Simulation of Soil Water and Nitrogen Dynamics for Tomato Crop Using EU-Rotate_N Model at Different Nitrogen Levels in the Greenhouse
Abstract
1. Introduction
2. Materials and Methods
2.1. Study Site and Conditions
2.2. Experiment in Greenhouse
2.3. Data Collection and Measurements
2.3.1. Collection of Soil Samples, Plant Samples and Determination of Nutrient Content
2.3.2. Determination of Yield and Dry Weight
2.3.3. Meteorological Data
2.4. Description of EU-Rotate_N Model
2.5. Model Verification Effect Evaluation Index
- (1)
- (2)
- (3)
2.6. Calculations and Statistical Analysis
3. Results
3.1. Meteorological Data in the Greenhouse
3.2. Model Parameters
3.3. Simulation of Soil Moisture Content in Protected Tomato Fields and Model Evaluation Index
3.4. Simulation of Soil Nitrate Nitrogen Content in Protected Tomato Fields and Model Evaluation Index
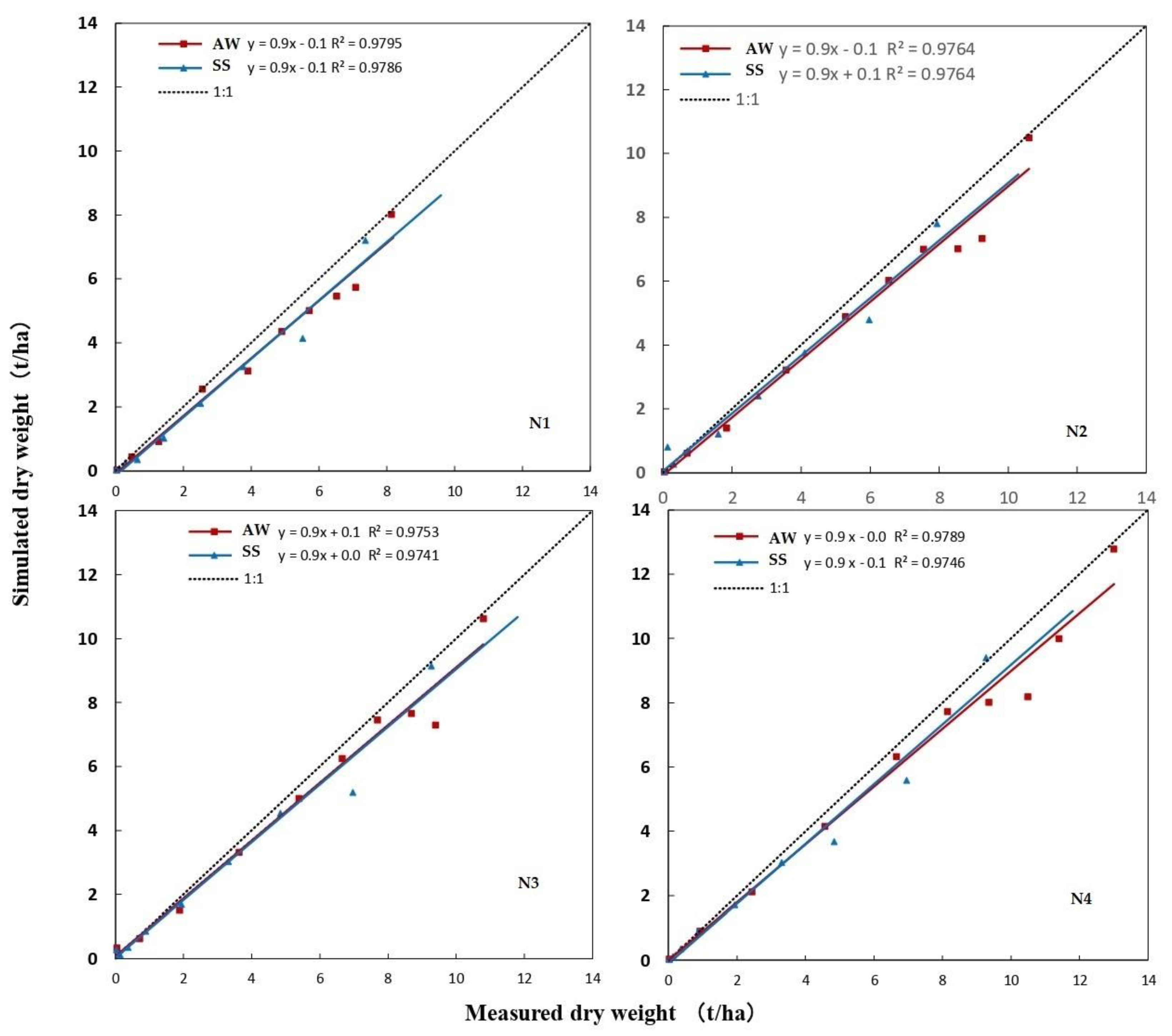
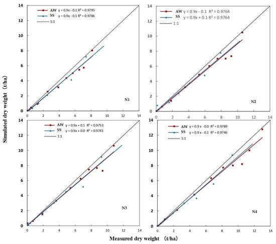
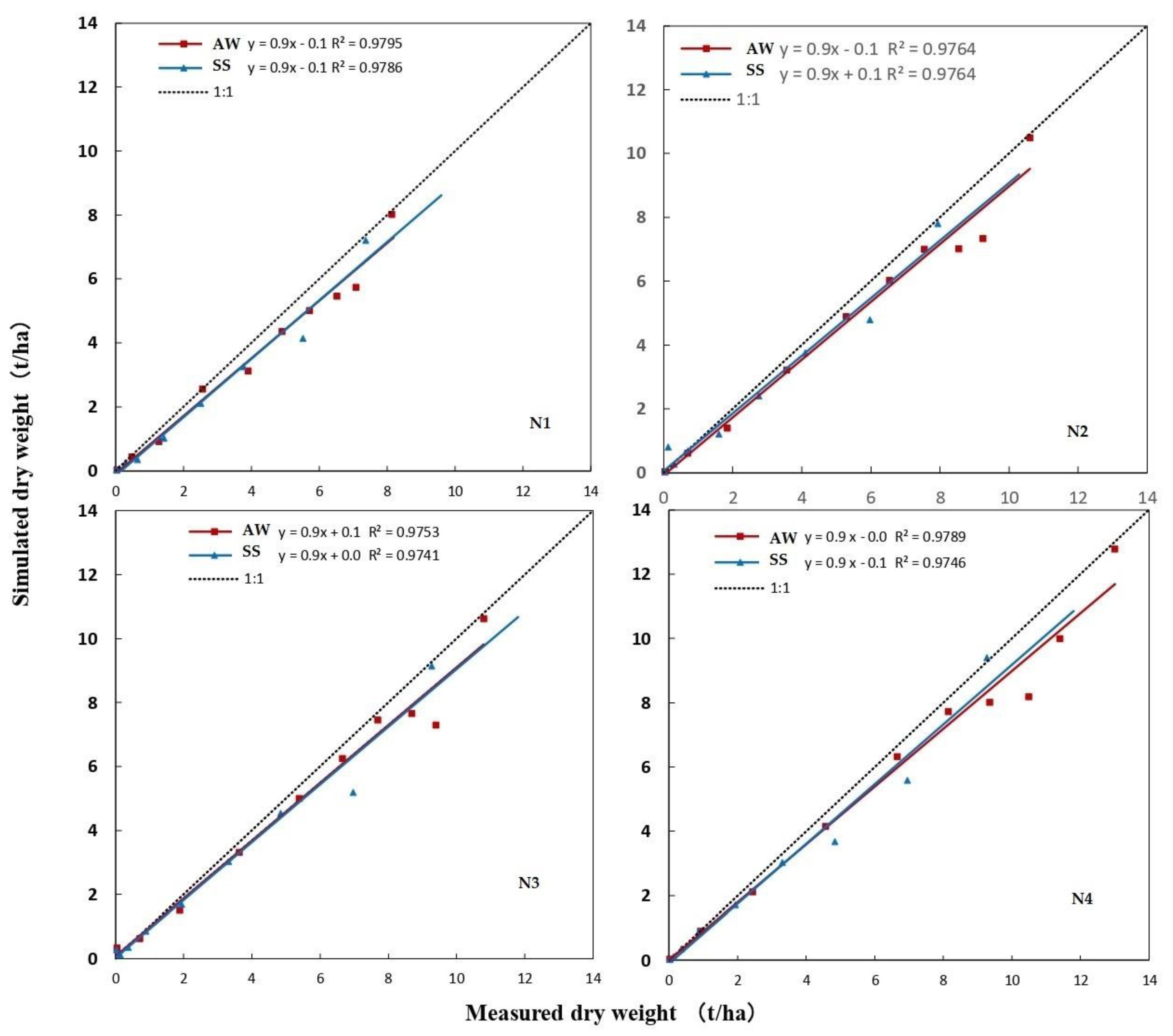
3.5. Yield and Dry Weight Simulation Effect of Tomato in Greenhouse
4. Discussion
5. Conclusions
Author Contributions
Funding
Data Availability Statement
Conflicts of Interest
References
- Qasim, W.; Xia, L.; Lin, S.; Wan, L.; Zhao, Y.; Butterbach-Bahl, K. Global greenhouse vegetable production systems are hotspots of soil N2O emissions and nitrogen leaching: A meta-analysis. Environ. Pollut. 2021, 272, 116372. [Google Scholar] [PubMed]
- Hu, W.; Zhang, Y.; Huang, B.; Teng, Y. Soil environmental quality in greenhouse vegetable production systems in eastern China: Current status and management strategies. Chemosphere 2017, 170, 183–195. [Google Scholar] [CrossRef]
- Guo, Y.; Wang, H.; Zhang, W.; Chen, B.; Song, D. Sustainability evaluation of protected vegetables production in China based on emergy analysis. J. Clean. Prod. 2023, 388, 135928. [Google Scholar]
- Kalkhajeh, Y.K.; Huang, B.; Hu, W.; Ma, C.; Gao, H.; Thompson, M.L.; Hansen, H.C.B. Environmental soil quality and vegetable safety under current greenhouse vegetable production management in China. Agric. Ecosyst. Environ. 2021, 307, 107230. [Google Scholar] [CrossRef]
- Liang, H.; Lv, H.; Batchelor, W.D.; Lian, X.; Wang, Z.; Lin, S.; Hu, K. Simulating nitrate and DON leaching to optimize water and N management practices for greenhouse vegetable production systems. Agric. Water Manag. 2020, 241, 106377. [Google Scholar]
- He, F. Studies on Optimizing Nitrogen Management and Environmental Implication in Greenhouse Tomato Cropping System; China Agricultural University: Beijing, China, 2006; (In Chinese with English Abstract). [Google Scholar]
- Wu, Y.; Yan, S.; Fan, J.; Zhang, F.; Zhao, W.; Zheng, J.; Guo, J.; Xiang, Y.; Wu, L. Combined effects of irrigation level and fertilization practice on yield, economic benefit and water-nitrogen use efficiency of drip-irrigated greenhouse tomato. Agric. Water Manag. 2022, 262, 107401. [Google Scholar]
- Hati, K.M.; Swarup, A.; Mishra, B.; Manna, M.; Wanjari, R.; Mandal, K.; Misra, A. Impact of long-term application of fertilizer, manure and lime under intensive cropping on physical properties and organic carbon content of an Alfisol. Geoderma 2008, 148, 173–179. [Google Scholar] [CrossRef]
- Manevski, K.; Børgesen, C.D.; Li, X.; Andersen, M.N.; Zhang, X.; Abrahamsen, P.; Hu, C.; Hansen, S. Optimising crop production and nitrate leaching in China: Measured and simulated effects of straw incorporation and nitrogen fertilisation. Eur. J. Agron. 2016, 80, 32–44. [Google Scholar]
- Zhang, J.; Cao, Z.; Dai, H.; Zhang, Z.; Miao, M. Yield, nitrogen uptake and nitrogen leaching of sensor-based fertigation-cultured tomato in a shallow groundwater region: Effect of shallow groundwater on tomato irrigation. J. Agric. Sci. 2019, 12, 10. [Google Scholar]
- Hong, E.-M.; Choi, J.-Y.; Nam, W.-H.; Kang, M.-S.; Jang, J.-R. Monitoring nutrient accumulation and leaching in plastic greenhouse cultivation. Agric. Water Manag. 2014, 146, 11–23. [Google Scholar] [CrossRef]
- Lv, H.; Zhao, Y.; Wang, Y.; Wan, L.; Wang, J.; Butterbach-Bahl, K.; Lin, S. Conventional flooding irrigation and over fertilization drives soil pH decrease not only in the top-but also in subsoil layers in solar greenhouse vegetable production systems. Geoderma 2020, 363, 114156. [Google Scholar] [CrossRef]
- Li, Y.; Sun, Y.; Liao, S.; Zou, G.; Zhao, T.; Chen, Y.; Yang, J.; Zhang, L. Effects of two slow-release nitrogen fertilizers and irrigation on yield, quality, and water-fertilizer productivity of greenhouse tomato. Agric. Water Manag. 2017, 186, 139–146. [Google Scholar] [CrossRef]
- Hu, J.; Gettel, G.; Fan, Z.; Lv, H.; Zhao, Y.; Yu, Y.; Wang, J.; Butterbach-Bahl, K.; Li, G.; Lin, S. Drip fertigation promotes water and nitrogen use efficiency and yield stability through improved root growth for tomatoes in plastic greenhouse production. Agric. Ecosyst. Environ. 2021, 313, 107379. [Google Scholar]
- Liu, C.; Wang, R.; Wang, W.; Hu, X.; Cheng, Y.; Liu, F. Effect of fertilizer solution concentrations on filter clogging in drip fertigation systems. Agric. Water Manag. 2021, 250, 106829. [Google Scholar] [CrossRef]
- Wu, Y.; Si, W.; Yan, S.; Wu, L.; Zhao, W.; Zhang, J.; Zhang, F.; Fan, J. Water consumption, soil nitrate-nitrogen residue and fruit yield of drip-irrigated greenhouse tomato under various irrigation levels and fertilization practices. Agric. Water Manag. 2023, 277, 108092. [Google Scholar] [CrossRef]
- Zhou, W.; Lv, H.; Chen, F.; Wang, Q.; Li, J.; Chen, Q.; Liang, B. Optimizing nitrogen management reduces mineral nitrogen leaching loss mainly by decreasing water leakage in vegetable fields under plastic-shed greenhouse. Environ. Pollut. 2022, 308, 119616. [Google Scholar]
- Ullah, I.; Hanping, M.; Javed, Q.; Rasool, G.; Ali, M.; Azeem, A.; Saif, M. Nitrogen Fertilization Effects on Growth, Leaf Gas Exchange and Chlorophyll Fluorescence of Brassica juncea. Int. J. Agric. Biol. 2020, 24, 1070–1076. [Google Scholar]
- Ren, K.; Xu, M.; Li, R.; Zheng, L.; Liu, S.; Reis, S.; Wang, H.; Lu, C.; Zhang, W.; Gao, H. Optimizing nitrogen fertilizer use for more grain and less pollution. J. Clean. Prod. 2022, 360, 132180. [Google Scholar] [CrossRef]
- Liang, H.; Chen, Q.; Liang, B.; Hu, K. Modeling the effects of long-term reduced N application on soil N losses and yield in a greenhouse tomato production system. Agric. Syst. 2020, 185, 102951. [Google Scholar]
- Ullah, I.; Mao, H.; Rasool, G.; Gao, H.; Javed, Q.; Sarwar, A.; Khan, M.I. Effect of deficit irrigation and reduced N fertilization on plant growth, root morphology and water use efficiency of tomato grown in soilless culture. Agronomy 2021, 11, 228. [Google Scholar]
- Shabbir, A.; Mao, H.; Ullah, I.; Buttar, N.A.; Ajmal, M.; Solangi, K.A. Improving water use efficiency by optimizing the root distribution patterns under varying drip emitter density and drought stress for cherry tomato. Agronomy 2020, 11, 3. [Google Scholar] [CrossRef]
- Shabbir, A.; Mao, H.; Ullah, I.; Buttar, N.A.; Ajmal, M.; Lakhiar, I.A. Effects of drip irrigation emitter density with various irrigation levels on physiological parameters, root, yield, and quality of cherry tomato. Agronomy 2020, 10, 1685. [Google Scholar] [CrossRef]
- Sun, Y.; Zhang, J.; Wang, H.; Wang, L.; Li, H. Identifying optimal water and nitrogen inputs for high efficiency and low environment impacts of a greenhouse summer cucumber with a model method. Agric. Water Manag. 2019, 212, 23–34. [Google Scholar] [CrossRef]
- Ullah, I.; Hanping, M.; Chuan, Z.; Javed, Q.; Azeem, A. Optimization of irrigation and nutrient concentration based on economic returns, substrate salt accumulation and water use efficiency for tomato in greenhouse. Arch. Agron. Soil Sci. 2017, 63, 1748–1762. [Google Scholar] [CrossRef]
- Zhou, H.; Kang, S.; Li, F.; Du, T.; Shukla, M.K.; Li, X. Nitrogen application modified the effect of deficit irrigation on tomato transpiration, and water use efficiency in different growth stages. Sci. Hortic. 2020, 263, 109112. [Google Scholar] [CrossRef]
- Liang, H.; Hu, K.; Batchelor, W.D.; Qin, W.; Li, B. Developing a water and nitrogen management model for greenhouse vegetable production in China: Sensitivity analysis and evaluation. Ecol. Model. 2018, 367, 24–33. [Google Scholar]
- Liang, H.; Hu, K.; Batchelor, W.D.; Chen, Q.; Liang, B.; Li, B. Modeling dissolved organic nitrogen dynamics under different N management practices for intensive greenhouse production using an improved WHCNS_veg model. Geoderma 2019, 337, 1039–1050. [Google Scholar] [CrossRef]
- Li, G.; Xie, H.; Zhang, J.; Li, H. WHCNS-Veg Modelling of N2O, NH3 and NO3− Dynamics in a Vegetable Production System under Different Fertilization and Irrigation Regimes. Atmosphere 2022, 13, 1289. [Google Scholar]
- Cheng, H.; Yu, Q.; Abdalhi, M.A.; Li, F.; Qi, Z.; Zhu, T.; Cai, W.; Chen, X.; Feng, S. RZWQM2 simulated drip fertigation management to improve water and nitrogen use efficiency of maize in a solar greenhouse. Agriculture 2022, 12, 672. [Google Scholar] [CrossRef]
- Martínez-Ruiz, A.; López-Cruz, I.L.; Ruiz-García, A.; Pineda-Pineda, J.; Prado-Hernández, J.V. HortSyst: A dynamic model to predict growth, nitrogen uptake, and transpiration of greenhouse tomatoes. Chil. J. Agric. Res. 2019, 79, 89–102. [Google Scholar] [CrossRef]
- Suárez-Rey, E.; Romero-Gámez, M.; Giménez, C.; Thompson, R.; Gallardo, M. Use of EU-Rotate_N and CropSyst models to predict yield, growth and water and N dynamics of fertigated leafy vegetables in a Mediterranean climate and to determine N fertilizer requirements. Agric. Syst. 2016, 149, 150–164. [Google Scholar] [CrossRef]
- Gallardo, M.; Thompson, R.; Giménez, C.; Padilla, F.; Stöckle, C. Prototype decision support system based on the VegSyst simulation model to calculate crop N and water requirements for tomato under plastic cover. Irrig. Sci. 2014, 32, 237–253. [Google Scholar] [CrossRef]
- Giménez, C.; Gallardo, M.; Martínez-Gaitán, C.; Stöckle, C.; Thompson, R.; Granados, M. VegSyst, a simulation model of daily crop growth, nitrogen uptake and evapotranspiration for pepper crops for use in an on-farm decision support system. Irrig. Sci. 2013, 31, 465–477. [Google Scholar] [CrossRef]
- Doltra, J.; Muñoz, P. Simulation of nitrogen leaching from a fertigated crop rotation in a Mediterranean climate using the EU-Rotate_N and Hydrus-2D models. Agric. Water Manag. 2010, 97, 277–285. [Google Scholar] [CrossRef]
- Gallardo, M.; Thompson, R.; Rodríguez, J.; Rodríguez, F.; Fernández, M.; Sánchez, J.; Magán, J. Simulation of transpiration, drainage, N uptake, nitrate leaching, and N uptake concentration in tomato grown in open substrate. Agric. Water Manag. 2009, 96, 1773–1784. [Google Scholar] [CrossRef]
- Xu, Q.; Hu, K.; Liang, H.; Leghari, S.J.; Knudsen, M.T. Incorporating the WHCNS model to assess water and nitrogen footprint of alternative cropping systems for grain production in the North China Plain. J. Clean. Prod. 2020, 263, 121548. [Google Scholar] [CrossRef]
- Nendel, C. Evaluation of Best Management Practices for N fertilisation in regional field vegetable production with a small-scale simulation model. Eur. J. Agron. 2009, 30, 110–118. [Google Scholar] [CrossRef]
- Rahn, C.; Zhang, K.; Ramos, C.; Doltra, J.; De-Paz, J.M.; Riley, H.; Fink, M.; Nendel, C.; Thorup-Kristensen, K.; Pedersen, A. EU-Rotate_N—A decision support system—To predict environmental and economic consequences of the management of nitrogen fertiliser in crop rotations. Eur. J. Hortic. Sci. 2010, 75, 20–32. [Google Scholar]
- Sun, Y.; Hu, K.; Fan, Z.; Wei, Y.; Lin, S.; Wang, J. Simulating the fate of nitrogen and optimizing water and nitrogen management of greenhouse tomato in North China using the EU-Rotate_N model. Agric. Water Manag. 2013, 128, 72–84. [Google Scholar] [CrossRef]
- Wang, A.; Gallardo, M.; Zhao, W.; Zhang, Z.; Miao, M. Yield, nitrogen uptake and nitrogen leaching of tunnel greenhouse grown cucumber in a shallow groundwater region. Agric. Water Manag. 2019, 217, 73–80. [Google Scholar] [CrossRef]
- Bremner, J. Determination of nitrogen in soil by the Kjeldahl method. J. Agric. Sci. 1960, 55, 11–33. [Google Scholar] [CrossRef]
- Li, K.-Y.; Zhao, Y.-Y.; Yuan, X.-L.; Zhao, H.-B.; Wang, Z.-H.; Li, S.-X.; Malhi, S.S. Comparison of factors affecting soil nitrate nitrogen and ammonium nitrogen extraction. Commun. Soil Sci. Plant Anal. 2012, 43, 571–588. [Google Scholar] [CrossRef]
- Greenwood, D.; Rahn, C.; Draycott, A.; Vaidyanathan, L.; Paterson, C. Modelling and measurement of the effects of fertilizer-N and crop residue incorporation on N-dynamics in vegetable cropping. Soil Use Manag. 1996, 12, 13–24. [Google Scholar] [CrossRef]
- Allen, R.G.; Pereira, L.S.; Raes, D.; Smith, M. Crop evapotranspiration-Guidelines for computing crop water requirements-FAO Irrigation and drainage paper 56. Fao Rome 1998, 300, D05109. [Google Scholar]
- Ritchie, J.T. Soil water balance and plant water stress. In Understanding Options for Agricultural Production; Tsuji, G.Y., Hoogenboom, G., Thornton, P.K., Eds.; Kluwer Academic Press: Dordrecht, The Netherlands, 1998; Volume 7, pp. 41–54. [Google Scholar]
- Hansen, S.; Jensen, H.; Nielsen, N.; Svendsen, H. DAISY: Soil Plant Atmosphere System Model; NPO Report No. A; Miljoeministeriet: Copenhagen, Denmark, 1990; Volume 10, pp. 1–276.
- Søgaard, H.T.; Sommer, S.G.; Hutchings, N.; Huijsmans, J.; Bussink, D.; Nicholson, F. Ammonia volatilization from field-applied animal slurry—The ALFAM model. Atmos. Environ. 2002, 36, 3309–3319. [Google Scholar] [CrossRef]
- Sadeghi, A.; McInnes, K.; Kissel, D.; Cabrera, M.; Koelliker, J.; Kanemasu, E. Mechanistic model for predicting ammonia volatilization from urea. TVA Bull. Tenn. Val. Auth. 1988, Y-206, 67–92. [Google Scholar]
- Willmott, C.J. Some comments on the evaluation of model performance. Bull. Am. Meteorol. Soc. 1982, 63, 1309–1313. [Google Scholar] [CrossRef]
- Nash, J.E.; Sutcliffe, J.V. River flow forecasting through conceptual models part I—A discussion of principles. J. Hydrol. 1970, 10, 282–290. [Google Scholar] [CrossRef]
- Willmott, C.J. On the validation of models. Phys. Geogr. 1981, 2, 184–194. [Google Scholar] [CrossRef]
- Van Liew, M.W.; Garbrecht, J. Hydrologic simulation of the little Washita river experimental watershed using SWAT 1. JAWRA J. Am. Water Resour. Assoc. 2003, 39, 413–426. [Google Scholar] [CrossRef]
- Yang, J.; Yang, J.-Y.; Liu, S.; Hoogenboom, G. An evaluation of the statistical methods for testing the performance of crop models with observed data. Agric. Syst. 2014, 127, 81–89. [Google Scholar] [CrossRef]
- Soto, F.; Gallardo, M.; Giménez, C.; Peña-Fleitas, T.; Thompson, R. Simulation of tomato growth, water and N dynamics using the EU-Rotate_N model in Mediterranean greenhouses with drip irrigation and fertigation. Agric. Water Manag. 2014, 132, 46–59. [Google Scholar] [CrossRef]
- Peñarrocha, D.; Estrela, M.J.; Millán, M. Classification of daily rainfall patterns in a Mediterranean area with extreme intensity levels: The Valencia region. Int. J. Climatol. J. R. Meteorol. Soc. 2002, 22, 677–695. [Google Scholar] [CrossRef]
- Guo, R.; Nendel, C.; Rahn, C.; Jiang, C.; Chen, Q. Tracking nitrogen losses in a greenhouse crop rotation experiment in North China using the EU-Rotate_N simulation model. Environ. Pollut. 2010, 158, 2218–2229. [Google Scholar] [CrossRef] [PubMed]
- Sun, L.; Li, B.; Yao, M.; Mao, L.; Zhao, M.; Niu, H.; Xu, Z.; Wang, T.; Wang, J. Simulation of Soil Water Movement and Root Uptake under Mulched Drip Irrigation of Greenhouse Tomatoes. Water 2023, 15, 1282. [Google Scholar] [CrossRef]
- Kröbel, R.; Sun, Q.; Ingwersen, J.; Chen, X.; Zhang, F.; Müller, T.; Römheld, V. Modelling water dynamics with DNDC and DAISY in a soil of the North China Plain: A comparative study. Environ. Model. Softw. 2010, 25, 583–601. [Google Scholar] [CrossRef]
- Ramos, T.; Simionesei, L.; Jauch, E.; Almeida, C.; Neves, R. Modelling soil water and maize growth dynamics influenced by shallow groundwater conditions in the Sorraia Valley region, Portugal. Agric. Water Manag. 2017, 185, 27–42. [Google Scholar] [CrossRef]
- Šimůnek, J.; Van Genuchten, M.T.; Šejna, M. The HYDRUS software package for simulating two-and three-dimensional movement of water, heat, and multiple solutes in variably-saturated media. Tech. Man. Version 2006, 1, 241. [Google Scholar]
- Thorp, K.R.; Malone, R.W.; Jaynes, D.B. Simulating long-term effects of nitrogen fertilizer application rates on corn yield and nitrogen dynamics. Trans. ASABE 2007, 50, 1287–1303. [Google Scholar] [CrossRef]






| Soil Layer (cm) | Clay (%) | Sand (%) | Bulk Density (g·cm−3) | FC (cm3·cm−3) | θs (cm3·cm−3) | pH |
|---|---|---|---|---|---|---|
| 0–10 | 34.2 | 1.50 | 1.35 | 0.30 | 0.46 | 6.70 |
| 10–20 | 44.8 | 9.16 | 1.40 | 0.27 | 0.39 | 7.05 |
| 20–30 | 37.4 | 11.07 | 1.41 | 0.29 | 0.36 | 7.16 |
| Autumn-Winter | Spring-Summer | ||
|---|---|---|---|
| Date (d/m/y) | Irrigation Quantity (mm) | Date d/m/y | Irrigation Quantity (mm) |
| 12 September 2018 | 37.95 | 24 March 2019 | 56.43 |
| 15 September 2018 | 16.89 | 27 March 2019 | 34.93 |
| 20 September 2018 | 25.13 | 12 April 2019 | 45.43 |
| 10 October 2018 | 42.33 | 25 April 2019 | 55.54 |
| 18 October 2018 | 36.52 | 5 May 2019 | 59.87 |
| 22 October 2018 | 14.17 | 11 May 2019 | 26.74 |
| 20 October 2018 | 35.19 | 16 May 2019 | 47.70 |
| 5 November 2018 | 38.34 | 21 May 2019 | 50.91 |
| 15 November 2018 | 35.33 | 30 May 2019 | 58.68 |
| 22 November 2018 | 42.05 | 5 June 2019 | 50.59 |
| 11 June 2019 | 54.62 | ||
| 16 June 2019 | 42.88 | ||
| Crop | Nitrogen Application Levels (kg ha−1) | |||
|---|---|---|---|---|
| N1 | N2 | N3 | N4 | |
| AW | 187.86 | 281.79 | 375.72 | 469.65 |
| SS | 180.61 | 270.92 | 361.22 | 451.53 |
| Category | ||
|---|---|---|
| Input | Location information: | Latitude, altitude, atmospheric N deposition |
| Simulation time: | Simulation start date, Simulation end date | |
| Soil properties: | Organic matter content, clay content, pH, unit weight, field water capacity, saturated water content, carbon-nitrogen ratio | |
| Climatic data: | Solar radiation, wind speed, precipitation, Humidity, Temperature | |
| Initial conditions: | Soil water content, soil mineral nitrogen content | |
| Irrigation management: | Irrigation date, amount, method and N concentration in water | |
| Fertilizer application: | Organic and mineral fertilizer types, application methods, application dates | |
| Crop parameters: | crop type, plant spacing, row width, planting date, harvest date, harvest times, target yield | |
| Output | Soil nitrogen content, soil water content, leakage, crop dry matter quality, daily nitrogen demand, daily water demand |
| Parameters | Description | Value |
|---|---|---|
| Base | Base temperature (°C) | 7.00 |
| B0 | Crop specific parameters of the critical N-curve equation | 3.00 |
| PNINF | Crop specific parameters of critical N | 1.60 |
| RLUX | Luxury N consumption coefficient | 1.0 |
| L_ini | Length of the initial growth period (d) | 30.0 |
| L_dev | Length of the development period (d) | 60.0 |
| L_mid | Length of the middle period (d) | 50.0 |
| L_lat | Length of the late growth period (d) | 15.0 |
| Ddglag | Lag period before root growth begins (°C d−1) | 100 |
| K_ini | crop coefficient at initial stage | 0.15 |
| K_mid | Crop coefficient at middle stage | 0.90 |
| K_end | Crop coefficient in end stage | 0.90 |
| Krz | Vertical root penetration rate (m d–1 °C–1) | 0.0014 |
| H_max | Maximum crop height (m) | 1.60 |
| HI | Harvest index | 0.50 |
| Treatment | Soil Layer (cm) | RMSE | NSE | d |
|---|---|---|---|---|
| N1 | 0–10 | 0.042 | 0.666 | 0.935 |
| 10–20 | 0.037 | 0.480 | 0.856 | |
| 20–30 | 0.035 | 0.570 | 0.895 | |
| N2 | 0–10 | 0.040 | 0.700 | 0.941 |
| 10–20 | 0.034 | 0.399 | 0.858 | |
| 20–30 | 0.028 | 0.546 | 0.892 | |
| N3 | 0–10 | 0.039 | 0.636 | 0.935 |
| 10–20 | 0.030 | 0.367 | 0.859 | |
| 20–30 | 0.027 | 0.549 | 0.890 | |
| N4 | 0–10 | 0.039 | 0.749 | 0.947 |
| 10–20 | 0.033 | 0.504 | 0.870 | |
| 20–30 | 0.024 | 0.514 | 0.878 |
| Treatment | (cm) Soil Layer | RMSE | NSE | d |
|---|---|---|---|---|
| N1 | 0–10 | 27.523 | 0.463 | 0.901 |
| 10–20 | 24.280 | 0.365 | 0.878 | |
| 20–30 | 20.660 | 0.654 | 0.909 | |
| N2 | 0–10 | 25.420 | 0.552 | 0.919 |
| 10–20 | 24.755 | 0.403 | 0.884 | |
| 20–30 | 19.340 | 0.507 | 0.885 | |
| N3 | 0–10 | 26.371 | 0.488 | 0.912 |
| 10–20 | 26.766 | 0.398 | 0.869 | |
| 20–30 | 16.528 | 0.531 | 0.894 | |
| N4 | 0–10 | 24.835 | 0.637 | 0.932 |
| 10–20 | 26.737 | 0.483 | 0.888 | |
| 20–30 | 13.703 | 0587 | 0.924 |
| Treatment | RMSE | NSE | d |
|---|---|---|---|
| AW–2018 | 1.022 | 0.977 | 0.994 |
| SS–2019 | 1.249 | 0.965 | 0.992 |
Disclaimer/Publisher’s Note: The statements, opinions and data contained in all publications are solely those of the individual author(s) and contributor(s) and not of MDPI and/or the editor(s). MDPI and/or the editor(s) disclaim responsibility for any injury to people or property resulting from any ideas, methods, instructions or products referred to in the content. |
© 2023 by the authors. Licensee MDPI, Basel, Switzerland. This article is an open access article distributed under the terms and conditions of the Creative Commons Attribution (CC BY) license (https://creativecommons.org/licenses/by/4.0/).
Share and Cite
Ullah, I.; Cao, Z.; Bing, H.; Xu, X.; Miao, M. Simulation of Soil Water and Nitrogen Dynamics for Tomato Crop Using EU-Rotate_N Model at Different Nitrogen Levels in the Greenhouse. Agronomy 2023, 13, 2006. https://doi.org/10.3390/agronomy13082006
Ullah I, Cao Z, Bing H, Xu X, Miao M. Simulation of Soil Water and Nitrogen Dynamics for Tomato Crop Using EU-Rotate_N Model at Different Nitrogen Levels in the Greenhouse. Agronomy. 2023; 13(8):2006. https://doi.org/10.3390/agronomy13082006
Chicago/Turabian StyleUllah, Ikram, Zhuangzhuang Cao, Hua Bing, Xiangying Xu, and Minmin Miao. 2023. "Simulation of Soil Water and Nitrogen Dynamics for Tomato Crop Using EU-Rotate_N Model at Different Nitrogen Levels in the Greenhouse" Agronomy 13, no. 8: 2006. https://doi.org/10.3390/agronomy13082006
APA StyleUllah, I., Cao, Z., Bing, H., Xu, X., & Miao, M. (2023). Simulation of Soil Water and Nitrogen Dynamics for Tomato Crop Using EU-Rotate_N Model at Different Nitrogen Levels in the Greenhouse. Agronomy, 13(8), 2006. https://doi.org/10.3390/agronomy13082006

