and S.N.; methodology, W.Z.; software, J.Y.; validation, J.R. and Z.G.; formal analysis, Y.Z., X.L. (Xuelei Li), H.L. and X.L. (Xiao Li); investigation, S.N.; resources, Z.G.; data curation, H.D.; writing—original draft preparation, W.Z.; writing—review and editing, J.R. and Z.G.; visualization, S.S.; supervision, Z.G.; funding acquisition, Z.G. All authors have read and agreed to the published version of the manuscript.
Funding
This work was supported by the Key Research and Development Program of Hebei Province (20326414D, 21327001D), Natural Science Research Project of Higher Education in Hebei Province (BJK2022009), State Key Laboratory of North China Crop Improvement and Regulation (NCCIR2022ZZ-12), and Basic Research Funds Research Projects of Provincially Administrated University (KY2021039), and Innovation and Entrepreneurship Project of HEBAU (2023148).
Data Availability Statement
The data included in this research are available upon request via contact with the corresponding author.
Acknowledgments
We thank Shanshan Liu, Dejie Wei, Yarong Zhang, and Chenxuan Xue for their field investigation.
Conflicts of Interest
The authors declare no conflict of interest.
References
- Siebers, M.H.; Slattery, R.A.; Yendrek, C.R.; Locke, A.M.; Drag, D.; Ainsworth, E.A.; Bernacchi, C.J.; Ort, D.R. Simulated heat waves during maize reproductive stages alter reproductive growth but have no lasting effect when applied during vegetative stages. Agric. Ecosyst. Environ. 2017, 240, 162–170. [Google Scholar] [CrossRef]
- Lizaso, J.I.; Ruiz, R.M.; Rodríguez, L.; Gabaldon-Leal, C.; Oliveria, J.A.; Lorite, I.J.; Sánchez, D.; García, E.; Rodríguez, A. Impact of high temperatures in maize: Phenology and yield components. Field Crops Res. 2018, 216, 129–140. [Google Scholar] [CrossRef]
- Wang, Y.; Sheng, D.; Zhang, P.; Dong, X.; Yan, Y.; Hou, X.; Wang, P.; Huang, S.B. High temperature sensitivity of kernel formation in different short periods around silking in maize. Environ. Exp. Bot. 2021, 183, 104343. [Google Scholar] [CrossRef]
- Lobell, D.B.; Hammer, G.L.; McLean, G.; Messina, C.; Roberts, M.J.; Schlenker, W. The critical role of extreme heat for maize production in the United States. Nat. Clim. Chang. 2013, 3, 497–501. [Google Scholar] [CrossRef]
- Gourdji, S.M.; Sibley, A.M.; Lobell, D.B. Global crop exposure to critical high temperatures in the reproductive period: Historical trends and future projections. Environ. Res. Lett. 2013, 8, 024041. [Google Scholar] [CrossRef]
- Gao, Z.; Feng, H.; Liang, X.; Lin, S.; Zhao, X.; Shen, S.; Du, X.; Cui, Y.; Zhou, S.L. Adjusting the sowing date of spring maize did not mitigate against heat stress in the North China Plain. Agric. For. Meteorol. 2021, 298, 108274. [Google Scholar] [CrossRef]
- van der Velde, M.; Wriedt, G.; Bouraoui, F. Estimating irrigation use and effects on maize yield during the 2003 heatwave in France. Agric. Ecosyst. Environ. 2010, 135, 90–97. [Google Scholar] [CrossRef]
- Wang, Y.; Tao, H.; Tian, B.; Sheng, D.; Xu, C.; Zhou, H.; Huang, S.B.; Wang, P. Flowering dynamics, pollen, and pistil contribution to grain yield in response to high temperature during maize flowering. Environ. Exp. Bot. 2019, 158, 80–88. [Google Scholar] [CrossRef]
- Lu, D.L.; Yang, H.; Shen, X.; Lu, W.P. Effects of high temperature during grain filling on physicochemical properties of waxy maize starch. J. Integr. Agric. 2016, 15, 309–316. [Google Scholar] [CrossRef]
- Bewley, J.D.; Black, M. Seeds: Physiology of Development and Germination; Plenum: New York, NY, USA, 1985. [Google Scholar]
- Artlip, T.S.; Madison, J.T.; Setter, T.L. Water deficit in developing endosperm of maize: Cell division and nuclear DNA endoreduplication. Plant Cell Environ. 1995, 18, 1034–1040. [Google Scholar] [CrossRef]
- Borrás, L.; Gambín, B.L. Trait dissection of maize kernel weight: Towards integrating hierarchical scales using a plant growth approach. Field Crops Res. 2010, 118, 1–12. [Google Scholar] [CrossRef]
- Niu, S.; Du, X.; Wei, D.; Liu, S.; Tang, Q.; Bian, D.; Zhang, Y.; Cui, Y.; Gao, Z. Heat stress after pollination reduces kernel number in maize by insufficient assimilates. Front. Genet. 2021, 12, 728166. [Google Scholar] [CrossRef] [PubMed]
- Commuri, P.D.; Jones, R.J. Ultrastructural characterization of maize (Zea mays L.) kernels exposed to high temperature during endosperm cell division. Plant Cell Environ. 1999, 22, 375–385. [Google Scholar] [CrossRef]
- Edreira, J.I.R.; Budakli, C.E.; Sammarro, D.; Otegui, M.E. Heat stress effects around flowering on kernel set of temperate and tropical maize hybrids. Field Crops Res. 2011, 123, 62–73. [Google Scholar] [CrossRef]
- Lu, D.; Sun, X.; Yan, F.; Wang, X.; Xu, R.; Lu, W. Effects of high temperature during grain filling under control conditions on the physicochemical properties of waxy maize flour. Carbohydr. Polym. 2013, 98, 302–310. [Google Scholar] [CrossRef] [PubMed]
- Li, T.; Zhang, X.P.; Liu, Q.; Liu, J.; Chen, Y.Q.; Sui, P. Yield penalty of maize (Zea mays L.) under heat stress in different growth stages: A review. J. Integr. Agr. 2022, 21, 2465–2476. [Google Scholar] [CrossRef]
- Farooq, M.; Bramley, H.; Palta, J.A.; Siddique, K.H.M. Heat stress in wheat during reproductive and grain-filling phases. Crit. Rev. Plant Sci. 2011, 30, 491–507. [Google Scholar] [CrossRef]
- Liu, X.; Wang, X.; Wang, X.; Gao, J.; Luo, N.; Meng, Q.; Wang, P. Dissecting the critical stage in the response of maize kernel set to individual and combined drought and heat stress around flowering. Environ. Exp. Bot. 2020, 179, 104213. [Google Scholar] [CrossRef]
- Wang, E.; Wang, J.; Zhu, X.D.; Hao, W.; Wang, L.Y.; Li, Q.; Zhang, L.X.; He, W.; Lu, B.R.; Lin, H.X.; et al. Control of rice grain-filling and yield by a gene with a potential signature of domestication. Nat. Genet. 2008, 40, 1370–1374. [Google Scholar] [CrossRef]
- McLaughlin, J.E.; Boyer, J.S. Sugar-responsive gene expression, invertase activity, and senescence in aborting maize ovaries at low water potentials. Ann. Bot. 2004, 94, 675–689. [Google Scholar] [CrossRef]
- Yang, H.; Gu, X.; Ding, M.; Lu, W.; Lu, D. Heat stress during grain filling affects activities of enzymes involved in grain protein and starch synthesis in waxy maize. Sci. Rep. 2018, 8, 15665. [Google Scholar] [CrossRef] [PubMed]
- Zhang, Q.; Han, J.; Yang, Z. Hazard assessment of extreme heat during summer maize growing season in Haihe Plain, China. Int. J. Climatol. 2021, 41, 4794–4803. [Google Scholar] [CrossRef]
- Ren, J.H.; Tang, Q.; Niu, S.D.; Liu, S.S.; Wei, D.J.; Zhang, Y.R.; Gao, Z. High dose of plant growth regulator enhanced lodging resistance without grain yield reduction of maize under high density. Int. J. Plant Prod. 2022, 16, 329–339. [Google Scholar] [CrossRef]
- Gao, Z.; Liang, X.G.; Zhang, L.; Lin, S.; Zhao, X.; Zhou, L.L.; Shen, S.; Zhou, S.L. Spraying exogenous 6-benzyladenine and brassinolide at tasseling increases maize yield by enhancing source and sink capacity. Field Crops Res. 2017, 211, 1–9. [Google Scholar] [CrossRef]
- Tang, Q.; Ren, J.; Du, X.; Niu, S.; Liu, S.; Wei, D.; Zhang, Y.; Bian, D.; Cui, Y.; Gao, Z. Reduced stem nonstructural carbohydrates caused by plant growth retardant had adverse effects on maize yield under low density. Fron. Plant Sci. 2022, 13, 1035254. [Google Scholar] [CrossRef]
- Shen, S.; Zhang, L.; Liang, X.G.; Zhao, X.; Lin, S.; Qu, L.H.; Gao, Z.; Ruan, Y.L.; Zhou, S.L. Delayed pollination and low availability of assimilates are major factors causing maize kernel abortion. J. Exp. Bot. 2018, 69, 1599–1613. [Google Scholar] [CrossRef]
- Boyer, J.S.; McLaughlin, J.E. Functional reversion to identify controlling genes in multigenic responses: Analysis of floral abortion. J. Exp. Bot. 2007, 58, 267–277. [Google Scholar] [CrossRef]
- Gustin, J.L.; Boehlein, S.K.; Shaw, J.R.; Junior, W.; Settles, A.M.; Webster, A.; William, W.F.; Hannah, L.C. Ovary abortion is prevalent in diverse maize inbred lines and is under genetic control. Sci. Rep. 2018, 8, 13032. [Google Scholar] [CrossRef]
- Yang, D.Q.; Li, Y.; Shi, Y.H.; Cui, Z.Y.; Luo, Y.L.; Zheng, M.J.; Chen, J.; Li, Y.X.; Yin, Y.P.; Wang, Z.L. Exogenous cytokinins increase grain yield of winter wheat cultivars by improving stay−green characteristics under heat stress. PLoS ONE 2016, 11, e0155437. [Google Scholar] [CrossRef]
- Fahad, S.; Bajwa, A.A.; Nazir, U.; Anjum, S.A.; Farooq, A.; Zohaib, A.; Sadia, S.; Nasim, W.; Adkins, S.; Saud, S.; et al. Crop production under drought and heat stress: Plant responses and management options. Front. Plant Sci. 2017, 8, 1147. [Google Scholar] [CrossRef]
- Basu, P.S.; Pratap, A.; Gupta, S.; Sharma, K.; Tomar, R.; and Singh, N.P. Physiological traits for shortening crop duration and improving productivity of greengram (Vigna radiata L. Wilczek) under high temperature. Front. Plant Sci. 2019, 10, 1508. [Google Scholar] [CrossRef] [PubMed]
- Ben-Asher, J.; Garcia y Garcia, A.; Hoogenboom, G. Effect of high temperature on photosynthesis and transpiration of sweet corn (Zea mays L. Var. Rugosa). Photosynthetica 2008, 46, 595–603. [Google Scholar] [CrossRef]
- Zhu, X.C.; Song, F.B.; Liu, S.Q. Effects of arbuscular mycorrhizal fungus on photosynthesis and water status of maize under high temperature stress. Plant Soil 2011, 346, 189–199. [Google Scholar] [CrossRef]
- Crafts-Brandner, S.J.; Law, R.D. Effect of heat stress on the inhibition and recovery of the ribulose-1,5-bisphosphate carboxylase/oxygenase activation state. Planta 2000, 212, 67–74. [Google Scholar] [CrossRef] [PubMed]
- Karim, M.A.; Fracheboud, Y.; Stamp, P. Photosynthetic activity of developing leaves of Zea mays is less affected by heat stress than that of developed leaves. Physiol. Plantarum. 1999, 105, 685–693. [Google Scholar] [CrossRef]
- Sinsawat, V.; Leipner, J.; Stamp, P.; Fracheboud, Y. Effect of heat stress on the photosynthetic apparatus in maize (Zea mays L.) grown at control or high temperature. Environ. Exp. Bot. 2004, 52, 123–129. [Google Scholar] [CrossRef]
- Abendroth, L.J.; Elmore, R.W.; Boyer, M.J.; Marlay, S.K. Corn Growth and Development; Iowa State University: Ames, IA, USA, 2011. [Google Scholar]
- Vega, C.R.C.; Andrade, F.H.; Sadras, V.O.; Uhart, S.A.; Valentinuz, O.R. Seed number as a function of growth. A comparative study in soybean, sunflower, and maize. Crop Sci. 2001, 41, 748–754. [Google Scholar] [CrossRef]
- Gambín, B.L.; Borrás, L.; Otegui, M.E. Source-sink relations and kernel weight differences in maize temperate hybrids. Field Crop Res. 2006, 95, 316–326. [Google Scholar] [CrossRef]
- Borrás, L.; Otegui, M.E. Maize kernel weight response to postflowering source-sink ratio. Crop Sci. 2001, 41, 1816–1822. [Google Scholar] [CrossRef]
- Boehlein, S.K.; Liu, P.; Webster, A.; Ribeiro, C.; Suzuki, M.; Wu, S.; Guan, J.C.; Stewart, J.D.; Tracy, W.F.; Settles, A.M.; et al. Effects of long-term exposure to elevated temperature on Zea mays endosperm development during grain fill. Plant J. 2019, 99, 23–40. [Google Scholar] [CrossRef]
- Zhang, X.P. Mechanism of Changing Sowing Date of Maize Sole Cropping System to Resist and Avoid the Heat Stress in Heilonggang Region. Ph.D. Thesis, China Agricultural University, Beijing, China, 2019. [Google Scholar]
- Yang, H.; Huang, T.; Ding, M.; Lu, D.; Lu, W. High temperature during grain filling impacts on leaf senescence in waxy maize. Agron. J. 2017, 109, 906–916. [Google Scholar] [CrossRef]
- Cabrera, F.J.; Baille, A.; López, J.C.; González-Real, M.M.; Pérez-Parra, J. Effects of cover diffusive properties on the components of greenhouse solar radiation. Biosyst. Eng. 2009, 103, 344–356. [Google Scholar] [CrossRef]
- Soar, C.J.; Collins, M.J.O.; Sadras, V.O. Irrigated Shiraz vines (Vitis vinifera) upregulate gas exchange and maintain berry growth in response to short spells of high maximum temperature in the field. Funct. Plant Biol. 2009, 36, 801–814. [Google Scholar] [CrossRef] [PubMed]
Disclaimer/Publisher’s Note: The statements, opinions and data contained in all publications are solely those of the individual author(s) and contributor(s) and not of MDPI and/or the editor(s). MDPI and/or the editor(s) disclaim responsibility for any injury to people or property resulting from any ideas, methods, instructions or products referred to in the content. |
© 2023 by the authors. Licensee MDPI, Basel, Switzerland. This article is an open access article distributed under the terms and conditions of the Creative Commons Attribution (CC BY) license (https://creativecommons.org/licenses/by/4.0/).










