Optimizing Rice Sowing Dates for High Yield and Climate Adaptation in Central China
Abstract
1. Introduction
2. Materials and Methods
2.1. Experimental Site and Design
2.2. Plant Sampling and Analysis
2.3. Thermal Resource
2.4. Statistics Analysis
3. Results
3.1. Grain Yield and Yield Components
3.2. Dry Matter Accumulation Rate (DMAR)
3.3. Thermal Resource
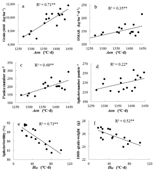
3.4. Relationship between Grain Yield and Thermal Resource
4. Discussion
5. Conclusions
Author Contributions
Funding
Institutional Review Board Statement
Informed Consent Statement
Data Availability Statement
Conflicts of Interest
References
- FAO. The FAO Statistical Database–Agriculture; FAO: Rome, Italy, 2022. [Google Scholar]
- Statistics, C.N.B. 2019. Available online: http://www.data.stats.gov.cn/easyquery.htm/ (accessed on 10 April 2023).
- China Agricultural Yearbook; China Agriculture Press: Beijing, China, 2020.
- Pattanayak, A.; Kumar, K. Weather Sensitivity of Rice Yield: Evidence from India. Clim. Change Econ. 2014, 5, 1–24. [Google Scholar] [CrossRef]
- Deng, F.; Zhang, C.; He, L.; Liao, S.; Li, Q.; Li, B.; Zhu, S.; Gao, Y.; Tao, Y.; Zhou, W.; et al. Delayed sowing date improves the quality of mechanically transplanted rice by optimizing temperature conditions during growth season. Field Crops Res. 2022, 281, 108493. [Google Scholar] [CrossRef]
- Ding, Y.M.; Wang, W.G.; Zhuang, Q.L.; Luo, Y.F. Adaptation of paddy rice in China to climate change: The effects of shifting sowing date on yield and irrigation water requirement. Agric. Water Manag. 2020, 228, 105890. [Google Scholar] [CrossRef]
- Xu, Y.F.; Chu, C.C.; Yao, S.G. The impact of high–temperature stress on rice: Challenges and solutions. Crop J. 2021, 9, 963–976. [Google Scholar] [CrossRef]
- Sánchez, B.; Rasmussen, A.; Porter, J.R. Temperatures and the growth and development of maize and rice: A review. Glob. Change Biol. 2014, 20, 408–417. [Google Scholar] [CrossRef]
- Hatfield, J.L.; Boote, K.J.; Kimball, B.A.; Ziska, L.H.; Izaurralde, R.C.; Ort, D.; Thomson, A.M.; Wolfe, D. Climate impacts on agriculture: Implications for crop production. Agron. J. 2011, 103, 351–370. [Google Scholar] [CrossRef]
- Yang, J.Y.; Huo, Z.G.; Li, X.X.; Wang, P.J.; Wu, D.R. Hot weather event–based characteristics of double–early rice heat risk: A study of Jiangxi province, South China. Ecol. Indic. 2020, 113, 106148. [Google Scholar] [CrossRef]
- Sun, W.; Huang, Y. Global warming over the period 1961–2008 did not increase high–temperature stress but did reduce low–temperature stress in irrigated rice across China. Agric. For. Meteorol. 2011, 151, 1193–1201. [Google Scholar] [CrossRef]
- Zhang, L.; Yang, B.Y.; Guo, A.H.; Huang, D.P.; Huo, Z.G. Multivariate probabilistic estimates of heat stress for rice across China. Stoch. Environ. Res. Risk Assess. Vol. 2018, 32, 3137–3150. [Google Scholar] [CrossRef]
- Sakai, H.; Cheng, W.G.; Chen, C.P.; Hasegawa, T. Short–term high nighttime temperatures pose an emerging risk to rice grain failure. Agric. For. Meteorol. 2022, 314, 108779. [Google Scholar] [CrossRef]
- Matsue, Y.; Takasaki, K.; Abe, J. Water management for improvement of rice yield, appearance quality and palatability with high temperature during ripening period. Rice Sci. 2021, 28, 409–416. [Google Scholar] [CrossRef]
- Hu, Y.J.; Xue, J.T.; Li, L.; Cong, S.M.; Yu, E.W.; Xu, K.; Zhang, H.C. Influence of dynamic high temperature during grain filling on starch fine structure and functional properties of semi–waxy japonica rice. J. Cereal Sci. 2021, 101, 103319. [Google Scholar] [CrossRef]
- Welch, J.R.; Vincent, J.R.; Auffhammer, M.; Moya, P.F.; Dobermann, A.; Dawe, D. Rice yields in tropical/subtropical Asia exhibit large but opposing sensitivities to minimum and maximum temperatures. Proc. Natl. Acad. Sci. USA 2010, 107, 14562–14567. [Google Scholar] [CrossRef]
- Chen, X.G.; Tian, G.P. Impacts of weather variations on rice yields in China based on province–level data. Reg. Environ. Change 2016, 16, 2155–2162. [Google Scholar] [CrossRef]
- Porter, J.R.; Xie, L.; Challinor, A.J.; Cochrane, K.; Howden, S.M.; Iqbal, M.M.; Lobell, D.B.; Travasso, M.I. Food security and food production systems. In Climate Change 2014: Impacts, Adaptation and Vulnerability. Part A: Global and Sectoral Aspects. Contribution of Working Group II to the Fifth Assessment Report of the Intergovernmental Panel on Climate Change; Field, C.B., Barros, V.R., Dokken, D.J., Eds.; Cambridge University Press: Cambridge, UK, 2014; pp. 485–533. [Google Scholar]
- Tao, F.; Zhang, Z.; Shi, W.; Liu, Y.; Xiao, D.; Zhang, S.; Zhu, Z.; Wang, M.; Liu, F. Single rice growth period was prolonged by cultivars shifts but yield was damaged by climate change during 1981–2009 in China, and late rice was just opposite. Glob. Change Biol. 2013, 19, 3200–3209. [Google Scholar] [CrossRef] [PubMed]
- Zhong, X.Y.; Li, Q.P.; Yang, F.; Chen, D.; He, L.H.; Yang, Z.P.; Wu, Z.Y.; Lu, H.; Li, Z.Z.; Zeng, Y.L.; et al. Higher solar radiation and lower temperature enhance biomass production and grain yield of rice under high–altitude condition. Arch. Agron. Soil. Sci. 2021, 68, 1664–1680. [Google Scholar] [CrossRef]
- Tu, D.; Jiang, Y.; Liu, M.; Zhang, L.; Chen, L.; Cai, M.; Ling, X.; Zhan, M.; Li, C.; Wang, J.; et al. Improvement and stabilization of rice production by delaying sowing date in irrigated rice system in central China. J. Sci. Food Agric. 2019, 100, 595–606. [Google Scholar] [CrossRef] [PubMed]
- Seck, P.A.; Diagne, A.; Mohanty, S.; Wopereis, M.C. Crops that feed the world 7 rice. Food Secur. 2012, 4, 7–24. [Google Scholar] [CrossRef]
- Moore, F. The fingerprint of anthropogenic warming on global agriculture. EarthArXiv 2020, 30, 1–26. [Google Scholar]
- IPCC. Climate Change 2021: The Physical Science Basis. Contribution of Working Group I to the Sixth Assessment Report of the Intergovernmental Panel on Climate Change; Cambridge University Press: Cambridge, UK; New York, NY, USA, 2021. [Google Scholar]
- Alam, M.; Utara, U.; Drift, M.M.; Countries, A.; Institutions, S.M.; Chini, T.; Reserve, B. The Impacts of Agricultural Supports for Climate Change Adaptation: Farm Level Assessment Study on Paddy. Am. J. Environ. Sci. 2011, 7, 178–182. [Google Scholar] [CrossRef]
- Wang, P.; Hu, T.G.; Kong, F.; Xu, J.F.; Zhang, D.R. Rice exposure to cold stress in China: How has its spatial pattern changed under climate change? Eur. J. Agron. 2019, 103, 73–79. [Google Scholar] [CrossRef]
- Zhang, L.; Guo, A.H.; He, L.; Hou, Y.Y.; Zhao, X.L.; Qian, Y.L.; Cai, Z. Variation characteristics of chilling dew wind for double–season late rice across southern China in 2020. Meteorol. Mon. 2021, 47, 47,1537–1545. [Google Scholar]
- Zhang, L.; Huo, Z.G.; Martial, A.; Xiao, J.J.; Cao, Y.; Gou, P.; Li, S. Optimized rice adaptations in response to heat and cold stress under climate change in southern China. Reg. Environ. Change 2023, 23, 25. [Google Scholar] [CrossRef]
- Tashiro, T.; Wardlaw, I. The effect of high temperature on the accumulation of dry matter: Carbon and nitrogen in the kernel of rice. Funct. Plant Biol. 1991, 18, 259–265. [Google Scholar] [CrossRef]
- Matsui, T.; Omasa, K.; Horie, T. The difference in sterility due to high temperatures during the flowering period among Japonica rice varieties. Plant Prod. Sci. 2001, 4, 90–93. [Google Scholar] [CrossRef]
- Matsui, T.; Omasa, K. Rice (Oryza sativa L.) cultivars tolerant to high temperature at flowering: Anther characteristics. Ann. Bot. 2002, 89, 683–687. [Google Scholar] [CrossRef] [PubMed]
- Deng, N.; Ling, X.; Sun, Y.; Zhang, C.; Fahad, S.; Peng, S.; Cui, K.; Nie, L.; Huang, J. Influence of temperature and solar radiation on grain yield and quality in irrigated rice system. Eur. J. Agron. 2015, 64, 37–46. [Google Scholar] [CrossRef]
- Wang, W.L.; Cai, C.; He, J.; Gu, J.F.; Zhu, G.L.; Zhang, W.Y.; Zhu, J.G.; Liu, G. Yield, dry matter distribution and photosynthetic characteristics of rice under elevated CO2 and increased temperature conditions. Field Crop. Res. 2020, 248, 107605. [Google Scholar] [CrossRef]
- Peraudeau, S.; Roques, S.; Quiñones, C.O.; Fabre, D.; Van Rie, J.; Ouwerkerk, P.B.; Jagadish, K.S.; Dingkuhn, M.; Lafarge, T. Increase in night temperature in rice enhances respiration rate without significant impact on biomass accumulation. Field Crop. Res. 2015, 171, 67–78. [Google Scholar] [CrossRef]
- Bonelli, L.E.; Monzon, J.P.; Cerrudo, A.; Rizzalli, R.H.; Andrade, F.H. Maize grain yield components and source–sink relationship as affected by the delay in sowing date. Field Crop. Res. 2016, 198, 215–225. [Google Scholar] [CrossRef]
- Laza, M.R.C.; Sakai, H.; Cheng, W.G.; Tokida, T.; Peng, S.B.; Hasegawa, T. Differential response of rice plants to high night temperatures imposed at varying developmental phases. Agric. For. Meteorol. 2015, 209–210, 69–77. [Google Scholar] [CrossRef]
- Sakata, T.; Oshino, T.; Miura, S.; Tomabechi, M.; Tsunaga, Y.; Higashitani, N.; Miyazawa, Y.; Takahashi, H.; Watanabe, M.; Higashitani, A. Auxins reverse plant male sterility caused by high temperatures. Proc. Natl. Acad. Sci. USA 2010, 107, 8569–8574. [Google Scholar] [CrossRef] [PubMed]
- Prasad, P.V.V.; Boote, K.J.; Allen, L.H.J.; Sheehy, J.E.; Thomas, J.M.G. Species, ecotype and cultivar differences in spikelet fertility and harvest index of rice in response to high temperature stress. Field Crop. Res. 2006, 95, 398–411. [Google Scholar] [CrossRef]
- Fu, J.; Jian, Y.; Wang, X.; Li, L.; Ciais, P.; Zscheischler, J.; Wang, Y.; Tang, Y.; Müller, C.; Webber, H.; et al. Extreme rainfall reduces one–twelfth of China’s rice yield over the last two decades. Nat. Food 2023, 2023, 1–11. [Google Scholar] [CrossRef]
- Liu, K.; Harrison, M.T.; Yan, H.; Liu, D.L.; Meinke, H.; Hoogenboom, G.; Bin, W.; Peng, B.; Guan, K.; Jaegermeyr, J.; et al. Silver lining to a climate crisis in multiple prospects for alleviating crop waterlogging under future climates. Nat. Commun. 2023, 14, 765. [Google Scholar] [CrossRef] [PubMed]




| Total nitrogen | Total phosphorus | Total potassium |
| 2.18 g/kg | 0.49 g/kg | 3.49 g/kg |
| Alkali hydrolyzed nitrogen | Available phosphorus | Available potassium |
| 78.4 mg/kg | 59.4 mg/kg | 132.4 mg/kg |
| Electrical conductivity | pH | Organic matter |
| 2.2 mS/cm | 7.2 | 26.7 g/kg |
| Year | Treatment Code | Sowing Date | Transplanting Date | Jointing Date | Heading Date | Maturity Date |
|---|---|---|---|---|---|---|
| 2018 | SD1 | 21 April | 26 May | 1 July | 20 July | 28 August |
| SD2 | 6 May | 11 June | 16 July | 5 August | 12 September | |
| SD3 | 16 May | 21 June | 25 July | 14 August | 28 September | |
| SD4 | 26 May | 1 July | 4 August | 24 August | 9 October | |
| 2019 | SD1 | 21 April | 26 May | 1 July | 30 July | 9 September |
| SD2 | 6 May | 10 June | 12 July | 8 August | 18 September | |
| SD3 | 16 May | 20 June | 22 July | 18 August | 30 September | |
| SD4 | 26 May | 30 June | 30 July | 29 August | 15 October | |
| 2020 | SD1 | 26 April | 27 May | 3 July | 28 July | 3 September |
| SD2 | 6 May | 8 June | 7 July | 6 August | 10 September | |
| SD3 | 16 May | 13 June | 15 July | 14 August | 18 September | |
| SD4 | 26 May | 24 June | 30 July | 28 August | 1 October | |
| 2021 | SD1 | 26 April | 25 May | 6 July | 4 August | 4 September |
| SD2 | 11 May | 9 June | 17 July | 14 August | 14 September | |
| SD3 | 21 May | 19 June | 24 July | 24 August | 23 September | |
| SD4 | 31 May | 29 June | 6 August | 1 September | 8 October |
| Year | Sowing Date | Panicle Number m−2 | Spikelet Number | Spikelet Fertility | 1000–Grain Weight | Grain Yield |
|---|---|---|---|---|---|---|
| Panicle−1 | % | g | kg·ha−1 | |||
| 2018 | SD1 | 217.3 ± 4.4c | 200.7 ± 2.7c | 83.1 ± 1.6b | 24.6 ± 0.2b | 9152.8 ± 244.7c |
| SD2 | 257.1 ± 5.2b | 219.0 ± 4.9c | 82.2 ± 0.7b | 24.9 ± 0.1a | 10,547.9 ± 262.8b | |
| SD3 | 292.4 ± 6.0a | 251.5 ± 5.8a | 89.6 ± 1.6a | 25.3 ± 0.2a | 11,790.1 ± 567.1a | |
| SD4 | 233.7 ± 4.8b | 236.4 ± 4.4b | 87.7 ± 2.2a | 25.1 ± 0.1a | 11,284.8 ± 172.1a | |
| 2019 | SD1 | 181.6 ± 2.2c | 240.7 ± 10.3b | 77.5 ± 1.4b | 24.4 ± 0.1b | 9716.0 ± 16.7b |
| SD2 | 191.3 ± 1.2b | 239.2 ± 1.4b | 86.0 ± 0.3a | 24.0 ± 0.1b | 9765.5 ± 118.5b | |
| SD3 | 202.6 ± 2.7a | 276.7 ± 6.8a | 86.7 ± 1.2a | 25.5 ± 0.1a | 10,578.5 ± 59.9a | |
| SD4 | 190.0 ± 2.3b | 244.9 ± 6.2b | 91.5 ± 0.3a | 25.4 ± 0.2a | 10,449.5 ± 90.5a | |
| 2020 | SD1 | 140.1 ± 2.9b | 216.5 ± 10.8b | 83.4 ± 0.3b | 25.4 ± 0.5c | 6857.3 ± 218.3b |
| SD2 | 147.6 ± 3.5b | 216.4 ± 1.4b | 85.4 ± 0.8b | 25.9 ± 0.6b | 7179.0 ± 221.7b | |
| SD3 | 157.2 ± 0.9a | 247.6 ± 10.6a | 90.0 ± 0.7a | 26.7 ± 0.4a | 7990.9 ± 415.4a | |
| SD4 | 144.1 ± 3.7b | 238.7 ± 7.7a | 87.8 ± 1.1b | 26.2 ± 0.3b | 7501.3 ± 303.3b | |
| 2021 | SD1 | 201.7 ± 5.9b | 212.3 ± 10.3b | 87.3 ± 0.6b | 26.8 ± 0.1a | 8813.4 ± 294.4b |
| SD2 | 205.5 ± 3.5b | 215.9 ± 1.4b | 91.2 ± 0.7a | 26.8 ± 0.1a | 9876.1 ± 162.4b | |
| SD3 | 224.6 ± 3.7a | 229.6 ± 6.8a | 91.1 ± 0.9a | 27.0 ± 0.1a | 10,519.6 ± 581.9a | |
| SD4 | 202.1 ± 5.1b | 219.7 ± 6.2b | 89.4 ± 1.0a | 26.9 ± 0.1a | 10,346.8 ± 420.9a |
Disclaimer/Publisher’s Note: The statements, opinions and data contained in all publications are solely those of the individual author(s) and contributor(s) and not of MDPI and/or the editor(s). MDPI and/or the editor(s) disclaim responsibility for any injury to people or property resulting from any ideas, methods, instructions or products referred to in the content. |
© 2023 by the authors. Licensee MDPI, Basel, Switzerland. This article is an open access article distributed under the terms and conditions of the Creative Commons Attribution (CC BY) license (https://creativecommons.org/licenses/by/4.0/).
Share and Cite
Liu, K.; Song, C.; Ye, P.; Liu, H.; Xia, Z.; Waseem, H.; Deng, Y.; Liu, Z.; Wang, L.; Wang, B.; et al. Optimizing Rice Sowing Dates for High Yield and Climate Adaptation in Central China. Agronomy 2023, 13, 1339. https://doi.org/10.3390/agronomy13051339
Liu K, Song C, Ye P, Liu H, Xia Z, Waseem H, Deng Y, Liu Z, Wang L, Wang B, et al. Optimizing Rice Sowing Dates for High Yield and Climate Adaptation in Central China. Agronomy. 2023; 13(5):1339. https://doi.org/10.3390/agronomy13051339
Chicago/Turabian StyleLiu, Kaiwen, Chunyan Song, Pei Ye, Huan Liu, Zhihong Xia, Hassan Waseem, Yanjun Deng, Zhixiong Liu, Lu Wang, Bin Wang, and et al. 2023. "Optimizing Rice Sowing Dates for High Yield and Climate Adaptation in Central China" Agronomy 13, no. 5: 1339. https://doi.org/10.3390/agronomy13051339
APA StyleLiu, K., Song, C., Ye, P., Liu, H., Xia, Z., Waseem, H., Deng, Y., Liu, Z., Wang, L., Wang, B., Yang, X., & Zhu, J. (2023). Optimizing Rice Sowing Dates for High Yield and Climate Adaptation in Central China. Agronomy, 13(5), 1339. https://doi.org/10.3390/agronomy13051339
